Flexible Electrode by Hydrographic Printing for Surface Electromyography Monitoring
Abstract
1. Introduction
2. Pattern and Structure
3. Processes and Characterization
4. Test results and Discussion
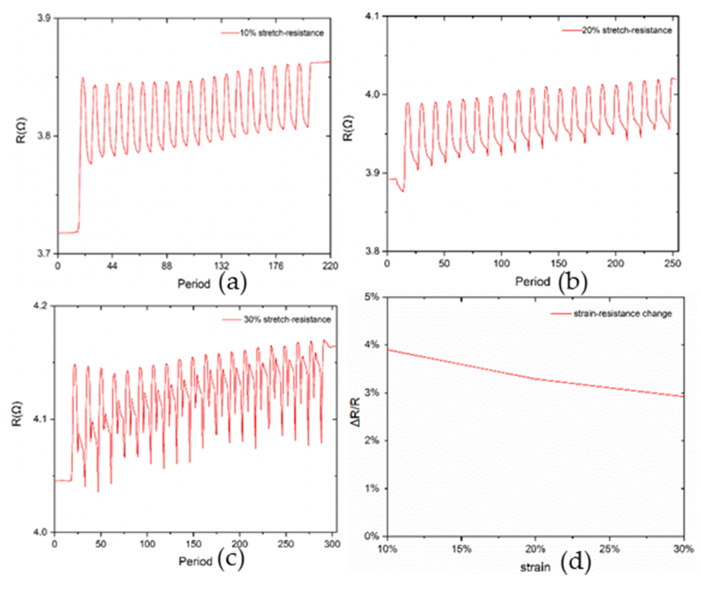
4.1. Electrical and Mechanical Performances
4.2. sEMG Monitoring Tests
4.3. Wearability
5. Conclusions
Supplementary Materials
Author Contributions
Funding
Acknowledgments
Conflicts of Interest
References
- Hong, Y.J.; Jeong, H.; Cho, K.W. Wearable and Implantable Devices for Cardiovascular Healthcare Monitoring to Therapy Based on Flexible and Stretchable Electronics. Adv. Funct. Mater. 2019, 29, 1808247. [Google Scholar] [CrossRef]
- Liu, Y.; Pharr, M.; Salvatore, G.A. Lab-on-Skin: A Review of Flexible and Stretchable Electronics for Wearable Health Monitoring. ACS Nano 2017, 11, 9614–9635. [Google Scholar] [CrossRef]
- Kim, D.H.; Lu, N.; Ma, R. Epidermal electronics. Science 2011, 333, 838–843. [Google Scholar] [CrossRef] [PubMed]
- Huang, S.; Liu, Y.; Zhao, Y. Flexible Electronics: Stretchable Electrodes and Their Future. Adv. Funct. Mater. 2018, 29, 1805924. [Google Scholar] [CrossRef]
- Zhang, D.; Sun, B.; Huang, H.; Gan, Y.; Xia, Y.; Liang, C.; Zhang, W.; Zhang, J. A Solar-Driven Flexible Electrochromic Supercapacitor. Materials 2020, 13, 1206. [Google Scholar] [CrossRef]
- Shustak, S.; Inzelberg, L.; Steinberg, S. Home monitoring of sleep with a temporary-tattoo EEG, EOG and EMG electrode array: A feasibility study. J. Neural Eng. 2019, 16, 026024. [Google Scholar] [CrossRef]
- Stauffer, F.; Thielen, M.; Sauter, C. Skin Conformal Polymer Electrodes for Clinical ECG and EEG Recordings. Adv. Healthc. Mater. 2018, 7, e1700994. [Google Scholar] [CrossRef] [PubMed]
- Yeo, W.H.; Kim, Y.S.; Lee, J. Multifunctional epidermal electronics printed directly onto the skin. Adv. Mater. 2013, 25, 2773–2778. [Google Scholar] [CrossRef]
- Wang, L.-F.; Yang, C.-S.; Yang, B. MEMS-based flexible capacitive electrode for ECG measurement. Electron. Lett. 2013, 49, 739–740. [Google Scholar] [CrossRef]
- Pozzo, M. Electromyography (EMG), Electrodes and Equipment for. Wiley Encycl. Biomed. Eng. 2006. [Google Scholar] [CrossRef]
- Wu, Y.; Martnez Martnez, M.; Orizaola Balaguer, P. Overview of the Application of EMG Recording in the Diagnosis and Approach of Neurological Disorders. In Electrodiagnosis in New Frontiers of Clinical Research, 1st ed.; IntechOpen: London, UK, 2013; Volume 10, p. 5772. [Google Scholar]
- Mills, K.R. The basics of electromyography. J. Neurol. Neurosurg. Psychiatry 2005, 76 (Suppl. 2), 32–35. [Google Scholar] [CrossRef] [PubMed]
- Kim, J.-E.; Seok, J.M.; Ahn, S.-W. Basic concepts of needle electromyography. Ann. Clin. Neurophysiol. 2019, 21, 7–15. [Google Scholar] [CrossRef][Green Version]
- Merletti, R.; Farina, D.; Holobar, A. Surface Electromyography (sEMG). Wiley Encycl. Electr. Electron. Eng. 2018, 1–22. [Google Scholar] [CrossRef]
- Tian, L.; Zimmerman, B.; Akhtar, A. Large-area MRI-compatible epidermal electronic interfaces for prosthetic control and cognitive monitoring. Nat. Biomed. Eng. 2019, 3, 194–205. [Google Scholar] [CrossRef] [PubMed]
- Jeong, J.W.; Yeo, W.H.; Akhtar, A. Materials and optimized designs for human-machine interfaces via epidermal electronics. Adv. Mater. 2013, 25, 6839–6846. [Google Scholar] [CrossRef] [PubMed]
- Inzelberg, L.; Pur, M.D.; Schlisske, S. Printed facial skin electrodes as sensors of emotional affect. Flex. Print. Electron. 2018, 3, 045001. [Google Scholar] [CrossRef]
- Srinivasa, M.G.; Pandian, P.S. Dry electrodes for bio-potential measurement in wearable systems. In Proceedings of the 2nd IEEE International Conference on Recent Trends in Electronics, Information & Communication Technology, Sri Venkateshwara Coll Engn, Bangalore, India, 19–10 May 2017. [Google Scholar] [CrossRef]
- Rockwood, D.N.; Preda, R.C.; Yucel, T. Materials fabrication from Bombyx mori silk fibroin. Nat. Protoc. 2011, 6, 1612–1631. [Google Scholar] [CrossRef]
- Jung, H.C.; Moon, J.H.; Baek, D.H. CNT/PDMS composite flexible dry electrodes for long-term ECG monitoring. IEEE Trans Biomed. Eng. 2012, 59, 1472–1479. [Google Scholar] [CrossRef]
- Xu, B.; Akhtar, A.; Liu, Y. An Epidermal Stimulation and Sensing Platform for Sensorimotor Prosthetic Control, Management of Lower Back Exertion, and Electrical Muscle Activation. Adv. Mater. 2016, 28, 4462–4471. [Google Scholar] [CrossRef]
- Kim, N.; Lim, T.; Song, K. Stretchable Multichannel Electromyography Sensor Array Covering Large Area for Controlling Home Electronics with Distinguishable Signals from Multiple Muscles. ACS Appl. Mater. Interfaces 2016, 8, 21070–21076. [Google Scholar] [CrossRef]
- Yao, S.; Zhu, Y. Wearable multifunctional sensors using printed stretchable conductors made of silver nanowires. Nanoscale 2014, 6, 2345–2352. [Google Scholar] [CrossRef] [PubMed]
- Ryu, S.; Lee, P.; Chou, J.B. Extremely Elastic Wearable Carbon Nanotube Fiber Strain Sensor for Monitoring of Human Motion. ACS Nano 2015, 9, 5929–5936. [Google Scholar] [CrossRef] [PubMed]
- Abu-Saude, M.; Consul-Pacareu, S.; Morshed, B.I. Feasibility of patterned vertical CNT for dry electrode sensing of physiological parameters. In Proceedings of the 2015 IEEE Topical Conference on Biomedical Wireless Technologies, Networks, and Sensing Systems (BioWireleSS), San diego, CA, USA, 25–28 January 2015. [Google Scholar] [CrossRef]
- Zhang, H.; Yang, S.; Sheng, K. The Leakage Mechanism of the Package of the AlGaN/GaN Liquid Sensor. Materials 2020, 13, 1903. [Google Scholar] [CrossRef] [PubMed]
- Xia, N.; Li, N.; Rao, W. Multifunctional and Flexible ZrO2-Coated EGaIn Nanoparticles for Photothermal Therapy. Nanoscale 2019, 11, 10183–10189. [Google Scholar] [CrossRef]
- Ozutemiz, K.B.; Wissman, J.; Ozdoganlar, O.B. EGaIn-Metal Interfacing for Liquid Metal Circuitry and Microelectronics Integration. Adv. Mater. Interfaces 2018, 5, 1701596. [Google Scholar] [CrossRef]
- Green Marques, D.; Alhais Lopes, P. Reliable interfaces for EGaIn multi-layer stretchable circuits and microelectronics. Lab Chip 2019, 19, 897–906. [Google Scholar] [CrossRef]
- Norton, J.J.; Lee, D.S.; Lee, J.W. Soft, curved electrode systems capable of integration on the auricle as a persistent brain-computer interface. Proc. Natl. Acad. Sci. USA 2015, 112, 3920–3925. [Google Scholar] [CrossRef]
- Jang, K.I.; Han, S.Y.; Xu, S. Rugged and breathable forms of stretchable electronics with adherent composite substrates for transcutaneous monitoring. Nat. Commun. 2014, 5, 4779. [Google Scholar] [CrossRef]
- Sirvent, V.F. Space filling curves and geodesic laminations. Geom. Dedicata 2008, 135, 1–14. [Google Scholar] [CrossRef]
- Nawrocki, R.A.; Jin, H.; Lee, S. Self-Adhesive and Ultra-Conformable, Sub-300 nm Dry Thin-Film Electrodes for Surface Monitoring of Biopotentials. Adv. Funct. Mater. 2018, 28, 1803279. [Google Scholar] [CrossRef]
- Khan, Y.; Pavinatto, F.J.; Lin, M.C. Inkjet-Printed Flexible Gold Electrode Arrays for Bioelectronic Interfaces. Adv. Funct. Mater. 2016, 26, 1004–1013. [Google Scholar] [CrossRef]
- Jinno, H.; Fukuda, K.; Xu, X. Stretchable and waterproof elastomer-coated organic photovoltaics for washable electronic textile applications. Nat. Energy 2017, 2, 780–785. [Google Scholar] [CrossRef]
- Hong, S.; Lee, S.; Kim, D.-H. Materials and Design Strategies of Stretchable Electrodes for Electronic Skin and Its Applications. Proc. IEEE 2019, 107, 1–13. [Google Scholar] [CrossRef]
- Saada, G.; Layani, M.; Chernevousky, A. Hydroprinting Conductive Patterns onto 3D Structures. Adv. Mater. Technol. 2017, 2, 1600289. [Google Scholar] [CrossRef]
- Lopes, P.A.; Paisana, H.; De Almeida, A.T. Hydroprinted Electronics: Ultrathin Stretchable Ag-In-Ga E-Skin for Bioelectronics and Human-Machine Interaction. ACS Appl. Mater. Interfaces 2018, 10, 38760–38768. [Google Scholar] [CrossRef]
- Linghu, C.; Zhang, S.; Wang, C. Transfer printing techniques for flexible and stretchable inorganic electronics. Flex. Electron. 2018, 2, 1–14. [Google Scholar] [CrossRef]
- Tavakoli, M.; Malakooti, M.H.; Paisana, H. EGaIn-Assisted Room-Temperature Sintering of Silver Nanoparticles for Stretchable, Inkjet-Printed, Thin-Film Electronics. Adv. Mater. 2018, 30, 1801852. [Google Scholar] [CrossRef]
- Wang, Q.; Ling, S.; Liang, X. Self-Healable Multifunctional Electronic Tattoos Based on Silk and Graphene. Adv. Funct. Mater. 2019, 29, 1808695. [Google Scholar] [CrossRef]
- Fan, J.A.; Yeo, W.H.; Su, Y. Fractal design concepts for stretchable electronics. Nat. Commun. 2014, 5, 3266. [Google Scholar] [CrossRef]
- Campbell, A.N.; Reynolds, W.F. THE SYSTEM SILVER–INDIUM–GALLIUM. Can. J. Chem. 1962, 40, 37–45. [Google Scholar] [CrossRef]
- Liu, S.; Yuen, M.C.; White, E.L. Laser Sintering of Liquid Metal Nanoparticles for Scalable Manufacturing of Soft and Flexible Electronics. ACS Appl. Mater. Interfaces 2018, 10, 28232–28241. [Google Scholar] [CrossRef] [PubMed]
- Cademartiri, L.; Thuo, M.M.; Nijhuis, C.A. Electrical Resistance of AgTS–S(CH2)n−1CH3//Ga2O3/EGaIn Tunneling Junctions. J. Phys. Chem. C 2012, 116, 10848–10860. [Google Scholar] [CrossRef]
- Raez, M.B.; Hussain, M.S.; Mohd-Yasin, F. Techniques of EMG signal analysis: Detection, processing, classification and applications. Biol. Proced. Online 2006, 8, 11–35. [Google Scholar] [CrossRef] [PubMed]









© 2020 by the authors. Licensee MDPI, Basel, Switzerland. This article is an open access article distributed under the terms and conditions of the Creative Commons Attribution (CC BY) license (http://creativecommons.org/licenses/by/4.0/).
Share and Cite
Zeng, X.; Dong, Y.; Wang, X. Flexible Electrode by Hydrographic Printing for Surface Electromyography Monitoring. Materials 2020, 13, 2339. https://doi.org/10.3390/ma13102339
Zeng X, Dong Y, Wang X. Flexible Electrode by Hydrographic Printing for Surface Electromyography Monitoring. Materials. 2020; 13(10):2339. https://doi.org/10.3390/ma13102339
Chicago/Turabian StyleZeng, Xiong, Ying Dong, and Xiaohao Wang. 2020. "Flexible Electrode by Hydrographic Printing for Surface Electromyography Monitoring" Materials 13, no. 10: 2339. https://doi.org/10.3390/ma13102339
APA StyleZeng, X., Dong, Y., & Wang, X. (2020). Flexible Electrode by Hydrographic Printing for Surface Electromyography Monitoring. Materials, 13(10), 2339. https://doi.org/10.3390/ma13102339
