Why Do Ferroelectrics Exhibit Negative Capacitance?
Abstract
:1. Introduction
2. Model Description
2.1. Feynman’s Pedagogical Model
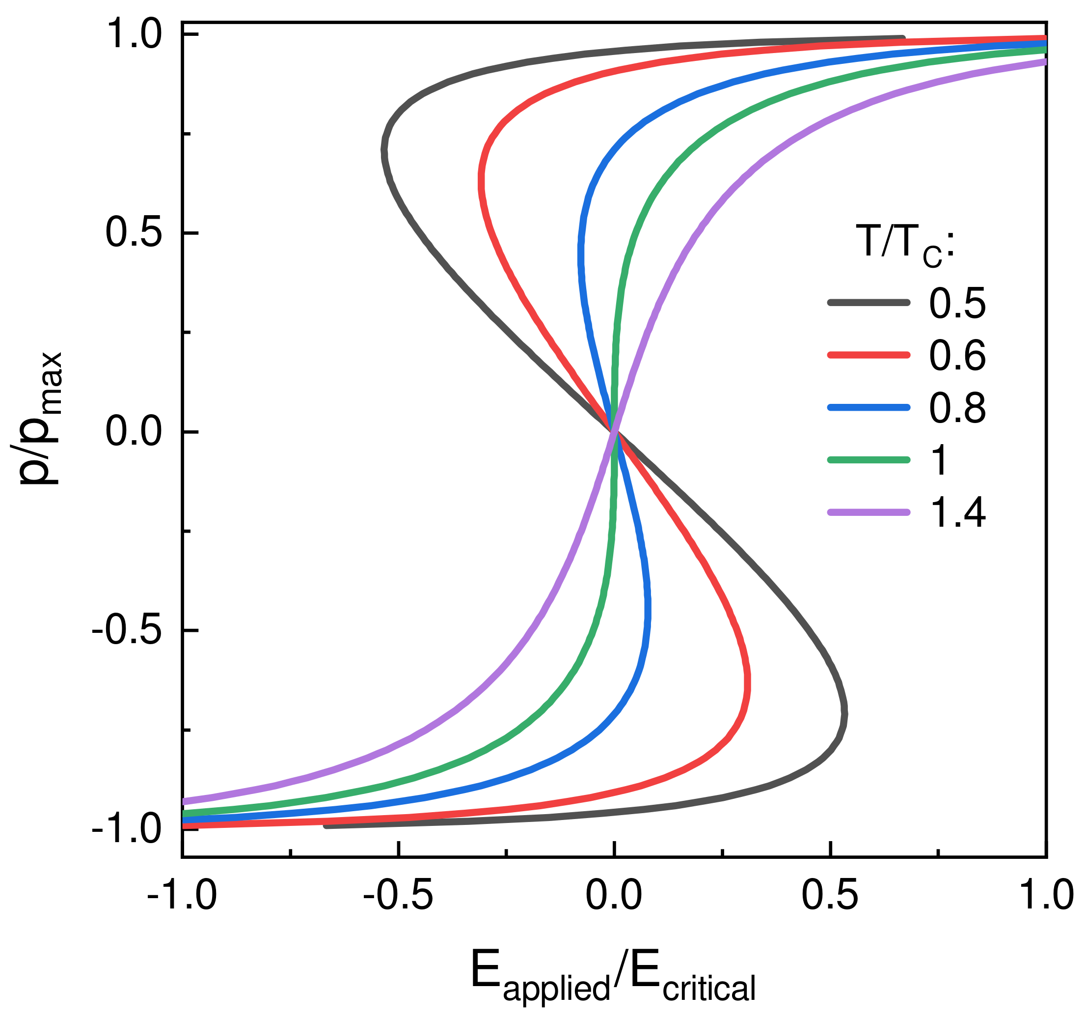
2.2. Relation between p and
3. Conclusions
Author Contributions
Funding
Acknowledgments
Conflicts of Interest
References
- Salahuddin, S.; Datta, S. Use of negative capacitance to provide voltage amplification for low power nanoscale devices. Nano Lett. 2008, 8, 405–410. [Google Scholar] [CrossRef] [PubMed]
- Landau, L.D. On the theory of phase transitions. Ukr. J. Phys. 1937, 11, 19–32. [Google Scholar] [CrossRef]
- Ginzburg, V.L. On the dielectric properties of ferroelectric (seignetteelectric) crystals and barium titanate. Zh. Eksp. Teor. Fiz. 1945, 15, 739. [Google Scholar]
- Devonshire, A.F. Theory of barium titanate-part I. Phil. Mag. 1949, 40, 1040–1063. [Google Scholar] [CrossRef]
- Landauer, R. Can capacitance be negative? Collect. Phenom. 1976, 2, 167–170. [Google Scholar]
- Islam Khan, A.; Bhowmik, D.; Yu, P.; Joo Kim, S.; Pan, X.; Ramesh, R.; Salahuddin, S. Experimental evidence of ferroelectric negative capacitance in nanoscale heterostructures. Appl. Phys. Lett. 2011, 99, 113501. [Google Scholar] [CrossRef]
- Hoffmann, M.; Fengler, F.P.; Herzig, M.; Mittmann, T.; Max, B.; Schroeder, U.; Negrea, R.; Lucian, P.; Slesazeck, S.; Mikolajick, T. Unveiling the double-well energy landscape in a ferroelectric layer. Nature 2019, 565, 464. [Google Scholar] [CrossRef]
- Yadav, A.K.; Nguyen, K.X.; Hong, Z.; García-Fernández, P.; Aguado-Puente, P.; Nelson, C.T.; Das, S.; Prasad, B.; Kwon, D.; Cheema, S.; et al. Spatially resolved steady-state negative capacitance. Nature 2019, 565, 468. [Google Scholar] [CrossRef]
- Zubko, P.; Wojdeł, J.C.; Hadjimichael, M.; Fernandez-Pena, S.; Sené, A.; Luk’yanchuk, I.; Triscone, J.M.; Íñiguez, J. Negative capacitance in multidomain ferroelectric superlattices. Nature 2016, 534, 524. [Google Scholar] [CrossRef]
- Appleby, D.J.; Ponon, N.K.; Kwa, K.S.; Zou, B.; Petrov, P.K.; Wang, T.; Alford, N.M.; O’Neill, A. Experimental observation of negative capacitance in ferroelectrics at room temperature. Nano Lett. 2014, 14, 3864–3868. [Google Scholar] [CrossRef]
- Landauer, R. Electrostatic considerations in BaTiO3 domain formation during polarization reversal. J. Appl. Phys. 1957, 28, 227–234. [Google Scholar] [CrossRef]
- Merz, W.J. Double Hysteresis Loop of BaTiO3 at the Curie Point. Phys. Rev. 1953, 91, 513. [Google Scholar] [CrossRef]
- Janovec, V. On the theory of the coercive field of single-domain crystals of BaTiO3. Cechoslov. Fiz. Zurnal 1958, 8, 3–15. [Google Scholar] [CrossRef]
- Feynman, R.P. The Feynman Lectures on Physics; Addison-Wesley: Reading, MA, USA, 1963. [Google Scholar]
- Kittel, C. Introduction to Solid State Physics; Wiley: New York, NY, USA, 1976; Volume 8. [Google Scholar]
- Wong, J.C.; Salahuddin, S. Negative Capacitance Transistors. Proc. IEEE 2018, 107, 49–62. [Google Scholar] [CrossRef]
- Khan, A.I. On the Microscopic Origin of Negative Capacitance in Ferroelectric Materials: A Toy Model. In Proceedings of the 2018 IEEE International Electron Devices Meeting (IEDM), San Francisco, CA, USA, 1–5 December 2018; pp. 9.3.1–9.3.4. [Google Scholar]
- Landau, L.D. Collected Papers of LD Landau; Pergamon Press: Oxford, UK, 1965. [Google Scholar]
- Kim, Y.J.; Yamada, H.; Moon, T.; Kwon, Y.J.; An, C.H.; Kim, H.J.; Kim, K.D.; Lee, Y.H.; Hyun, S.D.; Park, M.H.; et al. Time-dependent negative capacitance effects in Al2O3/BaTiO3 bilayers. Nano Lett. 2016, 16, 4375–4381. [Google Scholar] [CrossRef]
- Kim, K.D.; Kim, Y.J.; Park, M.H.; Park, H.W.; Kwon, Y.J.; Lee, Y.B.; Kim, H.J.; Moon, T.; Lee, Y.H.; Hyun, S.D.; et al. Transient Negative Capacitance Effect in Atomic-Layer-Deposited Al2O3/Hf0.3Zr0.7O2 Bilayer Thin Film. Adv. Funct. Mater. 2019, 29, 1808228. [Google Scholar] [CrossRef]
- Iniguez, J.; Zubko, P.; Luk’yanchuk, I.; Cano, A. Ferroelectric negative capacitance. Nat. Rev. Mater. 2019, 4, 243–256. [Google Scholar]
- Khan, A.I. Energy-Efficient Computing with Negative Capacitance. In Advanced Nanoelectronics; Wiley-VCH Verlag GmbH & Co. KGaA: Weinheim, Germany, 2018; Chapter 7; pp. 179–200. [Google Scholar]
- Liao, Y.; Kwon, D.; Lin, Y.; Tan, A.J.; Hu, C.; Salahuddin, S. Anomalously Beneficial Gate-Length Scaling Trend of Negative Capacitance Transistors. IEEE Electron Device Lett. 2019, 40, 1860–1863. [Google Scholar] [CrossRef]
- Alam, M.A.; Si, M.; Ye, P.D. A critical review of recent progress on negative capacitance field-effect transistors. Appl. Phys. Lett. 2019, 114, 090401. [Google Scholar] [CrossRef]
- Park, H.W.; Roh, J.; Lee, Y.B.; Hwang, C.S. Modeling of Negative Capacitance in Ferroelectric Thin Films. Adv. Mater. 2019, 5, 1805266. [Google Scholar] [CrossRef]
- Böscke, T.S.; Müller, J.; Bräuhaus, D.; Schröder, U.; Böttger, U. Ferroelectricity in Hafnium Oxide Thin Films. Appl. Phys. Lett. 2011, 99, 102903. [Google Scholar] [CrossRef]
- Müller, J.; Böscke, T.S.; Schröder, U.; Mueller, S.; Bräuhaus, D.; Böttger, U.; Frey, L.; Mikolajick, T. Ferroelectricity in Simple Binary ZrO2 and HfO2. Nano Lett. 2012, 12, 4318–4323. [Google Scholar] [CrossRef] [PubMed]
- Hoffmann, M.; Pešić, M.; Chatterjee, K.; Khan, A.I.; Salahuddin, S.; Slesazeck, S.; Schroeder, U.; Mikolajick, T. Direct Observation of Negative Capacitance in Polycrystalline Ferroelectric HfO2. Adv. Funct. Mater. 2016, 26, 8643–8649. [Google Scholar] [CrossRef]




© 2019 by the authors. Licensee MDPI, Basel, Switzerland. This article is an open access article distributed under the terms and conditions of the Creative Commons Attribution (CC BY) license (http://creativecommons.org/licenses/by/4.0/).
Share and Cite
Hoffmann, M.; Ravindran, P.V.; Khan, A.I. Why Do Ferroelectrics Exhibit Negative Capacitance? Materials 2019, 12, 3743. https://doi.org/10.3390/ma12223743
Hoffmann M, Ravindran PV, Khan AI. Why Do Ferroelectrics Exhibit Negative Capacitance? Materials. 2019; 12(22):3743. https://doi.org/10.3390/ma12223743
Chicago/Turabian StyleHoffmann, Michael, Prasanna Venkatesan Ravindran, and Asif Islam Khan. 2019. "Why Do Ferroelectrics Exhibit Negative Capacitance?" Materials 12, no. 22: 3743. https://doi.org/10.3390/ma12223743
APA StyleHoffmann, M., Ravindran, P. V., & Khan, A. I. (2019). Why Do Ferroelectrics Exhibit Negative Capacitance? Materials, 12(22), 3743. https://doi.org/10.3390/ma12223743

