Prognostic Value of Systemic Inflammatory Indices, NLR, PLR, and MPV, for Predicting 1-Year Survival of Patients Undergoing Cytoreductive Surgery with HIPEC
Abstract
:1. Introduction
2. Material and Methods
2.1. Patients
2.2. Data Collection
2.3. Statistical Analysis
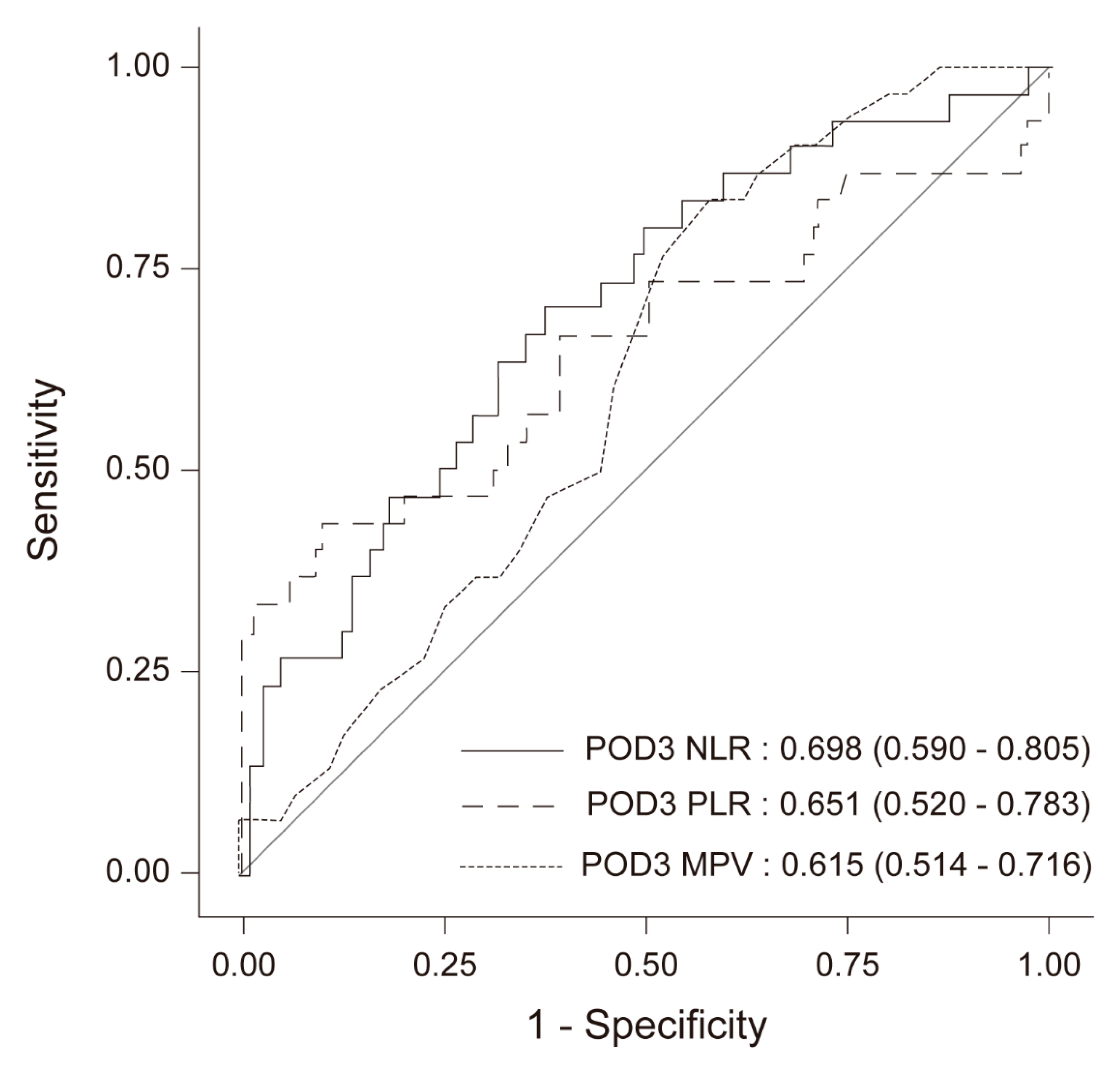
3. Results
3.1. Demographics and Perioperative Variables
3.2. Systemic Inflammatory Indexes, Based on the NLR, PLR, and MPV
3.3. Prognostic Factors Affecting 1-Year Survival after CRS with HIPEC
3.4. Overall Survival
4. Discussion
Author Contributions
Funding
Acknowledgments
Conflicts of Interest
References
- Sadeghi, B.; Arvieux, C.; Glehen, O.; Beaujard, A.C.; Rivoire, M.; Baulieux, J.; Fontaumard, E.; Brachet, A.; Caillot, J.L.; Faure, J.L.; et al. Peritoneal carcinomatosis from non-gynecologic malignancies: Results of the evocape 1 multicentric prospective study. Cancer 2000, 88, 358–363. [Google Scholar] [CrossRef]
 - Behrenbruch, C.; Hollande, F.; Thomson, B.; Michael, M.; Warrier, S.K.; Lynch, C.; Heriot, A. Treatment of peritoneal carcinomatosis with hyperthermic intraperitoneal chemotherapy in colorectal cancer. ANZ J. Surg. 2017, 87, 665–670. [Google Scholar] [CrossRef]
 - Glehen, O.; Mohamed, F.; Gilly, F.N. Peritoneal carcinomatosis from digestive tract cancer: New management by cytoreductive surgery and intraperitoneal chemohyperthermia. Lancet Oncol. 2004, 5, 219–228. [Google Scholar] [CrossRef]
 - Brucher, B.L.; Piso, P.; Verwaal, V.; Esquivel, J.; Derraco, M.; Yonemura, Y.; Gonzalez-Moreno, S.; Pelz, J.; Konigsrainer, A.; Strohlein, M.; et al. Peritoneal carcinomatosis: Cytoreductive surgery and hipec—Overview and basics. Cancer Investig. 2012, 30, 209–224. [Google Scholar] [CrossRef] [PubMed]
 - Yu, H.H.; Yonemura, Y.; Hsieh, M.C.; Mizumoto, A.; Wakama, S.; Lu, C.Y. Cytoreductive surgery and hyperthermic intraperitoneal chemotherapy for appendiceal goblet cell carcinomas with peritoneal carcinomatosis: Results from a single specialized center. Cancer Manag. Res. 2017, 9, 513–523. [Google Scholar] [CrossRef]
 - Pallas, N.; Karamveri, C.; Kyziridis, D.; Hristakis, C.; Kyriakopoulos, V.; Kalakonas, A.; Vaikos, D.; Tentes, A.K. Cytoreductive surgery and hyperthermic intraperitenoal chemotherapy (hipec) for colorectal and appendiceal carcinomas with peritoneal carcinomatosis. J. BUON 2017, 22, 1547–1553. [Google Scholar]
 - Cummins, K.A.; Russell, G.B.; Votanopoulos, K.I.; Shen, P.; Stewart, J.H.; Levine, E.A. Peritoneal dissemination from high-grade appendiceal cancer treated with cytoreductive surgery (CRS) and hyperthermic intraperitoneal chemotherapy (HIPEC). J. Gastrointest. Oncol. 2016, 7, 3–9. [Google Scholar]
 - Mantovani, A.; Allavena, P.; Sica, A.; Balkwill, F. Cancer-related inflammation. Nature 2008, 454, 436–444. [Google Scholar] [CrossRef]
 - Zheng, J.; Cai, J.; Li, H.; Zeng, K.; He, L.; Fu, H.; Zhang, J.; Chen, L.; Yao, J.; Zhang, Y.; et al. Neutrophil to lymphocyte ratio and platelet to lymphocyte ratio as prognostic predictors for hepatocellular carcinoma patients with various treatments: A meta-analysis and systematic review. Cell. Physiol. Biochem. 2017, 44, 967–981. [Google Scholar] [CrossRef]
 - Zhang, W.W.; Liu, K.J.; Hu, G.L.; Liang, W.J. Preoperative platelet/lymphocyte ratio is a superior prognostic factor compared to other systemic inflammatory response markers in ovarian cancer patients. Tumour Biol. 2015, 36, 8831–8837. [Google Scholar] [CrossRef]
 - Ying, H.Q.; Deng, Q.W.; He, B.S.; Pan, Y.Q.; Wang, F.; Sun, H.L.; Chen, J.; Liu, X.; Wang, S.K. The prognostic value of preoperative nlr, d-nlr, plr and lmr for predicting clinical outcome in surgical colorectal cancer patients. Med. Oncol. 2014, 31, 305. [Google Scholar] [CrossRef] [PubMed]
 - Yang, Y.; Xu, H.; Zhou, L.; Deng, T.; Ning, T.; Liu, R.; Zhang, L.; Wang, X.; Ge, S.; Li, H.; et al. Platelet to lymphocyte ratio is a predictive marker of prognosis and therapeutic effect of postoperative chemotherapy in non-metastatic esophageal squamous cell carcinoma. Clin. Chim. Acta 2018, 479, 160–165. [Google Scholar] [CrossRef] [PubMed]
 - Xiao, W.K.; Chen, D.; Li, S.Q.; Fu, S.J.; Peng, B.G.; Liang, L.J. Prognostic significance of neutrophil-lymphocyte ratio in hepatocellular carcinoma: A meta-analysis. BMC Cancer 2014, 14, 117. [Google Scholar] [CrossRef]
 - Gabay, C.; Kushner, I. Acute-phase proteins and other systemic responses to inflammation. N. Engl. J. Med. 1999, 340, 448–454. [Google Scholar] [CrossRef]
 - Rangarajan, K.; Chandrakumaran, K.; Dayal, S.; Mohamed, F.; Moran, B.J.; Cecil, T.D. The pre-operative neutrophil-lymphocyte ratio predicts overall and disease-free survival following cytoreductive surgery (CRS) and hyperthermic intraperitoneal chemotherapy (HIPEC) in patients with pseudomxyoma peritonei of appendiceal origin. Int. J. Hyperth. 2018, 34, 559–563. [Google Scholar] [CrossRef]
 - Bong, T.S.H.; Tan, G.H.C.; Chia, C.; Soo, K.C.; Teo, M.C.C. Preoperative platelet-lymphocyte ratio is an independent prognostic marker and superior to carcinoembryonic antigen in colorectal peritoneal carcinomatosis patients undergoing cytoreductive surgery and hyperthermic intraperitoneal chemotherapy. Int. J. Clin. Oncol. 2017, 22, 511–518. [Google Scholar] [CrossRef]
 - Bagante, F.; Tran, T.B.; Postlewait, L.M.; Maithel, S.K.; Wang, T.S.; Evans, D.B.; Hatzaras, I.; Shenoy, R.; Phay, J.E.; Keplinger, K.; et al. Neutrophil-lymphocyte and platelet-lymphocyte ratio as predictors of disease specific survival after resection of adrenocortical carcinoma. J. Surg. Oncol. 2015, 112, 164–172. [Google Scholar] [CrossRef]
 - Ho, C.L.; Lu, C.S.; Chen, J.H.; Chen, Y.G.; Huang, T.C.; Wu, Y.Y. Neutrophil/lymphocyte ratio, lymphocyte/monocyte ratio, and absolute lymphocyte count/absolute monocyte count prognostic score in diffuse large b-cell lymphoma: Useful prognostic tools in the rituximab era. Medicine 2015, 94, e993. [Google Scholar] [CrossRef] [PubMed]
 - Elias, D.; Gilly, F.; Quenet, F.; Bereder, J.M.; Sideris, L.; Mansvelt, B.; Lorimier, G.; Glehen, O. Pseudomyxoma peritonei: A french multicentric study of 301 patients treated with cytoreductive surgery and intraperitoneal chemotherapy. Eur. J. Surg. Oncol. 2010, 36, 456–462. [Google Scholar] [CrossRef]
 - Kusamura, S.; Hutanu, I.; Baratti, D.; Deraco, M. Circulating tumor markers: Predictors of incomplete cytoreduction and powerful determinants of outcome in pseudomyxoma peritonei. J. Surg. Oncol. 2013, 108, 1–8. [Google Scholar] [CrossRef]
 - Chua, T.C.; Chong, C.H.; Liauw, W.; Zhao, J.; Morris, D.L. Inflammatory markers in blood and serum tumor markers predict survival in patients with epithelial appendiceal neoplasms undergoing surgical cytoreduction and intraperitoneal chemotherapy. Ann. Surg. 2012, 256, 342–349. [Google Scholar] [CrossRef]
 - Kusamura, S.; Baratti, D.; Hutanu, I.; Gavazzi, C.; Morelli, D.; Iusco, D.R.; Grassi, A.; Bonomi, S.; Virzi, S.; Haeusler, E.; et al. The role of baseline inflammatory-based scores and serum tumor markers to risk stratify pseudomyxoma peritonei patients treated with cytoreduction (CRS) and hyperthermic intraperitoneal chemotherapy (HIPEC). Eur. J. Surg. Oncol. 2015, 41, 1097–1105. [Google Scholar] [CrossRef]
 - Roxburgh, C.S.; McMillan, D.C. Role of systemic inflammatory response in predicting survival in patients with primary operable cancer. Future Oncol. 2010, 6, 149–163. [Google Scholar] [CrossRef]
 - Sun, X.; Liu, X.; Liu, J.; Chen, S.; Xu, D.; Li, W.; Zhan, Y.; Li, Y.; Chen, Y.; Zhou, Z. Preoperative neutrophil-to-lymphocyte ratio plus platelet-to-lymphocyte ratio in predicting survival for patients with stage i-ii gastric cancer. Chin. J. Cancer 2016, 35, 57. [Google Scholar] [CrossRef] [PubMed]
 - Templeton, A.J.; McNamara, M.G.; Seruga, B.; Vera-Badillo, F.E.; Aneja, P.; Ocana, A.; Leibowitz-Amit, R.; Sonpavde, G.; Knox, J.J.; Tran, B.; et al. Prognostic role of neutrophil-to-lymphocyte ratio in solid tumors: A systematic review and meta-analysis. J. Natl. Cancer Inst. 2014, 106, dju124. [Google Scholar] [CrossRef]
 - Zhang, X.; Zhang, W.; Feng, L.J. Prognostic significance of neutrophil lymphocyte ratio in patients with gastric cancer: A meta-analysis. PLoS ONE 2014, 9, e111906. [Google Scholar] [CrossRef]
 - Cao, J.; Zhu, X.; Zhao, X.; Li, X.F.; Xu, R. Neutrophil-to-lymphocyte ratio predicts psa response and prognosis in prostate cancer: A systematic review and meta-analysis. PLoS ONE 2016, 11, e0158770. [Google Scholar] [CrossRef]
 - Paramanathan, A.; Saxena, A.; Morris, D.L. A systematic review and meta-analysis on the impact of pre-operative neutrophil lymphocyte ratio on long term outcomes after curative intent resection of solid tumours. Surg. Oncol. 2014, 23, 31–39. [Google Scholar] [CrossRef]
 - Lee, B.M.; Chung, S.Y.; Chang, J.S.; Lee, K.J.; Seong, J. The neutrophil-lymphocyte ratio and platelet-lymphocyte ratio are prognostic factors in patients with locally advanced pancreatic cancer treated with chemoradiotherapy. Gut Liver 2018, 12, 342–352. [Google Scholar] [CrossRef]
 - Templeton, A.J.; Ace, O.; McNamara, M.G.; Al-Mubarak, M.; Vera-Badillo, F.E.; Hermanns, T.; Seruga, B.; Ocana, A.; Tannock, I.F.; Amir, E. Prognostic role of platelet to lymphocyte ratio in solid tumors: A systematic review and meta-analysis. Cancer Epidemiol. Biomark. Prev. 2014, 23, 1204–1212. [Google Scholar] [CrossRef]
 - Wodarczyk, M.; Kasprzyk, J.; Sobolewska-Wodarczyk, A.; Wodarczyk, J.; Tchorzewski, M.; Dziki, A.; Dziki, Ƚ. Mean platelet volume as a possible biomarker of tumor progression in rectal cancer. Cancer Biomark. 2016, 17, 411–417. [Google Scholar] [CrossRef]
 - Kapsoritakis, A.N.; Koukourakis, M.I.; Sfiridaki, A.; Potamianos, S.P.; Kosmadaki, M.G.; Koutroubakis, I.E.; Kouroumalis, E.A. Mean platelet volume: A useful marker of inflammatory bowel disease activity. Am. J. Gastroenterol. 2001, 96, 776–781. [Google Scholar] [CrossRef]
 - Lee, Y.H.; Song, G.G. Neutrophil-to-lymphocyte ratio, mean platelet volume and platelet-to-lymphocyte ratio in behcet’s disease and their correlation with disease activity: A meta-analysis. Int. J. Rheum. Dis. 2018, 21, 2180–2187. [Google Scholar] [CrossRef]
 - Sobolewska, A.; Wlodarczyk, M.; Stec-Michalska, K.; Fichna, J.; Wisniewska-Jarosinska, M. Mean platelet volume in crohn’s disease patients predicts sustained response to a 52-week infliximab therapy: A pilot study. Dig. Dis. Sci. 2016, 61, 542–549. [Google Scholar] [CrossRef]
 - Kurt, M.; Onal, I.K.; Sayilir, A.Y.; Beyazit, Y.; Oztas, E.; Kekilli, M.; Turhan, N.; Karaman, K.; Akdogan, M. The role of mean platelet volume in the diagnosis of hepatocellular carcinoma in patients with chronic liver disease. Hepatogastroenterology 2012, 59, 1580–1582. [Google Scholar]
 - Kilincalp, S.; Ekiz, F.; Basar, O.; Ayte, M.R.; Coban, S.; Yilmaz, B.; Altinbas, A.; Basar, N.; Aktas, B.; Tuna, Y.; et al. Mean platelet volume could be possible biomarker in early diagnosis and monitoring of gastric cancer. Platelets 2014, 25, 592–594. [Google Scholar] [CrossRef]
 - Oge, T.; Yalcin, O.T.; Ozalp, S.S.; Isikci, T. Platelet volume as a parameter for platelet activation in patients with endometrial cancer. J. Obstet. Gynaecol. 2013, 33, 301–304. [Google Scholar] [CrossRef]
 - Li, J.Y.; Li, Y.; Jiang, Z.; Wang, R.T.; Wang, X.S. Elevated mean platelet volume is associated with presence of colon cancer. Asian Pac. J. Cancer Prev. 2014, 15, 10501–10504. [Google Scholar] [CrossRef]
 




| Variables | Non-Survival (N = 31) | Survival (N = 129) | p Value | 
|---|---|---|---|
| Age, years | 55.7 (13.5) | 55.1 (11.8) | 0.815 | 
| Male sex | 19 (61%) | 60 (47%) | 0.140 | 
| Body mass index, kg/m2 | 19.9 (3.7) | 22.0 (3.7) | 0.007 * | 
| ASA physical status | 0.285 | ||
| I | 5 (16%) | 37 (29%) | |
| II | 20 (65%) | 76 (59%) | |
| III | 6 (19%) | 16 (12%) | |
| Comorbidities | |||
| Hypertension | 7 (23%) | 37 (29%) | 0.495 | 
| Diabetes mellitus | 2 (6%) | 18 (14%) | 0.369 | 
| Prior chemotherapy | 24 (77%) | 81 (63%) | 0.124 | 
| Preoperative PCI score | 19.4 (11.7) | 12.6 (10.9) | 0.004 * | 
| Combined surgery | 20 (65%) | 78 (60%) | 0.678 | 
| Operation time, min | 649.5 (191.3) | 593.2 (195.3) | 0.150 | 
| Intraoperative input and output | |||
| Total fluid, mL | 7183 (2694) | 6900 (3168) | 0.647 | 
| Colloid, mL | 952 (582) | 6032 (2960) | 0.425 | 
| 20% Albumin, mL | 148 (190) | 111 (160) | 0.259 | 
| Blood loss, mL | 1373 (978) | 1076 (1028) | 0.148 | 
| Urine output, mL | 1040 (670) | 1104 (718) | 0.652 | 
| pRBC, n | 1.9 (2.4) | 0.9 (1.5) | 0.039 * | 
| Number of patients who received inotropic agents | |||
| Phenylephrine, n | 13 (42%) | 66 (51%) | 0.356 | 
| Norepinephrine, n | 20 (65%) | 60 (47%) | 0.072 | 
| Temperature | |||
| Prior to operation | 36.3 (0.5) | 36.2 (0.3) | 0.161 | 
| Highest | 38.6 (0.6) | 38.5 (0.8) | 0.430 | 
| At the end of operation | 36.3 (0.5) | 36.4 (0.6) | 0.621 | 
| ICU admission, n | 30 (97%) | 112 (87%) | 0.202 | 
| APACHE score | 16.4 (6.6) | 15.1 (6.8) | 0.346 | 
| Types of cancer | 0.425 | ||
| Appendiceal cancer | 6 (19.4%) | 23 (17.8%) | |
| Ascending colon cancer | 7 (22.6%) | 21 (16.3%) | |
| Cecal cancer | 3 (9.7%) | 6 (4.7%) | |
| Descending colon cancer | 2 (6.5%) | 3 (2.3%) | |
| Peritoneal mesothelioma | 1 (3.2%) | 7 (5.4%) | |
| Rectal cancer | 5 (16.1%) | 19 (14.7%) | |
| Sigmoid cancer | 5 (16.1%) | 43 (33.3%) | |
| Transverse colon cancer | 2 (6.5%) | 7 (5.4%) | |
| Preoperative | |||
| NLR | 4.6 (4.4) | 2.2 (1.5) | 0.005 * | 
| PLR | 243.3 (135.8) | 150.7 (84.8) | <0.001 * | 
| MPV | 9.8 (1.1) | 9.5 (0.9) | 0.094 | 
| Postoperative Day 2 | |||
| NLR | 21.6 (13.7) | 14.7 (9.2) | 0.014 * | 
| PLR | 309.3 (208.6) | 207.0 (95.3) | 0.013 * | 
| MPV | 10.6 (1.0) | 10.3 (0.8) | 0.153 | 
| Postoperative Day 3 | |||
| NLR | 25.3 (19.4) | 14.8 (12.5) | 0.008 * | 
| PLR | 358.2 (228.5) | 226.7 (107.3) | 0.004 * | 
| MPV | 10.7 (0.9) | 10.2 (1.3) | 0.018 * | 
| Postoperative Day 4 | |||
| NLR | 17.5 (12.0) | 10.9 (8.5) | 0.008 * | 
| PLR | 385.3 (229.1) | 291.7 (166.0) | 0.043 * | 
| MPV | 10.6 (0.9) | 10.2 (0.8) | 0.013 * | 
| Postoperative Day 5 | |||
| NLR | 10.8 (5.5) | 7.6 (6.7) | 0.019 * | 
| PLR | 373.2 (246.2) | 290.0 (167.5) | 0.094 * | 
| MPV | 10.7 (0.9) | 10.1 (1.2) | 0.007 * | 
| Variables | 1-Year Survival | |
|---|---|---|
| HR (95% CI) | p Value | |
| Age, years | 1.005 (0.976–1.035) | 0.750 | 
| Female sex | 1.691 (0.821–3.485) | 0.154 | 
| Body mass index, kg/m2 | 0.872 (0.787–0.966) | 0.009* | 
| ASA physical status | ||
| I | 1 | |
| II | 1.804 (0.677–4.806) | 0.238 | 
| III | 2.513 (0.767–8.236) | 0.128 | 
| Comorbidities | ||
| Hypertension | 0.762 (0.328–1.769) | 0.527 | 
| Diabetes mellitus | 0.448 (0.107–1.876) | 0.272 | 
| Prior chemotherapy | 1.934 (0.833–4.488) | 0.125 | 
| Preoperative PCI score | 1.042 (1.012–1.074) | 0.006 * | 
| Combined surgery | 1.144 (0.548–2.388) | 0.720 | 
| Operation time, min | 1.001 (0.999–1.003) | 1.956 | 
| Intraoperative input and output | ||
| Total fluid, mL | 1.000 (1.000–1.000) | 0.769 | 
| Colloid, mL | 1.000 (1.000–1.001) | 0.470 | 
| 20% Albumin, mL | 1.112 (0.924–1.338) | 0.261 | 
| Blood loss, mL | 1.000 (1.000–1.000) | 0.179 | 
| Urine output, mL | 1.000 (0.999–1.000) | 0.589 | 
| pRBC, n | 1.226 (1.057–1.421) | 0.007 * | 
| Number of patients who received inotropic agents | ||
| Phenylephrine, n | 0.717 (0.351–1.464) | 0.361 | 
| Norepinephrine, n | 1.972 (0.945–4115) | 0.071 | 
| Temperature | ||
| Prior to operation | 2.316 (0.895–5.991) | 0.083 | 
| Highest | 1.217 (0.760–1.950) | 0.414 | 
| At the end of operation | 0.852 (0.451–1.610) | 0.622 | 
| ICU admission, n | 4.177 (0.570–30.629) | 0.160 | 
| APACHE score | 1.024 (0.975–1.076) | 0.340 | 
| Types of cancer | ||
| Appendiceal cancer | 1 | |
| Ascending colon cancer | 1.194 (0.401–3.552) | 0.750 | 
| Cecal cancer | 1.558 (0.389–6.229) | 0.531 | 
| Descending colon cancer | 2.381 (0.480–11.812) | 0.288 | 
| Peritoneal mesothelioma | 0.529 (0.064–4.398) | 0.529 | 
| Rectal cancer | 1.037 (0.316–3.397) | 0.952 | 
| Sigmoid cancer | 0.463 (0.141–1.518) | 0.204 | 
| Transverse colon cancer | 1.029 (0.208–5.097) | 0.972 | 
| Preoperative | ||
| NLR | 1.289 (1.185–1.403) | <0.001 * | 
| PLR | 1.005 (1.003–1.007) | <0.001 * | 
| MPV | 1.371 (0.942–1.993) | 0.099 | 
| Postoperative day 2 | ||
| NLR | 1.037 (1.014–1.061) | 0.001 * | 
| PLR | 1.004 (1.002–1.006) | <0.001 * | 
| MPV | 1.316 (0.895–1.935) | 0.163 | 
| Postoperative day 3 | ||
| NLR | 1.026 (1.011–1.041) | <0.001 * | 
| PLR | 1.005 (1.003–1.007) | <0.001 * | 
| MPV | 1.564 (1.062–2.303) | 0.023 * | 
| Postoperative day 4 | ||
| NLR | 1.041 (1.016–1.067) | 0.001 * | 
| PLR | 1.002 (1.000–1.004) | 0.012 * | 
| MPV | 1.617 (1.099–2.381) | 0.015 * | 
| Postoperative day 5 | ||
| NLR | 1.038 (1.005–1.073) | 0.025 * | 
| PLR | 1.002 (1.000–1.004) | 0.018 * | 
| MPV | 1.884 (1.312–2.707) | <0.001 * | 
| Preoperative | Postoperative Day 2 | Postoperative Day 3 | Postoperative Day 4 | Postoperative Day 5 | ||||||
|---|---|---|---|---|---|---|---|---|---|---|
| HR (95% CI) | p Value | HR (95% CI) | p Value | HR (95% CI) | p Value | HR (95% CI) | p Value | HR (95% CI) | p Value | |
| BMI | 0.897 (0.789–1.021) | 0.099 | 0.968 (0.856–1.094) | 0.600 | 0.978 (0.866–1.105) | 0.719 | 0.961 (0.853–1.083) | 0.516 | 0.948 (0.840–1.069) | 0.384 | 
| Pre-PCI score | 1.016 (0.980–1.054) | 0.375 | 1.017 (0.981–1.055) | 0.359 | 1.015 (0.977–1.054) | 0.436 | 1.025 (0.987–1.064) | 0.204 | 1.029 (0.993–1.066) | 0.113 | 
| pRBC, n | 1.180 (0.952–1.463) | 0.130 | 1.216 (0.968–1.528) | 0.092 | 1.192 (0.970–1.466) | 0.095 | 1.112 (0.899–1.376) | 0.326 | 1.194 (0.958–1.489) | 0.115 | 
| NLR | 1.250 (1.118–1.398) | <0.001 * | 0.983 (0.944–1.024) | 0.420 | 0.977 (0.953–1.002) | 0.071 | 0.992 (0.954–1.032) | 0.705 | 0.958 (0.906–1.013) | 0.135 | 
| PLR | 1.001 (0.998–1.004) | 0.482 | 1.004 (1.002–1.007) | 0.001 * | 1.005 (1.003–1.008) | <0.001 * | 1.002 (1.000–1.003) | 0.115 | 1.003 (1.001–1.005) | 0.007 * | 
| MPV | 1.658 (1.071–2.566) | 0.023 * | 1.522 (1.017–2.276) | 0.041 * | 1.820 (1.158–2.859) | 0.009 * | 1.532 (0.978–2.398) | 0.062 | 1.970 (1.298–2.990) | 0.002 * | 
© 2019 by the authors. Licensee MDPI, Basel, Switzerland. This article is an open access article distributed under the terms and conditions of the Creative Commons Attribution (CC BY) license (http://creativecommons.org/licenses/by/4.0/).
Share and Cite
Kim, N.Y.; Chun, D.-H.; Kim, S.Y.; Kim, N.K.; Baik, S.H.; Hong, J.H.; Kim, K.S.; Shin, C.-s. Prognostic Value of Systemic Inflammatory Indices, NLR, PLR, and MPV, for Predicting 1-Year Survival of Patients Undergoing Cytoreductive Surgery with HIPEC. J. Clin. Med. 2019, 8, 589. https://doi.org/10.3390/jcm8050589
Kim NY, Chun D-H, Kim SY, Kim NK, Baik SH, Hong JH, Kim KS, Shin C-s. Prognostic Value of Systemic Inflammatory Indices, NLR, PLR, and MPV, for Predicting 1-Year Survival of Patients Undergoing Cytoreductive Surgery with HIPEC. Journal of Clinical Medicine. 2019; 8(5):589. https://doi.org/10.3390/jcm8050589
Chicago/Turabian StyleKim, Na Young, Duk-Hee Chun, So Yeon Kim, Nam Kyu Kim, Seung Hyuk Baik, Jung Hwa Hong, Kyung Sub Kim, and Cheung-soo Shin. 2019. "Prognostic Value of Systemic Inflammatory Indices, NLR, PLR, and MPV, for Predicting 1-Year Survival of Patients Undergoing Cytoreductive Surgery with HIPEC" Journal of Clinical Medicine 8, no. 5: 589. https://doi.org/10.3390/jcm8050589
APA StyleKim, N. Y., Chun, D.-H., Kim, S. Y., Kim, N. K., Baik, S. H., Hong, J. H., Kim, K. S., & Shin, C.-s. (2019). Prognostic Value of Systemic Inflammatory Indices, NLR, PLR, and MPV, for Predicting 1-Year Survival of Patients Undergoing Cytoreductive Surgery with HIPEC. Journal of Clinical Medicine, 8(5), 589. https://doi.org/10.3390/jcm8050589
        
