Transcriptomic Characterization of Genes Harboring Markers Linked to Maize Yield
Abstract
1. Introduction
2. Materials and Methods
2.1. Material
2.2. Methods
2.2.1. Field Experiment
2.2.2. Weather Conditions in the Area Where the Field Experiment Was Established
2.2.3. Selection of Candidate Genes and Their Associated Molecular Markers
2.2.4. Total RNA Isolation and Reverse Transcription Reaction
2.2.5. qPCR Analyses
2.2.6. Transcriptomic Data Analysis
2.2.7. DNA Isolation
2.2.8. PCR Conditions
2.2.9. Electrophoresis
2.2.10. Statistical Analysis
3. Results
3.1. Phenotypic Variability
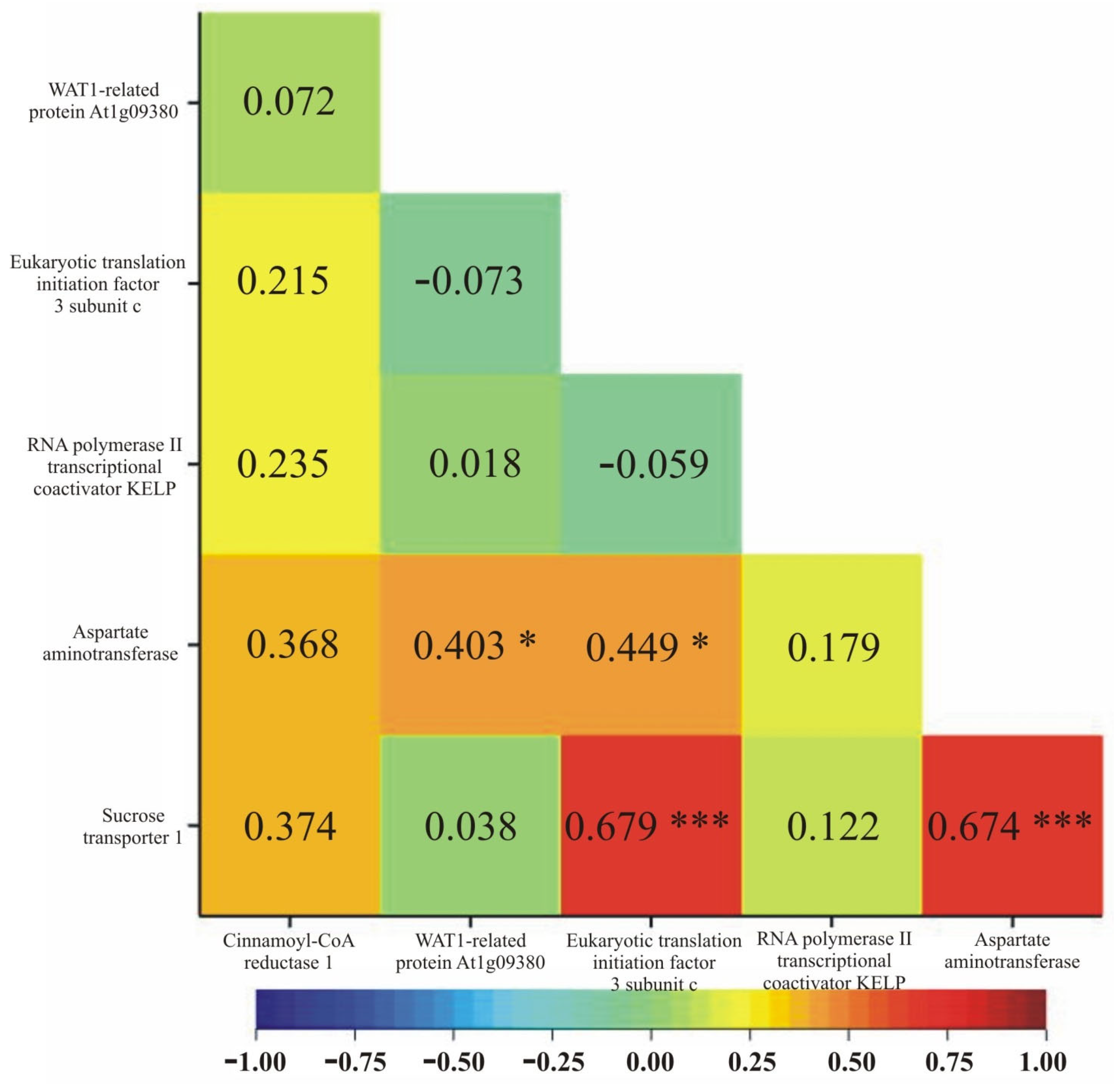
3.2. Expression of Candidate Genes Linked to High Maize Yield
3.3. The Effect of Normalized Gene Expression on Yield in Years
3.4. Transcriptomic Data Analysis
3.5. Identification of SilicoDArT Markers Linked to Candidate Genes Determining Maize Grain Yield
4. Discussion
5. Conclusions
Author Contributions
Funding
Institutional Review Board Statement
Informed Consent Statement
Data Availability Statement
Conflicts of Interest
References
- Mano, Y.; Omori, F. Flooding tolerance in interspecific introgression lines containing chromosome segments from teosinte (Zea nicaraguensis) in maize (Zea mays ssp. mays). Ann. Bot. 2013, 112, 1125–1139. [Google Scholar] [CrossRef] [PubMed]
- Ellstrand, N.C.; Garner, L.C.; Hegde, S.; Guadagnuolo, R.; Blancas, L. Spontaneous hybridization between maize and teosinte. J. Hered. 2007, 98, 183–187. [Google Scholar] [CrossRef] [PubMed]
- Fukunaga, K.; Hill, J.; Vigouroux, Y.; Matsuoka, Y.; Sanchez, G.J.; Liu, K.; Buckler, E.S.; Doebleyet, J. Genetic diversity and population structure of teosinte. Genetics 2005, 169, 2241–2254. [Google Scholar] [CrossRef] [PubMed]
- Zhang, H.; Lu, Y.; Ma, Y.; Fu, J.; Wang, J. Genetic and molecular control of grain yield in maize. Mol. Breed. 2021, 41, 18. [Google Scholar] [CrossRef] [PubMed]
- Guo, W.; Lian, T.; Wang, B.; Guan, J.; Yuan, D.; Wang, H.; Azam, F.M.S.; Wan, X.; Wang, W.; Liang, Q.; et al. Genetic mapping of folate QTLs using a segre-gated population in maize (Zea mays L.). J. Integr. Plant Biol. 2019, 61, 675–690. [Google Scholar] [CrossRef]
- Zhu, M.; Tong, L.; Xu, M.; Zhong, T. Genetic dissection of maize disease resistance and its applications in molecular breeding. Mol. Breed. 2021, 41, 32. [Google Scholar] [CrossRef]
- Xu, Y.; Li, P.; Yang, Z.; Xu, C. Genetic mapping of quantitative trait loci in crops. Crop J. 2017, 5, 175–184. [Google Scholar] [CrossRef]
- Zenke-Philippi, C.; Frisch, M.; Thiemann, A.; Seifert, F.; Schrag, T.; Melchinger, A.E.; Herzog, E. Transcriptome-based prediction of hybrid performance with unbalanced data from a maize breeding programme. Plant Breed. 2017, 136, 331–337. [Google Scholar] [CrossRef]
- Baird, N.A.; Etter, P.D.; Atwood, T.S.; Curey, M.C.; Shiver, A.L.; Lewis, Z.A.; Selker, E.U.; Cresko, W.A.; Johnson, E.A. Rapid SNP Discovery and Genetic Mapping Using Sequenced RAD Markers. PLoS ONE 2008, 3, e3376. [Google Scholar] [CrossRef] [PubMed]
- Guo, Z.; Tucker, D.M.; Wang, D.; Basten, C.J.; Ersoz, E.; Briggs, W.H.; Lu, J.; Li, M.; Gay, G. Accuracy of Across-Environment Genome-Wide Prediction in Maize Nested Association Mapping Populations. G3 Genes Genomes Genet. 2013, 3, 263–272. [Google Scholar] [CrossRef]
- Benke, A.; Urbany, C.; Stich, B. Genome-wide association mapping of iron homeostasis in the maize association population. BMC Genet. 2015, 16, 1. [Google Scholar] [CrossRef] [PubMed]
- Tomkowiak, A.; Nowak, B.; Sobiech, A.; Bocianowski, J.; Wolko, Ł.; Spychała, J. The use of DArTseq technology to identify new SNP and SilicoDArT markers related to the yield-related traits components in maize. Genes 2022, 13, 848. [Google Scholar] [CrossRef] [PubMed]
- Nowak, B.; Tomkowiak, A.; Sobiech, A.; Bocianowski, J.; Kowalczewski, P.Ł.; Spychała, J.; Jamruszka, T. Identification and analysis of candidate genes associated with yield structure traits and maize yield using next-generation sequencing technology. Genes 2024, 15, 56. [Google Scholar] [CrossRef] [PubMed]
- Abbasi, Z.; Majidi, M.M.; Arzani, A.; Rajabi, A.; Mashayekhi, P.; Bocianowski, J. Association of SSR markers and morpho-physiological traits associated with salinity tolerance in sugar beet (Beta vulgaris L.). Euphytica 2015, 205, 785–797. [Google Scholar] [CrossRef]
- Erayman, M.; İlhan, E.; Guzel, Y.; Eren, A.H. Transferability of SSR markers from distantly related legumes to Glycyrrhiza species. Turk. J. Agric. 2014, 38, 32–38. [Google Scholar] [CrossRef]
- Ipek, M.; Sahin, N.; Ipek, A.; Cansev, A.; Simon, P.W. Development and validation of new SSR markers from expressed regions in the garlic genome. Sci. Agric. 2015, 72, 41–46. [Google Scholar] [CrossRef]
- Krishna, M.S.R.; Reddy, S.S.; Chinna Babu Naik, V. Assessment of genetic diversity in quality protein maize (QPM) lines using simple sequence repeat (SSR) markers. Afr. J. Biotechnol. 2012, 11, 16427–16433. [Google Scholar]
- Legesse, B.W.; Myburg, A.A.; Pixley, K.V.; Botha, A.M. Genetic diversity of African maize inbred lines revealed by SSR markers. Hereditas 2006, 144, 10–17. [Google Scholar] [CrossRef]
- Song, L.Y.; Liu, X.; Chen, W.G.; Hao, Z.F.; Bai, L.; Zhang, D.G. Genetic relationships among Chinese maize OPVs based on SSR markers. J. Integr. Agric. 2013, 12, 1130–1137. [Google Scholar] [CrossRef]
- Srdić, J.; Nikolić, A.; Pajić, Z.; Mladenović Drinić, S.; Filipović, M. Genetic similarity of sweet corn inbred lines in correlation with heterosis. Maydica 2011, 56, 251–256. [Google Scholar]
- Shiferaw, B.; Prasanna, B.M.; Hellin, J.; Bänziger, M. Crops that feed the world 6. Past successes and future challenges to the role played by maize in global food security. Food Secur. 2011, 3, 307–327. [Google Scholar] [CrossRef]
- Semagn, K.; Beyene, Y.; Makumbi, D.; Mugo, S.; Prasanna, B.M.; Magorokosho, C.; Atlin, G. Quality control genotyping for assessment of genetic identity and purity in diverse tropical maize inbred lines. Theor. Appl. Genet. 2012, 125, 1487–1501. [Google Scholar] [CrossRef] [PubMed]
- Semagn, K.; Bjørnstad, A.; Ndjiondjop, M. An overview of molecular marker methods for plants. Afr. J. Biotechnol. 2006, 5, 2540–2568. [Google Scholar]
- Hamblin, M.T.; Warburton, M.L.; Buckler, E.S. Empirical comparison of simple sequence repeats and single nucleotide polymorphisms in assessment of maize diversity and relatedness. PLoS ONE 2007, 2, e1367. [Google Scholar] [CrossRef]
- Ertiro, B.T.; Ogugo, V.; Worku, M.; Das, B.; Olsen, M.; Labuschagne, M.; Semagn, K. Comparison of Kompetitive Allele Specific PCR (KASP) and genotyping by sequencing (GBS) for quality control analysis in maize. BMC Genom. 2015, 16, 908–910. [Google Scholar] [CrossRef]
- Shapiro, S.S.; Wilk, M.B. An analysis of variance test for normality (complete samples). Biometrika 1965, 52, 591–611. [Google Scholar] [CrossRef]
- Wolko, J.; Łopatyńska, A.; Wolko, Ł.; Bocianowski, J.; Mikołajczyk, K.; Liersch, A. Identification of SSR Markers Associated with Yield-Related Traits and Heterosis Effect in Winter Oilseed Rape (Brassica napus L.). Agronomy 2022, 12, 1544. [Google Scholar] [CrossRef]
- Bocianowski, J.; Jakubowska, M.; Zawada, D.; Dobosz, R. The Effect of Acaricide Control of the Two-Spotted Spider Mite Tetranychus urticae Koch on the Cultivation of Sugar Beet (Beta vulgaris L.) and on the Size and Quality of the Yield. Appl. Sci. 2022, 12, 12139. [Google Scholar] [CrossRef]
- Mahalanobis, P.C. On the generalized distance in statistics. Proc. Natl. Acad. Sci. USA 1936, 12, 49–55. [Google Scholar]
- Bocianowski, J.; Majchrzak, L. Analysis of effects of cover crop and tillage method combinations on the phenotypic traits of spring wheat (Triticum aestivum L.) using multivariate methods. Appl. Ecol. Environ. Res. 2019, 17, 15267–15276. [Google Scholar] [CrossRef]
- Warzecha, T.; Bathelt, R.; Skrzypek, E.; Warchoł, M.; Bocianowski, J.; Sutkowska, A. Studies of Oat-Maize Hybrids Tolerance to Soil Drought Stress. Agriculture 2023, 13, 243. [Google Scholar] [CrossRef]
- VSN International. Genstat for Windows, 23rd ed.; VSN International: Hemel Hempstead, UK, 2023. [Google Scholar]
- Walley, J.W.; Sartor, R.C.; Shen, Z.; Schmitz, R.J.; Wu, K.J.; Urich, M.A.; Nery, J.R.; Smith, L.G.; Schnable, J.C.; Ecker, J.R.; et al. Integration of omic networks in a developmental atlas of maize. Science. 2016, 353, 814–818. [Google Scholar] [CrossRef] [PubMed]
- Wan, W.; Kim, S.; Castel, B.; Charoennit, N.; Chae, E. Genetics of Autoimmunity in Plants: An Evolutionary Genetics Perspective. New Phytol. 2021, 229, 1215–1233. [Google Scholar] [CrossRef] [PubMed]
- Liu, H.; Niu, Y.; Gonzalez-Portilla, P.J.; Zhou, H.; Wang, L.; Zuo, T.; Qin, C.; Tai, S.; Jansen, C.; Shen, Y. An Ultra-HighDensity Map as a Community Resource for Discerning the Genetic Basis of Quantitative Traits in Maize. BMC Genom. 2015, 16, 1078. [Google Scholar] [CrossRef] [PubMed]
- Andorf, C.M.; Cannon, E.K.; Portwood, J.L.; Gardiner, J.M.; Harper, L.C.; Schaeffer, M.L.; Braun, B.L.; Campbell, D.A.; Vinnakota, A.G.; Sribalusu, V.V. Maize GDB Update: New Tools, Data and Interface for the Maize Model Organism Database. Nucleic Acids Res. 2016, 44, D1195–D1201. [Google Scholar] [CrossRef]
- Araus, J.L.; Cairns, J.E. Field high-throughput phenotyping: The new crop breeding frontier. Trends Plant Sci. 2014, 19, 52–61. [Google Scholar] [CrossRef]
- Godfray, H.C.J. How can 9–10 billion people be fed sustainably and equitably by 2050. In Is the Planet Full; Goldin., I., Ed.; Oxford University Press: Oxford, UK, 2014; pp. 104–120. [Google Scholar]
- Shendure, J.; Ji, H. Next-generation DNA sequencing. Nat. Biotechnol. 2008, 26, 1135–1145. [Google Scholar] [CrossRef]
- Michael, T.P.; VanBuren, R. Progress, challenges and the future of crop genomes. Curr. Opin. Plant Biol. 2015, 24, 71–81. [Google Scholar] [CrossRef]
- Tomkowiak, A. Identification of SNP and SilicoDArT Markers and Characterization of Their Linked Candidate Genes Associated with Maize Smut Resistance. Int. J. Mol. Sci. 2024, 25, 11358. [Google Scholar] [CrossRef]
- Bocianowski, J.; Tomkowiak, A.; Bocianowska, M.; Sobiech, A. The use of DArTseq technology to identify markers related to the heterosis effects in selected traits in maize. Curr. Issues Mol. Biol. 2023, 45, 2644–2660. [Google Scholar] [CrossRef]
- Sobiech, A.; Tomkowiak, A.; Bocianowski, J.; Szymańska, G.; Nowak, B.; Lenort, M. Identification and analysis of candidate genes associated with maize fusarium cob resistance using next-generation sequencing technology. Int. J. Mol. Sci. 2023, 24, 16712. [Google Scholar] [CrossRef] [PubMed]
- Soto, J.; Rodriguez-Antoli, C.; Vallespín, E.; de Castro Carpeño, J.; Ibanez de Caceres, I. The Impact of Next-Generation Sequencing on the DNA Methylation–Based Translational Cancer Research. Transl. Res. 2016, 169, 1–18.e1. [Google Scholar] [CrossRef] [PubMed]
- Addo-Quaye, C.; Buescher, E.; Best, N.; Chaikam, V.; Baxter, I.; Dilkes, B.P. Forward Genetics by Sequencing EMS Variation Induced Inbred Lines. G3 Genes Genomes Genet. 2017, 7, 413–425. [Google Scholar] [CrossRef] [PubMed]
- Anandhakumar, C.; Kizaki, S.; Bando, T.; Pandian, G.N.; Sugiyama, H. Advancing Small-Molecule-Based Chemical Biology with Next-Generation Sequencing Technologies. ChemBioChem 2015, 16, 20–38. [Google Scholar] [CrossRef]
- Ding, J.; Ali, F.; Chen, G.; Li, H.; Mahuku, G.; Yang, N.; Narro, L.; Magorokosho, C.; Makumbi, D.; Yan, J. Genome-Wide Association Mapping Reveals Novel Sources of Resistance to Northern Corn Leaf Blight in Maize. BMC Plant Biol. 2015, 15, 206. [Google Scholar] [CrossRef]
- Thompson, J.F.; Milos, P.M. The Properties and Applications of Single-Molecule DNA Sequencing. Genome Biol. 2011, 12, 217. [Google Scholar] [CrossRef]
- Jiao, Y.; Peluso, P.; Shi, J.; Liang, T.; Stitzer, M.C.; Wang, B.; Campbell, M.S.; Stein, J.C.; Wei, X.; Chin, C. Improved Maize Reference Genome with Single-Molecule Technologies. Nature 2017, 546, 524–527. [Google Scholar] [CrossRef]
- Egan, A.N.; Schlueter, J.; Spooner, D.M. Applications of Next-Generation Sequencing in Plant Biology. Am. J. Bot. 2019, 99, 175–185. [Google Scholar] [CrossRef]
- Wilhelm, E.P.; Mullen, R.E.; Keeling, P.L.; Singletary, G.W. Heat stress during grain filling in maize: Effects on kernel growth and metabolism. Crop Sci. 1999, 39, 1733–1741. [Google Scholar] [CrossRef]
- Peng, B.; Guan, K.; Pan, M.; Li, Y. Benefits of seasonal climate prediction and satellite data for forecasting US maize yield. Geophys. Res. Lett. 2018, 45, 9662–9671. [Google Scholar] [CrossRef]
- Lecerf, R.; Ceglar, A.; López-Lozano, R.; Van Der Velde, M.; Bauruth, B. Assessing the information in crop model and meteorological indicators to forecast crop yield over Europe. Agric. Syst. 2019, 168, 191–202. [Google Scholar] [CrossRef]
- Cook, J.P.; McMullen, M.D.; Holland, J.B.; Tian, F.; Bradbury, P.; Ross-Ibarra, J.; Buckler, E.S.; Flint-Garcia, S.A. Genetic architecture of maize kernel composition in the nested association mapping and inbred association panels. Plant Physiol. 2012, 158, 824–834. [Google Scholar] [CrossRef] [PubMed]
- Tamasloukht, B.; Wong Quai Lam, M.S.J.; Martinez, Y.; Tozo, K.; Barbier, O.; Jourda, C.; Jauneau, A.; Borderies, G.; Balzergue, S.; Renou, J.P. Characterization of a cinnamoyl-CoA reductase 1 (CCR1) mutant in maize: Effects on lignification, fibre development, and global gene expression. J. Exp. Bot. 2011, 62, 3837–3848. [Google Scholar] [CrossRef] [PubMed]
- López-Malvar, A.; Rogelio, S.; Xose Carlos, S.; Carlos, M.; Rosa, A. Cell Wall Composition Impacts Structural Characteristics of the Stems and Thereby the Biomass Yield. J. Agric. Food Chem. 2022, 70, 3136–3141. [Google Scholar] [CrossRef] [PubMed]
- Zhang, Y.; Brown, G.; Whetten, R.; Loopstra, C.A.; Neale, D.; Kieliszewski, M.J.; Sederoff, R.R. An arabinogalactan protein associated with secondary cell wall formation in differentiating xylem of loblolly pine. Plant Mol. Biol. 2003, 52, 91–102. [Google Scholar] [CrossRef]
- Besnard, J.; Zhao, C.; Avice, J.-C.; Vitha, S.; Hyodo, A.; Pilot, G.; Okumoto, S. Arabidopsis UMAMIT24 and 25 are amino acid exporters involved in seed loading. J. Exp. Bot. 2018, 69, 5221–5232. [Google Scholar] [CrossRef]
- Philippe, R.; Oana, D.; Reka, N.; Felten, J.; Corratge-Faillie, C.; Novak, O.; Morree, K.; Lacombe, B.; Martinez, Y.; Pfrunder, S. 2013. Arabidopsis WAT1 is a vacuolar auxin transport facilitator required for auxin homoeostasis. Nat. Commun. 2013, 4, 2625. [Google Scholar]
- Fang, Z.T.; Kapoor, R.; Datta, A.; Okumoto, S. Tissue specific expression of UMAMIT amino acid transporters in wheat. Sci. Rep. 2022, 12, 348. [Google Scholar]
- Saidi, A.; Hajibarat, Z. In-silico analysis of eukaryotic translation initiation factors (eIFs) in response to environmental stresses in rice (Oryza sativa). Biologia 2020, 75, 1731–1738. [Google Scholar] [CrossRef]
- Raabe, K.; Honys, D.; Michailidis, C. Plant Physiology and Biochemistry The role of eukaryotic initiation factor 3 in plant translation regulation. Plant Physiol. Biochem. 2019, 145, 75–83. [Google Scholar] [CrossRef]
- Mi, L.; Mo, A.; Yang, J.; Liu, H.; Ren, D.; Chen, W.; Long, H.; Jiang, N.; Zhang, T.; Lu, P. Arabidopsis Novel Microgametophyte Defective Mutant 1 Is Required for Pollen Viability via Influencing Intine Development in Arabidopsis. Front. Plant Sci. 2022, 13, 814870. [Google Scholar] [CrossRef] [PubMed]
- Matsushita, Y.; Deguchi, M.; Youda, M.; Nishiguchi, M.; Nyunoya, H. Molecules and The Tomato Mosaic Tobamovirus Movement Protein Interacts with a Putative Transcriptional Coactivator KELP. Mol. Cells 2002, 12, 57–66. [Google Scholar] [CrossRef]
- Schlüter, U.; Bräutigam, A.; Droz, J.M.; Schwender, J.; Weber, A.P.M. The role of alanine and aspartate aminotransferases in C4 photosynthesis. Plant Biol. 2019, 21, 64–76. [Google Scholar] [CrossRef] [PubMed]
- Zhou, Y.; Cai, H.; Xiao, J.; Li, X.; Zhang, Q.; Lian, X. Over-expression of aspartate aminotransferase genes in rice resulted in altered nitrogen metabolism and increased amino acid content in seeds. Theor. Appl. Genet. 2009, 118, 1381–1390. [Google Scholar] [CrossRef]
- Baker, R.F.; Leach, K.A.; Boyer, N.R.; Swyers, M.J.; Benitez-Alfonso, Y.; Skopelitis, T.; Luo, A.; Sylvester, A.; Jackson, D.; Braun, D.M. Sucrose Transporter ZmSut1 Expression and Localization Uncover New Insights into Sucrose Phloem Loading. Plant Physiol. 2016, 172, 1876–1898. [Google Scholar] [CrossRef]
- Slewinski, T.L.; Meeley, R.; Braun, D.M. Sucrose transporter1 functions in phloem loading in maize leaves. J. Exp. Bot. 2009, 60, 881–892. [Google Scholar] [CrossRef]
- Slewinski, T.L.; Garg, A.; Johal, G.S.; Braun, D.M. Maize SUT1 functions in phloem loading. Plant Signal. Behav. 2010, 5, 687–690. [Google Scholar] [CrossRef]
- Jin, P.; Wu, D.; Dai, H.; Sun, R.; Liu, A. Characterization and functional divergence of genes encoding sucrose in oilseeds castor bean. Oil Crop Sci. 2022, 7, 31–39. [Google Scholar] [CrossRef]
- Carpaneto, A.; Geiger, D.; Bamberg, E.; Sauer, N.; Fromm, J.; Hedrich, R. Phloem-localized, Proton-coupled Sucrose Carrier ZmSUT1 Mediates Sucrose Efflux under the Control of the Sucrose Gradient and the Proton Motive Force*. J. Biol. Chem. 2005, 280, 21437–21443. [Google Scholar] [CrossRef]
- Bocianowski, J.; Nowosad, K.; Wróbel, B.; Szulc, P. Identification of Associations between SSR Markers and Quantitative Traits of Maize (Zea mays L.). Agronomy 2021, 11, 182. [Google Scholar] [CrossRef]
- Bocianowski, J.; Nowosad, K.; Bujak, H. Meta-Analysis of Influence of Diversity of Parental Forms on Heterosis and Specific Combining Ability of Their Hybrids. Appl. Sci. 2023, 13, 8704. [Google Scholar] [CrossRef]













| Marker | Marker Type | Chromosome | Marker Location | Associated with | Candidate Genes |
|---|---|---|---|---|---|
| 1818 | DArT | Chr8 | 1.5 × 108 | Cob diameter, the number of rows of grain, mass of grain from the cob, yield | A marker that is anchored to the gene cinnamoyl-CoA reductase 1 |
| 14506 | DArT | Chr9 | 28978769 | Cob diameter, the number of rows of grain, mass of grain from the cob, yield | A marker that is anchored (WAT1-related protein At1g09380) |
| 2317 | DArT | Chr7 | 1.38 × 108 | Cob diameter, the number of rows of grain, mass of grain from the cob, yield | A marker that is anchored (eukaryotic translation initiation factor 3 subunit c) |
| 3233 | DArT | Chr3 | 2.1 × 108 | Cob diameter, the number of rows of grain, mass of grain from the cob, yield | A marker that is anchored RNA polymerase II transcriptional coactivator KELP |
| 11657 | DArT | Chr5 | 2.22 × 108 | Cob diameter, core diameter, mass of grain from the cob, yield | A marker that is anchored aspartate aminotransferase |
| 12812 | DArT | Chr1 | 15198950 | Cob length, core length, the number of rows of grain, weight of one thousand grains | A marker that is anchored sucrose transporter 1 |
| Candidate Gene and Its Linked SNP Markers | Forward and Reverse Primer (5′→3′) | Annealing Temperature (Ta) | Product Size (bp) | |
|---|---|---|---|---|
| Cinnamoyl-CoA reductase 1 (1818 marker) | GGAGGCAGGACTACCCTCAT | TTTTGCCAAGTGCGAACCAC | 60 | 111 |
| WAT1-related protein At1g09380 (14506 marker) | AAAGGTGGCGCTACTTACCC | AGAAGCTTTGCAAATTGAGCTT | 57 | 110 |
| Eukaryotic translation initiation factor 3 subunit c (2317 marker) | CTCTACTCTACTGGGAGGGTG | GGCATTTGCCTTCTCCTCTCA | 58 | 110 |
| RNA polymerase II transcriptional coactivator KELP (3233 marker) | GTTCTACGTGAAGGACGGCA | TCTATCGCAGGTGCAGCATT | 59 | 99 |
| Aspartate aminotransferase (11657 marker) | GGAGGAGTTAACCAGGCGAG | AGCCATTGGCACTCCTTCAA | 59 | 123 |
| Sucrose transporter 1 (12812 marker) | CGCCTCCCAAAGCTCTCTT | GACCCCCACGGACAGCTC | 59 | 124 |
| β tubulin (β-TUB) | CTACCTCACGGCATCTGCTATGT | GTCACACACACTCGACTTCACG | 61 | 139 |
| Cyclophilin (CYP) | CTGAGTGGTGGTCTTAGT | AACACGAATCAAGCAGAG | 59 | 100 |
| Marker | Forward and Reverse Primer (5′→3′) | Annealing Temperature (Ta) | Product Size (bp) |
|---|---|---|---|
| 14506 | ACACTGGGAGAGGAGGAGG | 57 | 217 |
| TACTATTATATTCTCCCATACATGC | |||
| 16703 | CCATCGTGATCTCCAAACAGCG | 60 | 367 |
| GCTGAAGTTACACGTACCGTAAG | |||
| 3233 | AGCAATACCTTGATTCTGTTATGCC | 58 | 308 |
| TTCTTTAAACCAAACCAAATTTCTC | |||
| 11657 | GAAGCCCATCAGAGGCATGTCTTATT | 58 | 103 |
| AAGCCTATGCCAGCTAGGTATTT | |||
| 12812 | AAGGTAAAAAGCTATATATATATGA | 60 | 219 |
| AACAGCAACCAAAAGTCAC |
| Source of Variation | The Number of Degrees of Freedom | Sum of Squares | Mean Square | F-Statistic |
|---|---|---|---|---|
| Genotype | 9 | 358.08 | 39.79 | 116.44 *** |
| Year | 2 | 13.67 | 6.83 | 20.00 *** |
| Genotype × Year | 18 | 6.00 | 0.33 | 0.98 ns |
| Residual | 60 | 20.50 | 0.34 | |
| Total | 89 | 398.26 |
| Year | 2022 | 2023 | 2024 | Average | ||||
|---|---|---|---|---|---|---|---|---|
| Genotype | Mean | s.d. | Mean | s.d. | Mean | s.d. | Mean | s.d. |
| SP6 | 7.033 | 0.2838 | 6.833 | 0.6611 | 8.237 | 0.8113 | 7.368 c | 0.8521 |
| KP12 | 8.497 | 0.3866 | 9.257 | 0.2458 | 10.407 | 0.5331 | 9.387 b | 0.9039 |
| KP13 | 9.7 | 0.5203 | 9.373 | 0.8186 | 10.48 | 0.5672 | 9.851 ab | 0.7471 |
| SP8 | 6.953 | 0.3525 | 6.797 | 0.5008 | 8.13 | 0.1277 | 7.293 c | 0.7044 |
| KP15 | 9.573 | 0.5607 | 10.047 | 0.5372 | 10.747 | 0.4262 | 10.122 a | 0.6764 |
| Blask maternal form | 4.92 | 0.1389 | 4.833 | 0.5862 | 5.71 | 0.4636 | 5.154 d | 0.5652 |
| Blask paternal form | 5.037 | 0.0737 | 4.887 | 0.5972 | 5.607 | 0.3968 | 5.177 d | 0.488 |
| UP10 | 5.063 | 0.6987 | 5.1 | 0.8731 | 5.05 | 0.943 | 5.071 d | 0.7317 |
| UP20 | 5.04 | 0.6678 | 5.4 | 1.0173 | 5.903 | 0.7537 | 5.448 d | 0.8082 |
| UP30 | 5.213 | 0.3083 | 5.147 | 0.1557 | 5.33 | 0.8585 | 5.23 d | 0.4696 |
| Average | 6.703 B | 1.918 | 6.767 B | 2.062 | 7.56 A | 2.308 | ||
| High-yielding genotypes | 8.351 | 1.2804 | 8.461 | 1.5026 | 9.6 | 1.2874 | 8.804 G1 | 1.447 |
| Low-yielding genotypes | 5.055 | 0.3999 | 5.073 | 0.6358 | 5.52 | 0.6801 | 5.216 G2 | 0.612 |
| Source of Variation | The Number of Degrees of Freedom | Sum of Squares | Mean Square | F-Statistic |
|---|---|---|---|---|
| Group | 1 | 289.695 | 289.695 | 264.10 *** |
| Year | 2 | 13.669 | 6.835 | 6.23 ** |
| Group × Year | 2 | 2.752 | 1.376 | 1.25 ns |
| Residual | 84 | 92.142 | 1.097 | |
| Total | 89 | 398.258 |
| Source of Variation | Genotype | Residual |
|---|---|---|
| The number of degrees of freedom | 9 | 20 |
| Cinnamoyl-CoA reductase 1 | 15.417 *** | 2.226 |
| WAT1-related protein At1g09380 | 14.324 * | 5.802 |
| Eukaryotic translation initiation factor 3 subunit | 0.925 ** | 0.2323 |
| RNA polymerase II transcriptional coactivator KELP | 0.0312 ns | 0.1116 |
| Aspartate aminotransferase | 26.315 *** | 1.224 |
| Sucrose transporter 1 | 17.579 *** | 1.409 |
| Source of Variation | Group | Residual |
|---|---|---|
| The number of degrees of freedom | 1 | 28 |
| Cinnamoyl-CoA reductase 1 | 36.08 * | 5.257 |
| WAT1-related protein At1g09380 | 23.946 ns | 7.273 |
| Eukaryotic translation initiation factor 3 subunit | 0.8291 ns | 0.4393 |
| RNA polymerase II transcriptional coactivator KELP | 0.06256 ns | 0.08753 |
| Aspartate aminotransferase | 147.288 *** | 4.301 |
| Sucrose transporter 1 | 52.219 ** | 4.792 |
| Genotype | SP6 | KP12 | KP13 | SP8 | KP15 | Blask Maternal Form | Blask Paternal Form | UP10 | UP20 | UP30 |
|---|---|---|---|---|---|---|---|---|---|---|
| SP6 | 0 | 5.853 | 8.134 | 0.295 | 8.372 | 7.291 | 7.194 | 7.882 | 6.817 | 7.226 |
| KP12 | 4.908 | 0 | 2.945 | 6.114 | 2.741 | 13.029 | 12.934 | 13.534 | 12.455 | 12.91 |
| KP13 | 3.696 | 4.483 | 0 | 8.411 | 1.164 | 15.385 | 15.266 | 15.849 | 14.866 | 15.218 |
| SP8 | 6.874 | 6.441 | 6.153 | 0 | 8.638 | 7.005 | 6.907 | 7.591 | 6.525 | 6.936 |
| KP15 | 5.395 | 5.128 | 3.123 | 4.894 | 0 | 15.577 | 15.464 | 16.018 | 15.008 | 15.4 |
| Blask maternal form | 7.457 | 6.169 | 4.454 | 7.965 | 3.781 | 0 | 0.283 | 1.246 | 0.887 | 0.932 |
| Blask paternal form | 5.28 | 5.832 | 2.765 | 4.28 | 2.398 | 5.057 | 0 | 1.098 | 0.847 | 0.685 |
| UP10 | 7.949 | 8.059 | 4.535 | 7.764 | 4.348 | 3.623 | 4.022 | 0 | 1.388 | 0.677 |
| UP20 | 9.02 | 7.473 | 5.541 | 8.511 | 4.85 | 2.265 | 5.53 | 3.048 | 0 | 0.947 |
| UP30 | 6.078 | 4.741 | 3.175 | 6.534 | 2.914 | 1.853 | 3.889 | 3.929 | 3.391 | 0 |
| Year | Gene | Effect | Standard Error | p-Value | Percentage Variance Accounted for |
|---|---|---|---|---|---|
| 2022 | Cinnamoyl-CoA reductase 1 | 0.29 | 0.133 | 0.038 * | 11.40 |
| WAT1-related protein At1g09380 | 0.133 | 0.13 | 0.317 | 0.10 | |
| Eukaryotic translation initiation factor 3 subunit c | 0.171 | 0.533 | 0.751 | x | |
| RNA polymerase II transcriptional coactivator KELP | 0.6 | 1.23 | 0.626 | x | |
| Aspartate aminotransferase | 0.322 | 0.105 | 0.005 ** | 23.10 | |
| Sucrose transporter 1 | 0.259 | 0.134 | 0.064 | 8.60 | |
| 2023 | Cinnamoyl-CoA reductase 1 | 0.35 | 0.14 | 0.019 * | 15.30 |
| WAT1-related protein At1g09380 | 0.108 | 0.142 | 0.456 | x | |
| Eukaryotic translation initiation factor 3 subunit c | −0.077 | 0.579 | 0.896 | x | |
| RNA polymerase II transcriptional coactivator KELP | 1.32 | 1.3 | 0.320 | 0.10 | |
| Aspartate aminotransferase | 0.276 | 0.121 | 0.030 * | 13.20 | |
| Sucrose transporter 1 | 0.255 | 0.146 | 0.091 | 6.60 | |
| 2024 | Cinnamoyl-CoA reductase 1 | 0.395 | 0.157 | 0.018 * | 15.60 |
| WAT1-related protein At1g09380 | 0.236 | 0.157 | 0.145 | 4.50 | |
| Eukaryotic translation initiation factor 3 subunit c | 0.308 | 0.656 | 0.642 | x | |
| RNA polymerase II transcriptional coactivator KELP | 0.67 | 1.48 | 0.654 | x | |
| Aspartate aminotransferase | 0.387 | 0.127 | 0.005 ** | 22.80 | |
| Sucrose transporter 1 | 0.33 | 0.16 | 0.049 * | 10.00 |
Disclaimer/Publisher’s Note: The statements, opinions and data contained in all publications are solely those of the individual author(s) and contributor(s) and not of MDPI and/or the editor(s). MDPI and/or the editor(s) disclaim responsibility for any injury to people or property resulting from any ideas, methods, instructions or products referred to in the content. |
© 2024 by the authors. Licensee MDPI, Basel, Switzerland. This article is an open access article distributed under the terms and conditions of the Creative Commons Attribution (CC BY) license (https://creativecommons.org/licenses/by/4.0/).
Share and Cite
Tomkowiak, A.; Jamruszka, T.; Bocianowski, J.; Sobiech, A.; Jarzyniak, K.; Lenort, M.; Mikołajczyk, S.; Żurek, M. Transcriptomic Characterization of Genes Harboring Markers Linked to Maize Yield. Genes 2024, 15, 1558. https://doi.org/10.3390/genes15121558
Tomkowiak A, Jamruszka T, Bocianowski J, Sobiech A, Jarzyniak K, Lenort M, Mikołajczyk S, Żurek M. Transcriptomic Characterization of Genes Harboring Markers Linked to Maize Yield. Genes. 2024; 15(12):1558. https://doi.org/10.3390/genes15121558
Chicago/Turabian StyleTomkowiak, Agnieszka, Tomasz Jamruszka, Jan Bocianowski, Aleksandra Sobiech, Karolina Jarzyniak, Maciej Lenort, Sylwia Mikołajczyk, and Monika Żurek. 2024. "Transcriptomic Characterization of Genes Harboring Markers Linked to Maize Yield" Genes 15, no. 12: 1558. https://doi.org/10.3390/genes15121558
APA StyleTomkowiak, A., Jamruszka, T., Bocianowski, J., Sobiech, A., Jarzyniak, K., Lenort, M., Mikołajczyk, S., & Żurek, M. (2024). Transcriptomic Characterization of Genes Harboring Markers Linked to Maize Yield. Genes, 15(12), 1558. https://doi.org/10.3390/genes15121558

