Comparative Study on Mixing Behavior of Binary Mixtures of Cocoa Butter/Tristearin (CB/TS) and Cocoa Butter/Coconut Oil (CB/CO)
Abstract
1. Introduction
2. Materials and Methods
2.1. Materials and Blends Preparation
2.2. Compositional Analysis of CB and CO
2.3. Thermal Analysis by Differential Scanning Calorimetry (DSC)
2.4. Thermodynamic Analysis of Pseudophase Diagrams
2.5. Morphological Studies by Polarized Light Microscopy (PLM)
3. Results and Discussions
3.1. Compositional Analysis of CB and CO
3.2. Characterization of Thermal Properties by Using DSC
3.2.1. CB/TS Blends Characterization
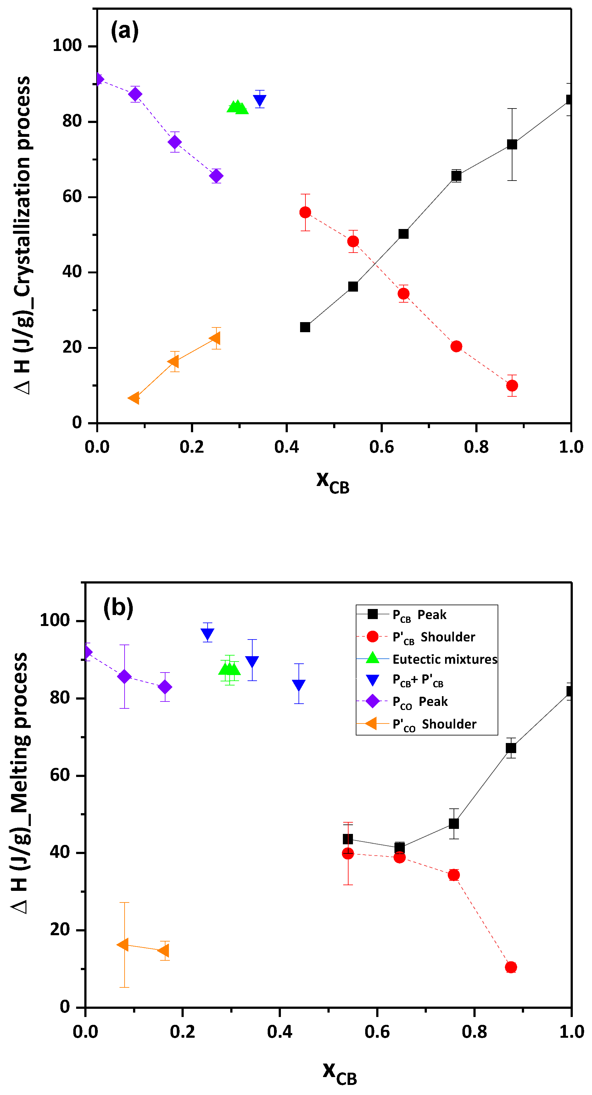
3.2.2. DSC Results of CB/CO Mixtures
3.3. Pseudophase Diagram Comparison between CB/TS and CB/CO System
3.4. Morphological Studies of CB/TS and CB/CO
4. Summary
Supplementary Materials
Author Contributions
Funding
Acknowledgments
Conflicts of Interest
References
- Abdulkarim, S.M.; Myat, M.W.; Ghazali, H.; Roselina, K.; Abbas, K. Sensory and Physicochemical Qualities of Palm Olein and Sesame Seed Oil Blends during Frying of Banana Chips. J. Agric. Sci. 2014, 2, 18–29. [Google Scholar] [CrossRef]
- Berdick, M. The role of fats and oils in cosmetics. J. Am. Oil Chem. Soc. 1972, 49, 406–408. [Google Scholar] [CrossRef] [PubMed]
- Tenjarla, S. Microemulsions: An overview and pharmaceutical applications. Crit. Rev. Ther. Drug Carr. Syst. 1999, 16, 62. [Google Scholar] [CrossRef]
- Lonchampt, P.; Hartel, R.W. Fat bloom in chocolate and compound coatings. Eur. J. Lipid Sci. Technol. 2004, 106, 241–274. [Google Scholar] [CrossRef]
- Loisel, C.; Lecq, G.; Keller, G.; Ollivon, M. Dynamic Crystallization of Dark Chocolate as Affected by Temperature and Lipid Additives. J. Food Sci. 2006, 63, 73–79. [Google Scholar] [CrossRef]
- Vilgis, T.A. Soft matter food physics—The physics of food and cooking. Rep. Prog. Phys. 2015, 78, 124602. [Google Scholar] [CrossRef] [PubMed]
- Larsson, K. Classification of glyceride crystal forms. Acta Chem. Scand 1966, 20, 2255–2260. [Google Scholar] [CrossRef]
- Himawan, C.; Starov, V.M.; Stapley, A.G.F. Thermodynamic and kinetic aspects of fat crystallization. Adv. Colloid Interface Sci. 2006, 122, 3–33. [Google Scholar] [CrossRef]
- Rossell, J.B. Phase diagrams of triglyceride systems. In Advances in Lipid Research; Elsevier: Amsterdam, The Netherlands, 1967; Volume 5, pp. 353–408. [Google Scholar]
- Bouzidi, L.; Narine, S.S. Relationships between molecular structure and kinetic and thermodynamic controls in lipid systems. Part II: Phase behavior and transformation paths of SSS, PSS and PPS saturated triacylglycerols—Effect of chain length mismatch. Chem. Phys. Lipids 2012, 165, 77–88. [Google Scholar] [CrossRef] [PubMed]
- Liu, C.; Meng, Z.; Cao, P.; Jiang, J.; Liang, X.; Piatko, M.; Campbell, S.; Lo, S.K.; Liu, Y. Visualized phase behavior of binary blends of coconut oil and palm stearin. Food Chem. 2018, 266, 66–72. [Google Scholar] [CrossRef]
- Loisel, C.; Keller, G.; Lecq, G.; Bourgaux, C.; Ollivon, M. Phase transitions and polymorphism of cocoa butter. J. Am. Oil Chem. Soc. 1998, 75, 425–439. [Google Scholar] [CrossRef]
- Wille, R.L.; Lutton, E.S. Polymorphism of cocoa butter. J. Am. Oil Chem. Soc. 1966, 43, 491–496. [Google Scholar] [CrossRef] [PubMed]
- Windbergs, M.; Strachan, C.J.; Kleinebudde, P. Investigating the Principles of Recrystallization from Glyceride Melts. AAPS PharmSciTech 2009, 10, 1224–1233. [Google Scholar] [CrossRef] [PubMed]
- Campos, R.; Ollivon, M.; Marangoni, A.G. Molecular composition dynamics and structure of cocoa butter. Cryst. Growth Des. 2010, 10, 205–217. [Google Scholar] [CrossRef]
- Lipp, M.; Anklam, E. Review of cocoa butter and alternative fats for use in chocolate—part A. Compositional data. Food Chem. 1998, 62, 73–97. [Google Scholar] [CrossRef]
- Lipp, M.; Anklam, E. Review of cocoa butter and alternative fats for use in chocolate—Part B. Analytical approaches for identification and determination. Food Chem. 1998, 62, 99–108. [Google Scholar] [CrossRef]
- Rothkopf, I.; Danzl, W. Changes in chocolate crystallization are influenced by type and amount of introduced filling lipids. Eur. J. lipid Sci. Technol. 2015, 117, 1714–1721. [Google Scholar] [CrossRef]
- Geary, M.; Hartel, R. Crystallization Behavior and Kinetics of Chocolate-Lauric Fat Blends and Model Systems. JAOCS J. Am. Oil Chem. Soc. 2017, 94, 683–692. [Google Scholar] [CrossRef]
- Williams, S.D.; Ransom-Painter, K.L.; Hartel, R.W. Mixtures of palm kernel oil with cocoa butter and milk fat in compound coatings. J. Am. Oil Chem. Soc. 1997, 74, 357–366. [Google Scholar] [CrossRef]
- Quast, L.B.; Luccas, V.; Ribeiro, A.P.B.; Cardoso, L.P.; Kieckbusch, T.G. Physical properties of tempered mixtures of cocoa butter, CBR and CBS fats. Int. J. Food Sci. Technol. 2013, 48, 1579–1588. [Google Scholar] [CrossRef]
- Ali, A.R.M.; Dimick, P.S. Melting and solidification characteristics of confectionery fats: Anhydrous milk fat, cocoa butter and palm kernel stearin blends. J. Am. Oil Chem. Soc. 1994, 71, 803–806. [Google Scholar] [CrossRef]
- Timms, R.E. Phase behaviour of fats and their mixtures. Prog. Lipid Res. 1984, 23, 1–38. [Google Scholar] [CrossRef]
- Sato, K. Crystallization of Lipids; John Wiley & Sons Ltd.: Hoboken, NJ, USA, 2018; pp. 17–60. [Google Scholar]
- Inoue, T.; Hisatsugu, Y.; Yamamoto, R.; Suzuki, M. Solid–liquid phase behavior of binary fatty acid mixtures: 1. Oleic acid/stearic acid and oleic acid/behenic acid mixtures. Chem. Phys. Lipids 2004, 127, 143–152. [Google Scholar] [CrossRef] [PubMed]
- Abes, M.; Bouzidi, L.; Narine, S.S. Crystallization and phase behavior of 1,3-propanediol esters: II. 1,3-Propanediol distearate/1,3-propanediol dipalmitate (SS/PP) and 1,3-propanediol distearate/1,3-propanediol dimyristate (SS/MM) binary systems. Chem. Phys. Lipids 2007, 150, 89–108. [Google Scholar] [CrossRef]
- Brumbaugh, E.E.; Johnson, M.L.; Huang, C. Non-linear least squares analysis of phase diagrams for non-ideal binary mixtures of phospholipids. Chem. Phys. Lipids 1990, 52, 69–78. [Google Scholar] [CrossRef]
- Lee, A.G. Lipid phase transitions and phase diagrams II. Mixtures involving lipids. BBA Rev. Biomembr. 1997, 472, 285–344. [Google Scholar] [CrossRef]
- Tenchov, B.G. Nonuniform lipid distribution in membranes. Prog. Surf. Sci. 1985, 20, 273–340. [Google Scholar] [CrossRef]
- Flory, P.J. Principles of Polymer Chemistry; Cornell University Press: Ithaca, NY, USA, 1953. [Google Scholar]
- Reyes-Hernández, J.; Dibildox-Alvarado, E.; Charó-Alonso, M.A.; Toro-Vazquez, J.F. Physicochemical and rheological properties of crystallized blends containing trans-free and partially hydrogenated soybean oil. JAOCS J. Am. Oil Chem. Soc. 2007, 84, 1081–1093. [Google Scholar] [CrossRef]
- Brunello, N.; McGauley, S.E.; Marangoni, A. Mechanical properties of cocoa butter in relation to its crystallization behavior and microstructure. LWT Food Sci. Technol. 2003, 36, 525–532. [Google Scholar] [CrossRef]
- Mattson, F.H.; Volpenhein, A. The specific distribution of fatty acids in the glycerides of vegetable fats. Order 1961, 236, 2. [Google Scholar]
- Davis, T.R.; Dimick, P.S. Lipid composition of high-melting seed crystals formed during cocoa butter solidification. J. Am. Oil Chem. Soc. 1989, 66, 1494–1498. [Google Scholar] [CrossRef]
- Marty, S.; Marangoni, A.G. Effects of cocoa butter origin, tempering procedure, and structure on oil migration kinetics. Cryst. Growth Des. 2009, 9, 4415–4423. [Google Scholar] [CrossRef]
- Toro-Vazquez, J.F.; Pérez-Martínez, D.; Dibildox-Alvarado, E.; Charó-Alonso, M.; Reyes-Hernández, J. Rheometry and Polymorphism of Cocoa Butter During Crystallization Under Static and Stirring Conditions. JAOCS J. Am. Oil Chem. Soc. 2004, 81, 195–202. [Google Scholar] [CrossRef]
- Pérez-Martínez, D.; Alvarez-Salas, C.; Morales-Rueda, J.A.; Toro-Vazquez, J.F.; Charó-Alonso, M.; Dibildox-Alvarado, E. The effect of supercooling on crystallization of cocoa butter-vegetable oil blends. J. Am. Oil Chem. Soc. 2005, 82, 471–479. [Google Scholar] [CrossRef]
- Lavigne, F.; Bourgaux, C.; Ollivon, M. Phase transitions of saturated triglycerides. J. Phys. IV Colloq. 1993, 3, 137–140. [Google Scholar] [CrossRef]
- Garti, N.; Sato, K. Crystallization and Polymorphism of Fats and Fatty Acids-Surfactance Science Series; M. Dekker Inc.: New York, NY, USA, 1988. [Google Scholar]
- Tan, C.P.; Man, Y.B.C. Differential scanning calorimetric analysis of palm oil, palm oil based products and coconut oil: Effects of scanning rate variation. Food Chem. 2002, 76, 89–102. [Google Scholar] [CrossRef]
- Small, D.M. The physical chemistry of lipids from alkanes to phospholipids. Handb. Lipid Res. 1986, 4, 1–672. [Google Scholar]
- Bruin, S. Phase equilibria for food product and process design1. Fluid Phase Equilib. 1999, 158, 657–671. [Google Scholar] [CrossRef]









| Fatty Acid | Cocoa Butter (Weight %) | Coconut Oil (Weight %) |
|---|---|---|
| Caproic acid (C6:0) | - | 0.72 |
| Caprylic acid (C8:0) | - | 7.75 |
| Capric acid (C10:0) | - | 5.64 |
| Lauric acid (C12:0) | - | 42.78 |
| Myristic acid (C14:0) | 0.09 | 17.64 |
| Palmitic acid (C16:0) | 25.32 | 9.61 |
| Palmitoleic acid (C16:1ω7c) | 0.24 | - |
| Heptadecanoic acid (C17:0) | 0.21 | - |
| Stearic acid (C18:0) | 36.74 | 2.87 |
| Octadecenoic acid (C18:1-trans) | 0.02 | - |
| Oleic acid (C18:1ω9c) | 32.48 | 9.23 |
| Linoleic acid (C18:2ω6c) | 2.88 | 2.99 |
| Octadecadienoic acid(C18:2ω6-trans) | 0.02 | - |
| alpha Linolenic acid (C18:3ω3c) | 0.17 | 0.3 |
| Arachidic acid (C20:0) | 1.09 | 0.1 |
| cis-11-Eicosenoic acid (C20:1ω9c) | - | 0.09 |
| Behenic acid (C22:0) | 0.18 | - |
| Lignoceric acid (C24:0) | 0.1 | - |
| Saturated fatty acids | 63.73 | 87.11 |
| Monounsaturated fatty acids | 33.07 | 9.53 |
| Polyunsaturated fatty acids | 3.05 | 3.29 |
| Trans fatty acids | 0.04 | <0.01 |
| omega-3 fatty acids | 0.17 | 0.3 |
| omega-6 fatty acids | 2.88 | 2.99 |
| TAGs in CB | Conc. (wt %) | TAGs in CB | Conc. (wt %) |
|---|---|---|---|
| PPP | 0.1 | PLL | 0.4 |
| MOP | 0.1 | SSS | 0.3 |
| PPS | 0.5 | SOS | 26.5 |
| POP | 16.7 | OOS | 2.2 |
| PLP | 1.8 | OOO | 0.2 |
| PSS | 0.6 | SLO | 0.3 |
| POS | 39.8 | OLO | 0.1 |
| POO | 1.7 | SLL | 0.2 |
| PLS | 3.4 | LLO | <0.1 |
| PLO | 0.3 | LLL | <0.1 |
© 2020 by the authors. Licensee MDPI, Basel, Switzerland. This article is an open access article distributed under the terms and conditions of the Creative Commons Attribution (CC BY) license (http://creativecommons.org/licenses/by/4.0/).
Share and Cite
Joshi, B.L.; Zielbauer, B.I.; Vilgis, T.A. Comparative Study on Mixing Behavior of Binary Mixtures of Cocoa Butter/Tristearin (CB/TS) and Cocoa Butter/Coconut Oil (CB/CO). Foods 2020, 9, 327. https://doi.org/10.3390/foods9030327
Joshi BL, Zielbauer BI, Vilgis TA. Comparative Study on Mixing Behavior of Binary Mixtures of Cocoa Butter/Tristearin (CB/TS) and Cocoa Butter/Coconut Oil (CB/CO). Foods. 2020; 9(3):327. https://doi.org/10.3390/foods9030327
Chicago/Turabian StyleJoshi, Bhagyashri L., Birgitta I. Zielbauer, and Thomas A. Vilgis. 2020. "Comparative Study on Mixing Behavior of Binary Mixtures of Cocoa Butter/Tristearin (CB/TS) and Cocoa Butter/Coconut Oil (CB/CO)" Foods 9, no. 3: 327. https://doi.org/10.3390/foods9030327
APA StyleJoshi, B. L., Zielbauer, B. I., & Vilgis, T. A. (2020). Comparative Study on Mixing Behavior of Binary Mixtures of Cocoa Butter/Tristearin (CB/TS) and Cocoa Butter/Coconut Oil (CB/CO). Foods, 9(3), 327. https://doi.org/10.3390/foods9030327

