Effects of Polygonatum sibiricum on Physicochemical Properties, Biological Compounds, and Functionality of Fermented Soymilk
Abstract
1. Introduction
2. Materials and Methods
2.1. Materials
2.2. Preparation of P. sibiricum Extract and P. sibiricum Polysaccharide
2.3. Fermentation of Soymilk
2.4. Determination of Physicochemical Properties
2.5. Determination of Microbial Viability
2.6. Active Substances
2.6.1. Determination of Total Phenolic and Total Flavonoid
2.6.2. Determination of Isoflavones
2.6.3. Determination of GABA
2.6.4. Determination of OA
2.7. Antioxidant Activity
2.8. Statistical Analysis
3. Results and Discussion
3.1. Physicochemical Properties
3.2. Microbial Viability
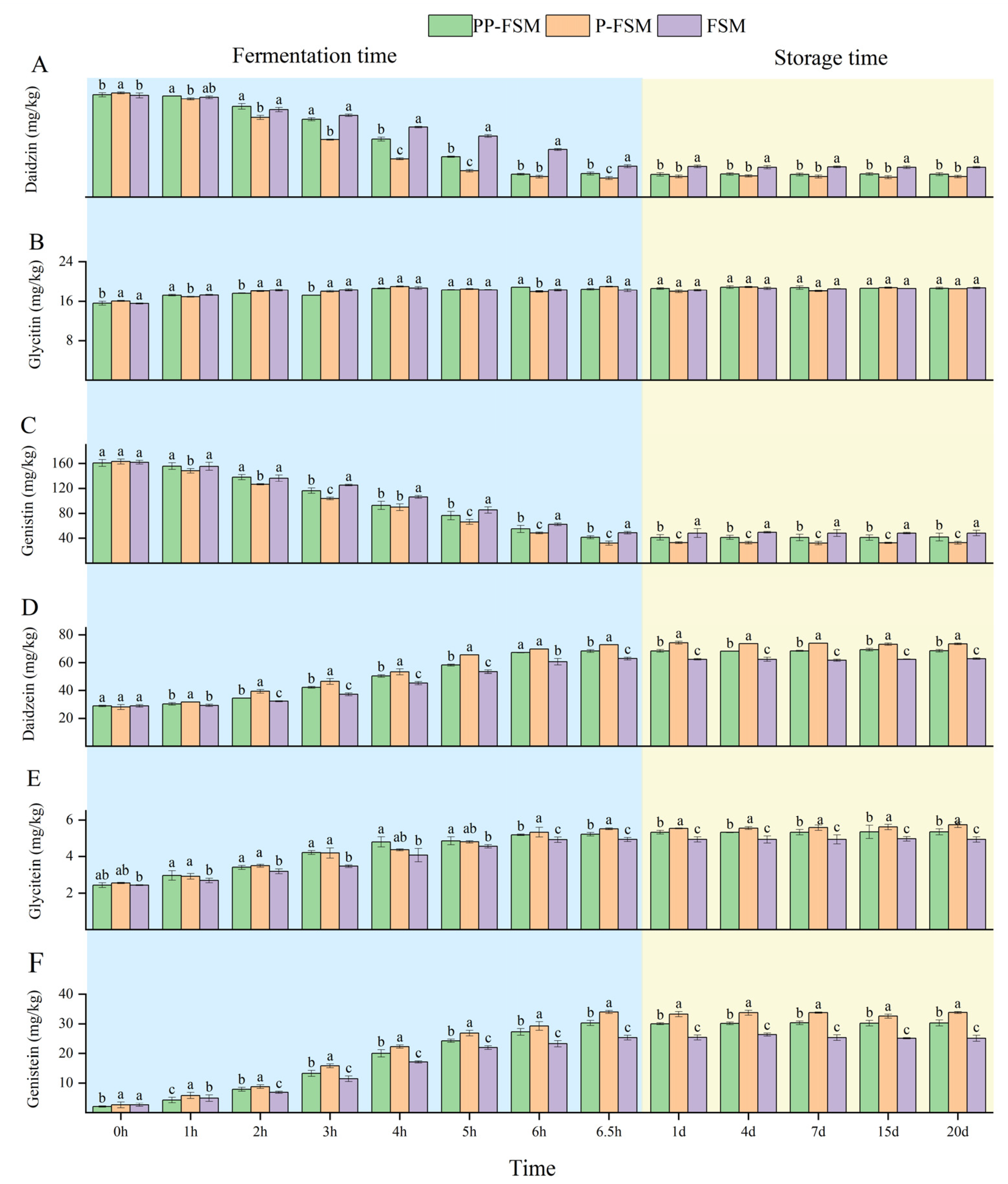
3.3. Isoflavones
3.4. GABA
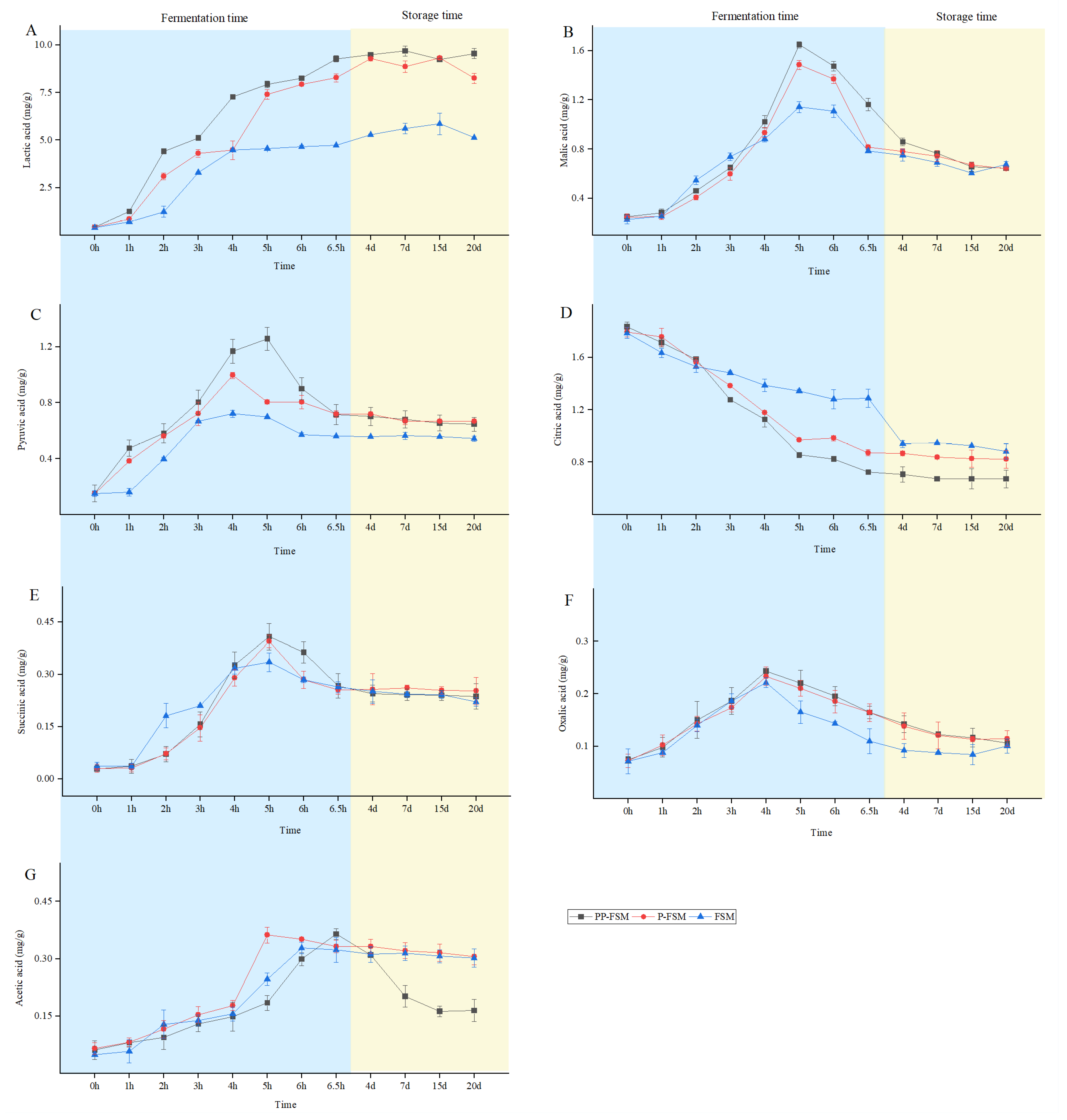
3.5. Organic Acid
3.6. TPC, TFC, and Antioxidant Activity
4. Conclusions
Author Contributions
Funding
Data Availability Statement
Conflicts of Interest
References
- Qiao, Y.; Zhang, K.; Zhang, Z.; Zhang, C.; Sun, Y.; Feng, Z. Fermented soybean foods: A review of their functional components, mechanism of action and factors influencing their health benefits. Food Res. Int. 2022, 158, 111575. [Google Scholar] [CrossRef] [PubMed]
- Cao, Z.H.; Green-Johnson, J.M.; Buckley, N.D.; Lin, Q.Y. Bioactivity of soy-based fermented foods: A review. Biotechnol. Adv. 2019, 37, 223–238. [Google Scholar] [CrossRef] [PubMed]
- Kumari, M.; Kokkiligadda, A.; Dasriya, V.; Naithani, H. Functional relevance and health benefits of soymilk fermented by lactic acid bacteria. J. Appl. Microbiol. 2022, 133, 104–119. [Google Scholar] [CrossRef] [PubMed]
- Kesika, P.; Sivamaruthi, B.S.; Chaiyasut, C. A review on the functional properties of fermented soymilk. Food Sci. Technol. 2022, 42, e10721. [Google Scholar] [CrossRef]
- Ma, X.; Li, X.; Ma, L.; Chen, Y.; He, S. Soy isoflavones alleviate polycystic ovary syndrome in rats by regulating NF- κB signaling pathway. Bioengineered 2021, 12, 7204–7212. [Google Scholar] [CrossRef]
- Woo, H.W.; Kim, M.K.; Lee, Y.H.; Shin, D.H.; Shin, M.H.; Choi, B.Y. Sex-specific associations of habitual intake of soy protein and isoflavones with risk of type 2 diabetes. Clin. Nutr. 2021, 40, 127–136. [Google Scholar] [CrossRef]
- Xiao, T.; Shah, N.P. Lactic acid produced by Streptococcus thermophilus activated glutamate decarboxylase (GadA) in Lactobacillus brevis NPS-QW 145 to improve γ-amino butyric acid production during soymilk fermentation. LWT 2021, 137, 110474. [Google Scholar] [CrossRef]
- Xia, Y.; Zha, M.; Feng, C.; Li, Y.; Chen, Y.; Shuang, Q. Effect of a co-fermentation system with high-GABA-yielding strains on soymilk properties: Microbiological, physicochemical, and aromatic characterisations. Food Chem. 2023, 423, 136245. [Google Scholar] [CrossRef]
- Chen, D.; Han, Z.; Si, J. Huangjing (Polygonati rhizoma) is an emerging crop with great potential to fight chronic and hidden hunger. Sci. China Life Sci. 2021, 64, 1564–1566. [Google Scholar] [CrossRef]
- Li, X.L.; Ma, R.H.; Zhang, F.; Ni, Z.J.; Thakur, K.; Wang, S.; Zhang, J.G.; Wei, Z.J. Evolutionary research trend of Polygonatum species: A comprehensive account of their transformation from traditional medicines to functional foods. Crit. Rev. Food Sci. Nutr. 2021, 3803–3820. [Google Scholar] [CrossRef]
- Gong, H.; Gan, X.; Li, Y.; Chen, J.; Xu, Y.; Shi, S.; Li, T.; Li, B.; Wang, H.; Wang, S. Review on the genus Polygonatum polysaccharides: Extraction, purification, structural characteristics and bioactivities. Int. J. Biol. Macromol. 2023, 229, 909–930. [Google Scholar] [CrossRef] [PubMed]
- Mu, S.; Yang, W.; Huang, G. Antioxidant activities and mechanisms of polysaccharides. Chem. Biol. Drug Des. 2020, 97, 628–632. [Google Scholar] [CrossRef]
- Long, T.; Liu, Z.; Shang, J.; Zhou, X.; Yu, S.; Tian, H.; Bao, Y. Polygonatum sibiricum polysaccharides play anti-cancer effect through TLR4-MAPK/NF-kappaB signaling pathways. Int. J. Biol. Macromol. 2018, 111, 813–821. [Google Scholar] [CrossRef] [PubMed]
- Yan, H.; Lu, J.; Wang, Y.; Gu, W.; Yang, X.; Yu, J. Intake of total saponins and polysaccharides from Polygonatum kingianum affects the gut microbiota in diabetic rats. Phytomedicine 2017, 26, 45–54. [Google Scholar] [CrossRef]
- Li, B.; Wu, P.; Fu, W.; Xiong, Y.; Zhang, L.; Gao, Y.; Deng, G.; Zong, S.; Zeng, G. The Role and Mechanism of miRNA-1224 in the Polygonatum sibiricum Polysaccharide Regulation of Bone Marrow-Derived Macrophages to Osteoclast Differentiation. Rejuvenation Res. 2019, 22, 420–430. [Google Scholar] [CrossRef] [PubMed]
- Som, S.; Antony, J.; Dhanabal, S.; Ponnusankar, S. Neuroprotective role of Diosgenin, a NGF stimulator, against Abeta (1–42) induced neurotoxicity in animal model of Alzheimer’s disease. Metab. Brain Dis. 2022, 37, 359–372. [Google Scholar] [CrossRef]
- He, Y.; Chen, Z.; Nie, X.; Wang, D.; Zhang, Q.; Peng, T.; Zhang, C.; Wu, D.; Zhang, J. Recent advances in polysaccharides from edible and medicinal Polygonati rhizoma: From bench to market. Int. J. Biol. Macromol. 2022, 195, 102–116. [Google Scholar] [CrossRef]
- Sun, T.T.; Zhang, H.; Li, Y. Physicochemical properties and immunological activities of polysaccharides from both crude and wine-processed Polygonatum sibiricum. Int. J. Biol. Macromol. 2020, 143, 255–264. [Google Scholar] [CrossRef]
- Li, L.; Wang, L.; Fan, W.; Jiang, Y.; Zhang, C.; Li, J.; Peng, W.; Wu, C. The Application of Fermentation Technology in Traditional Chinese Medicine: A Review. Am. J. Chin. Med. 2020, 48, 899–921. [Google Scholar] [CrossRef]
- Yang, J.J.; Zhang, X.; Dai, J.F.; Ma, Y.G.; Jiang, J.G. Effect of fermentation modification on the physicochemical characteristics and anti-aging related activities of Polygonatum kingianum polysaccharides. Int. J. Biol. Macromol. 2023, 235, 123661. [Google Scholar] [CrossRef]
- Zhao, P.; Li, X.; Wang, Y.; Zhang, X.; Jia, H.; Guo, L.; Huang, L.; Gao, W. Comparative studies on characterization, saccharide mapping and antiglycation activity of polysaccharides from different Polygonatum ssp. J. Pharm. Biomed. Anal. 2020, 186, 113243. [Google Scholar] [CrossRef] [PubMed]
- Du, L.; Ro, K.-S.; Zhang, Y.; Tang, Y.-J.; Li, W.; Xie, J.; Wei, D. Effects of lactiplantibacillus plantarum X7021 on physicochemical properties, purines, isoflavones and volatile compounds of fermented soymilk. Process Biochem. 2022, 113, 150–157. [Google Scholar] [CrossRef]
- Cui, L.; Chang, S.K.C.; Nannapaneni, R. Comparative studies on the effect of probiotic additions on the physicochemical and microbiological properties of yoghurt made from soymilk and cow’s milk during refrigeration storage (R2). Food Control 2021, 21, 995. [Google Scholar] [CrossRef]
- Cichonska, P.; Pudlo, E.; Wojtczak, A.; Ziarno, M. Effect of the Addition of Whole and Milled Flaxseed on the Quality Characteristics of Yogurt. Foods 2021, 10, 2140. [Google Scholar] [CrossRef]
- Dela Rosa, J.G.L.; Medina, P.M.B. Philippine rice wine (Tapuy) made from Ballatinao black rice and traditional starter culture (Bubod) showed high alcohol content, total phenolic content, and antioxidant activity. Food Sci. Technol. 2022, 42, e45120. [Google Scholar] [CrossRef]
- Tu, C.; Azi, F.; Huang, J.; Xu, X.; Xing, G.; Dong, M. Quality and metagenomic evaluation of a novel functional beverage produced from soy whey using water kefir grains. LWT 2019, 113, 108258. [Google Scholar] [CrossRef]
- Yi, R.; Peng, P.; Zhang, J.; Du, M.; Lan, L.; Qian, Y.; Zhou, J.; Zhao, X. Lactobacillus plantarumCQPC02-Fermented Soybean Milk Improves Loperamide-Induced Constipation in Mice. J. Med. Food 2019, 22, 1208–1221. [Google Scholar] [CrossRef] [PubMed]
- Lee, J.H.; Hwang, C.E.; Son, K.S.; Cho, K.M. Comparisons of nutritional constituents in soybeans during solid state fermentation times and screening for their glucosidase enzymes and antioxidant properties. Food Chem. 2019, 272, 362–371. [Google Scholar] [CrossRef]
- Ikegaya, A.; Toyoizumi, T.; Kosugi, T.; Arai, E. Taste and palatability of strawberry jam as affected by organic acid content. Int. J. Food Prop. 2020, 23, 2087–2096. [Google Scholar] [CrossRef]
- Lodha, D.; Das, S.; Hati, S. Antioxidant activity, total phenolic content and biotransformation of isoflavones during soy lactic-fermentations. J. Food Process Preserv. 2021, 45, e15583. [Google Scholar] [CrossRef]
- Leksawasdi, N.; Taesuwan, S.; Prommajak, T.; Techapun, C.; Khonchaisri, R.; Sittilop, N.; Halee, A.; Jantanasakulwong, K.; Phongthai, S.; Nunta, R.; et al. Ultrasonic Extraction of Bioactive Compounds from Green Soybean Pods and Application in Green Soybean Milk Antioxidants Fortification. Foods 2022, 11, 588. [Google Scholar] [CrossRef] [PubMed]
- Seon, H.Y.; Sun, S.; Yim, S.-H. Correlation of the free radical and antioxidant activities of Eriobotrya Japonica Lindl. with phenolic and flavonoid contents. Food Sci. Technol. 2021, 41, 1025–1032. [Google Scholar] [CrossRef]
- Damin, M.R.; Alcântara, M.R.; Nunes, A.P.; Oliveira, M.N. Effects of milk supplementation with skim milk powder, whey protein concentrate and sodium caseinate on acidification kinetics, rheological properties and structure of nonfat stirred yogurt. LWT Food Sci. Technol. 2009, 42, 1744–1750. [Google Scholar] [CrossRef]
- Zhao, Y.; Fu, R.; Li, J. Effects of the β-glucan, curdlan, on the fermentation performance, microstructure, rheological and textural properties of set yogurt. LWT 2020, 128, 109449. [Google Scholar] [CrossRef]
- Deshwal, G.K.; Tiwari, S.; Kumar, A.; Raman, R.K.; Kadyan, S. Review on factors affecting and control of post-acidification in yoghurt and related products. Trends Food Sci. Technol. 2021, 109, 499–512. [Google Scholar] [CrossRef]
- Han, X.; Yang, Z.; Jing, X.; Yu, P.; Zhang, Y.; Yi, H.; Zhang, L. Improvement of the Texture of Yogurt by Use of Exopolysaccharide Producing Lactic Acid Bacteria. Biomed. Res. Int. 2016, 2016, 7945675. [Google Scholar] [CrossRef]
- Xing, G.; Giosafatto, C.V.L.; Carpentieri, A.; Pasquino, R.; Dong, M.; Mariniello, L. Gelling behavior of bio-tofu coagulated by microbial transglutaminase combined with lactic acid bacteria. Food Res. Int. 2020, 134, 109200. [Google Scholar] [CrossRef]
- Nagaoka, S. Yogurt Production. Methods Mol. Biol. 2019, 1887, 45–54. [Google Scholar] [CrossRef]
- Zhang, Y.K.; Zhang, Q.; Lu, J.; Xu, J.L.; Zhang, H.; Wang, J.H. Physicochemical properties of Tremella fuciformis polysaccharide and its interactions with myofibrillar protein. Bioact. Carbohydr. Diet. Fibre 2017, 11, 18–25. [Google Scholar] [CrossRef]
- Li, L.; Thakur, K.; Liao, B.Y.; Zhang, J.G.; Wei, Z.J. Antioxidant and antimicrobial potential of polysaccharides sequentially extracted from Polygonatum cyrtonema Hua. Int. J. Biol. Macromol. 2018, 114, 317–323. [Google Scholar] [CrossRef]
- Gaya, P.; Peirotén, Á.; Landete, J.M. Transformation of plant isoflavones into bioactive isoflavones by lactic acid bacteria and bifidobacteria. J. Funct. Foods 2017, 39, 198–205. [Google Scholar] [CrossRef]
- Kobayashi, M.; Shima, T.; Fukuda, M.J. Metabolite Profile of Lactic Acid-Fermented Soymilk. Food Nutr. Sci. 2018, 9, 1327–1340. [Google Scholar] [CrossRef]
- Fei, Y.; Liu, L.; Liu, D.; Chen, L.; Tan, B.; Fu, L.; Li, L. Investigation on the safety of Lactobacillus amylolyticus L6 and its fermentation properties of tofu whey. LWT 2017, 84, 314–322. [Google Scholar] [CrossRef]
- Tsangalis, D.; Ashton, J.F.; Mcgill, A.E.J.; Shah, N.P. Biotransformation of Isoflavones by Bifidobacteria in Fermented Soymilk Supplemented with D-Glucose and L-Cysteine. J. Food Sci. 2010, 68, 623–631. [Google Scholar] [CrossRef]
- Cui, Y.; Miao, K.; Niyaphorn, S.; Qu, X. Production of Gamma-Aminobutyric Acid from Lactic Acid Bacteria: A Systematic Review. Int. J. Mol. Sci. 2020, 21, 995. [Google Scholar] [CrossRef]
- Li, W.; Wei, M.; Wu, J.; Rui, X.; Dong, M. Novel fermented chickpea milk with enhanced level of gamma-aminobutyric acid and neuroprotective effect on PC12 cells. PeerJ 2016, 4, e2292. [Google Scholar] [CrossRef] [PubMed]
- Wu, Q.; Tun, H.M.; Law, Y.S.; Khafipour, E.; Shah, N.P. Common Distribution of gad Operon in Lactobacillus brevis and its GadA Contributes to Efficient GABA Synthesis toward Cytosolic Near-Neutral pH. Front Microbiol. 2017, 8, 206. [Google Scholar] [CrossRef] [PubMed]
- Liu, B.; Yuan, D.; Li, Q.; Zhou, X.; Wu, H.; Bao, Y.; Lu, H.; Luo, T.; Wang, J. Changes in Organic Acids, Phenolic Compounds, and Antioxidant Activities of Lemon Juice Fermented by Issatchenkia terricola. Molecules 2021, 26, 6712. [Google Scholar] [CrossRef] [PubMed]
- Verni, M.; Verardo, V.; Rizzello, C.G. How Fermentation Affects the Antioxidant Properties of Cereals and Legumes. Foods 2019, 8, 362. [Google Scholar] [CrossRef] [PubMed]
- Ahsan, S.; Khaliq, A.; Chughtai, M.F.J.; Nadeem, M.; Tahir, A.B.; Din, A.A.; Ntsefong, G.N.; Shariati, M.A.; Rebezov, M.; Yessimbekov, Z.; et al. Technofunctional quality assessment of soymilk fermented with Lactobacillus acidophilus and Lactobacillus casei. Biotechnol. Appl. Biochem. 2022, 69, 172–182. [Google Scholar] [CrossRef]
- Hussein, H.; Awad, S.; El-Sayed, I.; Ibrahim, A. Impact of chickpea as prebiotic, antioxidant and thickener agent of stirred bio-yoghurt. Ann. Agric. Sci. 2020, 65, 49–58. [Google Scholar] [CrossRef]
- Zhang, X.; Li, Y.; Li, Y.; Zhao, J.; Cheng, Y.; Wang, Y.; Guan, J. Changes of Bioactive Components and Antioxidant Capacity of Pear Ferment in Simulated Gastrointestinal Digestion In Vitro. Foods 2023, 12, 1211. [Google Scholar] [CrossRef] [PubMed]






| Group | TPC (mg/g) | TFC (mg/g) | DPPH Radical-Scavenging Rate/% | ABTS Radical-Scavenging Rate/% | Iron Ion Chelating Ability/% | Total Antioxidant Properties (mg/g) |
|---|---|---|---|---|---|---|
| PP-FSM | 2.59 ± 0.028 a | 2.41 ± 0.28 a | 57.16 ± 0.33 b | 45.58 ± 0.72 a | 40.89 ± 0.78 a | 257.93 ± 1.25 b |
| P-FSM | 2.60 ± 0.057 a | 2.10 ± 0.034 b | 57.63 ± 0.31 a | 42.27 ± 0.32 b | 38.82 ± 0.28 b | 263.4 ± 1.67 a |
| FSM | 2.04 ± 0.023 b | 1.86 ± 0.074 c | 52.67 ± 0.13 c | 34.83 ± 0.31 c | 37.43 ± 0.59 c | 215.17 ± 0.98 c |
Disclaimer/Publisher’s Note: The statements, opinions and data contained in all publications are solely those of the individual author(s) and contributor(s) and not of MDPI and/or the editor(s). MDPI and/or the editor(s) disclaim responsibility for any injury to people or property resulting from any ideas, methods, instructions or products referred to in the content. |
© 2023 by the authors. Licensee MDPI, Basel, Switzerland. This article is an open access article distributed under the terms and conditions of the Creative Commons Attribution (CC BY) license (https://creativecommons.org/licenses/by/4.0/).
Share and Cite
Wan, P.; Liu, H.; Zhu, Y.; Xin, H.; Ma, Y.; Chen, Z. Effects of Polygonatum sibiricum on Physicochemical Properties, Biological Compounds, and Functionality of Fermented Soymilk. Foods 2023, 12, 2715. https://doi.org/10.3390/foods12142715
Wan P, Liu H, Zhu Y, Xin H, Ma Y, Chen Z. Effects of Polygonatum sibiricum on Physicochemical Properties, Biological Compounds, and Functionality of Fermented Soymilk. Foods. 2023; 12(14):2715. https://doi.org/10.3390/foods12142715
Chicago/Turabian StyleWan, Peng, Han Liu, Yuanyuan Zhu, Haitao Xin, Yanli Ma, and Zhizhou Chen. 2023. "Effects of Polygonatum sibiricum on Physicochemical Properties, Biological Compounds, and Functionality of Fermented Soymilk" Foods 12, no. 14: 2715. https://doi.org/10.3390/foods12142715
APA StyleWan, P., Liu, H., Zhu, Y., Xin, H., Ma, Y., & Chen, Z. (2023). Effects of Polygonatum sibiricum on Physicochemical Properties, Biological Compounds, and Functionality of Fermented Soymilk. Foods, 12(14), 2715. https://doi.org/10.3390/foods12142715

