Prognostic Markers in Head and Neck Cancer Patients Treated with Nivolumab
Abstract
1. Introduction
2. Results
2.1. Patient Characteristics
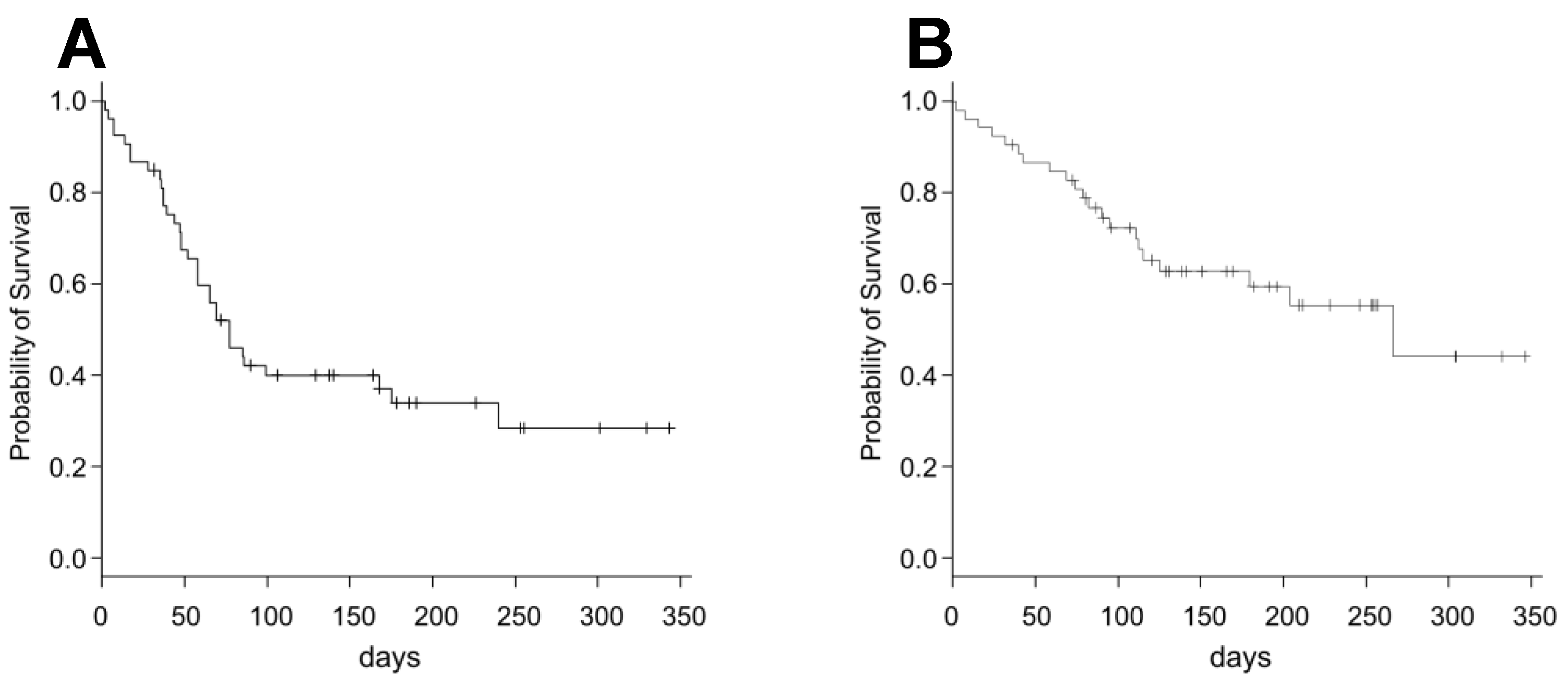
2.2. Treatment Outcomes
3. Discussion
4. Materials and Methods
4.1. Patients and Treatment
4.2. Statistical Analysis
5. Conclusions
Author Contributions
Funding
Conflicts of Interest
References
- Ferris, R.L.; Blumenschein, G.; Fayette, J.; Guigay, J.; Colevas, A.D.; Licitra, L.; Harrington, K.; Kasper, S.; Vokes, E.E.; Even, C.; et al. Nivolumab for Recurrent Squamous-Cell Carcinoma of the Head and Neck. N. Engl. J. Med. 2016, 375, 1856–1867. [Google Scholar] [CrossRef] [PubMed]
- Heppt, M.V.; Heinzerling, L.; Kahler, K.C.; Forschner, A.; Kirchberger, M.C.; Loquai, C.; Meissner, M.; Meier, F.; Terheyden, P.; Schell, B.; et al. Prognostic factors and outcomes in metastatic uveal melanoma treated with programmed cell death-1 or combined PD-1/cytotoxic T-lymphocyte antigen-4 inhibition. Eur. J. Cancer 2017, 82, 56–65. [Google Scholar] [CrossRef] [PubMed]
- Rosner, S.; Kwong, E.; Shoushtari, A.N.; Friedman, C.F.; Betof, A.S.; Brady, M.S.; Coit, D.G.; Callahan, M.K.; Wolchok, J.D.; Chapman, P.B.; et al. Peripheral blood clinical laboratory variables associated with outcomes following combination nivolumab and ipilimumab immunotherapy in melanoma. Cancer Med. 2018, 7, 690–697. [Google Scholar] [CrossRef] [PubMed]
- Diem, S.; Kasenda, B.; Spain, L.; Martin-Liberal, J.; Marconcini, R.; Gore, M.; Larkin, J. Serum lactate dehydrogenase as an early marker for outcome in patients treated with anti-PD-1 therapy in metastatic melanoma. Br. J. Cancer 2016, 114, 256–261. [Google Scholar] [CrossRef] [PubMed]
- Fujisawa, Y.; Yoshino, K.; Otsuka, A.; Funakoshi, T.; Fujimura, T.; Yamamoto, Y.; Hata, H.; Tanaka, R.; Yamaguchi, K.; Nonomura, Y.; et al. Baseline neutrophil to lymphocyte ratio combined with serum lactate dehydrogenase level associated with outcome of nivolumab immunotherapy in a Japanese advanced melanoma population. Br. J. Dermatol. 2018, 179, 213. [Google Scholar] [CrossRef] [PubMed]
- Hude, I.; Sasse, S.; Brockelmann, P.J.; von Tresckow, B.; Momotow, J.; Engert, A.; Borchmann, S. Leucocyte and eosinophil counts predict progression-free survival in relapsed or refractory classical Hodgkin Lymphoma patients treated with PD1 inhibition. Br. J. Haematol. 2018, 181, 837–840. [Google Scholar] [CrossRef] [PubMed]
- Ho, W.J.; Yarchoan, M.; Hopkins, A.; Mehra, R.; Grossman, S.; Kang, H. Association between pretreatment lymphocyte count and response to PD1 inhibitors in head and neck squamous cell carcinomas. J. Immunother. Cancer 2018, 6, 84. [Google Scholar] [CrossRef] [PubMed]
- Dill, E.A.; Gru, A.A.; Atkins, K.A.; Friedman, L.A.; Moore, M.E.; Bullock, T.N.; Cross, J.V.; Dillon, P.M.; Mills, A.M. PD-L1 Expression and Intratumoral Heterogeneity Across Breast Cancer Subtypes and Stages: An Assessment of 245 Primary and 40 Metastatic Tumors. Am. J. Surg. Pathol. 2017, 41, 334–342. [Google Scholar] [CrossRef] [PubMed]
- Gniadek, T.J.; Li, Q.K.; Tully, E.; Chatterjee, S.; Nimmagadda, S.; Gabrielson, E. Heterogeneous expression of PD-L1 in pulmonary squamous cell carcinoma and adenocarcinoma: Implications for assessment by small biopsy. Mod. Pathol. 2017, 30, 530–538. [Google Scholar] [CrossRef] [PubMed]
- Munari, E.; Zamboni, G.; Lunardi, G.; Marchionni, L.; Marconi, M.; Sommaggio, M.; Brunelli, M.; Martignoni, G.; Netto, G.J.; Hoque, M.O.; et al. PD-L1 expression heterogeneity in non-small cell lung cancer: Defining criteria for harmonization between biopsies and whole sections. J. Thorac. Oncol. 2018, 13, 1113–1120. [Google Scholar] [CrossRef] [PubMed]
- Ferrucci, P.F.; Gandini, S.; Cocorocchio, E.; Pala, L.; Baldini, F.; Mosconi, M.; Antonini Cappellini, G.C.; Albertazzi, E.; Martinoli, C. Baseline relative eosinophil count as a predictive biomarker for ipilimumab treatment in advanced melanoma. Oncotarget 2017, 8, 79809–79815. [Google Scholar] [CrossRef] [PubMed]
- Tanizaki, J.; Haratani, K.; Hayashi, H.; Chiba, Y.; Nakamura, Y.; Yonesaka, K.; Kudo, K.; Kaneda, H.; Hasegawa, Y.; Tanaka, K.; et al. Peripheral Blood Biomarkers Associated with Clinical Outcome in Non-Small Cell Lung Cancer Patients Treated with Nivolumab. J. Thorac. Oncol. 2018, 13, 97–105. [Google Scholar] [CrossRef] [PubMed]
- McMillan, D.C.; Crozier, J.E.; Canna, K.; Angerson, W.J.; McArdle, C.S. Evaluation of an inflammation-based prognostic score (GPS) in patients undergoing resection for colon and rectal cancer. Int. J. Colorectal. Dis. 2007, 22, 881–886. [Google Scholar] [CrossRef] [PubMed]
- Chang, P.H.; Yeh, K.Y.; Wang, C.H.; Chen, E.Y.; Yang, S.W.; Huang, J.S.; Chou, W.C.; Hsieh, J.C. Impact of the pretreatment Glasgow prognostic score on treatment tolerance, toxicities, and survival in patients with advanced head and neck cancer undergoing concurrent 7chemoradiotherapy. Head Neck 2017, 39, 1990–1996. [Google Scholar] [CrossRef] [PubMed]
- Li, X.H.; Chang, H.; Xu, B.Q.; Tao, Y.L.; Gao, J.; Chen, C.; Qu, C.; Zhou, S.; Liu, S.R.; Wang, X.H.; et al. An inflammatory biomarker-based nomogram to predict prognosis of patients with nasopharyngeal carcinoma: An analysis of a prospective study. Cancer Med. 2017, 6, 310–319. [Google Scholar] [CrossRef] [PubMed]
- Farhan-Alanie, O.M.; McMahon, J.; McMillan, D.C. Systemic inflammatory response and survival in patients undergoing curative resection of oral squamous cell carcinoma. Br. J. Oral. Maxillofac. Surg. 2015, 53, 126–131. [Google Scholar] [CrossRef] [PubMed]
- Nakayama, M.; Tabuchi, K.; Hara, A. Clinical utility of the modified Glasgow prognostic score in patients with advanced head and neck cancer. Head Neck 2015, 37, 1745–1749. [Google Scholar] [CrossRef] [PubMed]
- Chen, C.; Sun, P.; Dai, Q.S.; Weng, H.W.; Li, H.P.; Ye, S. The Glasgow Prognostic Score predicts poor survival in cisplatin-based treated patients with metastatic nasopharyngeal carcinoma. PLoS ONE 2014, 9, e112581. [Google Scholar] [CrossRef] [PubMed]
- Carretero, R.; Sektioglu, I.M.; Garbi, N.; Salgado, O.C.; Beckhove, P.; Hammerling, G.J. Eosinophils orchestrate cancer rejection by normalizing tumor vessels and enhancing infiltration of CD8(+) T cells. Nat. Immunol. 2015, 16, 609–617. [Google Scholar] [CrossRef] [PubMed]
- Marincola, F.M.; Jaffee, E.M.; Hicklin, D.J.; Ferrone, S. Escape of human solid tumors from T-cell recognition: Molecular mechanisms and functional significance. Adv. Immunol. 2000, 74, 181–273. [Google Scholar] [PubMed]
- Davis, B.P.; Rothenberg, M.E. Eosinophils and cancer. Cancer Immunol. Res. 2014, 2, 1–8. [Google Scholar] [CrossRef] [PubMed]
- Beck-Engeser, G.B.; Monach, P.A.; Mumberg, D.; Yang, F.; Wanderling, S.; Schreiber, K.; Espinosa, R., 3rd; Le Beau, M.M.; Meredith, S.C.; Schreiber, H. Point mutation in essential genes with loss or mutation of the second allele: Relevance to the retention of tumor-specific antigens. J. Exp. Med. 2001, 194, 285–300. [Google Scholar] [CrossRef] [PubMed]
- Simson, L.; Ellyard, J.I.; Dent, L.A.; Matthaei, K.I.; Rothenberg, M.E.; Foster, P.S.; Smyth, M.J.; Parish, C.R. Regulation of carcinogenesis by IL-5 and CCL11: A potential role for eosinophils in tumor immune surveillance. J. Immunol. 2007, 178, 4222–4229. [Google Scholar] [CrossRef] [PubMed]
- Cheadle, E.J.; Riyad, K.; Subar, D.; Rothwell, D.G.; Ashton, G.; Batha, H.; Sherlock, D.J.; Hawkins, R.E.; Gilham, D.E. Eotaxin-2 and colorectal cancer: A potential target for immune therapy. Clin. Cancer Res. 2007, 13, 5719–5728. [Google Scholar] [CrossRef] [PubMed]
- Levina, V.; Nolen, B.M.; Marrangoni, A.M.; Cheng, P.; Marks, J.R.; Szczepanski, M.J.; Szajnik, M.E.; Gorelik, E.; Lokshin, A.E. Role of eotaxin-1 signaling in ovarian cancer. Clin. Cancer Res. 2009, 15, 2647–2656. [Google Scholar] [CrossRef] [PubMed]
- Zhu, F.; Liu, P.; Li, J.; Zhang, Y. Eotaxin-1 promotes prostate cancer cell invasion via activation of the CCR3-ERK pathway and upregulation of MMP-3 expression. Oncol. Rep. 2014, 31, 2049–2054. [Google Scholar] [CrossRef] [PubMed]
- Kataoka, S.; Konishi, Y.; Nishio, Y.; Fujikawa-Adachi, K.; Tominaga, A. Antitumor activity of eosinophils activated by IL-5 and eotaxin against hepatocellular carcinoma. DNA Cell Biol. 2004, 23, 549–560. [Google Scholar] [CrossRef] [PubMed]
- Mattes, J.; Hulett, M.; Xie, W.; Hogan, S.; Rothenberg, M.E.; Foster, P.; Parish, C. Immunotherapy of cytotoxic T cell-resistant tumors by T helper 2 cells: An eotaxin and STAT6-dependent process. J. Exp. Med. 2003, 197, 387–393. [Google Scholar] [CrossRef] [PubMed]
- Pellini Ferreira, B.; Redman, M.; Baker, K.K.; Martins, R.; Eaton, K.D.; Chow, L.Q.M.; Baik, C.S.; Goulart, B.; Lee, S.M.; Santana-Davila, R.; et al. Predictors of outcome with cetuximab and paclitaxel for head and neck squamous cell carcinoma. Laryngoscope 2017, 127, 1583–1588. [Google Scholar] [CrossRef] [PubMed]
- Oya, Y.; Yoshida, T.; Kuroda, H.; Mikubo, M.; Kondo, C.; Shimizu, J.; Horio, Y.; Sakao, Y.; Hida, T.; Yatabe, Y. Predictive clinical parameters for the response of nivolumab in pretreated advanced non-small-cell lung cancer. Oncotarget 2017, 8, 103117–103128. [Google Scholar] [CrossRef] [PubMed]
- Nakamura, Y.; Kitano, S.; Takahashi, A.; Tsutsumida, A.; Namikawa, K.; Tanese, K.; Abe, T.; Funakoshi, T.; Yamamoto, N.; Amagai, M.; et al. Nivolumab for advanced melanoma: Pretreatment prognostic factors and early outcome markers during therapy. Oncotarget 2016, 7, 77404–77415. [Google Scholar] [CrossRef] [PubMed]
- Eisenhauer, E.A.; Therasse, P.; Bogaerts, J.; Schwartz, L.H.; Sargent, D.; Ford, R.; Dancey, J.; Arbuck, S.; Gwyther, S.; Mooney, M.; et al. New response evaluation criteria in solid tumours: Revised RECIST guideline (version 1.1). Eur. J. Cancer 2009, 45, 228–247. [Google Scholar] [CrossRef] [PubMed]


| Characteristics | Total (N = 53) | ||
|---|---|---|---|
| N | % | ||
| Age (year) | <70 | 39 | 73.6 |
| ≥70 | 14 | 26.4 | |
| Gender | Male | 39 | 73.6 |
| Female | 14 | 26.4 | |
| Primary site | Oral cavity | 16 | 30.2 |
| Nasopharynx | 8 | 15.1 | |
| Oropharynx | 9 | 17.0 | |
| Hypopharynx | 10 | 18.9 | |
| Larynx | 4 | 7.6 | |
| Other | 6 | 11.3 | |
| ECOG PS | 0 | 12 | 22.6 |
| 1 | 26 | 49.1 | |
| 2 | 10 | 18.9 | |
| 3 | 5 | 9.4 | |
| Clinical stage (AJCC) | III | 1 | 1.9 |
| IVA | 3 | 5.7 | |
| IVB | 6 | 11.3 | |
| IVC | 43 | 81.1 | |
| Chemotherapy line | 1 | 13 | 24.5 |
| 2 | 32 | 60.4 | |
| ≥3 | 8 | 15.1 | |
| PD-L1 expression | <1% | 4 | 7.6 |
| 1–49% | 13 | 24.5 | |
| ≥50% | 4 | 7.6 | |
| Unknown | 32 | 60.4 | |
| Radiation history | Yes | 46 | 86.8 |
| No | 7 | 13.2 | |
| Previous systemic therapy regimen | Platinum-based | 39 | 73.6 |
| Taxane-based | 15 | 28.3 | |
| Cmab-contained | 23 | 43.4 | |
| other | 3 | 5.7 | |
| Variables | PFS | OS | |||||
|---|---|---|---|---|---|---|---|
| HR | 95% CI | p Value | HR | 95% CI | p Value | ||
| Age (years) | ≥70 vs. <70 | 0.80 | 0.36–1.75 | 0.58 | 1.57 | 0.64–3.83 | 0.32 |
| Gender | Female vs. Male | 1.98 | 0.99–3.95 | 0.05 | 1.37 | 0.56–3.37 | 0.48 |
| ECOG PS | ≥3 vs. 0–2 | 5.07 | 1.89–13.6 | 0.001 | 11.58 | 3.23–41.44 | 0.0001 |
| Smoking status | Smoker vs. never | 0.62 | 0.31–1.23 | 0.17 | 0.62 | 0.26–1.48 | 0.28 |
| Primary site | Oropharynx vs. Other | 0.91 | 0.37–2.19 | 0.83 | 0.47 | 0.11–2.07 | 0.32 |
| Clinical stage (AJCC) | IVC vs. III, IVA, IVB | 0.98 | 0.42-2.26 | 0.96 | 1.04 | 0.35-3.12 | 0.94 |
| Albumin (mg/dL) | ≥3.5 vs. <3.5 | 0.95 | 0.46–1.97 | 0.90 | 0.41 | 0.18–0.95 | 0.03 |
| CRP (mg/dL) | ≥1.0 vs. <1.0 | 1.36 | 0.71–2.58 | 0.34 | 3.40 | 1.34–8.65 | 0.009 |
| LDH (IU/L) | ≥240 vs. <240 | 1.25 | 0.57–2.78 | 0.57 | 0.85 | 0.29–2.51 | 0.77 |
| RNC | ≥0.65 vs. <0.65 | 3.61 | 1.39–9.34 | 0.008 | 11.01 | 1.48–81.92 | 0.01 |
| RLC | ≥0.17 vs. 0.17 | 0.45 | 0.21–0.95 | 0.03 | 0.21 | 0.06–0.73 | 0.01 |
| REC | ≥0.015 vs. <0.015 | 0.41 | 0.20–0.82 | 0.01 | 0.38 | 0.15–0.99 | 0.04 |
| Chemotherapy line | ≥3 vs. 1–2 | 0.56 | 0.20–1.59 | 0.28 | 1.51 | 0.55–4.08 | 0.41 |
| Cmab history | Yes vs. No | 1.01 | 0.53–1.92 | 0.95 | 1.36 | 0.59–3.12 | 0.45 |
| PD-L1 expression (%) | ≥1 vs. 1< | 0.65 | 0.17–2.44 | 0.53 | 0.36 | 0.06–2.16 | 0.26 |
| Variable | PFS | OS | |||||
|---|---|---|---|---|---|---|---|
| HR | 95% CI | p Value | HR | 95% CI | p Value | ||
| Gender | Female vs. Male | 2.00 | 0.95–4.21 | 0.06 | |||
| ECOG PS | ≥3 vs. 0–2 | 6.38 | 2.14–18.98 | 0.0008 | 22.35 | 4.40–113.40 | 0.0002 |
| Albumin (mg/dL) | ≥3.5 vs. <3.5 | 0.82 | 0.29–2.32 | 0.65 | |||
| CRP (mg/dL) | ≥1.0 vs. <1.0 | 3.72 | 1.09–12.73 | 0.04 | |||
| RNC | ≥0.65 vs. <0.65 | 2.60 | 0.62–10.93 | 0.19 | 5.26 | 0.37–74.25 | 0.22 |
| RLC | ≥0.17 vs. 0.17 | 1.33 | 0.41–4.34 | 0.62 | 1.16 | 0.15–9.14 | 0.86 |
| REC | ≥0.015 vs. <0.015 | 0.31 | 0.13–0.71 | 0.005 | 0.27 | 0.08–0.92 | 0.04 |
© 2018 by the authors. Licensee MDPI, Basel, Switzerland. This article is an open access article distributed under the terms and conditions of the Creative Commons Attribution (CC BY) license (http://creativecommons.org/licenses/by/4.0/).
Share and Cite
Nishikawa, D.; Suzuki, H.; Koide, Y.; Beppu, S.; Kadowaki, S.; Sone, M.; Hanai, N. Prognostic Markers in Head and Neck Cancer Patients Treated with Nivolumab. Cancers 2018, 10, 466. https://doi.org/10.3390/cancers10120466
Nishikawa D, Suzuki H, Koide Y, Beppu S, Kadowaki S, Sone M, Hanai N. Prognostic Markers in Head and Neck Cancer Patients Treated with Nivolumab. Cancers. 2018; 10(12):466. https://doi.org/10.3390/cancers10120466
Chicago/Turabian StyleNishikawa, Daisuke, Hidenori Suzuki, Yusuke Koide, Shintaro Beppu, Shigenori Kadowaki, Michihiko Sone, and Nobuhiro Hanai. 2018. "Prognostic Markers in Head and Neck Cancer Patients Treated with Nivolumab" Cancers 10, no. 12: 466. https://doi.org/10.3390/cancers10120466
APA StyleNishikawa, D., Suzuki, H., Koide, Y., Beppu, S., Kadowaki, S., Sone, M., & Hanai, N. (2018). Prognostic Markers in Head and Neck Cancer Patients Treated with Nivolumab. Cancers, 10(12), 466. https://doi.org/10.3390/cancers10120466
