Effects of Scallop Visceral Mass and Mantle as Dietary Supplements on the Growth, Immune Response and Intestinal Microflora of Juvenile Sea Cucumber Apostichopus japonicus
Abstract
:Simple Summary
Abstract
1. Introduction
2. Materials and Methods
2.1. Diet Preparation
2.2. Feeding Experiment
2.3. Fatty Acid and Amino Acid Analysis
2.4. Immune-Related Gene Expression
2.5. Intestinal Microflora Analysis
2.6. Calculation and Statistical Analysis
3. Results
3.1. Growth Performance of A. japonicus
3.2. Fatty Acid Compositions
3.3. Amino Acid Compositions
3.4. Immune-Related Gene Expressions
3.5. Intestinal Microbial Community
3.5.1. Microbial Abundance and Composition
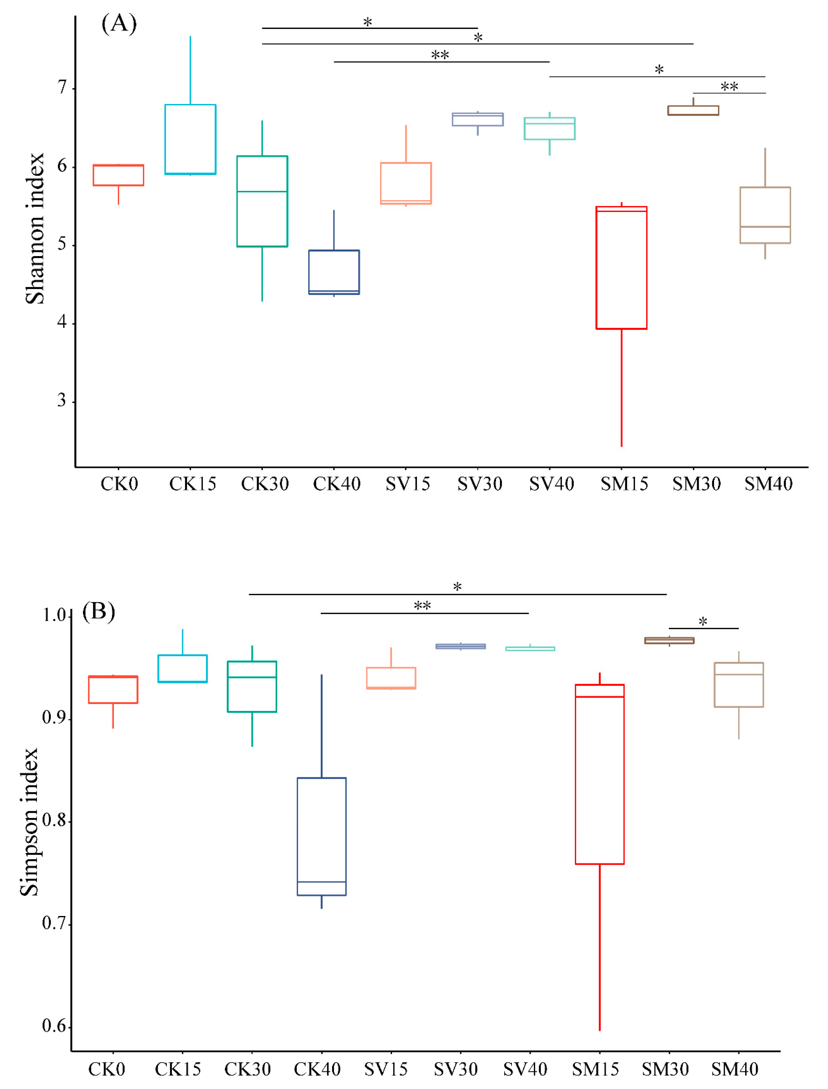
3.5.2. Alpha Diversity of Microbial Community
3.5.3. LEfSe Analysis
4. Discussion
5. Conclusions
Supplementary Materials
Author Contributions
Funding
Institutional Review Board Statement
Informed Consent Statement
Data Availability Statement
Conflicts of Interest
References
- Han, J.R.; Yan, J.N.; Sun, S.G.; Tang, Y.; Shang, W.H.; Li, A.T.; Guo, X.K.; Du, Y.N.; Wu, H.T.; Zhu, B.W.; et al. Characteristic antioxidant activity and comprehensive flavor compound profile of scallop (Chlamys farreri) mantle hydrolysates-ribose Maillard reaction products. Food Chem. 2018, 261, 337–347. [Google Scholar] [CrossRef]
- Gomes, A.M.; Kozlowski, E.O.; Borsig, L.; Teixeira, F.C.; Vlodavsky, I.; Pavão, M.S. Antitumor properties of a new non-anticoagulant heparin analog from the mollusk Nodipecten nodosus: Effect on P-selectin, heparanase, metastasis and cellular recruitment. Glycobiology 2015, 25, 386–393. [Google Scholar] [CrossRef]
- Shi, F.; Liu, Z.; Liu, Y.; Cheong, K.L.; Teng, B.; Khan, B.M. Comparison of Physicochemical Characteristics and Macrophage Immunostimulatory Activities of Polysaccharides from Chlamys farreri. Mar. Drugs 2020, 18, 429. [Google Scholar] [CrossRef] [PubMed]
- Wu, D.; Wu, C.; Wang, Z.; Fan, F.; Chen, H.; Ma, W.; Du, M. Effects of high pressure homogenize treatment on the physicochemical and emulsifying properties of proteins from scallop (Chlamys farreri). Food Hydrocoll. 2019, 94, 537–545. [Google Scholar] [CrossRef]
- Xia, S.; Wang, X. Chapter 19—Nutritional and Medicinal Value. In Developments in Aquaculture and Fisheries Science; Yang, H., Hamel, J.-F., Mercier, A., Eds.; Elsevier: Amsterdam, The Netherlands, 2015; Volume 39, pp. 353–365. [Google Scholar]
- Ministry of Agriculture and Rural Affairs of the People’s Republic of China. China Fishery Statistical Yearbook; China Agriculture Press: Beijing, China, 2021.
- Zhang, W.; Li, C.; Guo, M. Use of ecofriendly alternatives for the control of bacterial infection in aquaculture of sea cucumber Apostichopus japonicus. Aquaculture 2021, 545, 737185. [Google Scholar] [CrossRef]
- Song, X.; Feng, Z.; Zhao, L.; Zhu, W. Fishmeal and scallop mantle subjected to enzymolysis by papain as a substitute for fishmeal could modulate the growth, antioxidant activity and non-specific immune responses in juvenile sea cucumber (Apostichopus japonicus). Aquac. Nutr. 2021, 27, 1650–1658. [Google Scholar] [CrossRef]
- Xing, R.; Li, K.; Feng, J.; Guan, X.; Li, P. Fatty acids composition of scallop viscera and scallop skirt oil. China Oils Fats 2011, 36, 77–80. [Google Scholar]
- Xing, R.E.; Yang, H.Y.; Wang, X.Q.; Yu, H.H.; Liu, S.; Chen, X.L.; Li, P.C. Effect of enzymatically hydrolyzed scallop visceral protein powder used as a replacement of fish meal on the growth performance, immune responses, intestinal microbiota and intestinal morphology of broiler chickens. Livest. Sci. 2018, 207, 15–24. [Google Scholar] [CrossRef]
- Sun, H.; Zhou, Z.; Dong, Y.; Yang, A.; Jiang, B.; Gao, S.; Chen, Z.; Guan, X.; Wang, B.; Wang, X. Identification and expression analysis of two Toll-like receptor genes from sea cucumber (Apostichopus japonicus). Fish Shellfish Immunol. 2013, 34, 147–158. [Google Scholar] [CrossRef]
- Clarke, J.D. Cetyltrimethyl Ammonium Bromide (CTAB) DNA Miniprep for Plant DNA Isolation. Cold Spring Harb. Protoc. 2009, 2009, pdb.prot5177. [Google Scholar] [CrossRef]
- Magoč, T.; Salzberg, S.L. FLASH: Fast length adjustment of short reads to improve genome assemblies. Bioinformatics 2011, 27, 2957–2963. [Google Scholar] [CrossRef] [PubMed]
- Caporaso, J.G.; Kuczynski, J.; Stombaugh, J.; Bittinger, K.; Bushman, F.D.; Costello, E.K.; Fierer, N.; Pena, A.G.; Goodrich, J.K.; Gordon, J.I.; et al. QIIME allows analysis of high-throughput community sequencing data. Nat. Methods 2010, 7, 335–336. [Google Scholar] [CrossRef] [PubMed]
- Edgar, R.C. UPARSE: Highly accurate OTU sequences from microbial amplicon reads. Nat. Methods 2013, 10, 996–998. [Google Scholar] [CrossRef]
- Quast, C.; Pruesse, E.; Yilmaz, P.; Gerken, J.; Schweer, T.; Yarza, P.; Peplies, J.; Glöckner, F.O. The SILVA ribosomal RNA gene database project: Improved data processing and web-based tools. Nucleic Acids Res. 2013, 41, D590–D596. [Google Scholar] [CrossRef]
- Wu, H.-T.; Jin, W.-G.; Sun, S.-G.; Li, X.-S.; Duan, X.-H.; Li, Y.; Yang, Y.-T.; Han, J.-R.; Zhu, B.-W. Identification of antioxidant peptides from protein hydrolysates of scallop (Patinopecten yessoensis) female gonads. Eur. Food Res. Technol. 2016, 242, 713–722. [Google Scholar] [CrossRef]
- Bergé, J.-P.; Barnathan, G. Fatty Acids from Lipids of Marine Organisms: Molecular Biodiversity, Roles as Biomarkers, Biologically Active Compounds, and Economical Aspects. Adv. Biochem. Eng. Biotechnol. 2005, 96, 49–125. [Google Scholar] [CrossRef] [PubMed]
- Liu, X.; Tan, B.; Mai, K.; Ai, Q.; Zhou, Q. Effects of dietary n-3 highly unsaturated fatty acids on growth and Fatty acid composition of juvenile cobia (Rachycentron canadum). Acta Hydrobiol. Sin. 2007, 31, 190–195. (In Chinese) [Google Scholar]
- Dalsgaard, J.; John, M.S.; Kattner, G.; Müller-Navarra, D.; Hagen, W. Fatty acid trophic markers in the pelagic marine environment. Adv. Mar. Biol. 2003, 46, 225–340. [Google Scholar]
- Whitefield, C.; Oliveira, A.; Hardy, S. Composition of phytodetrital food resources affects reproductive success in the deposit-feeding sea cucumber, Parastichopus californicus (Stimpson 1857). J. Exp. Mar. Biol. Ecol. 2018, 500, 1–11. [Google Scholar] [CrossRef]
- Yu, H.; Gao, Q.; Dong, S.; Zhou, J.; Ye, Z.; Lan, Y. Effects of dietary n-3 highly unsaturated fatty acids (HUFAs) on growth, fatty acid profiles, antioxidant capacity and immunity of sea cucumber Apostichopus japonicus (Selenka). Fish Shellfish Immunol. 2016, 54, 211–219. [Google Scholar] [CrossRef]
- Simopoulos, A.P. The Importance of the Omega-6/Omega-3 Fatty Acid Ratio in Cardiovascular Disease and Other Chronic Diseases. Exp. Biol. Med. 2008, 233, 674–688. [Google Scholar] [CrossRef]
- Yu, H.; Gao, Q.; Dong, S.; Wen, B. Changes in fatty acid profiles of sea cucumber Apostichopus japonicus (Selenka) induced by terrestrial plants in diets. Aquaculture 2015, 442, 119–124. [Google Scholar] [CrossRef]
- Yang, G.; Xu, Z.J.; Tian, X.L.; Dong, S.L.; Peng, M. Intestinal microbiota and immune related genes in sea cucumber (Apostichopus japonicus) response to dietary beta-glucan supplementation. Biochem. Biophys. Res. Commun. 2015, 458, 98–103. [Google Scholar] [CrossRef]
- Yang, G.; Tian, X.; Dong, S. Bacillus cereus and rhubarb regulate the intestinal microbiota of sea cucumber (Apostichopus japonicus Selenka): Species-species interaction, network, and stability. Aquaculture 2019, 512, 734284. [Google Scholar] [CrossRef]
- Wei, Z.; Yi, L.; Xu, W.; Zhou, H.; Zhang, Y.; Zhang, W.; Mai, K. Effects of dietary nucleotides on growth, non-specific immune response and disease resistance of sea cucumber Apostichopus japonicus. Fish Shellfish Immunol. 2015, 47, 1–6. [Google Scholar] [CrossRef]
- Xue, Z.; Li, H.; Wang, X.; Li, X.; Liu, Y.; Sun, J.; Liu, C. A review of the immune molecules in the sea cucumber. Fish Shellfish Immunol. 2015, 44, 1–11. [Google Scholar] [CrossRef] [PubMed]
- Kongchum, P.; Hallerman, E.M.; Hulata, G.; David, L.; Palti, Y. Molecular cloning, characterization and expression analysis of TLR9, MyD88 and TRAF6 genes in common carp (Cyprinus carpio). Fish Shellfish Immunol. 2011, 30, 361–371. [Google Scholar] [CrossRef]
- Akira, S.; Takeda, K. Toll-like receptor signalling. Nat. Rev. Immunol. 2004, 4, 499–511. [Google Scholar] [CrossRef]
- Lu, Y.; Li, C.; Wang, D.; Su, X.; Jin, C.; Li, Y.; Li, T. Characterization of two negative regulators of the Toll-like receptor pathway in Apostichopus japonicus: Inhibitor of NF-κB and Toll-interacting protein. Fish Shellfish Immunol. 2013, 35, 1663–1669. [Google Scholar] [CrossRef]
- Lu, Y.; Li, C.; Zhang, P.; Shao, Y.; Su, X.; Li, Y.; Li, T. Two adaptor molecules of MyD88 and TRAF6 in Apostichopus japonicus Toll signaling cascade: Molecular cloning and expression analysis. Dev. Comp. Immunol. 2013, 41, 498–504. [Google Scholar] [CrossRef]
- Divya, K.; Isamma, A.; Ramasubramanian, V.; Sureshkumar, S.; Arunjith, T. Colonization of probiotic bacteria and its impact on ornamental fish Puntius conchonius. J. Environ. Biol. 2012, 33, 551. [Google Scholar]
- Kim, S.-K.; Bhatnagar, I.; Kang, K.-H. Development of Marine Probiotics: Prospects and Approach. In Advances in Food and Nutrition Research, Volume 65: Marine Medicinal Foods: Implications and Applications—Animals and Microbes; Kim, S.K., Ed.; Elsevier: Amsterdam, The Netherlands, 2012; Volume 65, pp. 353–362. [Google Scholar]
- Servin, A.L. Antagonistic activities of lactobacilli and bifidobacteria against microbial pathogens. FEMS Microbiol. Rev. 2004, 28, 405–440. [Google Scholar] [CrossRef]
- Zorriehzahra, M.J.; Delshad, S.T.; Adel, M.; Tiwari, R.; Karthik, K.; Dhama, K.; Lazado, C.C. Probiotics as beneficial microbes in aquaculture: An update on their multiple modes of action: A review. Vet. Q. 2016, 36, 228–241. [Google Scholar] [CrossRef] [PubMed]
- Bibb, M.J. Understanding and manipulating antibiotic production in actinomycetes. Biochem. Soc. Trans. 2013, 41, 1355–1364. [Google Scholar] [CrossRef] [PubMed]
- Bi, Y.; Yu, Z. Diterpenoids from Streptomyces sp. SN194 and Their Antifungal Activity against Botrytis cinerea. J. Agric. Food Chem. 2016, 64, 8525–8529. [Google Scholar] [CrossRef]
- Das, S.; Lyla, P.; Ajmal Khan, S. Application of Streptomyces as a probiotic in the laboratory culture of Penaeus monodon (Fabricius). Isr. J. Aquac. Bamidgeh 2006, 58, 198–204. [Google Scholar] [CrossRef]
- Babu, D.T.; Archana, K.; Kachiprath, B.; Solomon, S.; Jayanath, G.; Singh, I.B.; Philip, R. Marine actinomycetes as bioremediators in Penaeus monodon rearing system. Fish Shellfish Immunol. 2018, 75, 231–242. [Google Scholar] [CrossRef]
- Guo, P.; Zhang, K.; Ma, X.; He, P. Clostridium species as probiotics: Potentials and challenges. J. Anim. Sci. Biotechnol. 2020, 11, 1–10. [Google Scholar] [CrossRef] [PubMed]
- Wang, A.; Ran, C.; Wang, Y.; Zhang, Z.; Ding, Q.; Yang, Y.; Olsen, R.E.; Ringø, E.; Bindelle, J.; Zhou, Z. Use of probiotics in aquaculture of China—A review of the past decade. Fish Shellfish Immunol. 2019, 86, 734–755. [Google Scholar] [CrossRef]
- Sapountzis, P.; Zhukova, M.; Hansen, L.H.; Sorensen, S.J.; Schiott, M.; Boomsma, J.J. Acromyrmex Leaf-Cutting Ants Have Simple Gut Microbiota with Nitrogen-Fixing Potential. Appl. Environ. Microbiol. 2015, 81, 5527–5537. [Google Scholar] [CrossRef]
- Stoll, S.; Gadau, J.; Gross, R.; Feldhaar, H. Bacterial microbiota associated with ants of the genus Tetraponera. Biol. J. Linn. Soc. 2007, 90, 399–412. [Google Scholar] [CrossRef]
- Sonnenburg, J.L.; Chen, C.T.L.; Gordon, J.I. Genomic and Metabolic Studies of the Impact of Probiotics on a Model Gut Symbiont and Host. PLoS Biol. 2006, 4, e413. [Google Scholar] [CrossRef] [PubMed]
- Wang, X.; Zhou, Z.; Guan, X.; Dong, Y.; Zhao, Z.; Jiang, J.; Li, S.; Jiang, B.; Wang, B.; Zhang, G.; et al. Effects of dietary Lactobacillus acidophilus and tussah immunoreactive substances supplementation on physiological and immune characteristics of sea cucumber (Apostichopus japonicus). Aquaculture 2021, 542, 736897. [Google Scholar] [CrossRef]










| Diet-CK | Diet-SV | Diet-SM | Scallop Visceral Mass | Scallop Mantle | S. thunbergii | Sea Mud | |
|---|---|---|---|---|---|---|---|
| Protein | 9.2 ± 0.3 | 10.7 ± 0.1 | 11.2 ± 0.01 | 53.2 | 66.2 | 19.0 | 2.7 |
| Lipid | 0.98 ± 0.2 | 1.4 ± 0.1 | 1.0 ± 0.2 | 12.5 | 2.4 | 2.0 | 0.3 |
Disclaimer/Publisher’s Note: The statements, opinions and data contained in all publications are solely those of the individual author(s) and contributor(s) and not of MDPI and/or the editor(s). MDPI and/or the editor(s) disclaim responsibility for any injury to people or property resulting from any ideas, methods, instructions or products referred to in the content. |
© 2023 by the authors. Licensee MDPI, Basel, Switzerland. This article is an open access article distributed under the terms and conditions of the Creative Commons Attribution (CC BY) license (https://creativecommons.org/licenses/by/4.0/).
Share and Cite
Yu, Y.; Wang, M.; Ren, Y.; Wang, X.; Ge, X.; Li, K. Effects of Scallop Visceral Mass and Mantle as Dietary Supplements on the Growth, Immune Response and Intestinal Microflora of Juvenile Sea Cucumber Apostichopus japonicus. Biology 2023, 12, 1239. https://doi.org/10.3390/biology12091239
Yu Y, Wang M, Ren Y, Wang X, Ge X, Li K. Effects of Scallop Visceral Mass and Mantle as Dietary Supplements on the Growth, Immune Response and Intestinal Microflora of Juvenile Sea Cucumber Apostichopus japonicus. Biology. 2023; 12(9):1239. https://doi.org/10.3390/biology12091239
Chicago/Turabian StyleYu, Yu, Mengshu Wang, Yichao Ren, Xin Wang, Xiangyun Ge, and Kecheng Li. 2023. "Effects of Scallop Visceral Mass and Mantle as Dietary Supplements on the Growth, Immune Response and Intestinal Microflora of Juvenile Sea Cucumber Apostichopus japonicus" Biology 12, no. 9: 1239. https://doi.org/10.3390/biology12091239
APA StyleYu, Y., Wang, M., Ren, Y., Wang, X., Ge, X., & Li, K. (2023). Effects of Scallop Visceral Mass and Mantle as Dietary Supplements on the Growth, Immune Response and Intestinal Microflora of Juvenile Sea Cucumber Apostichopus japonicus. Biology, 12(9), 1239. https://doi.org/10.3390/biology12091239

