Microstructure and Mechanical Properties of P21-STS316L Functionally Graded Material Manufactured by Direct Energy Deposition 3D Print
Abstract
1. Introduction
2. Materials and Methods
3. Results and Discussion
3.1. Macrostructure and Microstructure
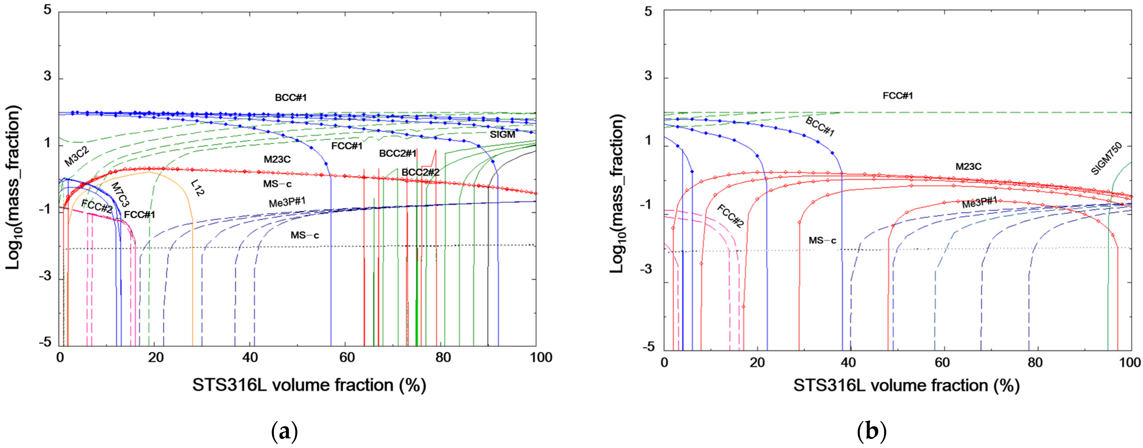
3.2. Precipitations
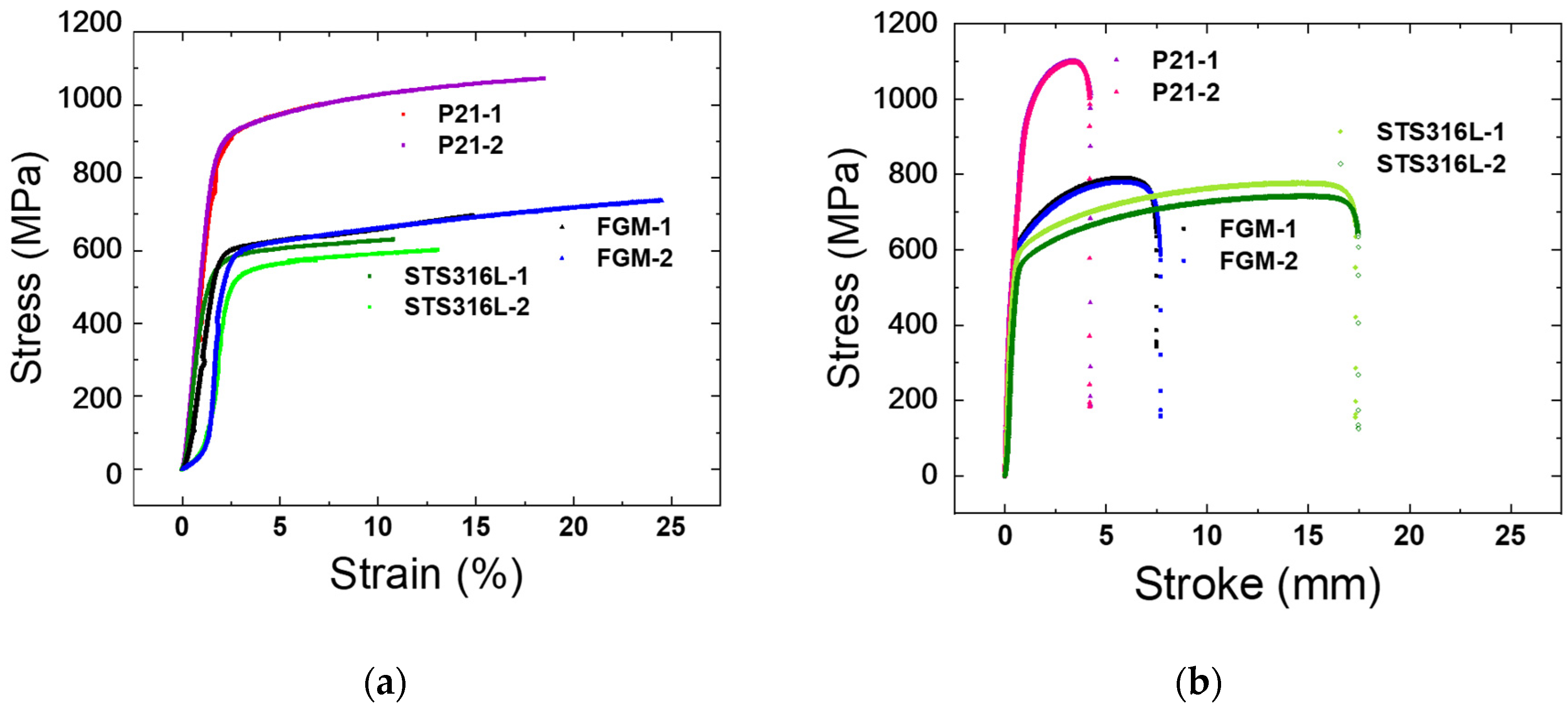
3.3. Mechanical Properties
4. Conclusions
- P21 and STS316L FGM blocks, whose components were precisely changed linearly depending on the part, could be manufactured with a multi-hopper metal DED 3D printer. P21 and STS316L are iron alloy spherical powders with similar density, fluidity, laser absorption rate, and dissolution properties. Therefore, FGM blocks with a sound microstructure at the level of a single material could be manufactured owing to smooth metal powder spraying, mixing and alloying;
- In the DED 3D printing block P21 showed ferrite, STS316L showed austenite, and FGM showed ferrite, ferrite austenite duplex, and austenite microstructures, depending on the location. In P21 and STS316L, the dendrite structures disappeared due to the heat during welding; however, in the duplex area of FGM, the dendrites were maintained due to the interfaces between austenite phase in dendrite and ferrite phase inter dendrite. Precipitate phase was not observed in OM and SEM in FGM, and L12 phase was analyzed in XRD. L12 was one of the phases predicted by the Factsage thermodynamic calculations were not observed in the small magnification analysis, because the actual DED printing cooling rate was high and the alloy was supersaturated or the precipitate phases were finely formed;
- In the FGM of P21 and STS316L, the hardness did not show an interpolation value between the properties of each material depending on the material mixing ratio; however, it increased to a larger value than P21 hardness, the strongest material among the two materials, and then decreased to the value of STS316L hardness. The hardness behavior was related to duplex phase fraction and distribution, precipitation strengthening, solid solution strengthening, and particle size refinement, according to the mixing of two materials with different components in FGM. High weld hardness improves bonding strength but reduces SCC and thermal fatigue properties. Therefore, setting a hardness target and forming an appropriate alloy is necessary to optimize the characteristics of the dissimilar metal welds;
- FGM showed UTS of STS316L and intermediate elongation of STS316L and P21 single material. Impact toughness was measured at a level similar to that of P21. The strength of the weakest part of the FGM bulk tensile specimen was measured, and the impact toughness of the notched part of the impact specimen was measured. Since the material of FGM changes depending on the area, tensile and impact tests that measure only specific area characteristics are not suitable for FGM evaluation;
- Alloy composition and physical properties change depending on location in FGM. Hardness can be measured by location of FGM, which is a suitable method for measuring FGM properties. Minimum scale alloy fabrication, evaluation, and analysis are possible with FGM fabrication, micro-hardness evaluation, OM, SEM, and XRD microstructure analysis. That can dramatically reduce time and cost of developing new alloys and securing material property database.
Author Contributions
Funding
Data Availability Statement
Conflicts of Interest
References
- Carroll, B.E.; Otis, R.A.; Borgonia, J.P.; Suh, J.-O.; Dillon, R.P.; Shapiro, A.A.; Hofmann, D.C.; Liu, Z.-K.; Beese, A.M. Functionally graded material of 304L stainless steel and inconel 625 fabricated by directed energy deposition: Characterization and thermodynamic modeling. Acta Mater. 2016, 108, 46–54. [Google Scholar] [CrossRef]
- Saleh, B.; Jiang, J.; Fathi, R.; Al-hababi, T.; Xu, Q.; Wang, L.; Song, D.; Ma, A. 30 Years of functionally graded materials: An overview of manufacturing methods, Applications and Future Challenges. Compos. Part B Eng. 2020, 201, 108376. [Google Scholar] [CrossRef]
- Zhang, C.H.; Zhang, H.; Wu, C.L.; Zhang, S.; Sun, Z.L.; Dong, S.Y. Multi-layer functional graded stainless steel fabricated by laser melting deposition. Vacuum 2017, 141, 181–187. [Google Scholar] [CrossRef]
- Kim, S.; Chun, C.-K. Fe-Ni base Functionally Graded Deposition by Direct Energy Deposition Additive Manufacturing Process. J. Weld. Join. 2020, 38, 359–365. [Google Scholar] [CrossRef]
- Udupa, G.; Rao, S.S.; Gangadharan, K.V. Functionally Graded Composite Materials: An Overview. Procedia Mater. Sci. 2014, 5, 1291–1299. [Google Scholar] [CrossRef]
- Bobbio, L.D.; Otis, R.A.; Borgonia, J.P.; Dillon, R.P.; Shapiro, A.A.; Liu, Z.-K.; Beese, A.M. Additive manufacturing of a functionally graded material from Ti-6Al-4V to Invar: Experimental characterization and thermodynamic calculations. Acta Mater. 2017, 127, 133–142. [Google Scholar] [CrossRef]
- Shin, G.; Park, Y.; Kim, D.W.; Yoon, J.h.; Kim, J.H. Effect of Post-Weld Heat Treatment on Microstructure and Hardness Evolution of Functionally Graded Materials Produced by Direct Energy Deposition. Korean J. Met. Mater. 2021, 59, 81–98. [Google Scholar] [CrossRef]
- Jeong, J.-S.; Shin, K.-H. Fabrication of Functionally Graded Materials Between P21 Tool Steel and Cu by Using Laser-Aided Layered Manufacturing. Trans. Korean Soc. Mech. Eng. A 2013, 37, 61–66. [Google Scholar] [CrossRef]
- Nam, S.; Cho, H.; Kim, C.; Kim, Y.-M. Effect of Process Parameters on Deposition Properties of Functionally Graded STS 316/Fe Manufactured by Laser Direct Metal Deposition. Metals 2018, 8, 607. [Google Scholar] [CrossRef]
- Li, W.; Yan, L.; Chen, X.; Zhang, J.; Zhang, X.; Liou, F. Directed energy depositing a new Fe-Cr-Ni alloy with gradually changing composition with elemental powder mixes and particle size’ effect in fabrication process. J. Mater. Process. Technol. 2018, 255, 96–104. [Google Scholar] [CrossRef]
- Dev Singh, D.; Arjula, S.; Raji Reddy, A. Functionally Graded Materials Manufactured by Direct Energy Deposition: A review. Mater. Today Proc. 2021, 47, 2450–2456. [Google Scholar] [CrossRef]
- Yang, S.W.; Yoon, J.; Lee, H.; Shim, D.S. Defect of functionally graded material of inconel 718 and STS 316L fabricated by directed energy deposition and its effect on mechanical properties. J. Mater. Res. Technol. 2022, 17, 478–497. [Google Scholar] [CrossRef]
- Lin, X.; Yue, T.M.; Yang, H.; Huang, W. Laser rapid forming of SS316L/Rene88DT graded material. Mater. Sci. Eng. A 2005, 391, 325–336. [Google Scholar] [CrossRef]
- Savitha, U.; Jagan Reddy, G.; Venkataramana, A.; Sambasiva Rao, A.; Gokhale, A.A.; Sundararaman, M. Chemical analysis, structure and mechanical properties of discrete and compositionally graded SS316–IN625 dual materials. Mater. Sci. Eng. A 2015, 647, 344–352. [Google Scholar] [CrossRef]
- Niendorf, T.; Leuders, S.; Riemer, A.; Brenne, F.; Tröster, T.; Richard, H.A.; Schwarze, D. Functionally Graded Alloys Obtained by Additive Manufacturing. Adv. Eng. Mater. 2014, 16, 857–861. [Google Scholar] [CrossRef]
- Hofmann, D.C.; Roberts, S.; Otis, R.; Kolodziejska, J.; Dillon, R.P.; Suh, J.O.; Shapiro, A.A.; Liu, Z.K.; Borgonia, J.P. Developing gradient metal alloys through radial deposition additive manufacturing. Sci. Rep. 2014, 4, 5357. [Google Scholar] [CrossRef]
- Reichardt, A.; Dillon, R.P.; Borgonia, J.P.; Shapiro, A.A.; McEnerney, B.W.; Momose, T.; Hosemann, P. Development and characterization of Ti-6Al-4V to 304L stainless steel gradient components fabricated with laser deposition additive manufacturing. Mater. Des. 2016, 104, 404–413. [Google Scholar] [CrossRef]
- Ahn, S.-Y.; Kang, N. The Effects of δ-ferrite on Weldment of 9-12% Cr Steels. J. Korean Weld. Join. Soc. 2013, 31, 8–16. [Google Scholar] [CrossRef]
- Shin, G.; Yoon, J.h.; Kim, D.W.; Park, Y.; Kim, J.H. A Study on the Influence of Laser Power on the Microstructure and Mechanical Properties of Functionally Graded Materials Produced by Direct Energy Deposition. Korean J. Met. Mater. 2020, 58, 782–792. [Google Scholar] [CrossRef]
- Zuback, J.S.; Palmer, T.A.; DebRoy, T. Additive manufacturing of functionally graded transition joints between ferritic and austenitic alloys. J. Alloy. Compd. 2019, 770, 995–1003. [Google Scholar] [CrossRef]
- Shah, K.; Izhar Ul, H.; Shah, S.A.; Khan, F.U.; Khan, M.T.; Khan, S. Experimental study of direct laser deposition of Ti-6Al-4V and Inconel 718 by using pulsed parameters. Sci. World J. 2014, 2014, 841549. [Google Scholar] [CrossRef] [PubMed]
- Pulugurtha, S.R. Functionally Graded Ti6Al4V and Inconel 625 by Laser Metal Deposition; Missouri University of Science and Technology: Rolla, MO, USA, 2014. [Google Scholar]
- Kim, D.-K.; Woo, W.; Kim, E.-Y.; Choi, S.-H. Microstructure and mechanical characteristics of multi-layered materials composed of 316L stainless steel and ferritic steel produced by direct energy deposition. J. Alloy. Compd. 2019, 774, 896–907. [Google Scholar] [CrossRef]
- Stavridis, J.; Papacharalampopoulos, A.; Stavropoulos, P. Quality assessment in laser welding: A critical review. Int. J. Adv. Manuf. Technol. 2017, 94, 1825–1847. [Google Scholar] [CrossRef]
- Saboori, A.; Toushekhah, M.; Aversa, A.; Lai, M.; Lombardi, M.; Biamino, S.; Fino, P. Critical Features in the Microstructural Analysis of AISI 316L Produced By Metal Additive Manufacturing. Metallogr. Microstruct. Anal. 2020, 9, 92–96. [Google Scholar] [CrossRef]
- E45-18a; A. Standard Test Methods for Determining the Inclusion Content of Steel. ASME: New York, NY, USA, 2018.
- Hoadley, A.; Rappaz, M. A thermal model of laser cladding by powder injection. Metall. Trans. B 1992, 23, 631–642. [Google Scholar] [CrossRef]
- Evaluation of Mechanical Property for Welded Austenitic Stainless Steel 304 by Following Post Weld Heat Treatment. Korean J. Met. Mater. 2017, 55, 664–670. [CrossRef]
- Cheng, W.-C.; Cheng, C.-Y.; Hsu, C.-W.; Laughlin, D.E. Phase transformation of the L1 2 phase to kappa-carbide after spinodal decomposition and ordering in an Fe–C–Mn–Al austenitic steel. Mater. Sci. Eng. A 2015, 642, 128–135. [Google Scholar] [CrossRef]
- Hsieh, C.-C.; Wu, W. Overview of Intermetallic Sigma (σ) Phase Precipitation in Stainless Steels. ISRN Metall. 2012, 2012, 732471. [Google Scholar] [CrossRef]
- Liang, T.; Hu, X.Q.; Kang, X.H.; Li, D.Z. Effect of The Sigma Phase on the Mechanical Properties of a Cast Duplex Stainless Steel during the Ageing Treatment at 850 °C. Adv. Mater. Res. 2013, 684, 325–329. [Google Scholar]
- Gooch, T. Stress corrosion cracking of welded joints in high strength steels. Weld. J. 1974, 53, 287. [Google Scholar]
- Busby, J.T.; Hash, M.C.; Was, G.S. The relationship between hardness and yield stress in irradiated austenitic and ferritic steels. J. Nucl. Mater. 2005, 336, 267–278. [Google Scholar] [CrossRef]
- Kim, J.-Y.; Lee, K.-W.; Lee, J.-S.; Kwon, D. Determination of tensile properties by instrumented indentation technique: Representative stress and strain approach. Surf. Coat. Technol. 2006, 201, 4278–4283. [Google Scholar] [CrossRef]
- Hu, Y.; Guo, Q.; Zhao, L.; Li, Z.; Fan, G.; Li, Z.; Xiong, D.-B.; Su, Y.; Zhang, D. Correlating micro-pillar compression behavior with bulk mechanical properties: Nanolaminated graphene-Al composite as a case study. Scr. Mater. 2018, 146, 236–240. [Google Scholar] [CrossRef]


















| Element | C | Si | Mn | P | S | Ni | Cr | Mo | Al | Cu | V |
|---|---|---|---|---|---|---|---|---|---|---|---|
| P21 | 0.21 | 0.38 | 0.38 | - | 0.003 | 4.03 | 0.65 | - | 1.11 | 0.01 | 0.12 |
| STS316L | 0.02 | 0.49 | 1.39 | 0.033 | 0.004 | 10.02 | 17.01 | 2.03 | - | - | - |
| Parameters | Value |
|---|---|
| Beam diameter | 0.4 mm |
| Power | 200 W |
| Depositions speed | 850 mm/min |
| Deposition thickness | 0.3 mm/layer |
| Deposition rate | 3 g/min |
| Deposition mode | Zigzag |
| Hatch angle | 90° |
| Gas flow | Helium |
| Element | Fracture Surface | Powder | |
|---|---|---|---|
| STS316L | P21 | ||
| Al | 0.08 | - | 1.11 |
| Si | 0.91 | 0.49 | 0.38 |
| Cr | 17.49 | 17.01 | 0.65 |
| Mn | 1.01 | 1.39 | 0.38 |
| Ni | 10.21 | 10.02 | 4.03 |
| Mo | 3.06 | 2.03 | - |
Publisher’s Note: MDPI stays neutral with regard to jurisdictional claims in published maps and institutional affiliations. |
© 2022 by the authors. Licensee MDPI, Basel, Switzerland. This article is an open access article distributed under the terms and conditions of the Creative Commons Attribution (CC BY) license (https://creativecommons.org/licenses/by/4.0/).
Share and Cite
Jo, M.; Kim, H.-S.; Park, J.Y.; Lee, S.G.; Kim, B.J.; Kim, H.C.; Ahn, Y.-s.; Kim, B.; Kang, N.; Nam, D. Microstructure and Mechanical Properties of P21-STS316L Functionally Graded Material Manufactured by Direct Energy Deposition 3D Print. Metals 2022, 12, 2086. https://doi.org/10.3390/met12122086
Jo M, Kim H-S, Park JY, Lee SG, Kim BJ, Kim HC, Ahn Y-s, Kim B, Kang N, Nam D. Microstructure and Mechanical Properties of P21-STS316L Functionally Graded Material Manufactured by Direct Energy Deposition 3D Print. Metals. 2022; 12(12):2086. https://doi.org/10.3390/met12122086
Chicago/Turabian StyleJo, Myeongji, Hyo-Seong Kim, Jeong Yeol Park, Seok Goo Lee, Byung Jun Kim, Hyoung Chan Kim, Yong-sik Ahn, Byoungkoo Kim, Namhyn Kang, and Daegeun Nam. 2022. "Microstructure and Mechanical Properties of P21-STS316L Functionally Graded Material Manufactured by Direct Energy Deposition 3D Print" Metals 12, no. 12: 2086. https://doi.org/10.3390/met12122086
APA StyleJo, M., Kim, H.-S., Park, J. Y., Lee, S. G., Kim, B. J., Kim, H. C., Ahn, Y.-s., Kim, B., Kang, N., & Nam, D. (2022). Microstructure and Mechanical Properties of P21-STS316L Functionally Graded Material Manufactured by Direct Energy Deposition 3D Print. Metals, 12(12), 2086. https://doi.org/10.3390/met12122086

