Modeling Energy Communities with Collective Photovoltaic Self-Consumption: Synergies between a Small City and a Winery in Portugal
Abstract
1. Introduction
2. Case Study Description
2.1. The Portuguese Context on Energy Communities and Collective Self-Consumption
2.2. Reguengos de Monsaraz: A City + Winery Potential Energy Community in Southern Portugal
3. Materials and Methods
3.1. Data
3.2. Modeling the Local Energy System and the Energy Community
3.2.1. Calliope—An Overview
3.2.2. Designing the Local Power Grid Layout
3.2.3. Grid Tariffs Allocation
3.2.4. Modeling Assumptions and Simplifications
3.2.5. Scenarios and Pathways for an Energy Community in Reguengos de Monsaraz
- Independent self-consumption.
- Alternating the prosumer/consumer role between actors:
- Winery as a prosumer, city as a consumer.
- City as a prosumer, winery as a consumer.
- Both actors as prosumers, assuming two PV adoption scenarios for the city:
- Rooftop PV capacity equivalent to 10% of diurnal electricity demand.
- Rooftop PV capacity equivalent to 75% of diurnal electricity demand.
3.2.6. Considered Assessment Metrics
4. Results
4.1. Scenario 1: Independent Self-Consumption
4.2. Alternating the Prosumer/Consumer Role between Actors
4.3. Both Actors as Prosumers, Assuming Two PV Adoption Scenarios for the City
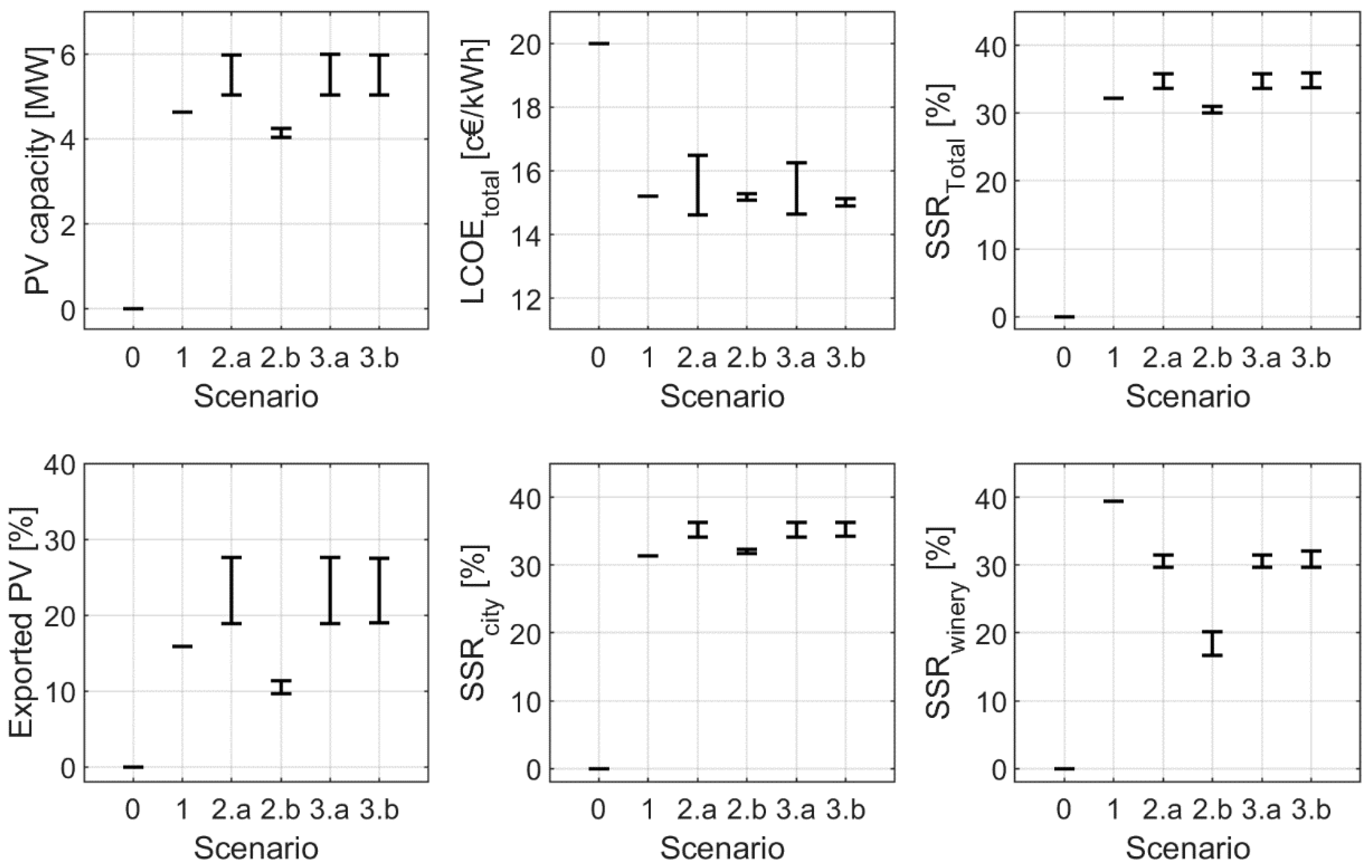
4.4. An Overall Comparison of Pathways
5. Conclusions
Author Contributions
Funding
Acknowledgments
Conflicts of Interest
Abbreviations
| EC | Energy Community |
| CEP | Clean Energy Package |
| REC | Renewable Energy Community |
| CEC | Citizen Energy Community |
| VPP | Virtual Power Plant |
| P2P | Peer-to-Peer |
| RES | Renewable Energy Sources |
| PV | Photovoltaics |
| MILP | Mixed-Integer Linear Programming |
| MPC | Model Predictive Control |
| PT | Power Transformer |
| DSO | Distribution System Operator |
| STC | Standard Test Conditions |
| GIS | Geographical Information System |
Variables and Parameters
| GUF | Grid-use factor [%] |
| τgrid,LV | Low-voltage grid tariff [€/kWh] |
| τgrid,MV | Medium-voltage grid tariff [€/kWh] |
| τgrid,HV | High-voltage grid tariff [€/kWh] |
| Ccapital,PV | Initial capital investment [€] |
| Cgrid use,PV (t) | Costs associated with the grid use of PV for each timeslot t [€] |
| Csupply,imports | Cost of the imported electricity for each timeslot t [€] |
| Cgrid use,imports | Cost associated with the grid use of imported electricity for each timeslot t [€] |
| EPV | PV generation for each timeslot t [kWh] |
| Edemand | Electricity demand for each timeslot t [kWh] |
| EPV,export | PV generation exported surplus for each timeslot t [kWh] |
| SSR | Self-sufficiency rate [%] |
| LCOEPV | Levelized cost of electricity for PV generation |
| LCOEtotal | System-wide levelized cost of electricity |
References
- Renewable Energy Directive (Directive (EU) 2018/2001). Available online: http://data.europa.eu/eli/dir/2018/2001/oj (accessed on 4 December 2020).
- Internal Electricity Market Directive (Directive (EU) 2019/944). Available online: http://data.europa.eu/eli/dir/2019/944/oj (accessed on 4 December 2020).
- Roberts, J.; Frieden, D.; D’Herbemont, S. Energy Community Definitions. 2019. Available online: https://www.compile-project.eu/wp-content/uploads/Explanatory-note-on-energy-community-definitions.pdf (accessed on 4 December 2020).
- Frieden, D.; Tuerk, A.; Roberts, J.; D’Herbemont, S.; Gubina, A. Collective Self-Consumption and Energy Communities: Overview of Emerging Regulatory Approaches in Europe. 2019. Available online: https://www.compile-project.eu/wp-content/uploads/COMPILE_Collective_self-consumption_EU_review_june_2019_FINAL-1.pdf (accessed on 4 December 2020).
- Horstink, L.; Wittmayer, J.M.; Ng, K.; Luz, G.P.; Marín-González, E.; Gährs, S.; Campos, I.; Holstenkamp, L.; Oxenaar, S.; Brown, D. Collective Renewable Energy Prosumers and the Promises of the Energy Union: Taking Stock. Energies 2020, 13, 421. [Google Scholar] [CrossRef]
- Gui, E.M.; MacGill, I. Typology of future clean energy communities: An exploratory structure, opportunities, and challenges. Energy Res. Soc. Sci. 2018, 35, 94–107. [Google Scholar] [CrossRef]
- Lettner, G.; Auer, H.; Fleischhacker, A.; Schwabeneder, D.; Dallinger, B.; Moisl, F.; Roman, E.; Velte, D.; Huidobro, A. Existing and Future PV Prosumer Concepts. 2018. Available online: https://www.pvp4grid.eu/wp-content/uploads/2018/08/D2.1_Existing-future-prosumer-concepts_PVP4Grid_FV.pdf (accessed on 4 December 2020).
- Reis, V.; Almeida, R.H.; Silva, J.A.; Brito, M.C. Demand aggregation for photovoltaic self-consumption. Energy Rep. 2019, 5, 54–61. [Google Scholar] [CrossRef]
- Fina, B.; Auer, H.; Friedl, W. Profitability of PV sharing in energy communities: Use cases for different settlement patterns. Energy 2019, 189, 116148. [Google Scholar] [CrossRef]
- Luthander, R.; Widén, J.; Munkhammar, J.; Lingfors, D. Self-consumption enhancement and peak shaving of residential photovoltaics using storage and curtailment. Energy 2016, 112, 221–231. [Google Scholar] [CrossRef]
- Roberts, M.B.; Bruce, A.; MacGill, I. A comparison of arrangements for increasing self-consumption and maximising the value of distributed photovoltaics on apartment buildings. Sol. Energy 2019, 193, 372–386. [Google Scholar] [CrossRef]
- Kästel, P.; Gilroy-Scott, B. Economics of pooling small local electricity prosumers—LCOE & self-consumption. Renew. Sustain. Energy Rev. 2015, 51, 718–729. [Google Scholar] [CrossRef]
- Moura, R.; Brito, M.C. Prosumer aggregation policies, country experience and business models. Energy Policy 2019, 132, 820–830. [Google Scholar] [CrossRef]
- Baroche, T.; Pinson, P.; Latimier, R.L.G.; Ahmed, H. Ben Exogenous Cost Allocation in Peer-to-Peer Electricity Markets. IEEE Trans. Power Syst. 2019, 34, 2553–2564. [Google Scholar] [CrossRef]
- Hall, S.; Brown, D.; Davis, M.; Ehrtmann, M.; Holstenkamp, L. Business Models for Prosumers in Europe; Mainstreaming Active Participation of Citizens in the Energy Transition (Deliverable N°D4.1); PROSEU—Prosumers for the Energy Union, 2020; Available online: https://proseu.eu/sites/default/files/Resources/PROSEU_D4.1_Business%20models%20for%20collective%20prosumers.pdf (accessed on 4 December 2020).
- Wittmayer, J.; Fraaije, M.; Horstink, L.; Avelino, F. A Multi-Dimensional Typology of Collective RES Prosumers across Europe; Mainstreaming Active Participation of Citizens in the Energy Transition (Deliverable N°2.2); PROSEU—Prosumers for the Energy Union, 2019; Available online: https://cordis.europa.eu/project/id/764056/reporting (accessed on 4 December 2020).
- Butturi, M.A.; Lolli, F.; Sellitto, M.A.; Balugani, E.; Gamberini, R.; Rimini, B. Renewable energy in eco-industrial parks and urban-industrial symbiosis: A literature review and a conceptual synthesis. Appl. Energy 2019, 255, 113825. [Google Scholar] [CrossRef]
- Pfenninger, S.; Hawkes, A.; Keirstead, J. Energy systems modeling for twenty-first century energy challenges. Renew. Sustain. Energy Rev. 2014, 33, 74–86. [Google Scholar] [CrossRef]
- Fina, B.; Auer, H.; Friedl, W. Cost-optimal economic potential of shared rooftop PV in energy communities: Evidence from Austria. Renew. Energy 2020, 152, 217–228. [Google Scholar] [CrossRef]
- Contreras-Ocana, J.E.; Singh, A.; Besanger, Y.; Wurtz, F. Integrated Planning of a Solar/Storage Collective. IEEE Trans. Smart Grid 2020. [Google Scholar] [CrossRef]
- Loulou, R.; Goldstein, G.; Noble, K. The Integrated MARKAL-EFOM System (TIMES). 2004. Available online: https://iea-etsap.org/index.php/etsap-tools/model-generators/times (accessed on 4 December 2020).
- Yazdanie, M.; Densing, M.; Wokaun, A. Cost optimal urban energy systems planning in the context of national energy policies: A case study for the city of Basel. Energy Policy 2017, 110, 176–190. [Google Scholar] [CrossRef]
- Dias, L.P.; Simões, S.; Gouveia, J.P.; Seixas, J. City energy modelling—Optimising local low carbon transitions with household budget constraints. Energy Strat. Rev. 2019, 26, 100387. [Google Scholar] [CrossRef]
- Marczinkowski, H.M.; Østergaard, P.A. Residential versus communal combination of photovoltaic and battery in smart energy systems. Energy 2018, 152, 466–475. [Google Scholar] [CrossRef]
- De Luca, G.; Fabozzi, S.; Massarotti, N.; Vanoli, L. A renewable energy system for a nearly zero greenhouse city: Case study of a small city in southern Italy. Energy 2018, 143, 347–362. [Google Scholar] [CrossRef]
- EnergyPLAN, Advanced Energy Systems Analysis Computer Model. Sustainable Energy Planning Research Group, Aalborg University. Available online: https://www.energyplan.eu/ (accessed on 4 December 2020).
- Chen, Y.; Vinco, S.; Baek, D.; Quer, S.; Macii, E.; Poncino, M. Cost-aware design and simulation of electrical energy systems. Energies 2020, 13, 2949. [Google Scholar] [CrossRef]
- Ringkjøb, H.-K.; Haugan, P.M.; Solbrekke, I.M. A review of modelling tools for energy and electricity systems with large shares of variable renewables. Renew. Sustain. Energy Rev. 2018, 96, 440–459. [Google Scholar] [CrossRef]
- Pickering, B.; Choudhary, R. District energy system optimisation under uncertain demand: Handling data-driven stochastic profiles. Appl. Energy 2019, 236, 1138–1157. [Google Scholar] [CrossRef]
- Del Pero, C.; Leonforte, F.; Lombardi, F.; Stevanato, N.; Barbieri, J.; Aste, N.; Huerto, H.; Colombo, E. Modelling of an Integrated Multi-Energy System for a Nearly Zero Energy Smart District. In Proceedings of the 2019 International Conference on Clean Electrical Power (ICCEP), Puglia, Italy, 2–4 July 2019; pp. 246–252. [Google Scholar]
- Alaton, C.; Contreras-Ocana, J.; de Radigues, P.; Doring, T.; Tounquet, F. Energy Communities: From European Law to Numerical Modeling. In Proceedings of the 2020 17th International Conference on the European Energy Market (EEM), Stockholm, Sweden, 16–18 September 2020; pp. 1–6. [Google Scholar]
- Portuguese Decree-Law (DL) 162/2019. Available online: https://dre.pt/pesquisa/-/search/125692189/details/maximized (accessed on 4 December 2020).
- APREN Boletim Eletricidade Renovável Novembro 2020. Available online: https://www.apren.pt/contents/publicationsreportcarditems/boletim-renovaveis-novembro-2020.pdf (accessed on 4 December 2020).
- H2020 PROSEU (PROSumers for the Energy Union) Project, Grant Agreement Number 764056. Available online: https://proseu.eu (accessed on 4 December 2020).
- Jones, G.V.; Webb, L.B. Climate Change, Viticulture, and Wine: Challenges and Opportunities. J. Wine Res. 2010, 21, 103–106. [Google Scholar] [CrossRef]
- Sacchelli, S.; Fabbrizzi, S.; Menghini, S. Climate change effects and adaptation strategies in the wine sector: A quantitative literature review. Wine Econ. Policy 2016, 5, 114–126. [Google Scholar] [CrossRef]
- Campos, I.; Marín-González, E.; Luz, G.; Barroso, J.; Oliveira, N. Renewable Energy Prosumers in Mediterranean Viticulture Social–Ecological Systems. Sustainability 2019, 11, 6781. [Google Scholar] [CrossRef]
- INE. Censos 2011 Resultados Definitivos—Região Alentejo. 2012. Available online: https://censos.ine.pt/ngt_server/attachfileu.jsp?look_parentBoui=156656957&att_display=n&att_download=y (accessed on 4 December 2020).
- Huld, T.; Pinedo, I.; Pascua, A.; Amillo, G.; Valle, R.U.; Dunlop, E. PVGIS version 5: Improvements to models and features. In Proceedings of the 33rd European Photovoltaic Solar Energy Conference and Exhibition, Amsterdam, The Netherlands, 25–29 September 2017; pp. 2069–2074. [Google Scholar]
- Pordata. Consumo de Energia Eléctrica: Total e Por Tipo de Consumo. 2020. Available online: https://www.pordata.pt/Municipios/Consumo+de+energia+el%C3%A9ctrica+total+e+por+tipo+de+consumo-25 (accessed on 4 December 2020).
- Solar Radiation Data (SoDa). Available online: http://www.soda-is.com/eng/index.html (accessed on 4 December 2020).
- Pfenninger, S.; Pickering, B. Calliope: A multi-scale energy systems modelling framework. J. Open Source Softw. 2018, 3, 825. [Google Scholar] [CrossRef]
- Calliope Website. Available online: https://www.callio.pe/ (accessed on 4 December 2020).
- Calliope Documentation. 2013. Available online: https://readthedocs.org/projects/calliope/ (accessed on 4 December 2020).
- Pfenninger, S.; Keirstead, J. Comparing concentrating solar and nuclear power as baseload providers using the example of South Africa. Energy 2015, 87, 303–314. [Google Scholar] [CrossRef]
- Díaz Redondo, P.; van Vliet, O. Modelling the Energy Future of Switzerland after the Phase Out of Nuclear Power Plants. Energy Procedia 2015, 76, 49–58. [Google Scholar] [CrossRef]
- Díaz, P.; Van Vliet, O.; Patt, A. Do we need gas as a bridging fuel? A case study of the electricity system of Switzerland. Energies 2017, 10, 861. [Google Scholar] [CrossRef]
- Tröndle, T.; Lilliestam, J.; Marelli, S.; Pfenninger, S. Trade-Offs between Geographic Scale, Cost, and Infrastructure Requirements for Fully Renewable Electricity in Europe. Joule 2020, 4, 1929–1948. [Google Scholar] [CrossRef]
- Talavera, D.L.; Muñoz-Rodriguez, F.J.; Jimenez-Castillo, G.; Rus-Casas, C. A new approach to sizing the photovoltaic generator in self-consumption systems based on cost–competitiveness, maximizing direct self-consumption. Renew. Energy 2019, 130, 1021–1035. [Google Scholar] [CrossRef]
- McKenna, E.; Pless, J.; Darby, S.J. Solar photovoltaic self-consumption in the UK residential sector: New estimates from a smart grid demonstration project. Energy Policy 2018, 118, 482–491. [Google Scholar] [CrossRef]
- IRENA. Future of Solar Photovoltaic: Deployment, Investment, Technology, Grid Integration and Socio-Economic aspects (A Global Energy Transformation: Paper); IRENA: Abu Dhabi, UAE, 2019. [Google Scholar]
- Lombardi, F.; Pickering, B.; Colombo, E.; Pfenninger, S. Policy Decision Support for Renewables Deployment through Spatially Explicit Practically Optimal Alternatives. Joule 2020, 4, 2185–2207. [Google Scholar] [CrossRef]














| Temporal coverage | Temporal Resolution | Spatially-Resolved Modeling | Level of Detail of Data | Spatial Scale | Collective Energy Arrangements? | Case Study Country | Modeling Approach | Energy Modeling Tool | Reference |
|---|---|---|---|---|---|---|---|---|---|
| 1 year | 10 min | No | Single-family houses + | 21 households | Yes | Sweden | Simulation and sensitivity analysis | Custom framework (MATLAB) | Luthander et al. [10] |
| 1 year | 15 min | No | Individual households +, businesses + | Up to a condominium coupled with 2 businesses | Yes | Portugal | Simulation and sensitivity analysis | Custom framework (MATLAB) | Reis et al. [8] |
| 1 year | 15 min | Yes | Individual households +, multi-apartment buildings +, businesses * | Neighborhood | Yes | Austria | Optimization (MILP) | Custom framework (MATLAB/YALMIP) | Fina et al. (2019) [9] |
| National (upscale of neighborhood-level ECs) | Fina et al. (2020) [19] | ||||||||
| 1 year | Sizing: 1 h, Scheduling: 30 min | No | Individual households + | 15 households | Yes | France | Optimization (MILP, MPC) | Custom framework (Julia/Gurobi) | Contretas-Ocaña [20] |
| 1 year | 30 min | No | Individual households + | Building | Yes | Australia | Simulation and sensitivity analysis | morePVs (Python) | Roberts et al. [11] |
| 1 year | 1 h | Yes | Individual buildings * | District | No | Italy | Optimization (LP) | Calliope (Python) | Del Pero et al. [30] |
| 1 year | 1 h | Yes | Individual buildings + | District | No | India, UK | Optimization (MILP) | Calliope (Python) | Pickering et al. [29] |
| 1 year | 1 s | Yes | Individual households + | Residential community (15 households) | Yes | NA | Simulation and design space exploration | SystemC-AMS | Chen et al. [27] |
| 18 years, 5-year steps | 32 time slices per year | No | City + | City | No | Switzerland | Optimization (LP) | TIMES and EnergyPlus | Yazdanie et al. [22] |
| 40 years, 5-year steps | 192 time slices per year | Yes, region level | Individual appliances * | City | No | Portugal | Optimization (LP) | TIMES-ÉVORA | Dias et al. [23] |
| 1 year | 1 h | No | Island + | Island | No | Denmark | Simulation and sensitivity analysis | EnergyPLAN | Marczinkowski et al. [24] |
| 1 year | 1 h | No | City + | City | No | Italy | Simulation | EnergyPLAN and TRNSYS | Luca et al. [25] |
| Dataset (Source) | Variables | Units | Data Format | Additional Information |
|---|---|---|---|---|
| Power grid features (EDP-D) | Transformers geolocation | coordinates (lat,lon) | CSV, metadata | Converted to GIS for analysis and visualization |
| Transformers rated capacity | kVA | Reactive power was disregarded, so this was assumed as kW | ||
| Active power consumption | kW | CSV, timeseries | 1 year of data, converted from 15 min to 30 min time steps | |
| Weather data (SoDa) | Solar irradiance | W/m2 | ||
| Temperature | °C | |||
| Cartographic features (municipality) | Rooftops | NA | Shapefile | Only adequate roofs are considered |
| Winery features | Active power consumption | kW | CSV, timeseries | 1 year of data, converted from 15 min to 30 min time steps |
| Electricity prices | €/kWh | CSV | Time-of-use prices for electricity supply |
| Assumption | Reasoning |
|---|---|
| Only 25% of the PV energy that is consumed in the same power transformer where it was generated uses the public grid (GUF = 25%). | While 40–55% of the PV generation is exported to the public grid in individual self-consumption systems [8,49,50], a lower percentage is to be expected in collective ones [8]. This parametrization of the LV grid below each PT is essential for the application of grid tariffs. |
| The solar resource is homogeneous in space across Reguengos de Monsaraz. | As no on-site weather data was available, a timeseries for a single point in space (provided by the SoDa—Solar radiation data company) is considered |
| PV generation exported through the substation (i.e., to adjacent regions) is not remunerated. | While enabling exportations can increase PV penetration and the self-sufficiency of the EC, the objective is still to promote the interaction between the city and the winery. |
| The unitary cost of residential PV is 1.5 €/Wp, while at the winery it is 0.7 €/Wp. | Reference values provided by agents operating in the PV sector. These translate the impact of economies of scale: while small-scale rooftop systems were considered for the city, the winery has more available land and can, thus, install a single larger-scale system. |
| The power density of residential PV is 10 Wp/m2, while at the winery it is 20 Wp/m2. | Reference values provided by agents operating in the PV sector. The larger area per unit of capacity of larger PV systems is justified by the need for additional equipment and the spacing between PV arrays (to take into account for shadowing effects). |
| The electricity tariff (τsupply,city) for the city is fixed and is 20 c€/kWh. | This is considered as a reasonable value for low-voltage consumers in Portugal, which, as can be seen by the late afternoon peak load in Figure 4, are dominant in the electricity demand profile of Reguengos de Monsaraz. |
| The electricity tariff for the winery (τsupply,winery) depends on the time of the day and season of the year, with an average value of 9.37 c€/kWh. | This information was provided by the winery; however, due to confidentiality issues, only the average value can be presented. |
| The interest rate for investment in PV, be it in the city or the winery, is 5%. | This value is commonly found in the PV literature. |
| City | Winery | Total | |
|---|---|---|---|
| PV installed capacity [MW] | 3.94 | 0.70 | 4.59 |
| Self-sufficiency ratio [%] | 31.3 | 39.5 | 32.2 |
| Exported electricity [%] | 14.4 | 24.6 | 15.9 |
| LCOEPV [c€/kWh] | 6.58 | 3.52 | 6.12 |
| LCOEPV+grid costs [c€/kWh] | 7.23 | 6.57 | |
| LCOEtotal [c€/kWh] | 16.31 | 6.78 | 15.21 |
| Baseline (Scenario 0) LCOEtotal | 20 | 9.8 | 18.8 (weighted mean) |
Publisher’s Note: MDPI stays neutral with regard to jurisdictional claims in published maps and institutional affiliations. |
© 2021 by the authors. Licensee MDPI, Basel, Switzerland. This article is an open access article distributed under the terms and conditions of the Creative Commons Attribution (CC BY) license (http://creativecommons.org/licenses/by/4.0/).
Share and Cite
Pontes Luz, G.; Amaro e Silva, R. Modeling Energy Communities with Collective Photovoltaic Self-Consumption: Synergies between a Small City and a Winery in Portugal. Energies 2021, 14, 323. https://doi.org/10.3390/en14020323
Pontes Luz G, Amaro e Silva R. Modeling Energy Communities with Collective Photovoltaic Self-Consumption: Synergies between a Small City and a Winery in Portugal. Energies. 2021; 14(2):323. https://doi.org/10.3390/en14020323
Chicago/Turabian StylePontes Luz, Guilherme, and Rodrigo Amaro e Silva. 2021. "Modeling Energy Communities with Collective Photovoltaic Self-Consumption: Synergies between a Small City and a Winery in Portugal" Energies 14, no. 2: 323. https://doi.org/10.3390/en14020323
APA StylePontes Luz, G., & Amaro e Silva, R. (2021). Modeling Energy Communities with Collective Photovoltaic Self-Consumption: Synergies between a Small City and a Winery in Portugal. Energies, 14(2), 323. https://doi.org/10.3390/en14020323

