The Influence of Hemp Extract in Combination with Ginger on the Metabolic Activity of Metastatic Cells and Microorganisms
Abstract
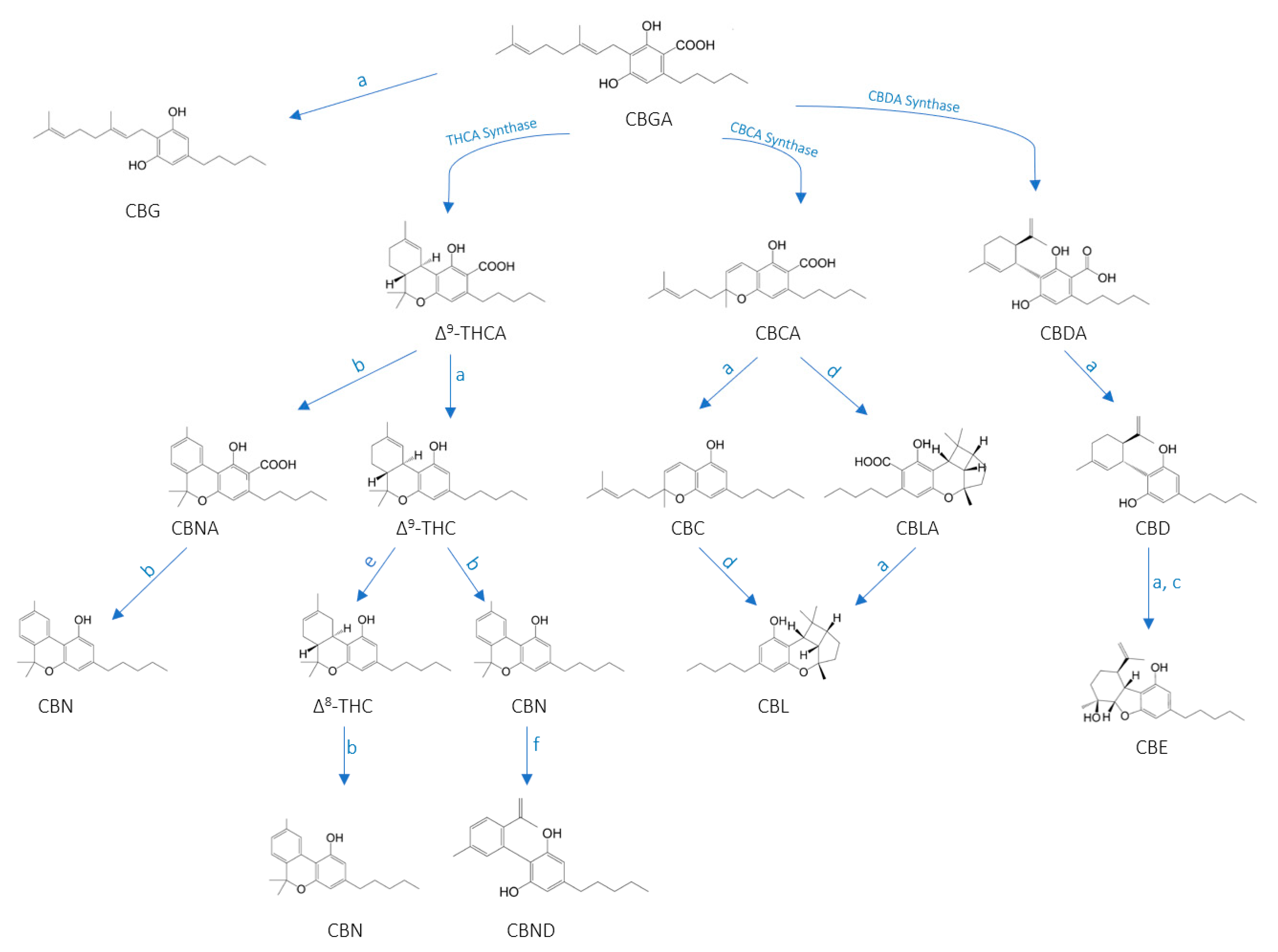
1. Introduction
2. Results and Discussion
3. Materials and Methods
3.1. Materials
3.2. Methods
3.2.1. Preparation of Material for the Extraction Process
3.2.2. Extractions
3.2.3. Yield Determination
3.2.4. Determination of the Extract Effect on the Metabolic Activity of WM-266-4 Cells
3.2.5. HPLC Analysis
3.2.6. Emulsification Procedure
3.2.7. Determination of Antimicrobial Potential
3.2.8. Determination of Antioxidant Activity
3.2.9. Determination of Total Phenols
4. Conclusions
Supplementary Materials
Author Contributions
Funding
Acknowledgments
Conflicts of Interest
References
- Siegel, R.; Naishadham, D.; Jemal, A. Cancer statistics, 2013. CA Cancer J. Clin. 2013, 63, 11–30. [Google Scholar] [CrossRef] [PubMed]
- Padma, V.V. An overview of targeted cancer therapy. BioMedicine 2015, 5. [Google Scholar] [CrossRef] [PubMed]
- Lafi, S.A.; Hasan, A.S.; Al-Alowssi, M.M. Secondary Bacterial Infections Complicating Psoriasis. Egypt. Acad. J. Biol. Sci. G Microbiol. 2010, 2, 37–42. [Google Scholar] [CrossRef]
- Drug-Resistance in Human Melanoma—Helmbach—2001—International Journal of Cancer—Wiley Online Library. Available online: https://onlinelibrary.wiley.com/doi/full/10.1002/ijc.1378 (accessed on 14 May 2019).
- Pan, L.; Chai, H.; Kinghorn, A.D. The continuing search for antitumor agents from higher plants. Phytochem. Lett. 2010, 3, 1–8. [Google Scholar] [CrossRef]
- Sun, H.; Fang, W.-S.; Wang, W.-Z.; Hu, C. Structure-activity relationships of oleanane- and ursane-type triterpenoids. Botanic Studies. 2006, 47, 339–368. [Google Scholar]
- Khojasteh, A.; Metón, I.; Camino, S.; Cusido, R.M.; Eibl, R.; Palazon, J. In Vitro Study of the Anticancer Effects of Biotechnological Extracts of the Endangered Plant Species Satureja Khuzistanica. Int. J. Mol. Sci. 2019, 20, 2400. [Google Scholar] [CrossRef] [PubMed]
- Bonassi, S.; Prinzi, G.; Lamonaca, P.; Russo, P.; Paximadas, I.; Rasoni, G.; Rossi, R.; Ruggi, M.; Malandrino, S.; Sánchez-Flores, M.; et al. Clinical and genomic safety of treatment with Ginkgo biloba L. leaf extract (IDN 5933/Ginkgoselect®Plus) in elderly: A randomised placebo-controlled clinical trial [GiBiEx]. BMC Complement. Altern. Med. 2018, 18, 22. [Google Scholar] [CrossRef]
- Jabbari, M.; Daneshfard, B.; Emtiazy, M.; Khiveh, A.; Hashempur, M.H. Biological Effects and Clinical Applications of Dwarf Elder (Sambucus ebulus L.): A Review. J. Evid.-Based Complement. Altern. Med. 2017, 22, 996–1001. [Google Scholar] [CrossRef]
- Abate, A.; Rossini, E.; Bonini, S.A.; Fragni, M.; Cosentini, D.; Tiberio, G.A.M.; Benetti, D.; Hantel, C.; Laganà, M.; Grisanti, S.; et al. Cytotoxic Effect of Trabectedin In Human Adrenocortical Carcinoma Cell Lines and Primary Cells. Cancers 2020, 12, 928. [Google Scholar] [CrossRef]
- Siamayuwa, C.E.; Nyanga, L.K.; Chidewe, C. Chemopreventive Effects and Antioxidant Capacity of Combined Leaf Extracts of Sesamum angustifolium (Oliv.) Engl. and Hibiscus articulatus on Rhabdomyosarcoma. Evid.-Based Complement. Altern. Med. ECAM 2020. [Google Scholar] [CrossRef]
- Lu, D.-L.; Li, X.-Z.; Dai, F.; Kang, Y.-F.; Li, Y.; Ma, M.-M.; Ren, X.-R.; Du, G.-W.; Jin, X.-L.; Zhou, B. Influence of side chain structure changes on antioxidant potency of the [6]-gingerol related compounds. Food Chem. 2014, 165, 191–197. [Google Scholar] [CrossRef]
- Masuda, Y.; Kikuzaki, H.; Hisamoto, M.; Nakatani, N. Antioxidant properties of gingerol related compounds from ginger. BioFactors 2004, 21, 293–296. [Google Scholar] [CrossRef]
- Bouloc, P. Hemp: Industrial Production and Uses; CABI: Boston, MA, USA, 2013; Available online: https://www.cabi.org/bookshop/book/9781845937928/ (accessed on 29 March 2020).
- Merlin, M. Archaeological evidence for the tradition of psychoactive plant use in the old world. Econ. Bot. 2003, 57, 295–323. [Google Scholar] [CrossRef]
- Chabbert, B.; Kurek, B.; Beherec, O.; Bouloc, P.; Allegret, S.; Arnaud, L. Physiology and Botany of Industrial Hemp. Available online: https://www.cabi.org/cabebooks/ebook/20133324467 (accessed on 27 October 2020).
- Pellati, F.; Brighenti, V.; Sperlea, J.; Marchetti, L.; Bertelli, D.; Benvenuti, S. New Methods for the Comprehensive Analysis of Bioactive Compounds in Cannabis sativa L. (hemp). Molecules 2018, 23, 2639. [Google Scholar] [CrossRef] [PubMed]
- Flajšman, M.; Jakopič, J.; Košmelj, K.; Ačko, D.K. Morphological and technological characteristics of hemp (Cannabis sativa L.) varieties from field trials of Biotechnical faculty in 2016. Hmelj. Bilt. 2016, 23, 88–104. [Google Scholar]
- Sorte konoplje z EU sortne liste v Sloveniji: Površina, pridelek stebel in vsebnost eteričnega olja v socvetju. Available online: https://www.dlib.si/details/URN:NBN:SI:DOC-VW0EMYO0 (accessed on 28 June 2019).
- Plant Variety Catalogues, Databases & Information Systems. Available online: https://ec.europa.eu/food/plant/plant_propagation_material/plant_variety_catalogues_databases_en (accessed on 28 June 2019).
- Pellati, F.; Borgonetti, V.; Brighenti, V.; Biagi, M.; Benvenuti, S.; Corsi, L. Cannabis sativa L. and Nonpsychoactive Cannabinoids: Their Chemistry and Role against Oxidative Stress, Inflammation, and Cancer. Available online: https://www.hindawi.com/journals/bmri/2018/1691428/ (accessed on 28 June 2019).
- Aizpurua-Olaizola, O.; Soydaner, U.; Öztürk, E.; Schibano, D.; Simsir, Y.; Navarro, P.; Etxebarria, N.; Usobiaga, A. Evolution of the Cannabinoid and Terpene Content during the Growth of Cannabis sativa Plants from Different Chemotypes. J. Nat. Prod. 2016, 79, 324–331. [Google Scholar] [CrossRef] [PubMed]
- Hartsel, J.A.; Eades, J.; Hickory, B.; Makriyannis, A. Chapter 53—Cannabis sativa and Hemp. In Nutraceuticals; Gupta, R.C., Ed.; Academic Press: Boston, MS, USA, 2016; pp. 735–754. ISBN 978-0-12-802147-7. [Google Scholar]
- Hong, S.; Sowndhararajan, K.; Joo, T.; Lim, C.; Cho, H.; Kim, S.; Kim, G.-Y.; Jhoo, J.-W. Ethanol and supercritical fluid extracts of hemp seed (Cannabis sativa L.) increase gene expression of antioxidant enzymes in HepG2 cells. Asian Pac. J. Reprod. 2015, 4, 147–152. [Google Scholar] [CrossRef]
- Tang, C.-H.; Ten, Z.; Wang, X.-S.; Yang, X.-Q. Physicochemical and functional properties of hemp (Cannabis sativa L.) protein isolate. J. Agric. Food Chem. 2006, 54, 8945–8950. [Google Scholar] [CrossRef]
- Wang, X.-S.; Tang, C.-H.; Yang, X.-Q.; Gao, W.-R. Characterization, amino acid composition and in vitro digestibility of hemp (Cannabis sativa L.) proteins. Food Chem. 2008, 107, 11–18. [Google Scholar] [CrossRef]
- Ferrante, C.; Recinella, L.; Ronci, M.; Menghini, L.; Brunetti, L.; Chiavaroli, A.; Leone, S.; Di Iorio, L.; Carradori, S.; Tirillini, B.; et al. Multiple pharmacognostic characterization on hemp commercial cultivars: Focus on inflorescence water extract activity. Food Chem. Toxicol. 2019, 125, 452–461. [Google Scholar] [CrossRef]
- Khan, B.A.; Wang, J.; Warner, P.; Wang, H. Antibacterial properties of hemp hurd powder against E. coli. J. Appl. Polym. Sci. 2015, 132. [Google Scholar] [CrossRef]
- Nissen, L.; Zatta, A.; Stefanini, I.; Grandi, S.; Sgorbati, B.; Biavati, B.; Monti, A. Characterization and antimicrobial activity of essential oils of industrial hemp varieties (Cannabis sativa L.). Fitoterapia 2010, 81, 413–419. [Google Scholar] [CrossRef] [PubMed]
- Cannabis as Repellent and Pesticide. Available online: http://www.druglibrary.net/olsen/HEMP/IHA/jiha4210.html (accessed on 27 June 2019).
- Appendino, G.; Gibbons, S.; Giana, A.; Pagani, A.; Grassi, G.; Stavri, M.; Smith, E.; Rahman, M.M. Antibacterial Cannabinoids from Cannabis sativa: A Structure−Activity Study. J. Nat. Prod. 2008, 71, 1427–1430. [Google Scholar] [CrossRef] [PubMed]
- Carrier, S. The Process of Decarboxylation. Canabo Med. Clin. 2017, 42, 12–22. [Google Scholar]
- Chakraborty, S.; Afaq, N.; Singh, N.; Majumdar, S. Antimicrobial activity of Cannabis sativa, Thuja orientalis and Psidium guajava leaf extracts against methicillin-resistant Staphylococcus aureus. J. Integr. Med. 2018, 16, 350–357. [Google Scholar] [CrossRef]
- Isahq, M.S.; Afridi, M.S.; Ali, J.; Hussain, M.M.; Ahmad, S.; Kanwal, F. Proximate composition, phytochemical screening, GC-MS studies of biologically active cannabinoids and antimicrobial activities of Cannabis indica. Asian Pac. J. Trop. Dis. 2015, 5, 897–902. [Google Scholar] [CrossRef]
- Chandi, T.; Mathur, P. Antimicrobial Efficacy of Cannabis sativa L. (Bhang). Int. J. Pharm. Sci. Rev. Res. 2017, 26, 536–542. [Google Scholar]
- Appendino, G.; Chianese, G.; Taglialatela-Scafati, O. Cannabinoids: Occurrence and Medicinal Chemistry. Curr. Med. Chem. 2011, 18, 1085–1099. [Google Scholar] [CrossRef]
- Izzo, A.A.; Borrelli, F.; Capasso, R.; Di Marzo, V.; Mechoulam, R. Non-psychotropic plant cannabinoids: New therapeutic opportunities from an ancient herb. Trends Pharmacol. Sci. 2009, 30, 515–527. [Google Scholar] [CrossRef]
- Alexander, S.P.H. Therapeutic potential of cannabis-related drugs. Prog. Neuropsychopharmacol. Biol. Psychiatry 2016, 64, 157–166. [Google Scholar] [CrossRef]
- Lewis, M.M.; Yang, Y.; Wasilewski, E.; Clarke, H.A.; Kotra, L.P. Chemical Profiling of Medical Cannabis Extracts. ACS Omega 2017, 2, 6091–6103. [Google Scholar] [CrossRef]
- Žitek, T.; Dariš, B.; Finšgar, M.; Knez, Ž.; Bjelić, D.; Knez Hrnčič, M. The Effect of Polyphenolics in Extracts from Natural Materials on Metabolic Activity of Metastatic Melanoma WM-266-4 Cells. Appl. Sci. 2020, 10, 3499. [Google Scholar] [CrossRef]
- Chan, E.W.C.; Lim, Y.Y.; Wong, L.F.; Lianto, F.S.; Wong, S.K.; Lim, K.K.; Joe, C.E.; Lim, T.Y. Antioxidant and tyrosinase inhibition properties of leaves and rhizomes of ginger species. Food Chem. 2008, 109, 477–483. [Google Scholar] [CrossRef]
- Abdelwahab, S.I.; Mariod, A.A.; Taha, M.M.E.; Zaman, F.Q.; Abdelmageed, A.H.A.; Khamis, S.; Sivasothy, Y.; Awang, K. Chemical composition and antioxidant properties of the essential oil of Cinnamomum altissimum Kosterm. (Lauraceae). Arab. J. Chem. 2017, 10, 131–135. [Google Scholar] [CrossRef]
- da Silveira Vasconcelos, M.; Mota, E.F.; Gomes-Rochette, N.F.; Nunes-Pinheiro, D.C.S.; Nabavi, S.M.; de Melo, D.F. Chapter 3.18—Ginger (Zingiber officinale Roscoe). In Nonvitamin and Nonmineral Nutritional Supplements; Nabavi, S.M., Silva, A.S., Eds.; Academic Press: San Diego, CA, USA, 2019; pp. 235–239. ISBN 978-0-12-812491-8. [Google Scholar]
- Okoth, D.A.; Chenia, H.Y.; Koorbanally, N.A. Antibacterial and antioxidant activities of flavonoids from Lannea alata (Engl.) Engl. (Anacardiaceae). Phytochem. Lett. 2013, 6, 476–481. [Google Scholar] [CrossRef]
- Biesaga, M. Influence of extraction methods on stability of flavonoids. J. Chromatogr. A 2011, 1218, 2505–2512. [Google Scholar] [CrossRef]
- Pukalskas, A.; Venskutonis, P.R.; Salido, S.; Waard, P.D.; van Beek, T.A. Isolation, identification and activity of natural antioxidants from horehound (Marrubium vulgare L.) cultivated in Lithuania. Food Chem. 2012, 130, 695–701. [Google Scholar] [CrossRef]
- Oh, I.; Yang, W.-Y.; Chung, S.-C.; Kim, T.-Y.; Oh, K.-B.; Shin, J. In vitro sortase a inhibitory and antimicrobial activity of flavonoids isolated from the roots of Sophora flavescens. Arch. Pharm. Res. 2011, 34, 217–222. [Google Scholar] [CrossRef] [PubMed]
- Bıtıs, L.; Kultur, S.; Melıkoglu, G.; Ozsoy, N.; Can, A. Flavonoids and antioxidant activity of Rosa agrestis leaves. Nat. Prod. Res. 2010, 24, 580–589. [Google Scholar] [CrossRef]
- Khan, B.A.; Warner, P.; Wang, H. Antibacterial Properties of Hemp and Other Natural Fibre Plants: A Review. BioResources 2014, 9, 3642–3659. [Google Scholar] [CrossRef][Green Version]
- Gallo-Molina, A.C.; Castro-Vargas, H.I.; Garzón-Méndez, W.F.; Martínez Ramírez, J.A.; Rivera Monroy, Z.J.; King, J.W.; Parada-Alfonso, F. Extraction, isolation and purification of tetrahydrocannabinol from the Cannabis sativa L. plant using supercritical fluid extraction and solid phase extraction. J. Supercrit. Fluids 2019. [Google Scholar] [CrossRef]
- Devi, V.; Khanam, S. Study of ω-6 linoleic and ω-3 α-linolenic acids of hemp (Cannabis sativa) seed oil extracted by supercritical CO2 extraction: CCD optimization. J. Environ. Chem. Eng. 2019, 7, 102818. [Google Scholar] [CrossRef]
- Grijó, D.R.; Piva, G.K.; Osorio, I.V.; Cardozo-Filho, L. Hemp (Cannabis sativa L.) seed oil extraction with pressurized n-propane and supercritical carbon dioxide. J. Supercrit. Fluids 2019, 143, 268–274. [Google Scholar] [CrossRef]
- Ribeiro Grijó, D.; Vieitez Osorio, I.A.; Cardozo-Filho, L. Supercritical Extraction Strategies Using CO2 and Ethanol to Obtain Cannabinoid Compounds from Cannabis Hybrid Flowers. J. CO2 Util. 2019. [Google Scholar] [CrossRef]
- Da Porto, C.; Decorti, D.; Tubaro, F. Fatty acid composition and oxidation stability of hemp (Cannabis sativa L.) seed oil extracted by supercritical carbon dioxide. Ind. Crops Prod. 2012, 36, 401–404. [Google Scholar] [CrossRef]
- Aladić, K.; Jarni, K.; Barbir, T.; Vidović, S.; Vladić, J.; Bilić, M.; Jokić, S. Supercritical CO2 extraction of hemp (Cannabis sativa L.) seed oil. Ind. Crops Prod. 2015, 76, 472–478. [Google Scholar] [CrossRef]
- Da Porto, C.; Voinovich, D.; Decorti, D.; Natolino, A. Response surface optimization of hemp seed (Cannabis sativa L.) oil yield and oxidation stability by supercritical carbon dioxide extraction. J. Supercrit. Fluids 2012, 68, 45–51. [Google Scholar] [CrossRef]
- Reverchon, E.; De Marco, I. Supercritical fluid extraction and fractionation of natural matter. J. Supercrit. Fluids 2006, 38, 146–166. [Google Scholar] [CrossRef]
- Rovetto, L.J.; Aieta, N.V. Supercritical carbon dioxide extraction of cannabinoids from Cannabis sativa L. J. Supercrit. Fluids 2017, 129, 16–27. [Google Scholar] [CrossRef]
- Ambach, L.; Penitschka, F.; Broillet, A.; König, S.; Weinmann, W.; Bernhard, W. Simultaneous quantification of delta-9-THC, THC-acid A, CBN and CBD in seized drugs using HPLC-DAD. Forensic Sci. Int. 2014, 243, 107–111. [Google Scholar] [CrossRef]
- Upton, R.; Craker, L.; ElSohly, M.; Romm, A.; Russo, E.; Sexton, M.; American Herbal Pharmacopoeia. Cannabis inflorescence: Cannabis spp.; Standards of Identity, Analysis, and Quality Control; American Herbal Pharmacopoeia: Austin, TX, USA, 2014; ISBN 978-1-929425-37-2. [Google Scholar]
- Villaño, D.; Fernández-Pachón, M.S.; Moyá, M.L.; Troncoso, A.M.; García-Parrilla, M.C. Radical scavenging ability of polyphenolic compounds towards DPPH free radical. Talanta 2007, 71, 230–235. [Google Scholar] [CrossRef]
- Singleton, V.L.; Rossi, J.A. Colorimetry of Total Phenolics with Phosphomolybdic-Phosphotungstic Acid Reagents. Am. J. Enol. Vitic. 1965, 16, 144–158. [Google Scholar]
- Salea, R.; Veriansyah, B.; Tjandrawinata, R.R. Optimization and scale-up process for supercritical fluids extraction of ginger oil from Zingiber officinale var. Amarum. J. Supercrit. Fluids 2017, 120, 285–294. [Google Scholar] [CrossRef]
- Kandiah, M.; Spiro, M. Extraction of ginger rhizome: Kinetic studies with supercritical carbon dioxide. Int. J. Food Sci. Technol. 1990, 25, 328–338. [Google Scholar] [CrossRef]
- Panpatil, V.V.; Tattari, S.; Kota, N.; Nimgulkar, C.; Polasa, K. In vitro evaluation on antioxidant and antimicrobial activity of spice extracts of ginger, turmeric and garlic. J. Pharmacogn. Phytochem. 2013, 2, 143–148. [Google Scholar]
- Aladić, K.; Jokić, S.; Moslavac, T.; Tomas, S.; Vidović, S.; Vladić, J.; Šubarić, D. Cold Pressing and Supercritical CO2 Extraction of Hemp (Cannabis sativa) Seed Oil. Chem. Biochem. Eng. Q. 2014, 28, 481–490. [Google Scholar] [CrossRef]
- Makanjuola, S.A. Influence of particle size and extraction solvent on antioxidant properties of extracts of tea, ginger, and tea-ginger blend. Food Sci. Nutr. 2017, 5, 1179–1185. [Google Scholar] [CrossRef]
- Stoilova, I.; Krastanov, A.; Stoyanova, A.; Denev, P.; Gargova, S. Antioxidant activity of a ginger extract (Zingiber officinale). Food Chem. 2007, 102, 764–770. [Google Scholar] [CrossRef]
- Agarwal, C.; Máthé, K.; Hofmann, T.; Csóka, L. Ultrasound-Assisted Extraction of Cannabinoids from Cannabis Sativa L. Optimized by Response Surface Methodology. J. Food Sci. 2018, 83, 700–710. [Google Scholar] [CrossRef]
- Antimicrobial Potential of Three Common Weeds of Kurukshetra: An in vitro Study. Available online: https://scialert.net/fulltext/?doi=jm.2015.280.287 (accessed on 12 May 2020).
- Smeriglio, A.; Galati, E.M.; Monforte, M.T.; Lanuzza, F.; D’Angelo, V.; Circosta, C. Polyphenolic Compounds and Antioxidant Activity of Cold-Pressed Seed Oil from Finola Cultivar of Cannabis sativa L. Phytother. Res. 2016, 30, 1298–1307. [Google Scholar] [CrossRef]
- Brenneisen, R. Chemistry and Analysis of Phytocannabinoids and Other Cannabis Constituents. In Marijuana and the Cannabinoids; ElSohly, M.A., Ed.; Forensic Science and Medicine; Humana Press: Totowa, NJ, USA, 2007; pp. 17–49. ISBN 978-1-59259-947-9. [Google Scholar]
- Kaur, M.; Agarwal, C.; Agarwal, R. Anticancer and Cancer Chemopreventive Potential of Grape Seed Extract and Other Grape-Based Products. J. Nutr. 2009, 139, 1806S–1812S. [Google Scholar] [CrossRef]
- In Vitro Antibacterial Activity of Cannabis sativa Leaf Extracts to Some Selective Pathogenic Bacterial Strains. Available online: https://realmofcaring.org/research/in-vitro-antibacterial-activity-of-cannabis-sativa-leaf-extracts-to-some-selective-pathogenic-bacterial-strains/ (accessed on 12 May 2020).
- Ali, E.M.M.; Almagboul, A.Z.I.; Khogali, S.M.E.; Gergeir, U.M.A. Antimicrobial Activity of Cannabis sativa L. Chin. Med. 2012, 3, 720–726. [Google Scholar] [CrossRef]
- Ahmed, S.A.; Ross, S.A.; Slade, D.; Radwan, M.M.; Zulfiqar, F.; Matsumoto, R.R.; Xu, Y.-T.; Viard, E.; Speth, R.C.; Karamyan, V.T.; et al. Cannabinoid ester constituents from high-potency Cannabis sativa. J. Nat. Prod. 2008, 71, 536–542. [Google Scholar] [CrossRef] [PubMed]
- Aizpurua-Olaizola, O.; Ormazabal, M.; Vallejo, A.; Olivares, M.; Navarro, P.; Etxebarria, N.; Usobiaga, A. Optimization of Supercritical Fluid Consecutive Extractions of Fatty Acids and Polyphenols from Vitis Vinifera Grape Wastes. J. Food Sci. 2015, 80, E101–E107. [Google Scholar] [CrossRef]
- Wasim, K.; Haq, I.; Ashraf, M. Antimicrobial studies of the leaf of cannabis sativa L. Pak. J. Pharm. Sci. 1995, 8, 29–38. [Google Scholar]
- Farha, M.A.; El-Halfawy, O.M.; Gale, R.T.; MacNair, C.R.; Carfrae, L.A.; Zhang, X.; Jentsch, N.G.; Magolan, J.; Brown, E.D. Uncovering the Hidden Antibiotic Potential of Cannabis. ACS Infect. Dis. 2020, 6, 338–346. [Google Scholar] [CrossRef] [PubMed]
- Lee, C.-C.; Chiou, L.-Y.; Wang, J.-Y.; Chou, S.-Y.; Lan, J.C.-W.; Huang, T.-S.; Huang, K.-C.; Wang, H.-M. Functional Ginger Extracts from Supercritical Fluid Carbon Dioxide Extraction via In Vitro and In Vivo Assays: Antioxidation, Antimicroorganism, and Mice Xenografts Models. Sci. World J. 2013, 2013. [Google Scholar] [CrossRef]
- Onyeagba, R.A.; Ugbogu, O.C.; Okeke, C.U.; Iroakasi, O. Studies on the antimicrobial effects of garlic (Allium sativum Linn), ginger (Zingiber officinale Roscoe) and lime (Citrus aurantifolia Linn). Afr. J. Biotechnol. 2004, 3, 552–554. [Google Scholar] [CrossRef]
- Frassinetti, S.; Gabriele, M.; Moccia, E.; Longo, V.; Di Gioia, D. Antimicrobial and antibiofilm activity of Cannabis sativa L. seeds extract against Staphylococcus aureus and growth effects on probiotic Lactobacillus spp. LWT 2020, 124, 109149. [Google Scholar] [CrossRef]
| Sample Availability: Samples of the compounds are not available from the authors. | 







| Sample | η [%] | ||||||
|---|---|---|---|---|---|---|---|
| Supercritical Fluid Extraction with CO2 (SFE) | Soxhlet Extraction (SE) with | Ultrasonic Extraction (UE) with | Cold Maceration (CM) with | ||||
| 200 bar, 40 °C | 200 bar, 60 °C | 300 bar, 40 °C | 300 bar, 60 °C | Ethanol | Ethanol | Ethanol | |
| x11 | 3.620 | 4.877 | 3.930 | 5.536 | 4.560 | 9.120 | 4.020 | 
| x73 | 3.829 | 3.965 | 4.608 | 5.130 | 4.320 | 6.030 | 4.270 | 
| x37 | 4.285 | 5.022 | 4.797 | 5.008 | 4.740 | 6.130 | 3.910 | 
| Sample | Supercritical Fluid Extraction with CO2 (SFE) | Conventional Extractions with Ethanol | ||||||
|---|---|---|---|---|---|---|---|---|
| 200 bar, 40 °C | 200 bar, 60 °C | 300 bar, 40 °C | 300 bar, 60 °C | Soxhlet (SE) | Ultrasonic (UE) | Cold Maceration (CM) | ||
| x11 | Antioxidants [%] | 54.552 | 53.978 | 56.844 | 56.001 | 47.134 | 48.651 | 36.817 | 
| Total phenols [mg GAE/100 g material] | 304.641 | 409.552 | 395.484 | 556.627 | 360.630 | 773.008 | 316.445 | |
| x73 | Antioxidants [%] | 68.543 | 69.892 | 60.182 | 79.872 | 60.519 | 56.035 | 47.134 | 
| Total phenols [mg GAE/100 g material] | 603.543 | 366.151 | 628.676 | 511.011 | 609.910 | 631.831 | 317.067 | |
| x37 | Antioxidants [%] | 39.076 | 44.7404 | 38.604 | 35.536 | 42.920 | 38.402 | 30.007 | 
| Total phenols [mg GAE/100 g material] | 515.265 | 373.056 | 418.998 | 442.804 | 498.784 | 598.071 | 253.023 | |
| Sample | Extraction | Staphylococcus aureus | Escherichia coli | Candida albicans | 
|---|---|---|---|---|
| MIC [mg/mL] | MIC [mg/mL] | MIC [mg/mL] | ||
| x11 | UE-e | 9.38 | >37.5 | 4.69 | 
| x73 | UE-e | 9.38 | >37.5 | 4.69 | 
| x37 | UE-e | 4.69 | >37.5 | 4.69 | 
| x11 | SFE-d | 9.38 | >37.5 | 4.69 | 
| x73 | SFE-d | 18.75 | >37.5 | 4.69 | 
| x37 | SFE-d | 9.38 | >37.5 | 4.69 | 
| Publisher’s Note: MDPI stays neutral with regard to jurisdictional claims in published maps and institutional affiliations. | 
© 2020 by the authors. Licensee MDPI, Basel, Switzerland. This article is an open access article distributed under the terms and conditions of the Creative Commons Attribution (CC BY) license (http://creativecommons.org/licenses/by/4.0/).
Share and Cite
Žitek, T.; Leitgeb, M.; Golle, A.; Dariš, B.; Knez, Ž.; Knez Hrnčič, M. The Influence of Hemp Extract in Combination with Ginger on the Metabolic Activity of Metastatic Cells and Microorganisms. Molecules 2020, 25, 4992. https://doi.org/10.3390/molecules25214992
Žitek T, Leitgeb M, Golle A, Dariš B, Knez Ž, Knez Hrnčič M. The Influence of Hemp Extract in Combination with Ginger on the Metabolic Activity of Metastatic Cells and Microorganisms. Molecules. 2020; 25(21):4992. https://doi.org/10.3390/molecules25214992
Chicago/Turabian StyleŽitek, Taja, Maja Leitgeb, Andrej Golle, Barbara Dariš, Željko Knez, and Maša Knez Hrnčič. 2020. "The Influence of Hemp Extract in Combination with Ginger on the Metabolic Activity of Metastatic Cells and Microorganisms" Molecules 25, no. 21: 4992. https://doi.org/10.3390/molecules25214992
APA StyleŽitek, T., Leitgeb, M., Golle, A., Dariš, B., Knez, Ž., & Knez Hrnčič, M. (2020). The Influence of Hemp Extract in Combination with Ginger on the Metabolic Activity of Metastatic Cells and Microorganisms. Molecules, 25(21), 4992. https://doi.org/10.3390/molecules25214992
 
         
                                                




 
                         
       