Skip Content
You are currently on the new version of our website. Access the old version .
GrassesGrasses
  • Article
  • Open Access

17 May 2023

Structure and Phenology of Herbaceous Stratum in the Sahelian Rangelands of Senegal

,
,
,
and
1
Senegalese Agricultural Research Institute, CRZ Dahra, Dahra Djioloff BP 01, Senegal
2
Department of Plant Biology, Cheikh Anta Diop University, FST, Dakar BP 5005, Senegal
3
CIRAD DP PPZS, UMR SELMET, Dakar BP 2057, Senegal
4
UMR SELMET, Univ Montpellier, CIRAD, INRAE, Institut Agro, CEDEX 5, 34398 Montpellier, France

Abstract

This study describes the structure and phenology of Sahelian rangelands during the rainy season. It was undertaken on a grazed plot and a fenced plot. Measurements were taken every 10 days over two rainy seasons between July and October 2018 and between August and October 2019. The measurements included the phenological stage, the vegetative and flowering height, the coverage, and the phytomass. The results showed that phytomass did not systematically differ between grazed and fenced plots. Flowering started as early as mid-July, but most of the plants flowered in early October. Flowering and fruiting occurred earlier (based on the number of days after the first rain) in the late rainy season (2019) than in the early one (2018). These stages reached their peak in October; senescence began in October. Vegetative height, reproductive height, and coverage were similar between the two years. Height peaks were similar, but they were reached earlier (based on the number of days after the first rain) in the late rainy season than in the early one. Coverage peaks were similar (59.8% in the early rainy season vs. 65.8% in the late one). Vegetative height (around 30 cm), reproductive height (around 36 cm), and coverage (around 60%) reached their maximum in October, but reproductive height was greater than vegetative height. These parameters were lower at the grazed site compared to the fenced site, and flowering started earlier at the grazed site. The pasture had a negative impact on coverage, height, and early flowering. Structure and phenology were more sensitive than to changes in rainfall between years. Phenology results will help determine the best time to harvest the phytomass (phytomass stock), as the nutritional quality of the forage is known to decrease after fruiting.

1. Introduction

The Sahel is a bio-geographic entity defined primarily by its arid-to-semi-arid tropical climate, controlled by the Gulf of Guinea monsoon and the Saharan Harmattan [1]. Its average rainfall varies from 100 mm at the desert border to 600 mm at the southern limit of the Sahel in contact with the Sudanian zone [2]. It is probably the largest ecological zone in the world with the highest average annual temperature (28–30 °C), very close to that of the southern Sahara [1]. The minimum annual average is between 18 and 20 °C and the maximum average between 35 and 38 °C [3]. Pastures receiving between 200 and 450 mm of annual rainfall are traditionally exploited by transhumance [4]. Savannah, bush, and steppe formations are characteristic of regions influenced by Sahelian and Sudanian climates. These climates, characterized by their long dry seasons, lead to formations that have adapted to the severity of climatic conditions. The Sahel is the domain of thorny steppes. Sahelian vegetation is therefore characterized by a high degree of heterogeneity. On the one hand, the factors that determine this heterogeneity are essentially related to water and, on the other hand, to the factors linked to the action of herds (due to the importance of pastoral activities in this zone) [5]. The vegetation in the Sahel consists of a herbaceous stratum, mainly composed of annual plants and a sparse woody stratum dominated by thorny plants [6]. Sahelian vegetation diversifies according to observed topographic variations [7]. Sand dunes with a low retention capacity and slopes with significant runoff have open vegetation (presence of bare ground). The woody layer is less developed, while the herbaceous layer can be important on sand. Woody plants sometimes constitute dense stands in depressions. Perennial grasses are also found there.
In the Sahel region, the main economic activity is pastoral livestock farming, which is mainly based on using spontaneous vegetation in rangelands. The latter comprises a stratum of annual herbaceous plants, mainly grasses, and a stratum of scattered woody plants dominated by the genus Acacia [6]. In the Sahel, the quantity of grass produced is largely affected by interannual variability in rainfall [8,9,10,11,12]. Rainfall deficits induce biomass deficits and lead to pastoral crises [13]. It is therefore crucial to study the dynamics of the herbaceous stratum to adapt pastoral livestock farming to climatic constraints. Most studies on phytomass production in the herbaceous stratum have mainly focused on variations between years and between zones, and sampling often takes place at the end of the rainy season. However, few studies have looked at dynamics during the season, whereas herbaceous plants grow very quickly during the rainy season (from June or July to October). This growth is linked to the availability of soil resources [8], rainfall patterns, and the impact of grazing [14,15]. Most studies have focused solely on biomass. However, studying other vegetation parameters over the entire life cycle of plants can provide a great deal of useful information for understanding vegetation dynamics.
The goal of this study was to describe the structure and phenology of the herbaceous stratum over a season and to see whether grazing had any effect on the monitored parameters. Thus, coverage, vegetative height, reproductive height, and phenology were monitored over a ten-day time step during the rainy season for two years at a grazed site and a fenced site. This study is innovative in that it takes into account parameters that are not always measured (height of inflorescences) and that it is carried out at a much more regular frequency than usual.

2. Materials and Methods

2.1. The Study Area

The study was conducted at the Zootechnical Research Center (CRZ) of Dahra in the Sahelian part of Senegal named Ferlo. Dahra, which is located in the department of Linguère, Louga region, is a zone of predominantly pastoral activity in northern Senegal (Figure 1). The Ferlo, also known as the sylvopastoral zone, is the largest of Senegal’s six agroecological zones. In the north of the country, it is located between 15°21′ north and 15°28′ west. It covers an area of 54.380 km2 or 27.64% of the national territory [16]. The sylvopastoral zone is located immediately south of the river valley and occupies part of the Sahelian and Sahelo-Sudanian domains. It extends administratively over the regions of Saint-Louis, Louga, Tambacounda, and Matam. The ethnic composition of the population of Ferlo shows a majority of Fulani followed by Wolof. Other ethnic groups are beginning to take their place in the composition of this population. The population of the department of Linguère (home to the commune of Dahra), like the northern region of Senegal, is primarily made up of young people under the age of 20 [17].
Figure 1. Geographic and administrative location of Dahra.
In the Louga region, the annual temperature averages 27 °C with minimums of 23 °C in January and maximums of 30 °C between September and October [18]. The CRZ rainfall averages 371.67 mm over a 50-year period (1964–2013). This rainfall ranges from late June to early October with an average monthly accumulation of 35.95 mm [17]. The geographical position of the Dahra CRZ means that it has a Sahelian climate [19]. The physiognomy of the vegetation in Dahra has changed from a wooded savannah to a shrubby savannah in the 1960s to a thorny steppe today. The soils are sandy, lateritic, or lacustrine [20]. The carbon stock averaged 0.08 ± 0.03 and 0.06 ± 0.02 t·ha−1 for the 0–20 and 20–40 cm layers, respectively [21].
Compared to the rest of the area, the vegetation in the Dahra center is more stable [22] due to the partial protection (fences and supervision) of the center against overgrazing and uncontrolled exploitation in place since 1954. That stability is threatened today because only a very small part of the center remains fenced-off. Thus, in addition to its similarity to the rest of the area in terms of physiognomy and taxonomy, the herbaceous stratum is used in some places in the same way as in the rest of the area, and by animals not belonging to the center. This makes the Dahra center a place where the rangelands are similar, to some extent, to the rest of the Ferlo rangelands.

2.2. Experimental Design

Similar measurements were taken at a grazed site (g) and a fenced site (f) in the rainy season for two years (Figure 2) to see if there were any differences between the rainy seasons and whether grazing had any effect on the parameters monitored. The grazed site was a square of 750 m by 750 m divided into 9 square sub-plots of 250 m by 250 m, of which the middle plot housed the ecosystem functioning observatory composed of a meteorological station and a flow tower [23]. Within the central subplot, the sampling points were placed every 50 m along the diagonals, and in the outer subplots, they were placed every 120 m along the extension of the diagonals. This difference in site size was due to a lack of space. Two perpendicular transects of 1000 m were set up there. The fenced site was a square plot of land with two perpendicular transects of 300 m per side. Each transect had 14 collection points at both sites.
Figure 2. Data collection design.

2.3. Data Collection

The measurements were carried out between July and October 2018 and between August and October 2019. Annual rainfall was 356 mm in 21 different events in 2018 and 336 mm in 20 different rainfall events in 2019. The 2018 rainy season was about 30 days earlier but was marked by long dry spells at the beginning of the season. Measurements started ten days after the first rainfall of at least 0.1 mm and were taken every ten days up to the end of the rainy season. Twenty-eight points were measured on each measurement date at each site. At each collection point, the following parameters were determined:
  • The herbaceous phytomass harvested at ground level on an area of 1 m2 was weighed fresh and placed in an oven at 65 °C until a constant weight was obtained before being weighed again to obtain the dry weight.
  • Coverage was visually estimated as a percentage on a 1 m2 quadrat scale.
  • The percentage of phenological stages: the leafing, flowering, fruiting, and senescence stages were considered. When a stage was present in the quadrat, the percentage of individuals carrying it was estimated visually.
  • Vegetative height was measured from the soil to the highest leaf, and reproductive height was measured from the soil to the highest flower (or fruit) on 10 randomly selected individuals, which were then averaged over the quadrat scale.

2.4. Statistical Analysis

Principal component analysis was performed to show the relationships between the variables. Student’s test was used to compare parameter values across sites on each measurement date and between monitoring years.

3. Results

3.1. Relationship between the Variables

Dime 1 and Dim 2 explain 73.81% of the starting information (Figure 3). These two dimensions are then used to display the variables. Leafing is opposed to senescence. When plants start to dry, the major part of them stops producing new leaves. Flowering and fruiting are closed. These two phenological stages are not really separated. The flowering often continues even though the fruiting starts.
Figure 3. Link between variables.

3.2. Dynamics over the Year of Certain Parameters in the Herbaceous Stratum

3.2.1. Phytomass

In contrast to 2018, where there was little variation in production between the two sites, overall phytomass production was lower at the grazed site in 2019 (Figure 4). Production peaks were reached on the same date (early October), but the peak at the grazed site (1800 kg·ha−1) was below that of the fenced site (2357 kg·ha−1).
Figure 4. Phytomass yield of grazed (g, red) and fenced (f, black) sites in 2018 (A) and 2019 (B).

3.2.2. Vegetative Height

In 2018, vegetative height was equal at both sites at the beginning of the rainy season, i.e., 40 days after the first rainfall (up to early August) (Figure 5). For the rest of the rainy season (mid-August to the end of October), it remained lower at the grazed site. This height reached a maximum of 42 cm at the fenced site and 31.3 cm at the grazed site. However, the maximums were reached on the same date, i.e., in mid-October (the 110th day after the first rainfall). In 2019, vegetative height was lower at the grazed site during the rainy season. This height reached its maximum of 48.09 cm at the fenced site slightly earlier than at the grazed site (27.4 cm) in August. This maximum height was therefore lower at the grazed site.
Figure 5. Vegetative height of grazed (g, red) and fenced (f, black) sites in 2018 (A) and 2019 (B).

3.2.3. Reproductive Height

In 2018, reproductive height appeared 30 days after the first rain (late July) at the fenced site and 20 days after the first rain (mid-July) at the grazed site (Figure 6). Up to 60 days after the first rain (late August), reproductive height was equal at both sites. It was then higher at the fenced site for the rest of the season from September to October (between the 70th day and the 120th day after the first rain). The highest values for reproductive height were 35.7 cm at the grazed site and 47.5 cm at the fenced site. These values were reached at both sites in October. In 2019, reproductive height remained lower at the grazed site throughout the rainy season. The maximum height was reached earlier at the grazed site compared to the fenced site in August. The maximum reproductive height was lower at the grazed site (34.7 cm) than at the fenced site (58.6 cm).
Figure 6. Reproductive height of grazed (g, red) and fenced (f, black) sites in 2018 (A) and 2019 (B).

3.2.4. Phenology

In 2018, the difference in phenology between the fenced site and the grazed site concerned the date flowering first appeared (Figure 7). It occurred on the 20th day after the first rain (second ten days of July) at the grazed site and on the 30th day after the first rain (third ten days of July) at the fenced site. In 2019, flowering began 10 days after the first rain at the grazed site and 20 days after the first rain at the fenced site. In contrast, fruiting occurred earlier (40 days after the first rain) at the fenced site compared to the grazed site (50 days after the first rain). Senescence started at both sites on the same date, i.e., 80 days after the first rainfall (August). For the appearance of the phenological stages over the year, it was found that each stage appeared in the same month at both sites and in each year.
Figure 7. Phenology of grazed and fenced sites in 2018 and 2019. Red: leafing; blue: flowering; black: fruiting; brown: senescence.

3.2.5. Coverage

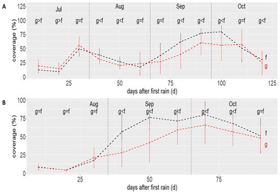
In 2018, coverage was either equal or lower at the grazed site most of the time (Figure 8). On a few rare occasions early in the season, it was higher at the grazed site. Coverage appeared to be much better at the fenced site between September and the end of October. It reached a maximum of 79.3% on the fenced site and a maximum of 59.8% on the grazed site. The highest coverage occurred earlier at the grazed site, ten days before the peak was reached at the fenced site. In 2019, coverage was equal between the two sites at the beginning (August) and end of the season (October). However, overall, coverage was lower at the grazed site. Peak coverage was reached at the same time (early October), but it was lower at the grazed site (65.8%) than at the fenced site (79.6%). This was confirmed by the results of the statistical differences (Table 1).
Figure 8. Coverage of grazed (g, red) and fenced (f, black) sites in 2018 (A) and 2019 (B).
Table 1. Differences between the grazed sites (G) and fenced sites (F) based on the Wilcox test.

3.3. Dynamics of Herbaceous Stratum Parameters between an Early and a Late Rainy Season

3.3.1. Phytomass, Height, and Coverage

It can be seen from Table 2 that, overall, the monitored parameters (phytomass, height, and coverage) often varied little between an early and a late rainy season year.
Table 2. Inter-annual dynamics of parameters monitored at a grazed site.

3.3.2. Phenology

Flowering occurred 20 days after the first rain in July 2018 and 10 days after the first rain in August 2019 (Figure 9). Fruiting started 90 days after the first rain in September 2018 and 50 days after the first rain in September 2019. Both stages peaked in October when the foliage percentage began to drop. Senescence began in October for both years at the same time as the foliage began to stop for the majority of individuals.
Figure 9. Phenology dynamics at the grazed site in 2018 and 2019. Red: leafing; blue: flowering; black: fruiting; brown: senescence.

4. Discussion

The objective of this work was to describe the vegetation in the pastures of a Sahelian site, going beyond just the amount of phytomass produced, by monitoring the structure and the phenology of the herbaceous stratum in a grazed area and a fenced area during the rainy season.
In general, the amount of phytomass was lower at the grazed site than at the fenced site, though the differences in the amounts produced between the sites in 2018 were very subtle throughout the season. This result confirms that grazing decreases phytomass production similar to previous results in a steppe formation [24,25], even in a savanna [26]. Theanimal husbandry can cause overgrazing that is reflected in a reduction in productivity [7]. On the other hand, trials testing protection from cultivation, forest removal, fire, and grazing carried out in Niger (Sadoré reserve), Burkina Faso, and Senegal resulted in slightly lower herbaceous production than in the grazed control, mainly because of the greater relative importance of broadleaf weeds [1]. Depending on its intensity, the consumption of plant matter by animals induces either compensatory growth or plant exhaustion [27]. According to the same author, the production level of a grazed site also depends on the potentialities of the environment and grazing intensity. These arguments may explain why the difference in phytomass in 2018 was unclear between the grazed and fenced sites. Thus, the differences between the two management methods (deferred grazing and free grazing) are not necessarily significant every year. It is highlighted that in 2010–2011, grazing only significantly changed the dynamics of dry grass mass when it reached or exceeded 0.08 tropical livestock units per hectare [6]. This suggests that this threshold was not reached at the grazed site in our study. In addition, due to tillering and regrowth capacity, trampling and forage removal in the rainy season cannot reduce annual grass production beyond 50% [28]. On the other hand, they combine in the dry season to accelerate the passage into litter [1]. The effect of grazing seems to be secondary to that of rainfall distribution [29] and to the effects of climatic and cultivation events [1].
Flowering started in mid-July and the plants almost all bloomed in early October. Flowering and fruiting appeared earlier in a late rainy season year compared to an early rainy season year. These two stages reached their peak in October, while the foliage percentage started to drop. Seeding began in October for both years. The onset of flowering in mid-July may indicate the existence of early species at the site. This precocity of reproductive phases was noted on pastures in Burkina Faso [30]. The presence of short-cycle and long-cycle species in the Sahel was mentioned by the same author. The following classification [7] may help to explain this staggered flowering over almost the whole season. Authors classified Sahelian species as very young plants already sensitive to flowering induction by the length of the day: Zornia glochidiata and Alysicarpus ovalifolius (≤1 week); sensitive plants when they are a little older: Cenchrus biflorus, Dactyloctenium aegyptium, and Chloris prieurii; and sensitive plants when they are even older: Schoenefeldia gracilis and Pennisetum pedicellatum. All the species cited as examples are those sometimes found to be dominant in the rangelands studied here. However, the maximum flowering period remained at the beginning of October. The staggering of fruiting dates at intra- and interspecific levels was also reported [31].
While some parameters readjusted their maximum values depending on the lateness of the rainy season, the phenology reaction involved the period when flowering and fruiting occurred. This was even though flowering is more of a genetic factor and depends more on the photoperiod in the Sahelian zone. The reduction in the production cycle following a delay in the start of the rainy season induces an early occurrence of phenological stages [25,32]. This enables plants to ensure their reproduction for the coming rainy season.
In general, vegetative and reproductive heights were similar between the two years. The peaks were close, but those in a late rainy season year were reached earlier than those in an early rainy season year, or on the same date. The vegetative height dynamics were very similar to those for reproductive height. In a late rainy season year, the shortening of the establishment phase, or the overall production cycle, of the herbaceous plants [25,32] could justify this situation. As the rainy season started late (end of July 2019), the installation phase lasted only twenty days, i.e., up to the first fortnight in August. The growth phase then started at the end of August, which corresponds to the period of regular rainfall, avoiding the loss of the first germination waves. This rapid start of the growth period in 2019 allowed the herbaceous plants to reach their maximum height quickly, earlier, or at the same time, as in an earlier rainy season year.
One hypothesis would be that grazing has a greater effect than rainfall conditions. Despite a better rainfall situation in a late rainy season year (fewer long breaks, better distribution of rainfall, etc.), grazing might justify the fact that the vegetative and reproductive heights and their peaks were both equal between the two years. There probably may have been a difference in grazing intensity between 2018 and 2019 that was not considered in this study.
Peaks in vegetative height (31 cm) and reproductive height (36 cm) were reached in October, but the reproductive height was slightly higher than the vegetative height. These figures ranged from 0.5 to 1 m [22] for the height at maximum vegetation and from 40 to 60 cm [33] for the Ferlo area. These ranges confirm that the herbaceous stratum in the typical Sahel can reach 50 cm in height on sandy dunes [10]. It is explained [25] that even though some species continue a vegetative growth after flowering, the majority of grasses stop doing so. Grasses were the major family of the pastures studied, but most annual grasses, under the influence of the photoperiod, flower between the end of August and the beginning of September [25,34]. This means that almost all species reach their maximum size and stop growing at that time. The fact that the reproductive height was greater than the vegetative height can be explained by the position of the flowers. The majority of species, especially grasses, have terminal flowers, so the flowers or fruits are often at a height that exceeds the height of the highest leaf.
The coverage rate was generally equal between the two years, with relatively close peaks in coverage (59.8% in 2018 and 65.8% in 2019). This result was similar to that of 57% in 2013 in Dahra [17]. This confirms that coverage reaches 40% on dunes and 50% on sandy peneplains in typical Sahel [10], and that coverage that was, at most, equal to 50% in three vegetation groups at Niono’s ranch [7]. This led the latter authors to state that the percentage cover of the Sahelian herbaceous stratum is low and is thus typical of an open formation. This is explained by the very marked xerophytic nature of the grasses, namely narrow, rolled, or folded basal leaves. Coverage is the vegetation parameter least affected by interannual fluctuations in rainfall.
The coverage rate was lower at the grazed site compared to the fenced site. This corroborates the results of [25], who found coverage in a non-harvested area that was twice as high as in a harvested area, as well as the results of [24], who found a higher coverage at a deferred grazing site. According to the results of [7,11,35], a reduction in coverage is a consequence of overgrazing caused by livestock farming.
Vegetative and reproductive heights were lower at the grazed site. The choice made by the animal to graze the taller grasses (grasses in this case) [14] may explain the difference in height between the two sites. Apart from this explanation, the reproductive height would be higher at the fenced site because the plants are grazed before flowering, so they are shorter and produce flowers and fruits at a lower level. The small size of herbaceous plants is a consequence of grazing [36].
Flowering started earlier at the grazed site, suggesting a form of adaptation of the herbaceous stratum to pasture: avoidance. Beyond the fact that early flowering is genetic, this may suggest an adaptation strategy. Plants may flower earlier to extend the flowering period and ensure that seeds will mature at the end of the season.

5. Conclusions

This study highlighted the presence of early species in the area, which is evidence of the species adaptation to the Sahelian climatic conditions, in particular to the short duration of the rainy season. The dates of appearance of the phenological stages and the height of the herbaceous layer do not seem to depend on the date of the start of the rainy season. In order to not underestimate the height of the canopy in rangelands dominated by grasses, it would be preferable to take into account the height of reproduction during the measurements in the field, in case a choice is necessary. The low cover of the area and the height of the grass refer to steppe-type vegetation in the studied area. The coverage, vegetative height, reproductive height, and flowering of herbaceous plants were sensitive to grazing. By stopping plant growth, the photoperiod limits the production of phytomass.

Author Contributions

Conceptualization, D.N., O.D., S.T. and O.N.; methodology, O.D., O.N., D.N. and S.T.; formal analysis, O.D.; investigation, O.D.; data curation, O.D.; writing—original draft preparation, O.D.; writing—review and editing, O.D., O.N., D.N., S.D. and S.T.; visualization, O.D.; supervision, D.N.; project administration, O.N. All authors have read and agreed to the published version of the manuscript.

Funding

This research was financed by the Carbon Sequestration and Green- house Gas Emissions in (Agro) Sylvopastoral Ecosystems in the Sahelian CILSS States (CaSSECS) project, supported by the European Union under the Development Smart Innovation through Research in Agriculture (DeSIRA) Initiative. The opinions expressed in this article are not necessarily those of the European Union.

Institutional Review Board Statement

Not applicable.

Data Availability Statement

Data can be requested to: sadiousmane@hotmail.com.

Acknowledgments

Tanks to Mamadou Diémé and Pathé Lô for their support in the data collection.

Conflicts of Interest

The authors declare no conflict of interest.

References

  1. Hiernaux, P.; Le Houérou, H.N. Les parcours du Sahel. Secheresse 2006, 17, 51–71. [Google Scholar]
  2. Le Houérou, H.N. The Rangelands of the Sahel. J. Range Manag. 1980, 33, 41–46. [Google Scholar] [CrossRef]
  3. Le Houérou, H.N. The Grazing Land Ecosystems of the African Sahel; Ecological studies 75; Springer: Berlin/Heidelberg, Germany, 1989; Volume 75, 290p. [Google Scholar]
  4. Boudet, G. Désertification de l’Afrique tropicale sèche. Adansonia 1972, 12, 505–524. [Google Scholar]
  5. Akpo, L.E.; Gaston, A.; Grouzis, M. Structure Spécifique d’une Végétation Sahélienne; Cas de Wiidu Thiengoli: Ferlo, Sénégal, 1995. [Google Scholar]
  6. Diawara, M.O.; Hiernaux, P.; Mougin, E.; Grippa, M.; Delon, C.; Diakité, H.S. Effets de la pâture sur la dynamique de la végétation herbacée au Sahel (Gourma, Mali): Une approche par modélisation. Cah. Agric. 2018, 27, 15010. Available online: https://www.cahiersagricultures.fr/10.1051/cagri/2018002 (accessed on 20 January 2022). [CrossRef]
  7. Penning de Vries, F.W.T.; Djitèye, M.A. La productivité des Pâturages Sahéliens–Une Etude des sols, des Végétations et de L’exploitation de Cette Ressource Naturelle; Centre for Agricultural Publishing and Documentation: Wageningen, The Netherlands, 1982; 525 p. [Google Scholar]
  8. Akpo, L.E. Dynamique des Systèmes Ecologiques Sahéliens: Structure Spécifique, Productivité et Qualité des Herbages—le Forage de Widdu Thiengoly; Mémoire de DEA d’écologie végétale, Université Cheikh Anta Diop: Dakar, Senegal, 1990; 65p. [Google Scholar]
  9. Bechir, A.B.; Mopate, L.Y. Analyse de la végétation pâturée autour des ouvrages hydrauliques des zones pastorales de Batha Ouest au Tchad. Int. J. Biol. Chem. Sci. 2015, 11, 212–226. [Google Scholar]
  10. Boudet, G. Manuel sur les Pâturages Tropicaux et les Cultures Fourragères; Ministère de la Coopération: Paris, France, 1975; 255 p, Manuels et précis d’élevage 4. [Google Scholar]
  11. Boutrais, J. Eleveurs, bétail et environnement. In A la Croisée Des Parcours Pasteurs, Éleveurs, Cultivateurs; Edition de l’ORSTOM: Paris, France, 1994; pp. 303–319. [Google Scholar]
  12. Tracol, Y. Etude des Variations Interannuelles de la Production Herbacée des Pâturages Sahéliens: Exemple du GOURMA Malien; Thèse de Doctotat, Université Toulouse III-Paul Sabatier: Toulouse, France, 2004; 262 p. [Google Scholar]
  13. Touré, I.; Ickowicz, A. SIPSA: Un système d’information et d’alerte précoce pour caractériser et suivre les dynamiques pastorales au Sahel. In Élevages et Territoires: Concepts, Méthodes, Outils; INRA: Etienne Mi, Paris, 2014; pp. 207–216. [Google Scholar]
  14. Dumont, B. Préférences et sélection alimentaire au pâturage. INRA Prod. Anim. 1996, 9, 359–366. [Google Scholar] [CrossRef]
  15. Taugourdeau, S.; Ndiaye, O.; Diatta, O.; Assouma, M.H. Dynamic of herbaceous biomass during the wet season in the Sahel. Sustain. Meat Milk Prod. Grassl. 2017, 23, 676–678. [Google Scholar]
  16. Gueye, S. Etude sur les Ressources Forestières et les Plantations Forestières du Sénégal; Proj GCP/INT/679/EC, C.E.; FAO: Québec City, QC, Canada, 2000; pp. 1–61. [Google Scholar]
  17. Ndiaye, O. Déterminants de la Dynamique de la Végétation d’un Milieu Pâturé en Région Sahélienne du Sénégal. Ph.D. Thesis, Thèse de doctorat, Université Cheikh Anta Diop, Dakar, Senegal, 2015; 133 p. [Google Scholar]
  18. Aranyossy, J.F.; Gonfiantini, R.; Louvat, D.; Maksoudi, M. Development of Hydrogeological Isotopic Techniques in Sahelian Countries; Cadre General et Realisations du Projet Regional RAF/8/012 (Senegal, Mali, Niger, Cameroun); International Atomic Energy Agency: Vienna, Austria, 1993. [Google Scholar]
  19. Ruster, J. Evolution du Couvert Végétal de la Région de Téssékré au Sénégal, par le Biais de la Télédétection; Rapport de stage master 1; Université Diderot-Paris 7: Paris, France, 2009; 60p. [Google Scholar]
  20. Casenave, A.; Valentin, C. Les états de Surface de la Zone Sahélienne: Influence sur l’infiltration; Collection didactiques; Orstom: Paris, France, 1989; 229p. [Google Scholar]
  21. Ndiaye, O.; Diop, A.T.; Akpo, L.E.; Diene, M. Dynamique de la teneur en carbone et en azote des sols dans les systèmes d’exploitation du Ferlo: Cas du CRZ de Dahra. J. Appl. Biosci. 2015, 83, 7554. [Google Scholar] [CrossRef]
  22. Pontanier, R.; Diouf, M.; Zaafouri, M.S. Ecologie et régime hydrique de deux formations à Acacia raddiana au Nord et au Sud du Sahara (Tunisie, Sénégal). Un Arbre au Désert: Acacia raddiana 2003, 79–101. [Google Scholar]
  23. Tagesson, T.; Fensholt, R.; Guiro, I.; Rasmussen, M.O.; Huber, S.; Mbow, C.; Garcia, M.; Horion, S.; Sandholt, I.; Holm-Rasmussen, B.; et al. Ecosystem properties of semiarid savanna grassland in West Africa and its relationship with environmental variability. Glob. Chang. Biol. 2015, 21, 250–264. [Google Scholar] [CrossRef] [PubMed]
  24. Khalid, F.; Benabdeli, K.; Morsli, B. Impact de la mise en défens sur la lutte contre la sésertification dans les parcours steppiques: Cas de la région de Naâma (sud-ouest algérien). Rev. Decologie 2015, 70, 16–31. [Google Scholar]
  25. Cissé, A.M. Dynamique de la Strate Herbacée des Pâturages de la Zone sud-Sahélienne; Thèse, Landbouw Universiteit: Wageningen, The Netherlands, 1986; 211p, Available online: http://library.wur.nl/WebQuery/clc/242102 (accessed on 21 December 2020).
  26. Rakotoarimanana, V.; Gondard, H.; Ranaivoarivelo, N.; Carriere, S. Influence du pâturage sur la diversité floristique, la production et la qualité fourragères d’une savane des Hautes Terres malgaches (région de Fianarantsoa). Sécheresse 2008, 19, 39–46. [Google Scholar]
  27. Fournier, A. Cycle saisonnier et production nette de la matière végétale herbacée en savanes soudaniennes pâturées. Ecologie 1994, 25, 173–188. [Google Scholar]
  28. Hiernaux, P.; Turner, M.D. The effect of the timing and frequency of clipping on nutrient uptake and production of Sahelian annual rangelands. J. Appl. Ecol. 1996, 33, 387–399. [Google Scholar] [CrossRef]
  29. Hiernaux, P.; Gérard, B. The influence of vegetation pattern on the productivity, diversity and stability of vegetation: The case of “brousse tigrée” in the Sahel. Acta Oecologica. 1999, 20, 147–158. [Google Scholar] [CrossRef]
  30. Traoré, B. Observations sur la Phénologie de Quelques Espèces Herbacées et Ligneuses Sahéliennes; Rapp. Multigr., ACC-LAT (Haute-Volta); DGRST/Orstom/ISP: Ouagadougou, Burkina Faso, 1978; 74p. [Google Scholar]
  31. Bille, J.-C.; Poupon, H. Recherches écologiques sur une savane sahélienne au Sénégal: Description de la végétation. La terre et la Vie 1974, 26, 325–472. [Google Scholar]
  32. Cornet, A. Le Bilan Hydrique et Son Rôle Dans la Productin de la Strate Herbacée de Quelques Phytocénoses Sahéliennes au Sénégal. Ph.D. Thesis, Université des Sciences et Techniques du Languedoc, Montpellier, France, 1981; 351p. [Google Scholar]
  33. Ngom, D. Biodiversité et services écosystèmiques dans les réserves de biosphère: Réserve de biosphère du Ferlo en Afrique de l’Ouest; Presses Académiques francophones: Sarrebruck, Germany, 2014; 196p. [Google Scholar]
  34. Seghieri, J.; Floret, C. Plant phenology in relation to water availability: Herbaceous and woody species in the savannas of northern Cameroon. J. Trop. Ecol. 1995, 11, 237–254. [Google Scholar] [CrossRef]
  35. Véla, E.; Tatoni, T.; Brisse, H. Etude synchronique de l’influence du pâturage ovin et de la mise en défens sur la végétation des pelouses calcaires du Luberon (province, France). Courr. Sci. Du Parc. Nat. Régional. Du Lubéron 2001, 5, 102–121. [Google Scholar]
  36. Díaz, S.; Noy-Meir, I.; Cabido, M. Can grazing response of herbaceous plants be predicted from simple vegetative traits? J. Appl. Ecol. 2001, 38, 497–508. [Google Scholar] [CrossRef]
Disclaimer/Publisher’s Note: The statements, opinions and data contained in all publications are solely those of the individual author(s) and contributor(s) and not of MDPI and/or the editor(s). MDPI and/or the editor(s) disclaim responsibility for any injury to people or property resulting from any ideas, methods, instructions or products referred to in the content.

Article Metrics

Citations

Article Access Statistics

Multiple requests from the same IP address are counted as one view.