Transplanted Mesenteric Lymph Node Metastasis After Free Jejunal Reconstruction in Head and Neck Cancer
Abstract
1. Introduction
2. Results
2.1. Patient Characteristics
2.2. Cases with Postoperative Mesenteric Lymph Node Swelling/Metastasis
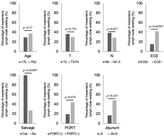
2.3. Risk Factors for Postoperative Mesenteric Lymph Node Swelling
2.4. Prognosis and Postoperative Mesenteric Lymph Node Swelling
3. Discussion
4. Materials and Methods
4.1. Patients
4.2. Surgical Methods
4.3. Evaluation
4.4. Statistical Analysis
5. Conclusions
Author Contributions
Funding
Institutional Review Board Statement
Informed Consent Statement
Data Availability Statement
Conflicts of Interest
References
- Roux, M.; Dassonville, O.; Ettaiche, M.; Chamorey, E.; Poissonnet, G.; Bozec, A. Primary total laryngectomy and pharyngolaryngectomy in T4 pharyngolaryngeal cancers: Oncologic and functional results and prognostic factors. Eur. Ann. Otorhinolaryngol. Head Neck Dis. 2017, 134, 151–154. [Google Scholar] [CrossRef] [PubMed]
- Kim Evans, K.F.; Mardini, S.; Salgado, C.J.; Chen, H.C. Esophagus and hypopharyngeal reconstruction. Semin. Plast. Surg. 2010, 24, 219–226. [Google Scholar] [CrossRef] [PubMed][Green Version]
- Kohyama, K.; Ishihara, T.; Okuda, H.; Yasue, Y.; Ogawa, T.; Shibata, H.; Kuroki, M.; Iinuma, R.; Kato, H. Factors affecting the patency of the internal jugular vein after neck dissection for malignant hypopharyngeal tumors—Significance of free jejunal flap transfer using the internal jugular vein as the recipient vein. J. Plast. Reconstr. Aesthet. Surg. 2025, 103, 248–255. [Google Scholar] [CrossRef] [PubMed]
- Iinuma, R.; Kato, H.; Yamada, T.; Sato, Y.; Tanaka, Y.; Kato, H.; Kuroki, M.; Shibata, H.; Kohyama, K.; Ohashi, T.; et al. Usefulness of intraoperative monitoring for mesenteric lymph node metastasis in transplanted free jejunum. Auris Nasus Larynx 2023, 50, 827–830. [Google Scholar] [CrossRef] [PubMed]
- Ogawa, T.; Matsuura, K.; Kato, K.; Sariishi, T.; Goto, T.; Matsumoto, K.; Saijo, S. Survival of a free jejunal graft after the resection of its nutrient vessels. Auris Nasus Larynx 2010, 37, 125–128. [Google Scholar] [CrossRef] [PubMed]
- Lewis-Jones, H.; Colley, S.; Gibson, D. Imaging in head and neck cancer: United Kingdom National Multidisciplinary Guidelines. J. Laryngol. Otol. 2016, 130, S28–S31. [Google Scholar] [CrossRef] [PubMed]
- Suzuki, S.; Mochiki, M.; Nakao, K.; Sakamoto, T.; Ando, M.; Sugasawa, M. Clinical inspection of metastasis to the mesenteric lymph nodes in patients with hypopharyngeal cancer after pharyngolaryngectomy with free jejunal graft—136 cases. Nippon Jibiinkoka Gakkai Kaiho 2006, 109, 19–23. [Google Scholar] [CrossRef] [PubMed][Green Version]
- Kitano, D.; Hashikawa, K.; Furukawa, T.; Nomura, T.; Tamagawa, K.; Sakakibara, S.; Nibu, K.I.; Terashi, H. Salvage surgery for mesenteric lymph node metastasis by resection of the first jejunal flap and reconstruction with the second jejunal flap. J. Surg. Case Rep. 2023, 2023, rjad686. [Google Scholar] [CrossRef] [PubMed]
- Suzuki, S.; Mochiki, M.; Nakao, K.; Sakamoto, K.; Ando, M.; Sugasawa, M. A case of hypopharyngeal carcinoma metastasizing to transplanted jejunal and mesenteric lymph nodes. Otolaryngol. Head Neck Surg. 2004, 76, 162–163. [Google Scholar]
- Yasuhara, K.; Uranaka, T.; Ichijo, K.; Horikiri, K. Recurrent metastasis in the mesenteric lymph node of a free jejunal graft. Otolaryngol. Head Neck Surg. 2017, 89, 1045–1048. [Google Scholar]
- Matsui, Y.; Kamiyama, R.; Mitani, H.; Fukushima, H.; Sasaki, T.; Shimbashi, W.; Seto, A.; Ichikawa, K.; Tori, J.; Hihara, K.; et al. Three cases of recurrent metastasis in the mesenteric lymph node of free jejunal grafts. J. Jpn. Soc. Head Neck Surg. 2023, 33, 213–218. [Google Scholar] [CrossRef]
- Liu, Z.Q.; OuYang, P.Y.; Zhang, B.Y.; Chen, E.N.; Xiao, S.M.; Yang, S.S.; Yang, Z.Y.; Xie, F.Y. Role of postoperative chemoradiotherapy in head and neck cancer without positive margins or extracapsular extension: A propensity score-matching analysis. Radiat. Oncol. 2022, 17, 180. [Google Scholar] [CrossRef] [PubMed]
- Rockson, S.G. Lymphedema. Am. J. Med. 2001, 110, 288–295. [Google Scholar] [CrossRef] [PubMed]



| Characteristics | No (n = 51) | % | |
|---|---|---|---|
| Age | Median (range) | 73 (52–84) | |
| Sex | Male | 49 | 96.1 |
| Female | 2 | 3.9 | |
| Primary | Hypopharynx | 50 | 98 |
| - PW | 9 | 17.6 | |
| - PS | 39 | 76.5 | |
| - PC | 2 | 3.9 | |
| Larynx | 1 | 1.9 | |
| TNM classification (T) | T1 | 0 | 0 |
| T2 | 9 | 17.6 | |
| T3 | 15 | 29.4 | |
| T4 | 23 | 45.1 | |
| TNM classification (N) | N0 | 6 | 11.8 |
| N1 | 6 | 11.8 | |
| N2 | 22 | 43.1 | |
| N3 | 7 | 13.7 | |
| No (n = 51) | % | ||
|---|---|---|---|
| Jejunum | J2 | 6 | 11.8 |
| J3 | 23 | 45.1 | |
| J4 | 2 | 3.9 | |
| unknown | 20 | 39.2 | |
| Postoperative mesenteric lymph node swelling | + | 16 | 31.4 |
| − | 35 | 68.6 | |
| Mesenteric lymph node metastasis | + | 2 | 3.9 |
| − | 49 | 96.1 |
| Age | Sex | Primary | TNM | Jejunum | Lymphnode Size | Lymphnode Metastasis | Local Recurrence | |
|---|---|---|---|---|---|---|---|---|
| 1 | 76 | M | Larynx | rT4aN2c | J3 | 5.3 mm | ||
| 2 | 76 | M | Hypopharynx (PW) | T4aN2b | J3 | 6.0 mm | ||
| 3 | 78 | M | Hypopharynx (PS) | T3N0 | J3 | 7.0 mm | ||
| 4 | 77 | M | Hypopharynx (PS) | T2N3b | J3 | 6.0 mm | ||
| 5 | 73 | M | Hypopharynx (PW) | T3N2b | J3 | 7.0 mm | + | |
| 6 | 77 | M | Hypopharynx (PS) | T2N2c | J3 | 7.0 mm | ||
| 7 | 64 | M | Hypopharynx (PW) | T3N2c | J3 | 5.0 mm | ||
| 8 | 75 | M | Hypopharynx (PC) | T2N0 | J3 | 16.0 mm | + | + |
| 9 | 65 | M | Hypopharynx (PS) | T4aN0 | unknown | 5.0 mm | ||
| 10 | 66 | M | Hypopharynx (PS) | T4aN0 | J3 | 8.0 mm | ||
| 11 | 52 | F | Hypopharynx (PS) | T4aN2c | J2 | 13.0 mm | ||
| 12 | 68 | M | Hypopharynx (PS) | T3N1 | J3 | 10.1 mm | + | + |
| 13 | 65 | M | Hypopharynx (PS) | T3N1 | unknown | 7.5 mm | ||
| 14 | 60 | F | Hypopharynx (PC) | T4aN2c | J3 | 16.9 mm | ||
| 15 | 76 | M | Hypopharynx (PS) | rT4a | unknown | 10.5 mm | ||
| 16 | 54 | M | Hypopharynx (PW) | T4aN2c | unknown | 8.0 mm |
| Mesenteric Lymph Nodes (%) | Univariate Analysis | Multivariate Analysis | ||||||
|---|---|---|---|---|---|---|---|---|
| HR | 95% CI | p Value | HR | 95% CI | p Value | |||
| Age | <75 | 29.0% | 1.479 | 0.368–5.838 | p = 0.57 | 1.23 | 0.318–4.790 | p = 0.762 |
| 75≤ | 36.8% | |||||||
| T | T2 | 36.4% | 0.754 | 0.154–4.192 | p = 0.723 | 0.65 | 0.131–3.230 | p = 0.599 |
| T3–T4 | 30.0% | |||||||
| N | N0 | 38.5% | 0.657 | 0.147–3.148 | p = 0.73 | 1.46 | 0.322–6.693 | p = 0.622 |
| N1–N3 | 28.9% | |||||||
| ECE | + | 10.0% | 0.251 | 0.038–1.063 | p = 0.0429 * | 0.206 | 0.042–0.999 | p = 0.049 * |
| − | 41.9% | |||||||
| Reference No. | Author | Year | Primary | Free Flap | Local Recurrence | Lymphnode Size | PET-CT | Treatment | Outcome |
|---|---|---|---|---|---|---|---|---|---|
| [4] | Iinuma, R. | 2023 | hypopharynx | jejunum | + | 20 mm | FDG (+) | surgery | death |
| [5] | Ogawa, T. | 2010 | hypopharynx | jejunum | + | unknown | NE | surgery | survive (7 months) |
| [8] | Kitano, D. | 2023 | oropharynx | jejunum | − | unknown | NE | surgery | death |
| [9] | Suzuki, S. | 2004 | hypopharynx | jejunum | + | 20 mm | NE | surgery | Death |
| [10] | Yasuhara, K. | 2017 | esophagus | jejunum | + | unknown | NE | surgery | − |
| [11] | Matsui, Y. | 2023 | hypopharynx | jejunum | + | 13 mm | FDG (+) | surgery | survive (8 years) |
| hypopharynx | jejunum | + | 33 mm | FDG (+) | surgery | survive (5 years) | |||
| hypopharynx | jejunum | − | 19 mm | FDG (+) | surgery | survive (5 years) |
Disclaimer/Publisher’s Note: The statements, opinions and data contained in all publications are solely those of the individual author(s) and contributor(s) and not of MDPI and/or the editor(s). MDPI and/or the editor(s) disclaim responsibility for any injury to people or property resulting from any ideas, methods, instructions or products referred to in the content. |
© 2025 by the authors. Licensee MDPI, Basel, Switzerland. This article is an open access article distributed under the terms and conditions of the Creative Commons Attribution (CC BY) license (https://creativecommons.org/licenses/by/4.0/).
Share and Cite
Asahi, Y.; Yamada, T.; Kuroki, M.; Sato, Y.; Tanaka, Y.; Matsubara, M.; Akita, S.; Kato, R.; Iinuma, R.; Kawaura, R.; et al. Transplanted Mesenteric Lymph Node Metastasis After Free Jejunal Reconstruction in Head and Neck Cancer. Lymphatics 2025, 3, 29. https://doi.org/10.3390/lymphatics3040029
Asahi Y, Yamada T, Kuroki M, Sato Y, Tanaka Y, Matsubara M, Akita S, Kato R, Iinuma R, Kawaura R, et al. Transplanted Mesenteric Lymph Node Metastasis After Free Jejunal Reconstruction in Head and Neck Cancer. Lymphatics. 2025; 3(4):29. https://doi.org/10.3390/lymphatics3040029
Chicago/Turabian StyleAsahi, Yuki, Tatsuhiko Yamada, Masashi Kuroki, Yuta Sato, Yoshihiro Tanaka, Manato Matsubara, Saki Akita, Rina Kato, Ryota Iinuma, Ryo Kawaura, and et al. 2025. "Transplanted Mesenteric Lymph Node Metastasis After Free Jejunal Reconstruction in Head and Neck Cancer" Lymphatics 3, no. 4: 29. https://doi.org/10.3390/lymphatics3040029
APA StyleAsahi, Y., Yamada, T., Kuroki, M., Sato, Y., Tanaka, Y., Matsubara, M., Akita, S., Kato, R., Iinuma, R., Kawaura, R., Okuda, H., Terazawa, K., Mori, K., Shibata, H., Ueda, N., Kohyama, K., Kato, H., & Ogawa, T. (2025). Transplanted Mesenteric Lymph Node Metastasis After Free Jejunal Reconstruction in Head and Neck Cancer. Lymphatics, 3(4), 29. https://doi.org/10.3390/lymphatics3040029

