- Article
Committing to the Truth: The Case of Disjunction
- Niccolò Rossi
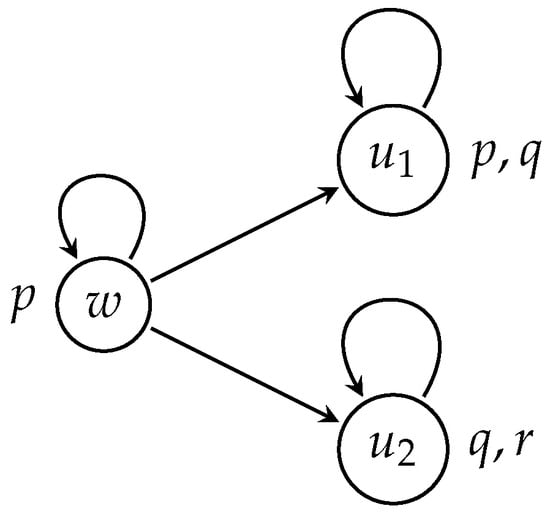
If one believes that 2+2=4, then one also believes that either 2+2=4 or 971 is a cousin prime number. This follows from doxastic logics based on standard Kripke relational semantics, which validate disjunction introduction for belief. However, this p...

