Abstract
In an experimental investigation, we looked into how different zinc (Zn) and boron (B) dosages affected the production and the amount of oil in mustard. Zn and B treatments, respectively, were separated into four levels: 0, 1, 2, 4, and 0, 0.4, 0.6, and 0.8 kg per hectare. We observed considerable Zn as well as B effects on mustard yield and its oil content. The maximum (1.6 Ton per hectare) and minimum (1.3 T ha−1) seed output, the maximum (1.9 T ha−1) and minimum (1.5 T ha−1) stover production, the maximum (4.9) and minimum (3.99) number branches plant−1, and the longest (114.6 cm) and shortest (87.44 cm) plant height were observed from 4 kg of Zn ha−1 and 0 kg of Zn ha−1, respectively. On the other hand, we discovered that applying 0.8 kg and 0 kg of B ha−1, respectively, resulted in the highest (1.6 T ha−1) and lowest (1.3 T ha−1) seed yield, the highest (1.8 T ha−1) and lowest (1.5 T ha−1) stover yield, the maximum (4.75) and minimum (4.02) number of branches plant−1, and the longest (118.7 cm) and shortest (85.15 cm) plant heights. The maximum seed (1.9 T ha−1) and stover output (2.0 T ha−1), tallest plant (140.9 cm), and most branches per plant−1 (5.47) were obtained when 4 kg of Zn ha−1 was given with 0.8 kg of B ha−1. However, while Zn and B were not applied, the lowest output for all of the crop attributes assessed was observed. As a result, for mustard, 4 kg of Zn ha−1 combined with 0.8 kg of B ha−1 may be advised as an effective approach in terms of seed yield and oil content.
1. Introduction
After soybean and groundnut, mustard (Brassica spp.) is the third most significant oil crop grown around the world [1]. In Bangladesh, mustard is in high demand as an element in cooking oil [2]. In addition to supplying a substantial amount of calories (approximately 9 kcal g−1), mustard is also a rich source of the fat-soluble vitamins A, D, E, and K. From a nutritional perspective, the average person’s diet should obtain between 15 and 20 percent of its calories from fats and oils. The main edible oil we use is mustard oil, which is found in seeds in a ratio of 40–45% oil to 20–25% protein [3]. Additionally, it is crucial for enhancing the flavor of a variety of foods and is a key raw material for a number of commercial applications, namely soap, paint, varnish, hair products, lubrication, textile fillers, pharmaceuticals, and more. The villagers also rub their bodies with the oil before taking a bath and burn the plant pieces as fuel [4,5]. There are several therapeutic applications of mustard oil. A considerable amount of vitamin D, which is needed for bone development, is produced in the body after it is applied to a baby or adult’s body after being exposed to the sun for about an hour [3,6].
Bangladesh’s total dietary oil consumption increased by 36% over the course of five years, from 2.22 million tons in 2015 to 3.03 million tons in 2020. In terms of both production (358,000 M-tons) and acreage (764,000 acres), mustard tops the list of oilseed crops farmed in this country (764,000 acres). From BDT (Bangladeshi Taka; USD 1 = BDT 104.67, As per 10 February 2023) 2.42 million in 2006 to BDT 54.54 million in 2020, the import cost of mustard oil has climbed dramatically. In fact, mustard alone takes up 80% of the entire area planted with oilseed crops [2]. However, it falls short of what the nation needs. As a result, a sizable sum of foreign currency is spent annually on the importation of edible oils. Due to competition from other food grain crops, mustard planting has been relocated to marginal croplands with low output. The consumption of edible oil is rising regularly as a result of the population’s increasing growth rate. Therefore, it is widely agreed that in order to meet the demand, the output of edible oil ought to be massively increased. However, the production of mustard is constrained for a number of reasons, the most notable of which are the need for suitable cultivars and also an optimum dose of micronutrients [7]. Despite there being a dearth of information on the efficient use of fertilizer inputs in mustard production in Bangladesh, zinc fertilizer is thought to really be vital in boosting its production [8]. Additionally, no prior studies have been thoroughly documented for the cultivation of mustard, with the exception of a few descriptive studies [9,10]. The growth and productivity of the mustard crop, on the other hand, depend on boron. In plants, it is absorbed as BO33− and is comparatively mobile. B is crucial for protein synthesis, pollen germination, seed and cell wall construction, and is also involved in glucose metabolism, according to Vitosh et al. [11]. As per Rehem et al. [12], B is essential for the delivery of both nutrients and water from the root to the shoot. They contend that a boron deficiency results in barren stalks, tiny, twisted ears, decreased seed output, reduced anther development, and eventually failed seed germination. Root system development, fruit setting, and seed formation are all aided by boron. Most amino acids increase as the B supply rises [13,14]. According to reports, applying zinc and boron to mustard results in a higher oil yield and oil content.
The larger oil content was a result of the production of more glucoside, which generates sulfur-rich amino acids such as cysteine and methionine, and the production of amino acids that ultimately enhances the amount of oil in the seeds [15,16,17]. Although plants do not need as much of them, micronutrients are just as crucial to plant nutrition as primary and secondary nutrients are. A high-yielding mustard crop depletes the soil’s nutritional content significantly, which the usage of NPK fertilizers cannot restore as they have lower micronutrient contents. In order to obtain balanced nutrition, micronutrient application is therefore necessary [17]. Most farmers in Bangladesh lack basic literacy skills and are unaware of the benefits of balanced fertilization for most crops, including mustard. They frequently apply B and Zn fertilizers in an unbalanced dose, and occasionally they completely disregard them. Many of them use mustard fertilizer at lower or higher amounts than what is advised; as a result of the inadequate fertilizer application, micronutrient deficits, specifically Zn and B, are increasing day by day. Because of this, we conducted a field study to determine the optimal Zn and B doses for growing mustard in agro-ecological zone-9. (AEZ-9, Old Brahmaputra Floodplain); in addition, Zn and B’s impacts on the seed production and oil content of mustard (cv. BARI Sarisha-14) were also assessed.
2. Materials and Methods
2.1. Experimental Location
The experiment was carried out at Bangladesh Agricultural University (BAU) in Mymensingh’s Agronomy Field Laboratory. Old Brahmaputra Floodplain, 24.75° N latitude, 90.50° E longitude, was the chosen region (AEZ-9). It is elevated 18 m above sea level and has a non-calcareous dark grey floodplain soil [18]. The field had a pH of 6.7, was flat, and had a well-drained surface.
2.2. Treatments and Design
The experiment included four levels, each of boron (0, 0.4, 0.6, and 0.8 kg B ha−1) and zinc (0, 1, 2, and 3 and 4 kg Zn ha−1). Three replications of the experiment were set up using a randomized complete block design (RCBD). Each plot was a size of 10 m2 (4.0 m × 2.5 m). Plots were spaced 50 cm apart from each other and 1.0 m apart from the replications.
2.3. Plant Material
BARI Sarisha-14, an early maturing cultivar, was selected for the study. It was developed by the Bangladesh Agriculture Research Institute (BARI) in 2006 by crossing Tori and Sonali Sarisha. BARI Sarisha-14 is easily cultivated after the aman rice season because of its short duration. It gives a yield of 1.4–1.6 T ha−1.
2.4. Crop Husbandry
The soil was initially cut with a tractor-drawn disc plough, then cross-plowed; later on, the soil tilth was brought to the desired level by employing the harrowing process. The leftovers of the formerly grown crop plants and weeds were properly eliminated. Following land preparation, the fields received 250, 170, 80, and 140 kg ha−1 of urea, triple super phosphate (TSP), muriate of potash (MoP), and gypsum, respectively. In order to apply Zn and B in accordance with the experimental requirements, zinc oxide (78% Zn) and boric acid (17% B) were used. The entire quantity of TSP, MoP, gypsum, zinc oxide, boric acid, and one-third of the urea were broadcasted at the end of field preparation before seeding. The rest amount of the urea was broadcasted into two equal doses at 20 and 55 days after sowing (DAS) the seeds using the top dressing method. The plots were seeded following the continuous line sowing method (row to row distance: 30 cm) at 7 kg ha−1. The seeds were then buried with soil, and laddering was performed to press the soil gently. Plant populations were maintained at 55–60 per square meter. Manual weeding was employed to remove the weed species, and the unit plots were carefully thinned to sustain the optimum plant density (55–60 m−2). An irrigation was applied only once after 30 DAS to keep enough moisture in the field. Malathion 57 EC at 2 ml L−1 of water was sprayed at the time as flowering, as the crop was infested with aphids.
2.5. Harvesting
The crop was harvested plot-wise when 90% siliqua were matured. Five plants from each plot were selected at random and were tagged for the data collection. The sample plants were uprooted prior to harvest and dried properly in the sun. After collecting sample plants, the harvested plants were tied into bundles carried to the threshing floor and then sun dried by spreading the bundles on the threshing floor. The seeds were separated from the stover by beating the bundles with bamboo sticks. After threshing and cleaning, the yields of seed and straw per plot were recorded, converted and expressed as Kg ha−1.
2.6. Determinations
Below is a list of the steps taken to determine the characters.
- Plant height: The plants’ height was estimated from the ground to the tips of the uppermost pods.
- Branches plant−1: Plant−1 was counted to see how many branches there were.
- Pods plant−1: Each plant’s number of pods was counted.
- Pod length: From an average of ten pods, each pod’s length was measured.
- Seeds pod−1: Five pods from each of the ten plants were separated, and the seeds from each pod were counted.
- Weight of 1000-seeds: A fine electric balance was used to weigh and count each plot’s thousand seeds.
- Seed yield: Each plot’s plants were threshed, and the yield was calculated using the seed weight as kg ha−1.
- Stover yield: The plants that produced grains were weighed. The stover weights were estimated by deducting the grain weight from the overall weight.
- Biological yield: The biological yield was the total of the grain yield and the stover yield.
- Harvest index: The harvest index (HI), which is reported as a percentage, was calculated by dividing the seed yield by the biological yield of the crop.
- Oil content: Using the Folch Method, the oil content was calculated [19]. The work was completed in the BAU’s Biochemistry and Molecular Biology Laboratory. This technique measured the oil content by weighing 1 g of seeds from each sample. Seeds were crushed in a mortar and pestle after being weighed, and the sample was then extracted using a methanol:chloroform solvent mixture (2:1). The extract was filtered, and the leftover material was then subjected to a second extraction using a 2:1 mixture of chloroform and methanol. After filtration, the two filtrate sections were combined in a beaker and evaporated until the entire mass was solvent-free. The exact weight of the lipid/oil content was determined, and the result was given in g/100 g.
2.7. Data Analysis
The acquired data were assembled, tabulated, and statistically analyzed using the correct forms. Using the SPSS statistical program (V. 16; SPSS Inc., Chicago, IL, USA), an ANOVA was performed and by using DMRT, mean differences were determined.
3. Results
3.1. Zn’s Impact on the Mustard Yield Components
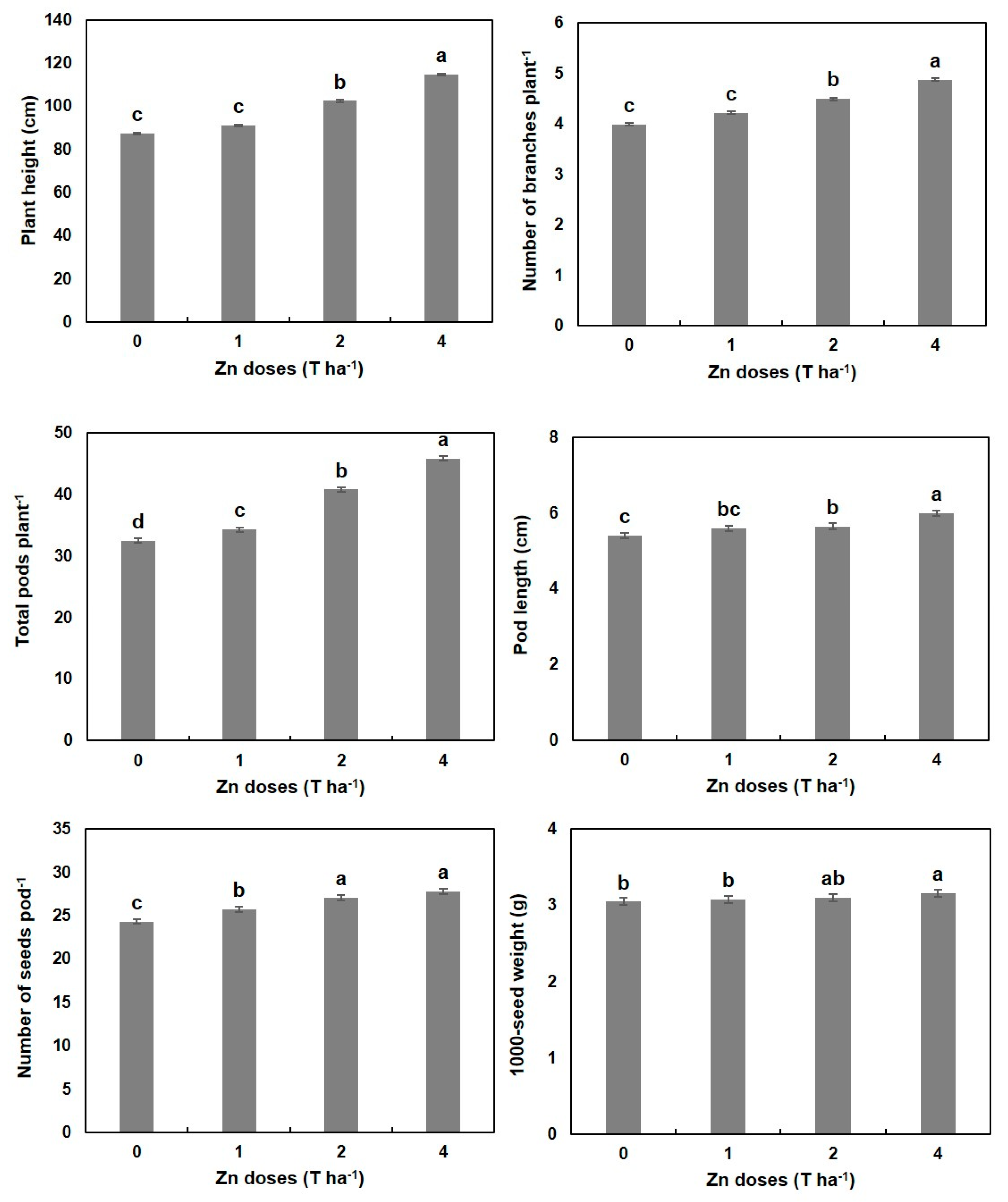
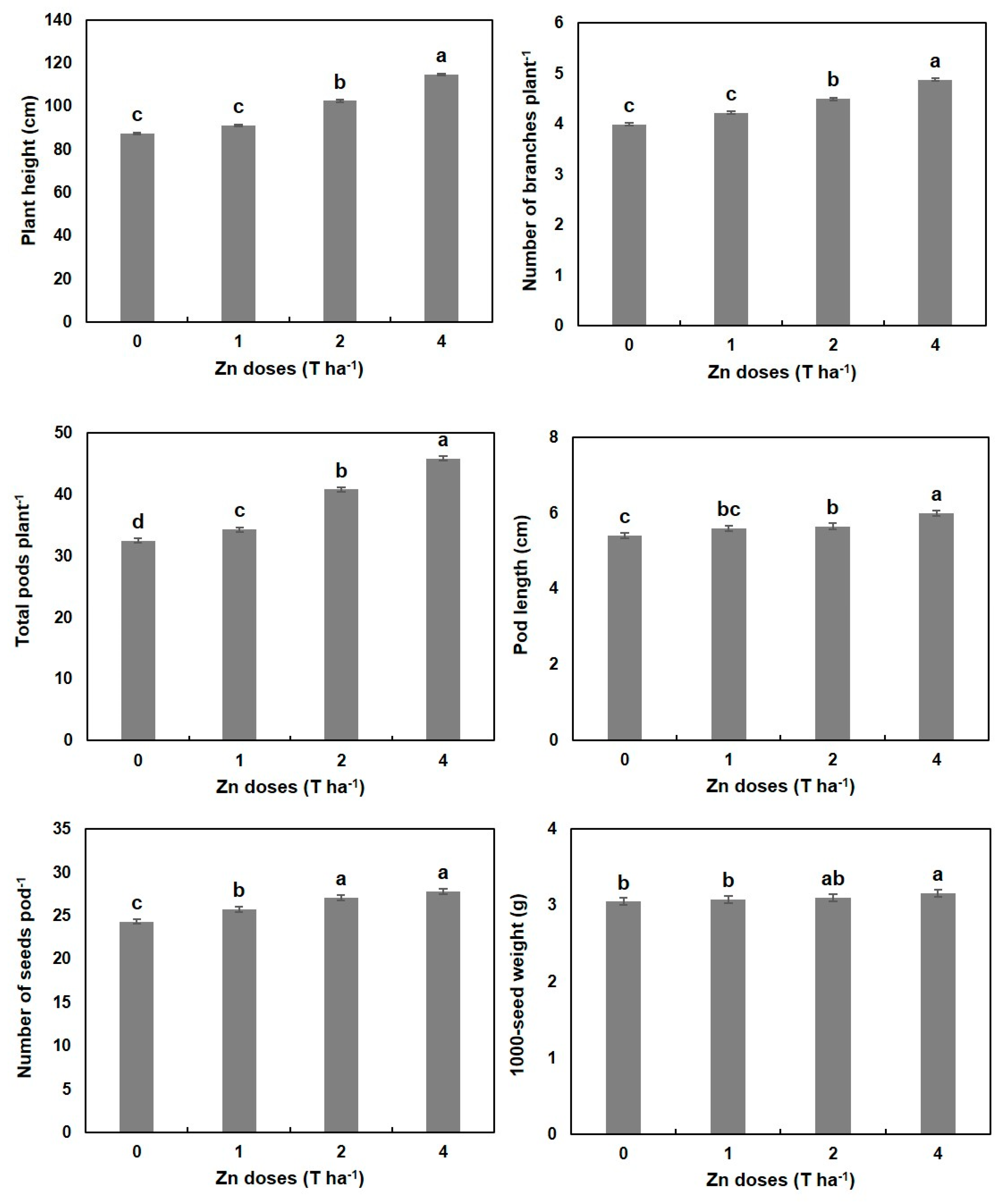
The Zn application had a substantial impact on the characteristics of mustard, which contributed to the yield (Figure 1). From 4 kg of Zn ha−1-treated plots, the tallest plant (114.6 cm), the most branches plant−1 (4.88), the most pods plant−1 (45.83), the longest pod length (6 cm), the most seeds pod−1 (27.82), and the maximum 1000-seed weight (3.16 g) were observed (Figure 1). On the opposite, 0 kg of Zn application resulted in the lowest number of branches (3.99) and pods (32.48) plant−1, the shortest plant (87.44 cm) and pod (5.40 cm) height, the least amount of seeds pod−1 (24.34), and the minimal 1000-seed weight (3.05 g). It was shown that as Zn dosages were raised, all yield-contributing indices increased as well (Figure 1).
Figure 1.
Zn’s impact on plant height, branches plant−1, pods plant−1, pod length, seeds pods−1 and 1000-seed weight of Mustard. Figures with same letter (s) do not differ significantly, whereas figures with dissimilar letters differ significantly as per DMRT.
3.2. Zn’s Impact on Seed and Stover Yield, Harvest Index of Mustard
While the Zn dose had no influence on the harvest index, it had a considerable impact on the mustard yield (Figure 2). The maximum seed yield (1.62 T ha−1) and stover yield (1.86 T ha−1) were observed in plots treated with 4 kg of Zn ha−1, whereas the seed yield (1.48 T ha−1) and stover yield (1.76 T ha−1) were obtained in plots treated with 2 kg of Zn ha−1. The control treatment, on the other hand, produced the lowest seed (1.26 T ha−1) and stover output (1.48 T ha−1) (Figure 2). The harvest index from the 4 kg of Zn ha−1 and 2 kg of Zn ha−1 -treated plots, respectively, was found to be the highest (46.55%) and lowest (45.68%) (Figure 2).
Figure 2.
Zn’s impact on Seed and Stover Yield, Harvest Index of Mustard. Figures with same letter (s) or without letter do not differ significantly, whereas figures with dissimilar letters differ significantly as per DMRT. NS = Not significant.
3.3. B’s Effect on Mustard Yield Components
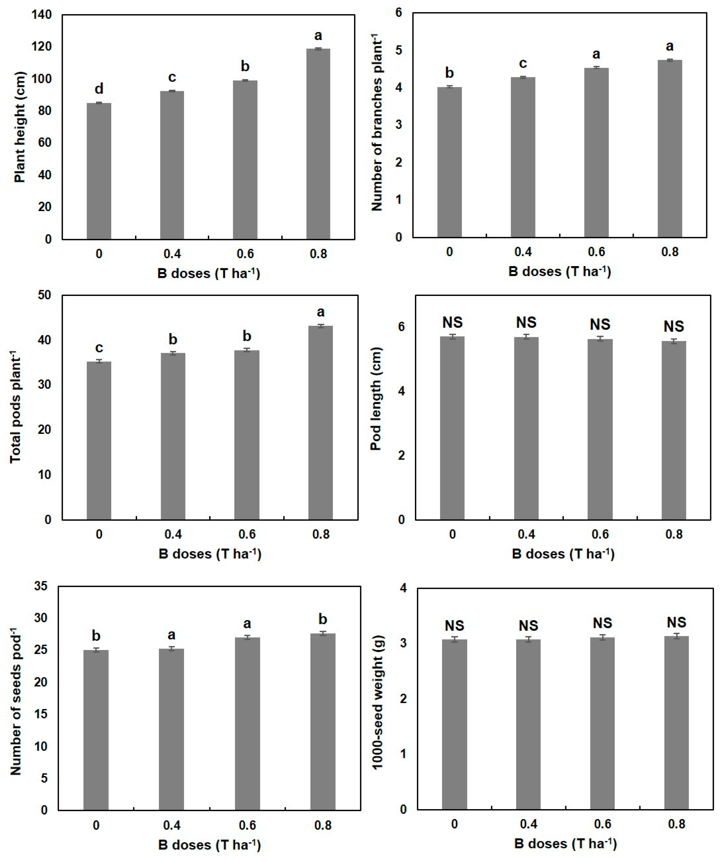
With the exception of the pod length and 1000-seed weight, the varying doses of B had an impact on the mustard crop and yield-contributing traits (Figure 3). The 0.8 kg of B ha−1 dose yielded the tallest plant (118.7 cm), and the control treatment produced the shortest (85.15 cm) (Figure 3). The plots that received 0.8 kg of B ha−1 treatment had the maximum numbers of branches plant−1 (4.74), total pods plant−1 (43.20), and seeds pod−1 (27.62). The number of branches plant−1 (4.02), pods plant−1 (35.31), and seeds pod−1 (25.09) found in the control (0 kg B ha−1) were the lowest. Boron was found to be non-significant for the pod length and 1000-seed weight (Figure 3).
Figure 3.
B’s impact on plant height, branches plant−1, pods plants−1, pod length, seeds pods−1 and 1000-seed weight of Mustard. Figures with same letter (s) or without letter do not differ significantly, whereas figures with dissimilar letters differ significantly as per DMRT. NS = Not significant.
3.4. B’s Impact on Seed and Stover Yield, Harvest Index of Mustard
The yield and the harvest index of mustard were influenced significantly by various B dosages (Figure 4). In plots treated with 0.8 kg of B ha−1, followed by 0.6 kg of B ha−1, the maximum seed (1.58 T ha−1) and stover yield (1.80 T ha−1) were attained. As opposed to that, the control boron treatment produced the lowest seed (1.31 T ha−1) and stover yield (1.52 T ha−1). The harvest index was highest (46.75%) for boron at 0.8 of kg ha−1 and lowest for the control (44.98%) treatment (Figure 4).
Figure 4.
B’s impact on Seed and Stover Yield and Harvest Index of Mustard. Figures with same letter (s) do not differ significantly, whereas figures with dissimilar letters differ significantly as per DMRT.
3.5. Oil Content
Figure 5 displays the results for how varying the Zn and B levels affects the oil content of mustard. In the case Zn, the maximum (44.24%) oil content was obtained by the Zn when applied at 4 kg ha−1, followed by 2 kg of Zn ha−1; the lowest (39.56%) was obtained in the control. For B, 0.8 kg of B ha−1 and 0 kg of B ha−1, respectively, had the highest (42.99%) and lowest (41.35%) oil contents (Figure 5).
Figure 5.
Zn and B’s Impact on Mustard Oil Content. Figures with same letter (s) do not differ significantly, whereas figures with dissimilar letters differ significantly as per DMRT.
3.6. Zn and B’s Interaction Effects on Mustard Yield Characteristics
The interaction of Zn and B had a considerable impact on the plant’s height (Table 1). The application of Zn at 4 kg ha−1 with B at 0.8 kg ha−1 produced the tallest plant (140.9 cm), whereas no Zn and B application produced the smallest plant (80.67 cm). With Zn at 4 kg ha−1 and B at 0.8 kg ha−1, the maximum numbers of branches plant−1 (5.47) and pods plant−1 (54.47) were observed. In contrast, the control treatment had the fewest plant−1 branches (3.07) and plant−1 pods (29.93). Statistically, non-significant results were found for the interaction’s impact on the pod length, number of seed pod−1, and 1000-seed weight (Table 1).
Table 1.
Zn and B’s interaction effects on mustard yield characteristics (cv. BARI sarisha-14).
3.7. Zn and B’s Interaction Effects on Seed and Stover Yield, Harvest Index and Oil Content of Mustard
The seed yield, stover output, and harvest index were all significantly impacted by the interaction between Zn and B levels (Table 2). The application of Zn at 4 kg ha−1 with B at 0.8 kg ha−1 resulted in the maximum seed yield (1.94 T ha−1), stover yield (2.04 T ha−1), and harvest index (48.76%). When Zn and B were not applied, the aforementioned parameters’ lowest results were observed. On the oil content of mustard, the interaction impact of Zn and B was not significant (Table 2).
Table 2.
Zn and B’s interaction effects on seed and stover yield, harvest index and oil content of Mustard (cv. BARI sarisha-14).
4. Discussion
The growth, yield, and oil content of the mustard plant were all influenced positively by the application of Zn. Plant enzymatic systems contain Zn, which is an essential element of great importance. In our study, with an increase in Zn, the plant’s height, branch count, pod count, pod length, seed count, and weight of 1000-seeds all gradually increased. This could be as a result of increased Zn availability and uptake, which gradually enhanced the plant’s growth. The development of more pods was fostered by the higher Zn dose. These results concur with those of [20], who claimed that varying the fertilizer dose levels has a substantial impact on plant growth and development. The highest seed output of 4 kg ha−1 was primarily produced by the highest number of total pods plant−1, seeds pod−1, and 1000-seed weight. The maximum stover production may be a result of Zn’s propensity to favor vegetative development. This outcome is consistent with what [21,22] discovered.
On the other hand, the growth, yield, and yield-contributing characteristics of mustard increased as B levels rose. This may be caused by an increase in the boron availability and absorption after boron was added to deficient soil. The yield may have increased due to the increased absorption. An increased boron uptake as a result of boron treatment has been noted in several studies [23,24]. The highest seed output was attained in 0.8 kg of B ha−1 as a result of an increase in the number of branches plant−1 and total pods plant−1. The authors [25,26,27] reported similar outcomes. The tallest plant, the most branches plant−1, and the most mustard fruit walls all contributed to the maximum stover production, which was attained at 0.8 kg of B ha−1. The rise in oil content may be attributable to B’s beneficial effects on the biosynthesis of fatty acids and oil [23,28,29,30]. According to the interaction treatments, the combination of 4 kg of Zn and 0.8 kg of B produced the maximum yield, with the control treatment showing the lowest performance in terms of yield. The combination of 4 kg of Zn and 0.8 kg of B per hectare yielded the highest harvest index. The combination of Zn and B, as well as the increased biological yield and seed yield, may be due to this cause. While both Zn and B individually had a considerable impact on the oil content of mustard, their interaction showed no such impact. Numerically, the combination of 4 kg of Zn and 0.8 kg of B per hectare yielded the highest oil content in terms of numbers. A higher oil yield and oil content were also reported by Bhat et al. [15] and Muhammad et al. [16] with the use of zinc and boron in mustard [31,32,33]; this was reported as a beneficial impact of supplemental nutrients on mustard’s growth and yield traits. It is possible that having enough Zn will change how plants acquire and use B. An adequate supply of Zn helps to mitigate the negative impacts of having insufficient B. The outcome in this case is consistent with studies from [34,35], who observed higher dry matter production with the application of Zn and B compared to the control. Due to the poor status of accessible B and Zn in soils, the significant response of additional B and Zn may be attributed to this. The increased seed and stalk output of mustard were the result of the applied B’s stimulating effect on chlorophyll synthesis, higher photosynthesis efficiency, and seed vigor. These findings concur with those of prior researchers who reported on the response of B and Zn [36,37,38,39].
5. Conclusions
The production of mustard (BARI sarisha-14) was significantly influenced by the use of Zn and B. In the case of interactions, the highest seed and stover yields were achieved from 4 kg of Zn ha−1 with 0.8 kg of B ha−1, which also produced the tallest plant and the most branches plant−1. Contrarily, the control treatment displayed the lowest value for every character that affected yield and oil content, with the exception of the number of branches plant−1. For AEZ-9, with the application of 4 kg of Zn and 0.8 kg of B ha−1, mustard can be effectively grown to yield its maximum, as shown by the current study. Further research is advised in order to cultivate mustard with the optimum Zn and B doses in another AEZ.
Author Contributions
Conceptualization, A.H., S.K.P. and M.A.R.S.; methodology, A.H., S.K.P. and M.A.R.S.; software, A.H., S.K.P. and M.A.R.S.; validation, A.H., S.K.P. and M.A.R.S.; formal analysis, S.K.P., M.S.I. and M.A.R.S.; investigation, A.H., S.K.P. and M.A.R.S.; resources, S.K.P.; data curation, S.K.P. and M.A.R.S.; writing—original draft preparation, S.K.P., A.H. and M.S.I.; writing—review and editing, M.H.R., S.P., M.L.M. and A.K.M.M.I.; visualization, S.K.P. and M.S.I.; supervision, S.K.P. and M.A.R.S.; project administration, S.K.P. and M.A.R.S.; funding acquisition, S.K.P., M.A.R.S. and A.K.M.M.I. All authors have read and agreed to the published version of the manuscript.
Funding
This research received no external funding.
Institutional Review Board Statement
Not applicable.
Informed Consent Statement
Not applicable.
Data Availability Statement
Not applicable.
Conflicts of Interest
The authors declare no conflict of interest.
References
- FAO (Food and Agriculture Organization). Statistical Year Book; MO. UN: Italy, Rome, 2019; pp. 1–366. [Google Scholar]
- BBS (Bangladesh Bureau of Statistics). Statistical Year Yearbook Bangladesh; Bureau of Statistics Division, Ministry of Planning Government of People’s Republic of Bangladesh: Dhaka, Bangladesh, 2020; p. 148. [Google Scholar]
- Hamjah, M.A. Climatic Effects on Major Oilseed Crops Production in Bangladesh: An Application of Multiple Regression Model. J. Econ. Sustain. Dev. 2014, 5, 45–59. [Google Scholar]
- Mallik, M.S.A. Quality Seed Production of Oilseed Crops: An Overview. Paper Presented in the Workshop on ‘Modern Techniques for Quality Seed Production of Oilseed Crops’; Bangladesh Agricultural Research Institute: Gazipur, Bangladesh, 2013. [Google Scholar]
- Miah, M.A.M.; Mondal, M.R.I. Oilseed Sectors of Bangladesh: Challenges and Opportunities. SAARC J. Agric. 2017, 15, 161–172. [Google Scholar] [CrossRef]
- Miah, M.A.M.; Rashid, M.A. Profitability and Comparative Advantage of Oilseed Production in Bangladesh. Bangladesh Dev. Stud. 2015, 38, 35–54. [Google Scholar]
- Dutta, A. Impact of Improved Technologies on Productivity and Profitability of Rapeseed-Mustard Production at Farm Level in West Bengal, India. SAARC J. Agric. 2016, 14, 126–136. [Google Scholar] [CrossRef]
- Huq, A.S.M.A.; Zahan, W.A.; Zaman, M.M.; Kadir, M.M. Technological Efficiency of Mustard Production in Jamalpur District. J. Sher-E Bangla Agric. Univ. 2007, 1, 39–47. [Google Scholar]
- Wissuwa, M.; Ismail, A.M.; Graham, R.D. Rice grain zinc concentrations as affected by genotype, native soil-zinc availability and zinc fertilization. J. Plant Soil Res. 2008, 306, 37–48. [Google Scholar] [CrossRef]
- Ghoneim, A.M. Effect of Different Methods of Zn Application on Rice Growth, Yield and Nutrients Dynamics in Plant and Soil. J. Agric. Ecol. Res. Int. 2016, 6, 1–9. [Google Scholar] [CrossRef]
- Vitosh, M.L.; Warneke, D.D.; Lucas, R.E. Department of Crop and Soil Science; Mishigan State University Extension, Soil and Management Fertilizer. 1997. Available online: htpp://www.Msue.msu.edv (accessed on 5 December 2022.).
- Rehem, G.W.; Fendter, W.E.; Overdahi, C.J. Boron for Minnesota Soils; University of Minnesota Extension Service: St Paul, MN, USA, 1998; pp. 28–30. [Google Scholar]
- Iqtidar, A.; Rehman, S.F. Effect of boron on the protein and amino acid composition of wheat grain. J. Agric. Sci. 1984, 103, 75–80. [Google Scholar] [CrossRef]
- Gupta, J.P.; Pradcep, W.; Gupta, S.C.; Bediand, A.S.; Khannya, Y.P. Response of rapeseed mustard to zinic, boron and sulphur. Ann. Agric. Bio. Res. 1998, 1, 25–28. [Google Scholar]
- Bhat, M.A.; Singh, R.; Kahli, A. Effect of integrated use of farm yard manure and fertilizer nitrogen with and without sulphur on yield and quality of Indian mustard (Brassica juncea L.). J. Indian Soc. Soil Sci. 2007, 55, 224–226. [Google Scholar]
- Muhammad, T.; Sharjeel, A.; Muhammad, I. Effect of foliar application of boron on yield and quality of sunflower (Helianthus annuus L.). Crop Environ. 2013, 4, 23–27. [Google Scholar]
- Nadaf, S.; Chandranath, H.T. Effect of zinc and boron on nutrient uptake, yield and quality of mustard under rainfed condition. Int. J. Curr. Microbiol. Appl. Sci. 2019, 8, 2490–2495. [Google Scholar] [CrossRef]
- UNDP; FAO. Land Resources Appraisal of Bangladesh for Agricultural Development, Report-2. Agro-Ecological Regions of Bangladesh; BARC/UNDP: Dhaka, Bangladesh, 1988; pp. 212–221. [Google Scholar]
- Folch, J.; Lees, M.; Sloane Stanley, G.H. A simple method for the isolation and purification of total lipides from animal tissues. J. Biol. Chem. 1957, 226, 497–509. [Google Scholar] [CrossRef] [PubMed]
- Sultana, R.; Paul, S.K.; Sarkar, M.A.R.; Sarkar, S.K. Response of Sulphur and Zinc Nutrition to The Seed Yield and Oil Content of Mustard (Cv. Bari Sarisha-14). Trop. Agrobiodivers. (TRAB) 2020, 1, 52–56. [Google Scholar] [CrossRef]
- Gaffer, M.A.; Razzaque, A.H.M. Response of mustard to different levels of N, P, K, [nitrogen phosphorus, potassium] fertilizers under two methods of seeding. In Proceedings of the 8th Bangladesh Science Conference, BAAS, Dhaka, Bangladesh, 5–9 February 1983; Bangladesh Association for the Advancement of Science: Dhaka, Bangladesh, 1983; p. 20. [Google Scholar]
- Asaduzzarnan, S.M.; Shamsuddin, A.M. Effect of nitrogen on yield and yield components of mustard (var. SS-75) under different levels of irrigation. In Proceedings of the Bangladesh Society of Agronomy Annual Conference, Joydebpur, Bangladesh, 18–19 January 1986; pp. 4–5. [Google Scholar]
- Cutcliffe, J.A.; Gupta, U.C. Effect of added N, P and K on leaf tissue B concentration and uptake of three vegetable crops. Can. J. Plant Sci. 1980, 60, 571–576. [Google Scholar] [CrossRef]
- Singh, V.; Dixit, H.C. Response of cauliflower to boron and iron application. Fertiliser News. 1994, 39, 25–26. [Google Scholar]
- Malewar, G.V.; Kate, S.D.; Waiker, S.L.; Ismail, S. Interaction effect of zinc and boron on yield, nutrient uptake and quality of mustard (Brassica juncea L.) on a Typic Haplustert. J. Indian Soc. Soil Sci. 2001, 49, 763–765. [Google Scholar]
- Hossain, M.N.; Hossain, M.M.; Yesmin, S. Effect of nitrogen and boron on nutrients and protein content in seeds of mustard. Int. J. Sustain. Agric. Technol. 2012, 8, 1–5. [Google Scholar]
- Mathew, J.; George, S. Synergistic-influence of sulphur and boron on enhancing the productivity of sesame (Sesamum indicum L.) grown in an Entisol of Kerala. J. Indian Soc. Soil Sci. 2013, 61, 122–127. [Google Scholar]
- Mandal, M.; Das, D.K. Effect of boron on yield and physiological properties in rape (Brassica campestris). Indian J. Agric. Sci. 2014, 84, 702–706. [Google Scholar]
- Jaiswal, A.D.; Singh, S.K.; Singh, Y.K.; Singh, S.; Yadav, S.N. Effect of sulphur and boron on yield and quality of mustard (Brassica juncea L.) grown on Vindhyan red soil. J. Indian Soc. Soil Sci. 2015, 63, 362–364. [Google Scholar] [CrossRef]
- Mallick, R.B.; Raj, A. Influence of phosphorus, sulphur and boron on growth, yield, nutrient uptake and economics of rapeseed (Brassica campestris L. var. yellow sarson). Int. J. Plant Anim. Environ. Sci. 2015, 5, 22–27. [Google Scholar]
- Mandal, K.G.; Sinha, A.C. Nutrient management effects on light interception, photosynthesis, growth, dry-matter production and yield of Indian mustard (Brassica juncea). J. Agron. Crop Sci. 2004, 190, 119–129. [Google Scholar] [CrossRef]
- Rana, K.S.; Rana, D.S.; Gautam, R.C. Influence of phosphorus, sulphur and boron on growth, yield, nutrient uptake and economics of Indian mustard (Brassica juncea) under rainfed conditions. Indian J. Agron. 2005, 50, 314–316. [Google Scholar]
- Kumar, R.; Kumar, A.; Kumar, A.; Bharati, A.K.; Kumar, S. Impact of integrated nutrient management on growth, seed yield and quality of mustard (Brassica juncea L.). J. Pharmacogn. Phytochem. 2019, 8, 2265–2267. [Google Scholar]
- Grewal, H.S.; Graham, R.D.; James, S. Zincboron interaction effects in oilseed rape (Brassica napus). In Management of Boron and Zinc in Oilseed Crops in China; Bell, R.M., Yang, Y., Graham, R.D., Xie, Z.C., Eds.; Murdoch University: Murdoch, Australia, 1999; pp. 49–59. [Google Scholar]
- Turan, M.A.; Taban, S.; Kayin, G.B.; Taban, N. Effect of boron application on calcium and boron concentrations in cell wall of durum (T riticum durum) and bread (T riticum aestivum) wheat. J. Plant Nutr. 2018, 41, 1351–1357. [Google Scholar] [CrossRef]
- Sharma, U.C.; Gangwar, M.S.; Srivastava, P.C. Effect of zinc and sulphur on nutrient uptake and yield of mustard. J. Ind. Soc. Soil Sci. 1990, 38, 696–701. [Google Scholar]
- Choudhary, T.S.D.; Vaidya, C.S.; Shekher, A.C. Effect of graded doses of phosphours and sulphur on the growth, yield and oil content of groundnut. J. Maharashtra Agril. Univ. 1991, 16, 133–134. [Google Scholar]
- Brown, P.H.; Cakmak, I.; Zhang, Q. Form and function of Zn in plants. In Zinc in Soils and Plants; Robson, A.D., Ed.; Kluwer Academic Publishers: Dordrecht, The Netherlands, 1993; pp. 93–106. [Google Scholar]
- Karthikeyan, K.; Shukla, L.M. Effect of boron-sulphur interaction on their uptake and quality parameters of mustard (Brassica juncea L.) and sunflower (Helianthus annuus L.). J. Ind. Soc. Soil Sci. 2007, 56, 225–230. [Google Scholar]
Disclaimer/Publisher’s Note: The statements, opinions and data contained in all publications are solely those of the individual author(s) and contributor(s) and not of MDPI and/or the editor(s). MDPI and/or the editor(s) disclaim responsibility for any injury to people or property resulting from any ideas, methods, instructions or products referred to in the content. |
© 2023 by the authors. Licensee MDPI, Basel, Switzerland. This article is an open access article distributed under the terms and conditions of the Creative Commons Attribution (CC BY) license (https://creativecommons.org/licenses/by/4.0/).




