Estimating Sodium Intake and Its Sources in Burkina Faso and Senegal: A Multi-Method Dietary Assessment Validated Against Urinary Sodium Excretion
Abstract
1. Introduction
2. Materials and Methods
2.1. Survey Design and Participants
2.2. Dietary Assessment
2.3. Procedures
2.4. Data Management and Statistical Analysis
- Individual sodium intake from small-quantity foods using the household purchasing/AME method: For the small-quantity foods, we calculated the estimated intake from discretionary salt (DS) and from other small commodities (OSC) separately:
- Crude individual sodium intake from discretionary salt (DS crude): We first corrected the quantity and duration of salt use at the household level. For salt purchased in sachets smaller than 1 kg, the reported price was considered more reliable than the reported weight. Therefore, we adjusted the weight using a regression based on data obtained by weighing all selling units and recording their price in one urban and one rural EA per stratum. When such data were limited, the regression coefficient was calculated after visually identifying and excluding obvious outliers from the price vs. weight scatter plot for purchases under 1 kg. Using purchased salt quantities and duration of use, we identified duration outliers through visual inspection of the quantity vs. duration plot and corrected duration using the regression coefficient. Crude household daily salt intake was then calculated by dividing the purchased salt quantity by the duration of use, with extreme values replaced by the 2.5th and the 97.5th percentiles. Using the AME method [21], we derived individual daily salt intake (g), which was then converted to sodium intake (g/day) using a factor of 0.3876.
- Corrected individual sodium intake from discretionary salt (DS corrected): Crude household daily salt consumption was further adjusted for salt used for non-dietary purposes (e.g., animal feeding, washing chickens, sharing with others) to derive corrected household salt intake. The AME method was then applied, taking into account the individual out-of-house eating rate, to calculate corrected individual daily sodium intake (g/day) from discretionary salt.
- Individual sodium intake from other small commodity (OSC) foods (bouillon, seasoning sauce, and mustard) used at the household: Individual daily consumption of each OSC item (calculated using the same approach as for DS crude and DS corrected) was multiplied by its typical sodium content (bouillon 221.0 mg/g, seasoning sauce 3.7 mg/g, soy sauce 54.9 mg/g, mustard 11.0 mg/g) and summed to estimate total individual sodium intake from other small-quantity foods consumed at the household level. Extreme values were replaced by the 2.5th and the 97.5th percentiles.
- Individual sodium intake from large-quantity foods (LQF) assessed using a single 24 h recall: Daily consumption of each reported food item was multiplied by its sodium content. The resulting value was adjusted for the individual’s in-house consumption frequency to account for days when the participant did not consume meals at home. Sodium intake from all reported large-quantity foods was then summed to calculate total daily sodium consumption from these foods consumed within the household.
- Individual sodium intake from out-of-house composite dishes (CD) assessed using a food frequency questionnaire: Weekly consumption of each reported composite meal was multiplied by its sodium content. The estimate was further adjusted based on the individual’s frequency of eating out-of-house, and the weekly total was divided by seven to derive an average daily sodium intake from out-of-house composite dishes. Daily sodium intake from all reported composite meals was summed to estimate total daily sodium consumption from meals consumed outside the household.
3. Results
3.1. Main Characteristics and Household Salt Purchasing Patterns
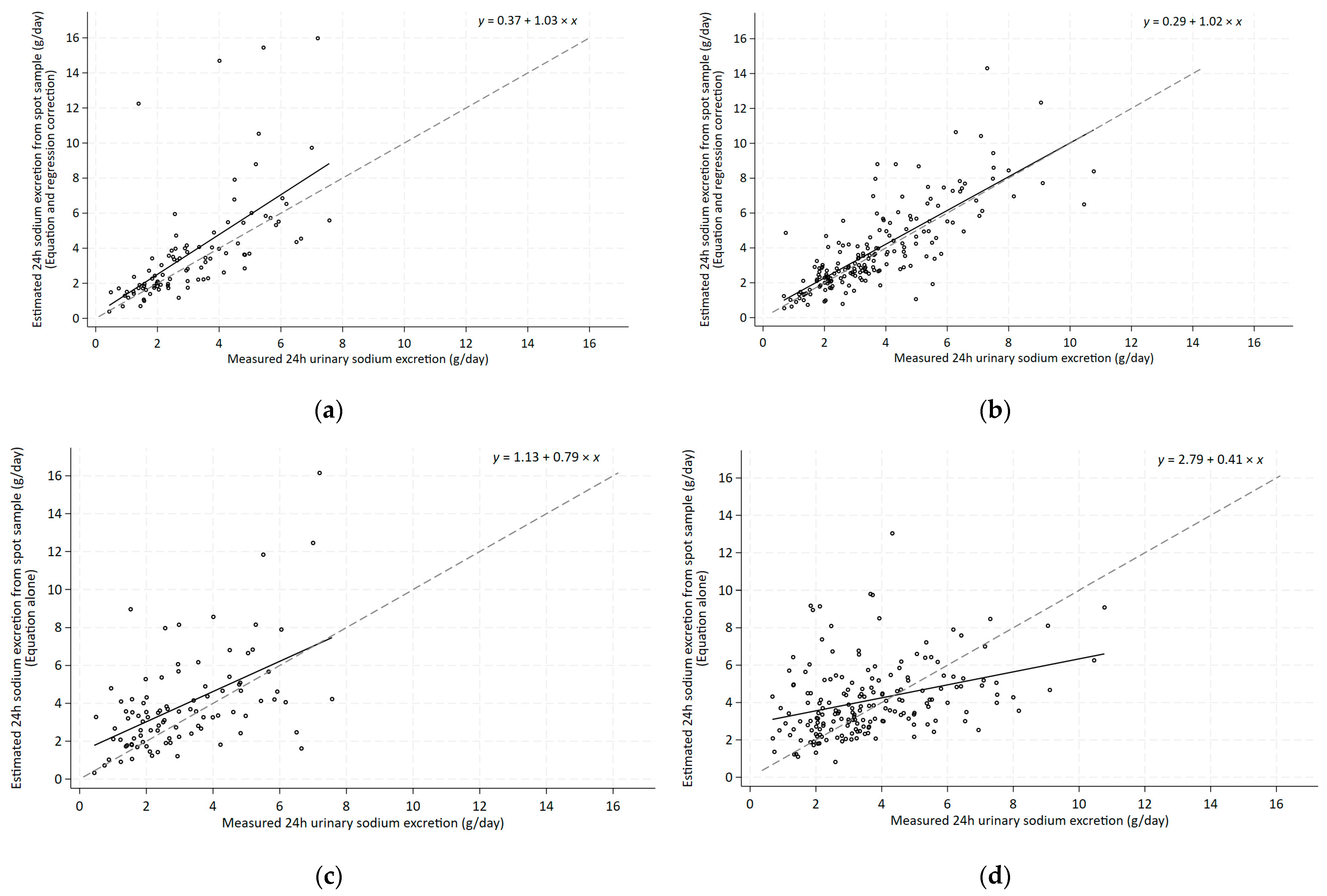
3.2. Comparison of Dietary Sodium Intake Estimates Using Different Dietary Intake Methods and Combinations Thereof with Urinary Sodium Excretion
3.3. Contribution of Dietary Sodium from Various Dietary Sources in Non-Pregnant Women and Men in Burkina Faso and Senegal
3.4. Urinary Sodium Excretion to Estimate Total Sodium Intake
4. Discussion
5. Conclusions
Supplementary Materials
Author Contributions
Funding
Institutional Review Board Statement
Informed Consent Statement
Data Availability Statement
Acknowledgments
Conflicts of Interest
Abbreviations
| AME | Adult male equivalent |
| CD | Composite dishes |
| Cr | Creatinine |
| DS | Discretionary salt |
| DSI | Dietary sodium intake |
| EA | Enumeration area |
| FFQ | Food frequency questionnaire |
| LMIC | Low- and middle-income countries |
| LQF | Large-quantity foods |
| NCD | Non-communicable disease |
| OSC | Other small commodities |
| SSIS | Salt and sodium intake survey |
| WHO | World Health Organization |
| eUSE | Estimated urinary sodium excretion (from a spot sample with country-specific regression correction against full 24 h urine collections in a sub-sample) |
| USE | Urinary sodium excretion |
References
- World Health Organization. Noncommunicable Diseases. Available online: https://www.who.int/news-room/fact-sheets/detail/noncommunicable-diseases (accessed on 24 August 2023).
- Kong, F.; Liu, Q.; Zhou, Q.; Xiao, P.; Bai, Y.; Wu, T.; Xia, L. Dietary Salt Intake and Cardiovascular Outcomes: An Umbrella Review of Meta-Analyses and Dose-Response Evidence. Ann. Med. 2025, 57, 2582065. [Google Scholar] [CrossRef] [PubMed]
- Schutte, A.E.; Srinivasapura Venkateshmurthy, N.; Mohan, S.; Prabhakaran, D. Hypertension in Low- and Middle-Income Countries. Circ. Res. 2021, 128, 808–826. [Google Scholar] [CrossRef]
- Zhou, B.; Carrillo-Larco, R.M.; Danaei, G.; Riley, L.M.; Paciorek, C.J.; Stevens, G.A.; Gregg, E.W.; Bennett, J.E.; Solomon, B.; Singleton, R.K.; et al. Worldwide Trends in Hypertension Prevalence and Progress in Treatment and Control from 1990 to 2019: A Pooled Analysis of 1201 Population-Representative Studies with 104 Million Participants. Lancet 2021, 398, 957–980. [Google Scholar] [CrossRef]
- Macia, E.; Gueye, L.; Duboz, P. Hypertension and Obesity in Dakar, Senegal. PLoS ONE 2016, 11, e0161544. [Google Scholar] [CrossRef]
- Soubeiga, J.K.; Millogo, T.; Bicaba, B.W.; Doulougou, B.; Kouanda, S. Prevalence and Factors Associated with Hypertension in Burkina Faso: A Countrywide Cross-Sectional Study. BMC Public Health 2017, 17, 64. [Google Scholar] [CrossRef]
- World Health Organization. Guideline: Sodium Intake for Adults and Children. Available online: https://www.who.int/publications/i/item/9789241504836 (accessed on 26 November 2025).
- Oyebode, O.; Oti, S.; Chen, Y.; Lilford, R.J. Salt Intakes in Sub-Saharan Africa: A Systematic Review and Meta-Regression. Popul. Health Metr. 2016, 14, 1. [Google Scholar] [CrossRef]
- Perin, M.S.; Gallani, M.C.B.J.; Andrechuk, C.R.S.; São-João, T.M.; Rhéaume, C.; Cornélio, M.E. What Methods Have Been Used to Estimate Salt Intake? A Systematic Review. Int. J. Food Sci. Nutr. 2020, 71, 22–35. [Google Scholar] [CrossRef] [PubMed]
- Huang, L.; Crino, M.; Wu, J.H.Y.; Woodward, M.; Barzi, F.; Land, M.A.; McLean, R.; Webster, J.; Enkhtungalag, B.; Neal, B. Mean Population Salt Intake Estimated from 24-h Urine Samples and Spot Urine Samples: A Systematic Review and Meta-Analysis. Int. J. Epidemiol. 2016, 45, 239–250. [Google Scholar] [CrossRef]
- Esche, J.; Thamm, M.; Remer, T. Contribution of Iodized Salt to Total Iodine and Total Salt Intake in Germany. Eur. J. Nutr. 2020, 59, 3163–3169. [Google Scholar] [CrossRef] [PubMed]
- Menyanu, E.; Russell, J.; Charlton, K. Dietary Sources of Salt in Low- and Middle-Income Countries: A Systematic Literature Review. Int. J. Environ. Res. Public Health 2019, 16, 2082. [Google Scholar] [CrossRef]
- Melse-Boonstra, A.; Rozendaal, M.; Rexwinkel, H.; Gerichhausen, M.J.; van den Briel, T.; Bulux, J.; Solomons, N.W.; West, C.E. Determination of Discretionary Salt Intake in Rural Guatemala and Benin to Determine the Iodine Fortification of Salt Required to Control Iodine Deficiency Disorders: Studies Using Lithium-Labeled Salt. Am. J. Clin. Nutr. 1998, 68, 636–641. [Google Scholar] [CrossRef]
- McLean, R.M. Measuring Population Sodium Intake: A Review of Methods. Nutrients 2014, 6, 4651–4662. [Google Scholar] [CrossRef] [PubMed]
- Rhodes, D.G.; Murayi, T.; Clemens, J.C.; Baer, D.J.; Sebastian, R.S.; Moshfegh, A.J. The USDA Automated Multiple-Pass Method Accurately Assesses Population Sodium Intakes. Am. Clin. Nutr. 2013, 97, 958–964. [Google Scholar] [CrossRef] [PubMed]
- Day, N.E.; McKeown, N.; Wong, M.-Y.; Welch, A.; Bingham, S. Epidemiological Assessment of Diet: A Comparison of a 7-Day Diary with a Food Frequency Questionnaire Using Urinary Markers of Nitrogen, Potassium and Sodium. Int. J. Epidemiol. 2001, 30, 309–317. [Google Scholar] [CrossRef]
- Zhang, L.; Zhao, F.; Zhang, P.; Gao, J.; Liu, C.; He, F.J.; Lin, C.-P. A Pilot Study to Validate a Standardized One-Week Salt Estimation Method Evaluating Salt Intake and Its Sources for Family Members in China. Nutrients 2015, 7, 751–763. [Google Scholar] [CrossRef]
- Agbemafle, I.; Woldeyohannes, M.; Tessema, M.; Fereja, M.; Arnold, C.D.; Banjaw, B.T.; Hussen, A.; Kebebe, T.; Goh, Y.E.; Arabi, M.; et al. Assessment of Women’s Discretionary Salt Intake and Household Salt Utilization in Preparation for a Salt Fortification Trial in Oromia Region, Ethiopia. Matern. Child Nutr. 2024, 21, e13768. [Google Scholar] [CrossRef]
- Helen Keller International; GroundWork. Salt and Sodium Intake Survey Senegal 2023; Dakar, Sénégal, 2024; Available online: https://groundworkhealth.org/wp-content/uploads/2024/05/E_SSIS-SENEGAL_report_FINAL_240426.pdf (accessed on 26 November 2025).
- Helen Keller International; GroundWork. Salt and Sodium Intake Survey Burkina Faso 2023; Ouagadougou, Burkina Faso, 2024; Available online: https://groundworkhealth.org/wp-content/uploads/2024/09/E_SSIS-Burkina-Faso_report_240829_final.pdf (accessed on 26 November 2025).
- Weisell, R.; Dop, M. The Adult Male Equivalent Concept and Its Application to Household Consumption and Expenditures Surveys (HCES). Food Nutr. Bull. 2012, 33, S157–S162. [Google Scholar] [CrossRef]
- Fiedler, J.L.; Lividini, K.; Bermudez, O.I.; Smitz, M.F. Household Consumption and Expenditures Surveys (HCES): A Primer for Food and Nutrition Analysts in Low- and Middle-Income Countries. Food Nutr. Bull. 2012, 33, S170–S184. [Google Scholar] [CrossRef]
- Vanderkooy, A.; Ferguson, E.L.; Sy, N.Y.; Kane, R.; Diagne, M.; Mbodji, A.; Pries, A.M. High Unhealthy Food and Beverage Consumption Is Associated with Poor Diet Quality among 12–35-Month-Olds in Guédiawaye. Front. Nutr. 2023, 10, 1125827. [Google Scholar] [CrossRef] [PubMed]
- INDDEX Project; Tufts University. Burkina Faso Dietary Reference Data (INDDEX24 Global FMDB); Tufts University: Boston, MA, USA, 2022. [Google Scholar]
- FAO. West African Food Composition Table; FAO: Rome, Italy, 2012. [Google Scholar]
- WHO/PAHO Regional Expert Group for Cardiovascular Disease Prevention through Population-wide Dietary Salt Reduction. Protocol for Population Level Sodium Determination in 24-h Urine Samples; PAHO: Washington, DC, USA, 2010; pp. 1–40. [Google Scholar]
- McLean, R.; Williams, S.; Mann, J. Monitoring Population Sodium Intake Using Spot Urine Samples: Validation in a New Zealand Population. J. Hum. Hypertens. 2014, 28, 657–662. [Google Scholar] [CrossRef]
- John, K.A.; Cogswell, M.E.; Campbell, N.R.; Nowson, C.A.; Legetic, B.; Hennis, A.J.M.; Patel, S.M. Accuracy and Usefulness of Select Methods for Assessing Complete Collection of 24-h Urine: A Systematic Review. J. Clin. Hypertens. 2016, 18, 456–467. [Google Scholar] [CrossRef]
- Meyer, H.E.; Johansson, L.; Eggen, A.E.; Johansen, H.; Holvik, K. Sodium and Potassium Intake Assessed by Spot and 24-h Urine in the Population-Based TromsØ Study 2015–2016. Nutrients 2019, 11, 1619. [Google Scholar] [CrossRef] [PubMed]
- Watson, C. Proportional Piling in Turkana: A Case Study. RRA Notes 1994, 20, 131–132. [Google Scholar]
- WFP. Rakhine Emergency Relief Post Distribution Monitoring Report; WFP: Rome, Italy, 2014. [Google Scholar]
- Mann, S.J.; Gerber, L.M. Estimation of 24-h Sodium Excretion from Spot Urine Samples. J. Clin. Hypertens. 2010, 12, 174–180. [Google Scholar] [CrossRef] [PubMed]
- Lucko, A.M.; Doktorchik, C.; Woodward, M.; Cogswell, M.; Neal, B.; Rabi, D.; Anderson, C.; He, F.J.; MacGregor, G.A.; L’Abbe, M.; et al. Percentage of Ingested Sodium Excreted in 24-h Urine Collections: A Systematic Review and Meta-Analysis. J. Clin. Hypertens. 2018, 20, 1220–1229. [Google Scholar] [CrossRef]
- World Health Organization (WHO). How to Obtain Measures of Population-Level Sodium Intake in 24-h Urine Samples; WHO: Cairo, Egypt, 2018. [Google Scholar]
- Cogswell, M.E.; Elliott, P.; Wang, C.Y.; Rhodes, D.G.; Pfeiffer, C.M.; Loria, C.M. Assessing U.S. Sodium Intake through Dietary Data and Urine Biomarkers. Adv. Nutr. 2013, 4, 560–562. [Google Scholar] [CrossRef]
- Bentley, B. A Review of Methods to Measure Dietary Sodium Intake. J. Cardiovasc. Nurs. 2006, 21, 63–67. [Google Scholar] [CrossRef] [PubMed]
- Durán-Cabral, M.; Estévez-Santiago, R.; Winter-Matos, A.; García-Estrella, K.; Olmedilla-Alonso, B.; García-Lithgow, C.H. Assessment of Dietary Sodium, Potassium and Sodium-Potassium Ratio Intake by 72 h Dietary Recall and Comparison with a 24 h Urinary Sodium and Potassium Excretion in Dominican Adults. Nutrients 2025, 17, 434. [Google Scholar] [CrossRef]
- McLean, R.M.; Wang, N.X.; Cameron, C.; Skeaff, S. Measuring Sodium from Discretionary Salt: Comparison of Methods. Nutrients 2023, 15, 5076. [Google Scholar] [CrossRef]
- Bhat, S.; Marklund, M.; Henry, M.E.; Appel, L.J.; Croft, K.D.; Neal, B.; Wu, J.H.Y. A Systematic Review of the Sources of Dietary Salt Around the World. Adv. Nutr. 2020, 11, 677–686. [Google Scholar] [CrossRef]
- Davis, J.N.; Kumordzie, S.M.; Arnold, C.D.; Wessells, K.R.; Nyaaba, K.W.; Adams, K.P.; Tan, X.; Becher, E.; Vosti, S.A.; Adu-Afarwuah, S.; et al. Consumption of Discretionary Salt and Salt from Bouillon among Households, Women, and Young Children in Northern Region, Ghana: A Mixed-Methods Study with the Condiment Micronutrient Innovation Trial (CoMIT) Project. Curr. Dev. Nutr. 2024, 8, 102088. [Google Scholar] [CrossRef]
- Goh, Y.E.; Manger, M.S.; Duggal, M.; Das, R.; Agarwal, S.; Saklani, S.; Budhija, D.; Jamwal, M.; Singh, B.L.; Long, J.M.; et al. Comparison of Methods to Assess Discretionary Salt Intake among Nonpregnant Women of Reproductive Age in Punjab, India. Curr. Dev. Nutr. 2025, 9, 107456. [Google Scholar] [CrossRef] [PubMed]
- Gaziano, T.; Kapaon, D.; du Toit, J.D.; Crowther, N.J.; Wade, A.N.; Fabian, J.; Riumallo-Herl, C.; Roberts-Toler, F.C.; Gómez-Olivé, X.; Tollman, S. Sodium Reduction Legislation and Urinary Sodium and Blood Pressure in South Africa. JAMA Cardiol. 2025, 10, 335–342. [Google Scholar] [CrossRef] [PubMed]
- Xun, R.; Gao, Y.; Zhen, S.; Mao, T.; Xia, H.; Zhang, H.; Sun, G. Effects of Behavioral Interventions for Salt Reduction on Blood Pressure and Urinary Sodium Excretion: A Systematic Review and Meta-Analysis of Randomized Controlled Trials. Glob. Heart 2023, 18, 65. [Google Scholar] [CrossRef] [PubMed]





| Burkina Faso | Senegal | p-Value | |||||
|---|---|---|---|---|---|---|---|
| Households of enrolled participants | n/N | %, Mean 1 | (95% CI) 2 | n/N | %, Mean 1 | (95% CI) 2 | |
| Urban residence | 252/471 | 66.7 | (49.4, 80.5) | 243/809 | 38.8 | (27.7, 51.2) | 0.008 |
| Food secure 3 | 186/471 | 38.0 | (30.2, 46.6) | 274/809 | 37.8 | (32.6, 43.3) | 0.966 |
| Household owns any livestock | 246/471 | 47.3 | (38.6, 56.3) | 586/809 | 65.6 | (60.0, 70.8) | 0.001 |
| Household owns any salt-consuming livestock | 186/471 | 33.1 | (24.8, 42.5) | 524/809 | 58.9 | (52.8, 64.7) | <0.001 |
| Household purchases large quantities of salt (>5 kg) | 5/425 | 1.6 | (0.6, 4.1) | 233/534 | 21.3 | (17.7, 25.5) | <0.001 |
| Household purchases small quantities of salt (<1 kg) | 359/430 | 83.4 | (78.3, 87.5) | 380/767 | 57.0 | (52.0, 61.9) | <0.001 |
| Household uses salt for purposes other than human consumption | 79/464 | 21.0 | (15.0, 28.7) | 275/800 | 35.2 | (28.0, 43.1) | 0.008 |
| Household size | 471 | 6.2 | (5.6, 6.8) | 809 | 9.6 | (8.9, 10.2) | <0.001 |
| Salt bought at last purchase (g) | 471 | 786 | (619, 953) | 809 | 3506 | (2919, 4093) | <0.001 |
| Non-pregnant women 15–59 years | |||||||
| Age (years) | 423 | 32.5 | (31.3, 33.7) | 757 | 31.9 | (30.7, 33.1) | 0.460 |
| eUSE 4 | 412 | 2.7 | (2.4, 3.0) | 743 | 2.9 | (2.8, 3.1) | 0.168 |
| Out-of-house meal consumption (times/week) | 0.007 | ||||||
| None | 331 | 75.8 | (69.4, 81.2) | 664 | 85.6 | (80.8, 89.3) | |
| 1–7 meals | 73 | 18.5 | (14.6, 23.2) | 82 | 12.7 | (9.2, 17.4) | |
| 8–14 meals | 16 | 5.1 | (2.3, 10.9) | 8 | 1.3 | (0.5, 3.2) | |
| 15–21 meals | 3 | 0.6 | (0.2, 2.3) | 3 | 0.4 | (0.1, 1.7) | |
| Men 15–59 years | |||||||
| Age (years) | 326 | 35.4 | (34.1, 36.7) | 583 | 30.5 | (29.3, 31.6) | <0.001 |
| eUSE 4 | 316 | 2.3 | (2.0, 2.7) | 560 | 3.0 | (2.8, 3.2) | <0.001 |
| Out-of-house meal consumption (times/week) | <0.001 | ||||||
| None | 163 | 43.0 | (36.2, 50.1) | 414 | 65.2 | (59.4, 70.4) | |
| 1–7 meals | 105 | 35.7 | (28.4, 43.6) | 128 | 23.8 | (18.6, 30.0) | |
| 8–14 meals | 50 | 20.0 | (13.6, 28.4) | 31 | 7.9 | (4.6, 13.1) | |
| 15–21 meals | 8 | 1.3 | (0.6, 3.1) | 10 | 3.1 | (1.5, 6.4) | |
Disclaimer/Publisher’s Note: The statements, opinions and data contained in all publications are solely those of the individual author(s) and contributor(s) and not of MDPI and/or the editor(s). MDPI and/or the editor(s) disclaim responsibility for any injury to people or property resulting from any ideas, methods, instructions or products referred to in the content. |
© 2026 by the authors. Licensee MDPI, Basel, Switzerland. This article is an open access article distributed under the terms and conditions of the Creative Commons Attribution (CC BY) license.
Share and Cite
Wegmüller, R.; Cakir, V.; Rohner, F.; Koudougou, K.; Beye, M.F.; Khassanova, R.; Sy, N.Y.; Ndour, S.P.; Kaboré, J.; Naber, Z.; et al. Estimating Sodium Intake and Its Sources in Burkina Faso and Senegal: A Multi-Method Dietary Assessment Validated Against Urinary Sodium Excretion. Dietetics 2026, 5, 22. https://doi.org/10.3390/dietetics5020022
Wegmüller R, Cakir V, Rohner F, Koudougou K, Beye MF, Khassanova R, Sy NY, Ndour SP, Kaboré J, Naber Z, et al. Estimating Sodium Intake and Its Sources in Burkina Faso and Senegal: A Multi-Method Dietary Assessment Validated Against Urinary Sodium Excretion. Dietetics. 2026; 5(2):22. https://doi.org/10.3390/dietetics5020022
Chicago/Turabian StyleWegmüller, Rita, Volkan Cakir, Fabian Rohner, Karim Koudougou, Maguette F. Beye, Regina Khassanova, Ndèye Yaga Sy, Sitor P. Ndour, Jean Kaboré, Zein Naber, and et al. 2026. "Estimating Sodium Intake and Its Sources in Burkina Faso and Senegal: A Multi-Method Dietary Assessment Validated Against Urinary Sodium Excretion" Dietetics 5, no. 2: 22. https://doi.org/10.3390/dietetics5020022
APA StyleWegmüller, R., Cakir, V., Rohner, F., Koudougou, K., Beye, M. F., Khassanova, R., Sy, N. Y., Ndour, S. P., Kaboré, J., Naber, Z., Petry, N., Wirth, J. P., & Galetti, V. (2026). Estimating Sodium Intake and Its Sources in Burkina Faso and Senegal: A Multi-Method Dietary Assessment Validated Against Urinary Sodium Excretion. Dietetics, 5(2), 22. https://doi.org/10.3390/dietetics5020022

