Next Article in Journal
Long-Term Effects of the COVID-19 Pandemic on Eating Behaviors and Lifestyle in Families with School-Age Children in Rosario, Argentina
Previous Article in Journal
Microbiome Taxonomic and Functional Differences in C3H/HeJ Mice Fed a Long-Term High-Fat Diet with Casein Protein ± Ammonium Hydroxide Supplementation
 
 
Font Type:
Arial Georgia Verdana
Font Size:
Aa Aa Aa
Line Spacing:
Column Width:
Background:
Article

An Observational Study of the Energy and Sugar Content of Drinks and Snacks Available in UK Coffee Shops and Cafés

by
Joshua Frederick Richardson
1,
Joshua Brett
2 and
Amanda Avery
3,*
1
Division of Food, Nutrition and Dietetics, Sutton Bonington Campus, University of Nottingham, Loughborough LE12 5RD, UK
2
Plant Sciences Department, Sutton Bonington Campus, University of Nottingham, Loughborough LE12 5RD, UK
3
Division of Food, Nutrition and Dietetics, School of Biosciences, University of Nottingham, Sutton Bonington LE12 5RD, UK
*
Author to whom correspondence should be addressed.
Dietetics 2026, 5(1), 14; https://doi.org/10.3390/dietetics5010014
Submission received: 16 October 2025 / Revised: 25 November 2025 / Accepted: 24 February 2026 / Published: 3 March 2026

Abstract

Objective: To examine the proportion of drinks and snacks offered by the largest coffee shop chains in the UK that exceed the NHS and Public Health England maximum recommended intakes for energy and sugar. Design: Observational study design where nutritional information for drinks and snacks was gathered from the official coffee shop chain website. Data were compared with the maximum recommended intakes of 200 kcal per drink or snack and 30 g of free sugar per day. Direct comparisons between mean values were performed using analysis of variance (ANOVA). Subjects: A total of 2707 drinks and 434 snacks across eight leading coffee shop chains in the United Kingdom. Results: Overall, 47.0% of drinks and 66.8% of snacks exceed the recommended energy intake, while 32.5% of drinks and 45.3% of snacks surpass the recommended daily free sugar intake. ‘Hot chocolates and other speciality drinks’ contain the most energy (255.6 ± 5.78 kcal) of all drink categories. Snacks contain significantly more energy than drinks (p < 0.001), with all three snack categories exceeding the recommended intake of energy. Variations in nutritional content were observed in dairy-alternative milk options and specific chains. Conclusions: The high energy and sugar content of drinks and snacks in major UK coffee chains may contribute to excessive energy intake, with almost half of all drinks and snacks exceeding the maximum recommended levels. Healthier choices, such as avoiding flavoured drinks or limiting the consumption of snacks, may be necessary to help mitigate weight gain and combat obesity and T2DM rates in the UK.

Graphical Abstract

1. Introduction

In the last decade the number of coffee shops and cafés in the UK has dramatically increased [1], with the branded coffee shop market reaching an estimated value of £5.3 billion in 2023 [2]. The drinks and snacks purchased from coffee shops and cafés may contribute to an unrecognised source of energy intake.
Obesity has become a public health emergency. In economic terms, the annual societal cost of obesity is at least 1–2% of UK GDP which represents £billions each year in healthcare costs and lost productivity [3]. The UK has one of the highest rates of obesity when compared to other high-income countries. In England, two-thirds of adults are living with overweight or obesity, and 29% are living with obesity. The prevalence of severe obesity (BMI > 40 kg/m2) in adults is now approaching 5% [4].
Obesity reduces life expectancy by an average of 3 to 10 years, depending on level of severity and age of onset [5]. Obesity has overtaken tobacco as a risk factor for disability in the UK and is a major risk factor for health conditions including cardiovascular disease, type 2 diabetes, many cancers, metabolic liver disease and musculoskeletal issues. People living with obesity are also more likely to suffer from poor mental health and low self-esteem.
It has been estimated that adults consume an average of 200–300 excess calories per day [6]. Unhealthy and energy-dense diets, combined with an increase in sedentary behaviour, are key drivers of obesity.
The current literature presents conflicting evidence on the impact snacking has on energy intake and weight status. Whilst there is research that proposes an association between frequent snacking and higher energy intake [7], there is also evidence that suggests benefits of having two snacks a day [8]. This variation in evidence is likely due to differences in study design, participants under-reporting intake and how the research defined a snack. A snack has been defined as an eating occasion that participants did not consider to be a meal, light meal/breakfast, or drink [9]. This study found that frequent snacking resulted in an increase in total energy intake of 640 kcal for men and 312 kcal for women. The same study found that adults who were living with obesity consumed snacks more frequently than those who were a healthy weight [9]. Snacks such as sweets/desserts and sugar-sweetened beverages were found to be inversely associated (p = 00.1 and 0.024, respectively) with diet quality based on the Healthy Eating Index 2010 [10]. Energy from sugar-sweetened beverages has minimal nutritional value and is unlikely to lead to feelings of satiety, which may lead to overconsumption [11]. Consumers may be subconsciously unaware of the potential energy intake derived from food items and drinks purchased from coffee shops if it is a part of their normal daily routine. Furthermore, they may not recognise that the energy from ‘healthier’ items, such as juices or smoothies, contributes towards daily energy and free sugar intake. Consumer behaviours have changed over recent years with working adults grabbing a coffee shop drink and snack instead of a traditional lunch.
Current dietary recommendations suggest drinks and snacks should provide a maximum of 400 kcal per day [12] which equates to one 200 kcal drink or snack between each meal. It is also recommended that adults consume no more than 30 g of free sugars per day [13]. This recommendation is based on the 2015 Scientific Advisory Committee on Nutrition (SACN) report on carbohydrates and health, in which it was suggested that a high intake of sugar results in an increased likelihood of exceeding the estimated average requirement (EAR) for energy, therefore contributing to the prevalence of obesity [14]. The term ‘free sugars’ refers to all monosaccharides and disaccharides that have been added to foods and drinks. This includes naturally occurring sugars found in honey, syrups and fruit juice but excludes lactose, the sugar found in milk [15]. It is likely that many drinks and snacks available from the UK’s biggest coffee shop and café chains exceed the recommendation of 200 kcal [12] and also contain a significant amount of sugar.
To reduce the risk of developing T2DM, it has been recommended that the consumption of foods that are high in fat, low in fibre and have a high glycaemic index (GI) should be reduced [16]. Sugar-sweetened beverages, such as flavoured coffees or hot chocolates, were specifically highlighted as food items that should be reduced in our diets [16].
Previous research has suggested that snacks sold in the UK’s supermarkets and coffee shops exceed the dietary recommendations for energy density [17]. Further research which focused on starters, sides and desserts in sit-down restaurants and fast-food outlets in the UK found that the energy content of over 20% of dishes in each of these categories exceeded the dietary recommendation for the whole meal, which is 600 kcal [18]. However, there is currently no research into the nutritional content of both drinks and snacks that are sold in coffee shops and cafés in the UK. Given the increase in popularity of dairy-alternative milks [19] such as oat milk or soy milk, it would be of interest to determine whether the plant-based drinks served at coffee shops and cafés have a different nutrient content compared with cow’s milk [19].
The aim of this observational study is to evaluate the energy and sugar content of drinks and snacks available at the largest coffee shop and café chains currently operating in the UK. The impact of different brand and alternative milks on the nutritional content will also be assessed. The data will be compared to dietary recommendations and nutritional requirements currently provided to the population by the NHS and Public Health England.
The main outcome measure will be the mean energy (kcal) and sugar (g) content of drinks and snacks and the proportion of these that exceed the recommendation of 200 kcal per snack [12] and 30 g of free sugar per day [13].

2. Methods

For the purpose of this research, coffee shops and cafés were defined as establishments that predominantly sell drinks and snacks rather than full meals and that do not typically use table service. This definition is based on previous research [17].
Data was collected on the nutritional content of drinks and snacks available from the largest coffee shop and café chains in the UK. Only chains that have 30 or more outlets in the UK were included in this research. Table 1 shows the eight coffee shops that fit these criteria. The nutritional content data was obtained from the online nutritional information that was provided on each of the company’s official websites at the time of the research being caried out which was between October 2023 and July 2024.
All coffee shops and cafés with less than 30 outlets in the UK were excluded from this study. Some chains met the inclusion criteria but were excluded from the study for other reasons. AMT coffee, Puccino’s and Harris & Hoole provided no online nutritional information at the time of the research being carried out. These chains were contacted to give them the opportunity to offer this data, but no nutritional information was provided; therefore, they were excluded. Café Rotazza and Gail’s Bakery had no set menu; therefore, they were excluded. Cafe2U has no fixed locations as it serves coffee from a vehicle. This chain mainly caters for events; therefore, it does not significantly impact the general public and was not included in this research.
The nutritional information collected included the total energy (kcal), carbohydrate (g) and ‘of which sugar’ (g) content of drinks and snacks. Data was collected on all available portion sizes, such as small, medium and large drinks. Data was also collected on any dairy-alternative milks, including oat milk, almond milk, coconut milk and soy milk. The drinks analysed in this study included both hot and cold drinks, such as coffee, tea, hot chocolate and milkshakes. However, pre-bottled drinks that are not produced by the coffee chain were excluded.
For the purpose of this study, a snack was defined as a small portion of food that is typically consumed between meals [26]. Based on this definition, various food items were excluded from the study. Bread-based menu items, such as sandwiches or paninis, are considered to be more than a snack and therefore were not included in the study. Food items that are not available as a singular portion, such as a whole cake, were also excluded as they would not reflect the typical intake of an individual. This research is specifically looking at the impact on the adult diet; therefore, menu items targeted at children, such as a ‘babyccino’, were excluded. Only food and drink items that are available all year round were included in the study, therefore excluding any seasonal menu items.
The drinks that were included in this study were split into the following seven categories: ‘standard hot coffees’, ‘flavoured hot coffees, hot chocolates and other speciality drinks’, ‘hot tea’, ‘iced drinks’, ‘juices and smoothies’, and ‘all other cold drinks’. Standard hot coffees was the term used to refer to non-flavoured, hot espresso-based drinks commonly found on café menus, including items such as americanos, lattes and cappuccinos, without sugar added. Flavoured hot coffees included hot espresso-based drinks with added flavourings such as syrups, spices, or other additions, for example, vanilla lattes, caramel lattes and chai lattes, but with no additional sugar added at the point of purchase. All snacks were split into the following three categories: ‘pastries’, ‘cakes, biscuits and other baked goods’, and ‘all other snacks’. The pastries category includes items such as croissants or pain aux raisins, while ‘all other snacks’ includes chocolate, fruit, crisps and any other items considered to be a snack but that do not fall into the other two categories.
An issue faced when conducting this research was the collection of data on sugar content. Since 2022 it has been a legal requirement for all large food businesses in England, such as those included in this study, to publish the energy content of food and drinks that they offer [27]. However, there is no requirement to display total carbohydrate or ‘of which sugar’ content. If a coffee shop chain did not display the relevant nutritional information, they were first contacted to request any data that they have available. If this data was not obtained, then the food or drink item was excluded from the sugar content analysis, which reduced the overall sample size. These items were still included in the analysis of energy content.
The included coffee shop chains were randomly assigned codes, (Chain 1, Chain 2, etc.) in order to anonymise the data presented. The mean data presented is per a medium/regular serving (drinks) and per the portion size sold (snacks). Portion sizes may differ between the chains but the decision was made to present data according to the serving/portion offered.

Statistical Analysis

Direct comparison between mean values was performed using ANOVA given the data being continuous and normally distributed. Both one-way and two-way ANOVAs with interaction terms were conducted to assess the differences among groups. Post hoc comparisons were carried out using Tukey’s Honest Significant Difference (HSD) test. An alpha level of 0.05 was set for all statistical tests.
To verify the assumptions of ANOVA, diagnostic plots were examined. These included residual plots to check for homoscedasticity, Q-Q plots to assess normality of residuals, and Levene’s test for homogeneity of variances. All diagnostics indicated that the assumptions of ANOVA were satisfactorily met.
Bar graphs were generated using R (version 4.2.3) to visually represent the energy and sugar contents in comparison to public health recommendations. These graphs included error bars to depict the standard error of the data, indicating the variability around the mean values. The statistical analyses were conducted using the ‘stats’ and ‘ggplot2’ packages in R, ensuring rigorous evaluation of the data. Given the number of groups presented in each graph, Compact Letter Display (CLD) has been used as the preferred statistical method for visualising and comparing all possible pairs of means. Letters have been assigned to the groups starting with the letter ‘a’ and working through the alphabet. Where groups share a letter, they are not statistically different (<0.05).

3. Results

The results includes data from 2707 drinks and 434 snacks from the menus of eight coffee shops chains.

3.1. Comparison of Subcategories

As shown in Figure 1, hot chocolates and other speciality drinks contain the most energy of all drinks categories with a mean of 255.64 kcal (±5.78)/drink. Drinks in the ‘hot teas’ category contained significantly less energy (p < 0.001) than any other subcategories at just 2.8 kcal (±0.29) per drink and only 0.24 g (±0.03) of carbohydrates. While drinks in the ‘juices and smoothies’ category contain <200 kcal (181.63 ± 9.96 kcal)/drink, they are high in carbohydrates and ‘of which sugars’, 37.47 g (±2.17) and 35.45 g (±2.28), respectively.
All of the snack categories exceeded 200 kcal on average with cakes, biscuits and other baked goods being the highest with a mean of 434.84 kcal (±8.27)/portion. Figure 1b highlights that cakes, biscuits and other baked goods have the highest mean carbohydrate (55.93 ± 1.12 g) and ‘of which sugar’ content (31.55 ± 0.70 g) of all the drinks categories. On average, a food item from this category contains the maximum recommended daily intake of free sugar [13].

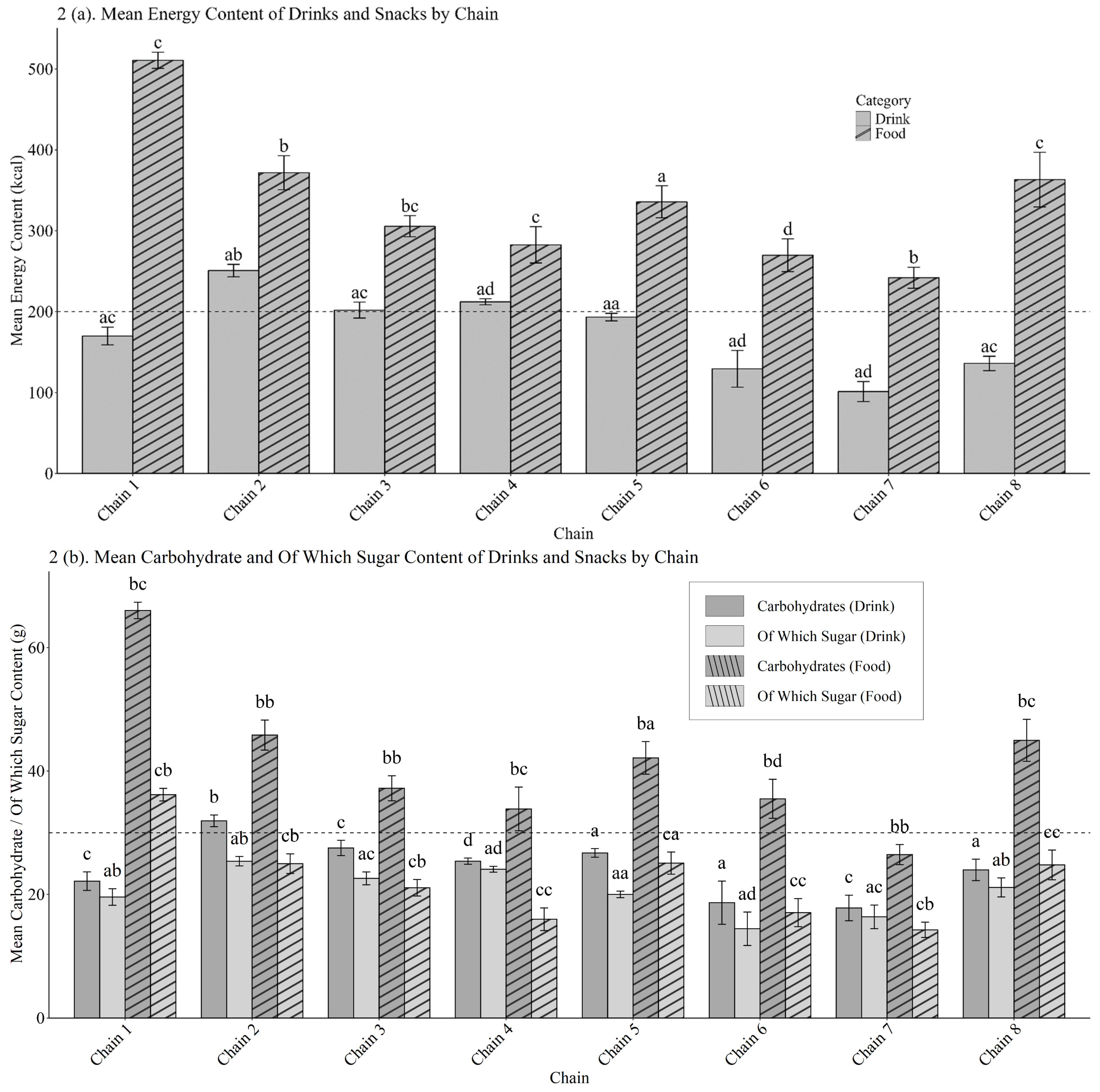
3.2. Comparison of Drinks Against Snacks by Chain

Figure 2a shows the mean energy content of snack items in every coffee shop chain is over the maximum recommendation of 200 kcal [12]. Snacks from Chain 1 contain the most energy, carbohydrates and sugar (Figure 2b). On average, drinks from Chains 2, 3 and 4 contain more than 200 kcal per drink, whereas drinks from Chain 7 contain the least amount of energy (p < 0.001).

3.3. Comparison of Milk Types

As seen in Figure 3a, on average drinks made with almond milk contain significantly less energy than other milk options (p < 0.001). Drinks made with almond milk or skimmed milk are the only milk options that contain less than the recommended 200 kcal [12] per drink. Drinks which contain no milk are significantly lower in energy (17.63 ± 2.73 kcal), carbohydrates (3.45 ± 0.63 g) and ‘of which sugars’ (2.9 ± 0.61 g) (p < 0.001) (Figure 3b).

3.4. Proportion of Drinks and Snacks over the Recommended Limits

Across all eight coffee shop chains, 47.0% of drinks served exceed the 200 kcal recommended intake [12], with Chain 2 having the highest proportion (60.8%) and Chain 7 the lowest (16.3%). Two thirds (66.8%) of snacks available at these coffee shop chains surpass 200 kcal, with over 90% of the snacks available at Chain 5 exceeding the threshold.
Table 2 focuses on sugar content. In total, 32.5% of drinks and 45.3% of snacks exceed the maximum daily recommended intake of free sugar. Chain 1 has the largest proportion of snacks (78.1%) that contain over the recommended 30 g of sugar per day [13] in the portion size sold.

3.5. Analysis of Specific Menu Items

Hot chocolates were identified as a common drink served in coffee shops and cafes. Figure 4a,b shows the nutritional analysis of hot chocolates in a medium/regular size, made with semi-skimmed milk and with no additional flavourings. Chains 1 and 2 did not offer a hot chocolate that met these requirements; therefore, they were excluded from this graph. Chain 8 did not have the nutritional information for the ‘of which sugar’ content of their hot chocolate available; therefore, there is no data shown in Figure 4b.
Blueberry muffins were identified as a common snack to be used for comparative purposes. However, Chain 6 did not offer a blueberry muffin; therefore, no data is shown in Figure 4a,b.
Every blueberry muffin contains over the maximum recommendation of 200 kcal [12] with one from Chain 8 containing the most energy at 703 kcal and 46.7 g of sugar. Every hot chocolate also contains over 200 kcal. Overall, 50% of all blueberry muffins and hot chocolates contain over 30 g of ‘of which sugars’ which is greater than the recommended intake of free sugars for a whole day of eating [13].

4. Discussion

This study examined the energy and sugar content of drinks and snacks served in the largest coffee shop and café chains in the UK. It was found that a large proportion of both drinks and snacks exceed the recommended intake of energy (200 kcal per snack) and free sugar (30 g per day) provided by Public Health England [12] and the NHS [13]. Of the 2707 drinks examined, almost half exceed 200 kcal. The results indicate that flavoured hot coffees, hot chocolates and other speciality drinks, and iced drinks contain the most energy per drink. This can be explained by the frequent addition of syrups, which are high in sugar, as well as the drinks being topped with whipped cream, which is high in fat. In comparison, standard hot coffees have a lower mean energy content as they typically only contain coffee and milk, without any added sugar or syrups. Drinks that were made without any milk have a lower energy and sugar content.

4.1. Nutritional Content of Snacks

Across all participating chains, almost half of snacks exceed the recommended 200 kcal [12] with cakes, biscuits and other baked goods being the highest in both energy and sugar. These results contradict previous research into the nutritional content of snacks served in coffee shops, which found that only 27% contained more than 200 kcal [17]. This discrepancy could have been caused by differences in exclusion criteria used to define a snack.
Previous research did support the conclusion that snacks are often high in sugar. Overall, 39% of the snacks included in the study contain a high amount of sugar according to traffic light labelling [17]. Furthermore, these menu items were also identified as having a high fat and saturated fat content [17].
Due to the high energy content of drinks and snacks found in coffee shops and cafes, it can be reasonably assumed that regular consumption may contribute towards a positive energy balance, ultimately leading to weight gain. Consuming food or drink items that are high in sugar causes an increase in blood glucose levels [28]. If the body is regularly subjected to elevated blood glucose levels, it may lead to the development of insulin resistance. In 2021–2022, there were over 4.3 million people living with diabetes in the UK and a further 2.3 million who were at high risk of developing T2DM [7]. This has been partly attributed to the over-consumption of free sugars [16] such as those found in the menu items included in this research.
This study did identify that hot teas would be a good option for individuals looking to reduce their energy and sugar intake, as on average they contain less than 5 kcal of energy and 1 g of sugar. The nutritional content will differ depending on the type and amount of milk added to the tea by consumers. Some of the participating chains displayed nutritional information for just the tea, whereas others included a standard amount of milk added. Some consumers may also add sugar to their tea which would increase their free sugar intake.
Selecting a standard hot coffee over a flavoured drink would also be a good choice as these drinks stay within the public health recommendations. Our results also show that an individual’s choice of coffee shop could impact their energy and sugar intake. For example, drinks and snacks from Chain 7 were identified as often having the lowest energy and sugar content compared with the other chains included in this research. However, the main conclusion is that snacks contain more energy and carbohydrates than drinks. Therefore, if an individual were to regularly consume snacks from coffee shops alongside their normal drink choice then it is more likely to lead to an energy surplus. Chronic overconsumption of energy leads to weight gain.

4.2. Plant-Based Milks and Nutritional Content

Plant-based milks have become popular amongst health-conscious consumers [19]. Yet our results suggest that drinks made with dairy-alternative milks are not necessarily lower in energy or sugar than their dairy-containing counterparts. It was found that drinks made with almond milk are the only option that contain less energy than either the dairy, or other dairy alternative, choices included in this study. Consequently, switching to almond milk-based drinks could make a good option for an individual looking to reduce their energy intake. However, it is to be noted that there were only three coffee shop chains that offered drinks made with almond milk.

4.3. Specific Menu Items

Part of this study looked at specific menu items across all eight coffee shop chains, in particular standard hot chocolates made with semi-skimmed milk and blueberry muffins. It was found that if an individual were to purchase both items, on average they would be consuming more than 350 kcals and 30 g of sugar. This equates to over 14% of an adult male’s daily energy requirements and 18% of an adult female’s requirements [29]. It is also more than the NHS recommended intake of free sugar for a full day of eating. While it is likely that hot chocolates are generally understood to be ‘unhealthy’, a blueberry muffin may be perceived as a ‘healthy’ option to choose in comparison to other available snack items. However, the data shows that in every coffee shop chain the energy content of the blueberry muffin exceeded that of the hot chocolate. Improving food labelling and consumer education may help to improve individual’s dietary choices, benefiting wider public health in the UK.
In 2022 the UK government introduced legislation that required businesses of a certain size to display the energy content of all food and drinks on their menu [27]. However, there is currently no obligation to display the sugar content of these same menu items. A meta-analysis found displaying energy information related to consumers choosing lower-energy food options [30], and therefore may help to reduce nationwide obesity rates. Additionally, this research revealed that when companies were required to display nutritional information, it frequently led to a reduction in the energy content of their menu items. Therefore, requiring businesses to display the sugar content of their food and drink items on the menu may help to decrease consumption of free sugars and reduce the number of people who are at risk of developing T2DM in the UK.
The overall impact of this research will be the effect it can have on individuals’ decisions when purchasing drinks and snacks from coffee shops. The conclusions from this research may also be used in dietetic practice when making recommendations for weight loss or diabetes management. Due to the social element of going to coffee shops, it would not be a realistic recommendation that individuals do not go to these establishments; instead, changes to their eating behaviours can be made. On average, snack items contain 92% more energy than drinks. Therefore, the intake of these items should be limited or, at a minimum, considered by the individual when evaluating their diet if they want to reduce the likelihood of consuming an excessive amount of energy. Choosing hot teas or standard hot coffees over flavoured drinks will help individuals to reduce their consumption of energy and sugar. The results showed that juices and smoothies are not excessively high in energy, but they are high in carbohydrates and ‘of which sugar’. The NHS recommends limiting the consumption of juices and smoothies to 150 mL per day [29].

4.4. Limitations

As of 2019, there were over 25,892 coffee shop outlets in the UK [31] including thousands of independent businesses and other coffee shop chains that were not included in this study. As smaller businesses are not legally required to display the nutritional information of their menu items, the relevant data was not available. However, further research would be needed to assess the differences in nutritional content of independent cafes compared with larger coffee shop chains.
While this study did successfully collect data on 2707 drinks and 434 snacks, there were a large number of menu items excluded, such as seasonal items and food items that were considered to be more than a snack. Drinks and snacks that are purchased in locations other than coffee shops, such as supermarkets or fast food chains, were not included in this study. There is research to suggest that the nutritional content of snacks in supermarkets differs from those purchased in coffee shops [17].
This research does not include specific behavioural data on the purchasing patterns of food and drink items in coffee shops. However, research into consumer habits in the UK revealed that 39% of respondents reported purchasing food or drinks at cafes once every two weeks, while only 34% stated they never make such purchases [32]. Furthermore, with branded coffee shops and cafes valued at an estimated £5.3 billion in 2023 [2], it is evident that these menu items are in demand. Given that this research covers a large proportion of menu items, the health-related claims made in this paper remain relevant. Additional research into consumers’ exact spending habits could provide valuable insights into which items are most frequently consumed.
The exclusion criteria for a snack were clearly outlined in the methodology. However, individuals may have different ideas on what constitutes a snack. For example, bread-based items such as sandwiches were excluded from this research as they were considered a meal item. However, if they are being consumed as a snack alongside the standard three meals a day this could have a significant impact on the daily intake of energy. Furthermore, this study does not account for how much of the drink or snack is actually consumed. It is assumed that individuals who purchase an item will eat it in its entirety; however, it might be the case that only part of a drink or snack is consumed and the remainder is discarded. Alternatively, some consumers may purchase a drink or snack to share with another individual. These variances will have an impact on the individual’s assumed energy and sugar intake. Further research into the eating habits of consumers and the nutritional content of other menu items could be beneficial to help understand the current obesity and T2DM rates in the UK.
The nutritional information collected in this study was obtained from the coffee shop chains’ websites. Chain 8 were not able to provide a full breakdown of the sugar content of the drinks available in their stores, therefore reducing the total number of drinks that could be analysed. This study relied on the accuracy of the information that was provided by the coffee shop chains, as it would not have been possible to collect primary data on the nutritional content of every drink and snack. While it has been assumed that this data is accurate, there is the possibility of the nutritional content being calculated incorrectly. Some research into the accuracy of the energy content provided by restaurants found that any differences between displayed and actual energy content were minimal [33]. However, another study on the accuracy of food labelling of snacks in the US found that items contained 4.3% more energy than stated on the label [34]. While no research has been conducted in the UK, it is possible that the data collected in this study could be an underestimate of the true nutritional content. Furthermore, there may be some variation in the amount of each ingredient used in a drink as a result of different locations, or employees, preparing the drink. This would result in the nutritional content of the item differing from the information provided by the coffee shop chain. If this is the case, it may be more difficult for consumers to make healthy, informed choices on their diet.
Data on the carbohydrate and ‘of which sugar’ content of drinks was collected. The sugar content was then compared to the maximum daily recommended intake of free sugars. The term ‘free sugars’ includes any sugar found in drinks with the exception of lactose and galactose which are naturally present in milk [35]. As the ‘of which sugar’ content does include lactose and galactose, it is difficult to draw conclusions from comparisons with free sugar intake. There was no information provided on the exact lactose or galactose content of the drinks included in this study; consequently, it was not possible to deduct these from the ‘of which sugar’ figures. Furthermore, as the coffee shop chains did not publish the quantity of milks used to produce each drink, it was also not possible to calculate the lactose or galactose content. Given the information available, the comparisons made were as accurate as possible and reflect any conclusions that the general public would be able to make if they were calculating their daily free sugar intake.

5. Conclusions

The energy and sugar content of drinks and snacks that are sold in the largest coffee shop chains in the UK is high. Almost half of the drinks available and two-thirds of the snacks exceed the recommended 200 kcal [12]. Almost half of the snacks exceed the recommended maximum 30 g of sugar per day [13]. Healthier choices need to be made, such as switching from flavoured hot coffees to standard hot coffees. Chronic overconsumption of energy will lead to weight gain, and given the snack items contain significantly more energy than drinks, it would be recommended that individuals limit the purchasing of snacks from coffee shops. The regular consumption of drinks and snacks from coffee shops needs to be re-evaluated by the general public, especially when considering the present obesity and T2DM rates in the UK.

Author Contributions

J.F.R. is the main author of this observational study, responsible for the study design, data collection and the writing of the article. J.B. was responsible for the data handling, statistical analysis and production of graphs. A.A. provided guidance throughout the research, proofreading of text and assistance with the publication process. All authors have read and agreed to the published version of the manuscript.

Funding

This research received no external funding.

Institutional Review Board Statement

Not applicable (no data from human participants collected).

Data Availability Statement

The datasets presented in this article are not readily available because of timing limitations. Requests to access the datasets should be directed to the corresponding author.

Conflicts of Interest

The authors declare no conflicts of interest.

References

  1. Statista Research Department. Cafes and Coffee Shops in the United Kingdom (UK); Statista: Hamburg, Germany, 2021; Available online: https://www.statista.com/topics/3650/cafes-and-coffee-shops-in-the-united-kingdom-uk/#topicOverview (accessed on 2 April 2023).
  2. Statista Research Department. Estimated Value of the Branded Coffee Shop Market in the United Kingdom from 2015 to 2023; Statista: Hamburg, Germany, 2024; Available online: https://www.statista.com/statistics/1072721/coffee-shop-market-value-united-kingdom-uk/ (accessed on 9 January 2025).
  3. House of Lords. Food, Diet and Obesity Committee—Publications—Committees—UK Parliament; Parliament.uk: London, UK, 2024; Available online: https://committees.parliament.uk/committee/698/food-diet-and-obesity-committee/publications/ (accessed on 14 November 2024).
  4. NHS. Health Survey for England, 2021; NHS Digital: London, UK, 2022; Available online: https://digital.nhs.uk/data-and-information/publications/statistical/health-survey-for-england/2021/health-survey-for-england-2021-data-tables (accessed on 2 April 2023).
  5. Kelly, T.; Yang, W.; Chen, C.-S.; Reynolds, K.; He, J. Global Burden of Obesity in 2005 and Projections to 2030. Int. J. Obes. 2008, 32, 1431–1437. [Google Scholar] [CrossRef] [PubMed]
  6. Public Health England. Calorie Reduction: The Scope and Ambition for Action; Public Health England: London, UK, 2018. Available online: https://www.gov.uk/government/publications/calorie-reduction-the-scope-and-ambition-for-action (accessed on 14 November 2024).
  7. Larson, N.; Story, M. A Review of Snacking Patterns among Children and Adolescents: What Are the Implications of Snacking for Weight Status? Child. Obes. 2013, 9, 104–115. [Google Scholar] [CrossRef] [PubMed]
  8. Marangoni, F.; Martini, D.; Scaglioni, S.; Sculati, M.; Donini, L.M.; Leonardi, F.; Agostoni, C.; Castelnuovo, G.; Ferrara, N.; Ghiselli, A.; et al. Snacking in Nutrition and Health. Int. J. Food Sci. Nutr. 2019, 70, 909–923. [Google Scholar] [CrossRef] [PubMed]
  9. Bertéus Forslund, H.; Torgerson, J.S.; Sjöström, L.; Lindroos, A.K. Snacking Frequency in Relation to Energy Intake and Food Choices in Obese Men and Women Compared to a Reference Population. Int. J. Obes. 2005, 29, 711–719. [Google Scholar] [CrossRef] [PubMed]
  10. Barnes, T.L.; French, S.A.; Harnack, L.J.; Mitchell, N.R.; Wolfson, J. Snacking Behaviors, Diet Quality, and Body Mass Index in a Community Sample of Working Adults. J. Acad. Nutr. Diet. 2015, 115, 1117–1123. [Google Scholar] [CrossRef] [PubMed]
  11. World Health Organisation. WHO|Guideline Sugars Intake for Adults and Children I Sugars Intake for Adults and Children. 2015. Available online: https://iris.who.int/bitstream/handle/10665/149782/9789241549028_eng.pdf?sequence=1 (accessed on 13 December 2023).
  12. Public Health England. A Quick Guide to the Government’s Healthy Eating Recommendations. 2018. Available online: https://assets.publishing.service.gov.uk/government/uploads/system/uploads/attachment_data/file/742746/A_quick_guide_to_govt_healthy_eating_update.pdf (accessed on 2 April 2023).
  13. NHS. Sugar: The Facts; NHS: London, UK, 2022; Available online: https://www.nhs.uk/live-well/eat-well/food-types/how-does-sugar-in-our-diet-affect-our-health/#:~:text=Adults%20should%20have%20no%20more (accessed on 4 April 2023).
  14. Scientific Advisory Committee on Nutrition. Carbohydrates and Health. 2015. Available online: https://assets.publishing.service.gov.uk/government/uploads/system/uploads/attachment_data/file/445503/SACN_Carbohydrates_and_Health.pdf (accessed on 14 November 2024).
  15. Public Health England. Why 5%? 2015. Available online: https://assets.publishing.service.gov.uk/government/uploads/system/uploads/attachment_data/file/769482/Why_5__-_The_Science_Behind_SACN.pdf (accessed on 13 May 2023).
  16. Diabetes UK. Sugar and Diabetes; Diabetes: London, UK, 2022; Available online: https://www.diabetes.org.uk/guide-to-diabetes/enjoy-food/eating-with-diabetes/food-groups/sugar-and-diabetes (accessed on 14 November 2024).
  17. Marty, L.; Evans, R.; Sheen, F.; Humphreys, G.; Jones, A.; Boyland, E.; Robinson, E. The Energy and Nutritional Content of Snacks Sold at Supermarkets and Coffee Shops in the UK. J. Hum. Nutr. Diet. 2021, 34, 1035–1041. [Google Scholar] [CrossRef] [PubMed]
  18. Muc, M.; Jones, A.; Roberts, C.; Sheen, F.; Haynes, A.; Robinson, E. A Bit or a Lot on the side? Observational Study of the Energy Content of starters, Sides and Desserts in Major UK Restaurant Chains. BMJ Open 2019, 9, e029679. [Google Scholar] [CrossRef] [PubMed]
  19. Sethi, S.; Tyagi, S.K.; Anurag, R.K. Plant-based Milk Alternatives an Emerging Segment of Functional beverages: A Review. J. Food Sci. Technol. 2016, 53, 3408–3423. [Google Scholar] [CrossRef] [PubMed]
  20. Statista Research Department. Leading Coffee Shop Chains UK 2022; Statista: Hamburg, Germany, 2023; Available online: https://www.statista.com/statistics/297863/leading-coffee-shop-chains-in-the-united-kingdom-uk-store-number/#:~:text=As%20of%20January%202023%2C%20Costa (accessed on 14 November 2024).
  21. Statista Research Department. Largest Three Coffee Shop Chains in the UK 2019; Statista: Hamburg, Germany, 2019; Available online: https://www.statista.com/statistics/1034862/leading-three-coffee-chains-uk/ (accessed on 14 November 2024).
  22. Statista Research Department. Pret a Manger UK Store Numbers 2022; Statista: Hamburg, Germany, 2022; Available online: https://www.statista.com/statistics/716828/pret-a-manger-store-numbers-united-kingdom-uk/#:~:text=As%20of%20November%202022%2C%20there (accessed on 14 November 2024).
  23. Coffee #1.Locations. www.coffee1.co.uk. 2023. Available online: https://www.coffee1.co.uk/locations/ (accessed on 14 November 2024).
  24. Muffin Break. Why Choose Muffin Break? Muffin Break: Leicester, UK, 2023; Available online: https://muffinbreak.co.uk/opportunities/franchisees/choose-muffin-break/ (accessed on 14 November 2024).
  25. SOHO Coffee Co. Visit Us; SOHO Coffee Co.: London, UK, 2023; Available online: https://sohocoffee.com/visit-us/ (accessed on 14 November 2024).
  26. Cambridge Dictionary. SNACK|Meaning in the Cambridge English Dictionary; Cambridge.org.: Cambridge, UK, 2019; Available online: https://dictionary.cambridge.org/dictionary/english/snack (accessed on 15 April 2023).
  27. Department of Health & Social Care; GOV.UK. Calorie Labelling in the out of Home Sector: Implementation Guidance; GOV.UK: London, UK, 2021. Available online: https://www.gov.uk/government/publications/calorie-labelling-in-the-out-of-home-sector/calorie-labelling-in-the-out-of-home-sector-implementation-guidance (accessed on 16 April 2023).
  28. Wolever, T.M.; Miller, J.B. Sugars and Blood Glucose Control. Am. J. Clin. Nutr. 1995, 62, 212S–221S; discussion 221S–227S. [Google Scholar] [CrossRef] [PubMed]
  29. NHS. The Eatwell Guide; NHS: London, UK, 2022; Available online: https://www.nhs.uk/live-well/eat-well/food-guidelines-and-food-labels/the-eatwell-guide/#:~:text=On%20average%2C%20women%20should%20have (accessed on 18 November 2023).
  30. Zlatevska, N.; Neumann, N.; Dubelaar, C. Mandatory Calorie Disclosure: A Comprehensive Analysis of Its Effect on Consumers and Retailers. J. Retail. 2018, 94, 89–101. [Google Scholar] [CrossRef]
  31. Statista Research Department. Number of Coffee Shop Outlets in the United Kingdom (UK) from 2009 to 2019; Statista: Hamburg, Germany, 2025; Available online: https://www.statista.com/statistics/978010/coffee-shop-numbers-united-kingdom-uk/ (accessed on 14 November 2024).
  32. Statista Research Department. Frequency of Britons Buying Food and Drink at Cafes 2024; Statista: Hamburg, Germany, 2024; Available online: https://www.statista.com/statistics/1278648/how-often-adults-buy-food-and-drink-at-cafes-in-great-britain/ (accessed on 14 November 2024).
  33. Urban, L.E.; McCrory, M.A.; Dallal, G.E.; Das, S.K.; Saltzman, E.; Weber, J.L.; Roberts, S.B. Accuracy of Stated Energy Contents of Restaurant Foods. JAMA 2011, 306, 287–293. [Google Scholar] [CrossRef] [PubMed]
  34. Jumpertz, R.; Venti, C.A.; Le, D.S.; Michaels, J.; Parrington, S.; Krakoff, J.; Votruba, S. Food Label Accuracy of Common Snack Foods. Obesity 2013, 21, 164–169. [Google Scholar] [CrossRef] [PubMed]
  35. Swan, G.E.; Powell, N.A.; Knowles, B.L.; Bush, M.T.; Levy, L.B. A Definition of Free Sugars for the UK. Public Health Nutr. 2018, 21, 1636–1638. [Google Scholar] [CrossRef] [PubMed]
Figure 1. Mean energy (kcal), carbohydrate (g) and of which sugar (g) content of each category of drinks and snacks with standard error. Dashed lines represent the upper recommended energy content per snack and the upper recommended daily sugar intake for adults.
Figure 1. Mean energy (kcal), carbohydrate (g) and of which sugar (g) content of each category of drinks and snacks with standard error. Dashed lines represent the upper recommended energy content per snack and the upper recommended daily sugar intake for adults.
Dietetics 05 00014 g001aDietetics 05 00014 g001b
Figure 2. Mean energy (kcal), carbohydrate (g) and of which sugar (g) content of drinks and snacks organised by chain with standard error. Dashed lines represent the upper recommended energy content per snack and the upper recommended daily sugar intake for adults.
Figure 2. Mean energy (kcal), carbohydrate (g) and of which sugar (g) content of drinks and snacks organised by chain with standard error. Dashed lines represent the upper recommended energy content per snack and the upper recommended daily sugar intake for adults.
Dietetics 05 00014 g002
Figure 3. Mean energy (kcal), carbohydrate (g) and of which sugar (g) content of drinks made with different milks with standard error. Dashed lines represent the upper recommended energy content per snack and the upper recommended daily sugar intake for adults.
Figure 3. Mean energy (kcal), carbohydrate (g) and of which sugar (g) content of drinks made with different milks with standard error. Dashed lines represent the upper recommended energy content per snack and the upper recommended daily sugar intake for adults.
Dietetics 05 00014 g003
Figure 4. Energy (kcal) and of which sugar (g) content of each blueberry muffins and hot chocolates. Data is presented as the actual value. Dashed lines represent the upper recommended energy content per snack and the upper recommended daily sugar intake for adults.
Figure 4. Energy (kcal) and of which sugar (g) content of each blueberry muffins and hot chocolates. Data is presented as the actual value. Dashed lines represent the upper recommended energy content per snack and the upper recommended daily sugar intake for adults.
Dietetics 05 00014 g004
Table 1. The number of outlets for each coffee shop brand included in this research. Data is presented as the actual value.
Table 1. The number of outlets for each coffee shop brand included in this research. Data is presented as the actual value.
Coffee Shop ChainNumber of UK Outlets
Costa Coffee [20]2694
Greggs [20]2328
Starbucks [20]1156
Caffé Nero [21]683
Pret A Manger [22]421
Coffee #1 [23]110
Muffin break [24]62
SOHO Coffee Co. [25]31
Table 2. Percentage of drinks and snacks exceeded the maximum recommended intakes for energy and free sugars.
Table 2. Percentage of drinks and snacks exceeded the maximum recommended intakes for energy and free sugars.
(a). Energy (kcal).
Drinks Snacks
Coffee Shop Chainn>200 kcal%n>200 kcal%
Chain 11455336.624621989.0
Chain238023160.8544888.9
Chain31606540.61604326.9
Chain4109952748.0342676.5
Chain563432050.5353291.4
Chain6301240.0221672.7
Chain749816.3674161.2
Chain82105727.132928.1
Total2707127347.0%65043466.8%
(b). Sugar (g).
Drinks Snacks
Coffee Shop Chainn>30 g%n>30 g%
Chain 11433927.324218978.1
Chain238016944.5541731.5
Chain31604326.9561017.8
Chain4109938434.93425.9
Chain563415724.7351028.6
Chain6301240.030620.0
Chain749612.26769.0
Chain8291137.932928.1
Total252482132.5%55024945.3%
n = number of drinks or snacks.
Disclaimer/Publisher’s Note: The statements, opinions and data contained in all publications are solely those of the individual author(s) and contributor(s) and not of MDPI and/or the editor(s). MDPI and/or the editor(s) disclaim responsibility for any injury to people or property resulting from any ideas, methods, instructions or products referred to in the content.

Share and Cite

MDPI and ACS Style

Richardson, J.F.; Brett, J.; Avery, A. An Observational Study of the Energy and Sugar Content of Drinks and Snacks Available in UK Coffee Shops and Cafés. Dietetics 2026, 5, 14. https://doi.org/10.3390/dietetics5010014

AMA Style

Richardson JF, Brett J, Avery A. An Observational Study of the Energy and Sugar Content of Drinks and Snacks Available in UK Coffee Shops and Cafés. Dietetics. 2026; 5(1):14. https://doi.org/10.3390/dietetics5010014

Chicago/Turabian Style

Richardson, Joshua Frederick, Joshua Brett, and Amanda Avery. 2026. "An Observational Study of the Energy and Sugar Content of Drinks and Snacks Available in UK Coffee Shops and Cafés" Dietetics 5, no. 1: 14. https://doi.org/10.3390/dietetics5010014

APA Style

Richardson, J. F., Brett, J., & Avery, A. (2026). An Observational Study of the Energy and Sugar Content of Drinks and Snacks Available in UK Coffee Shops and Cafés. Dietetics, 5(1), 14. https://doi.org/10.3390/dietetics5010014

Article Metrics

Back to TopTop