Redox Behavior of Central-Acting Opioid Tramadol and Its Possible Role in Oxidative Stress †
Abstract
:1. Introduction
2. Experiments
2.1. Drugs, Solutions and Reagents
2.2. Voltammetric Assays
2.3. Quantum Chemistry Calculations
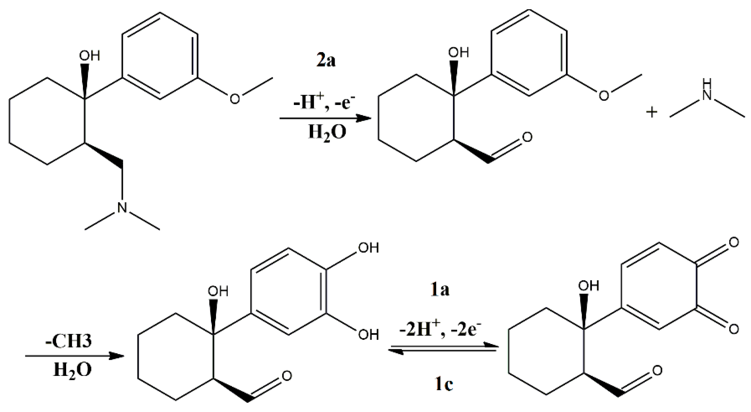
3. Results
4. Discussion
5. Conclusions
Author Contributions
Acknowledgments
Conflicts of Interest
Abbreviations
| TRA | tramadol |
| CNS | central nervous system |
| ROS | reactive oxygen species |
| DMC | 2-((dimethylamino)methyl) cyclohexanol |
| EHM | extended Hückel method |
| HOMO | highest occupied molecular orbital |
| LUMO | lowest unoccupied molecular orbital |
References
- Miotto, K.; Cho, A.K.; Khalil, M.A.; Blanco, K.; Sasaki, J.D.; Rawson, R. Trends in Tramadol: Pharmacology, Metabolism, and Misuse. Anesth. Analg. 2017, 124, 44–51. [Google Scholar] [CrossRef] [PubMed]
- Das, M.; Jain, R.; Dhawan, A.; Kaur, A. Assessment of abuse liability of Tramadol among experienced drug users: Double-blind crossover randomized controlled trial. J. Opioid Manag. 2016, 12, 421–430. [Google Scholar] [CrossRef]
- Mohamed, H.M.; Mahmoud, A.M. Chronic exposure to the opioid tramadol induces oxidative damage, inflammation and apoptosis, and alters cerebral monoamine neurotransmitters in rats. Biomed. Pharmacother. 2019, 110, 239–247. [Google Scholar] [CrossRef]
- Thomaz, D.V. Flavonoid chemistry and neuroprotection. Front. Drug Chem. Clin. Res. 2020, 3, 1–3. [Google Scholar] [CrossRef]
- Nagakannan, P.; Shivasharan, B.D.; Thippeswamy, B.S.; Veerapur, V.P. Effect of tramadol on behavioral alterations and lipid peroxidation after transient forebrain ischemia in rats. Toxicol. Mech. Methods 2012, 22, 674–678. [Google Scholar] [CrossRef]
- Pham-Huy, L.A.; He, H.; Pham-Huy, C. Free radicals, antioxidants in disease and health. Int. J. Biomed. Sci. 2008, 4, 89. [Google Scholar]
- Thomaz, D.V.; Peixoto, L.F.; de Oliveira, T.S.; Fajemiroye, J.O.; da Silva Neri, H.F.; Xavier, C.H.; Costa, E.A.; Alcantara dos Santos, F.C.; de Souza Gil, E.; Ghedini, P.C. Antioxidant and neuroprotective properties of Eugenia dysenterica leaves. Oxid. Med. Cell. Longev. 2018, 2018. [Google Scholar] [CrossRef] [Green Version]
- Thomaz, D.V. The Therapeutic Potential of Phytomedicines from Brazilian Cerrado Herbs against Neurodegenerative Diseases. Am. J. Biomed. Sci. Res. 2020, 7, 374–377. [Google Scholar] [CrossRef]
- Zinola, C.F. Density functional theory. In Electrocatalysis: Computational, Experimental, and Industrial Aspects; CRC Press: Boca Raton, FL, USA, 2010; ISBN 9781420045451. [Google Scholar]
- Deepa, P.; Kolandaivel, P.; Senthilkumar, K. Theoretical investigation of interaction between psoralen and altretamine with stacked DNA base pairs. Mater. Sci. Eng. C 2012, 32, 423–431. [Google Scholar] [CrossRef]
- Rodrigues, E.S.B.; de Macêdo, I.Y.L.; da Silva Lima, L.L.; Thomaz, D.V.; da Cunha, C.E.P.; Teles de Oliveira, M.; Ballaminut, N.; Alecrim, M.F.; Ferreira de Carvalho, M.; Isecke, B.G.; et al. Electrochemical Characterization of Central Action Tricyclic Drugs by Voltammetric Techniques and Density Functional Theory Calculations. Pharmaceuticals 2019, 12, 116. [Google Scholar] [CrossRef] [Green Version]
- El-Gogary, T.M.; Koehler, G. Interaction of psoralens with DNA-bases (II): An ab initio quantum chemical, density functional theory and second-order MØller-Plesset perturbational study. J. Mol. Struct. Theochem 2009, 895, 57–64. [Google Scholar] [CrossRef]
- Thomaz, D.V.; Santos, P.A. Electrochemical behavior of Methotrexate upon binding to the DNA of different cell lines. In Proceedings of the 1st International Electronic Conference on Cancers: Exploiting Cancer Vulnerability by Targeting the DNA Damage Response, Virtual Event, 1–14 February 2021. [Google Scholar]
- Thomaz, D.V.; de Oliveira, M.G.; Rodrigues, E.S.B.; da Silva, V.B.; Santos, P.A. Dos Physicochemical investigation of psoralen binding to double stranded dna through electroanalytical and cheminformatic approaches. Pharmaceuticals 2020, 13, 108. [Google Scholar] [CrossRef] [PubMed]
- Climent, V.; Feliu, J.M. Cyclic voltammetry. In Encyclopedia of Interfacial Chemistry: Surface Science and Electrochemistry; Elsevier: Amsterdam, The Netherlands, 2018; ISBN 9780128098943. [Google Scholar]
- Matito, E.; Feixas, F.; Solà, M. Electron delocalization and aromaticity measures within the Hückel molecular orbital method. J. Mol. Struct. Theochem 2007, 811, 3–11. [Google Scholar] [CrossRef]
- Ponder, J.W.; Richards, F.M. An efficient newton-like method for molecular mechanics energy minimization of large molecules. J. Comput. Chem. 1987, 8, 1016–1024. [Google Scholar] [CrossRef]
- Case, D.A.; Cheatham, T.E.; Darden, T.; Gohlke, H.; Luo, R.; Merz, K.M.; Onufriev, A.; Simmerling, C.; Wang, B.; Woods, R.J. The Amber biomolecular simulation programs. J. Comput. Chem. 2005, 26, 1668–1688. [Google Scholar] [CrossRef] [Green Version]
- Leite, K.C.D.S.; Garcia, L.F.; Lobón, G.S.; Thomaz, D.V.; Moreno, E.K.G.; Carvalho, M.F.D.; Rocha, M.L.; Santos, W.T.P.D.; Gil, E.D.S. Antioxidant activity evaluation of dried herbal extracts: An electroanalytical approach. Braz. J. Pharmacogn. 2018, 28, 325–332. [Google Scholar] [CrossRef]
- Thomaz, D.V.; Filho, A.M.D.A.; Macedo, I.Y.L.; Rodrigues, E.S.B.; Gil, E.D.S. Predictive Modelling to Study the Electrochemical Behaviour of PdO, TiO2 and Perovskite-Type LaFeO3 Modified Carbon Paste Electrodes. Path Sci. 2019, 5, 4001–4007. [Google Scholar] [CrossRef]
- Mendoza, S.; Bustos, E.; Manríquez, J.; Godínez, L.A. Voltammetric Techniques. In Agricultural and Food Electroanalysis; John Wiley & Sons, Ltd.: Hoboken, NJ, USA, 2015; ISBN 9781118684030. [Google Scholar]
- David, I.G.; Popa, D.E.; Buleandra, M. Pencil graphite electrodes: A versatile tool in electroanalysis. J. Anal. Methods Chem. 2017, 2017. [Google Scholar] [CrossRef] [PubMed] [Green Version]
- Jabeen, H.; Saleemi, S.; Razzaq, H.; Yaqub, A.; Shakoor, S.; Qureshi, R. Investigating the scavenging of reactive oxygen species by antioxidants via theoretical and experimental methods. J. Photochem. Photobiol. B Biol. 2018, 180, 268–275. [Google Scholar] [CrossRef]
- Thomaz, D.V.; de Oliveira, M.T.; Lobón, G.S.; da Cunha, C.E.P.; Machado, F.B.; Moreno, E.K.G.; Leite, K.C.S.; Ballaminut, N.; Alecrim, M.F.; de Carvalho, M.F.; et al. Development of Laccase-TiO2@carbon paste biosensor for voltammetric determination of paracetamol. Int. J. Electrochem. Sci. 2018, 13. [Google Scholar] [CrossRef]
- Antunes, R.S.; Thomaz, D.V.; Garcia, L.F.; Gil, E.D.S.; Sommerset, V.S.; Lopes, F.M. Determination of Methyldopa and Paracetamol in Pharmaceutical Samples by a Low Cost Genipa americana L. Polyphenol Oxidase Based Biosensor. Adv. Pharm. Bull. 2019, 9, 416–422. [Google Scholar] [CrossRef] [PubMed] [Green Version]
- DuVall, S.H.; McCreery, R.L. Control of catechol and hydroquinone electron-transfer kinetics on native and modified glassy carbon electrodes. Anal. Chem. 1999. [Google Scholar] [CrossRef]
- Lütke Eversloh, C.; Schulz, M.; Wagner, M.; Ternes, T.A. Electrochemical oxidation of tramadol in low-salinity reverse osmosis concentrates using boron-doped diamond anodes. Water Res. 2015. [Google Scholar] [CrossRef]
- Zimmermann, S.G.; Schmukat, A.; Schulz, M.; Benner, J.; Gunten, U.V.; Ternes, T.A. Kinetic and mechanistic investigations of the oxidation of tramadol by ferrate and ozone. Environ. Sci. Technol. 2012. [Google Scholar] [CrossRef]




| Drug | HOMO-n (eV) | LUMO-n (eV) | ΔELUMO—HOMO gap (eV) |
|---|---|---|---|
| (n 0) − 9.409 | (n 0) + 0.663 | 10.072 | |
| Tramadol | (n −1) − 12.306 | (n +1) + 1.727 | 14.033 |
| (n −2) − 12.443 | (n +2) + 14.701 | 27.144 |
Publisher’s Note: MDPI stays neutral with regard to jurisdictional claims in published maps and institutional affiliations. |
© 2020 by the authors. Licensee MDPI, Basel, Switzerland. This article is an open access article distributed under the terms and conditions of the Creative Commons Attribution (CC BY) license (https://creativecommons.org/licenses/by/4.0/).
Share and Cite
Contardi, U.A.; Morikawa, M.; Thomaz, D.V. Redox Behavior of Central-Acting Opioid Tramadol and Its Possible Role in Oxidative Stress. Med. Sci. Forum 2021, 2, 16. https://doi.org/10.3390/CAHD2020-08557
Contardi UA, Morikawa M, Thomaz DV. Redox Behavior of Central-Acting Opioid Tramadol and Its Possible Role in Oxidative Stress. Medical Sciences Forum. 2021; 2(1):16. https://doi.org/10.3390/CAHD2020-08557
Chicago/Turabian StyleContardi, Uriel Abe, Mateus Morikawa, and Douglas Vieira Thomaz. 2021. "Redox Behavior of Central-Acting Opioid Tramadol and Its Possible Role in Oxidative Stress" Medical Sciences Forum 2, no. 1: 16. https://doi.org/10.3390/CAHD2020-08557
APA StyleContardi, U. A., Morikawa, M., & Thomaz, D. V. (2021). Redox Behavior of Central-Acting Opioid Tramadol and Its Possible Role in Oxidative Stress. Medical Sciences Forum, 2(1), 16. https://doi.org/10.3390/CAHD2020-08557

