A Comparative Study of Quantum Dot Solar Cell with Two Different ETLs of WS2 and IGZO Using SCAPS-1D Simulator
Abstract
:1. Introduction
2. Device Structure and Operation
3. Result and Discussion
3.1. Influence of Replacement of ETL on Device Performance
3.2. Comparative Study on the Impact of Doping Density of HTL
3.3. Comparative Study of the Impact of Series Resistance and Shunt Resistance
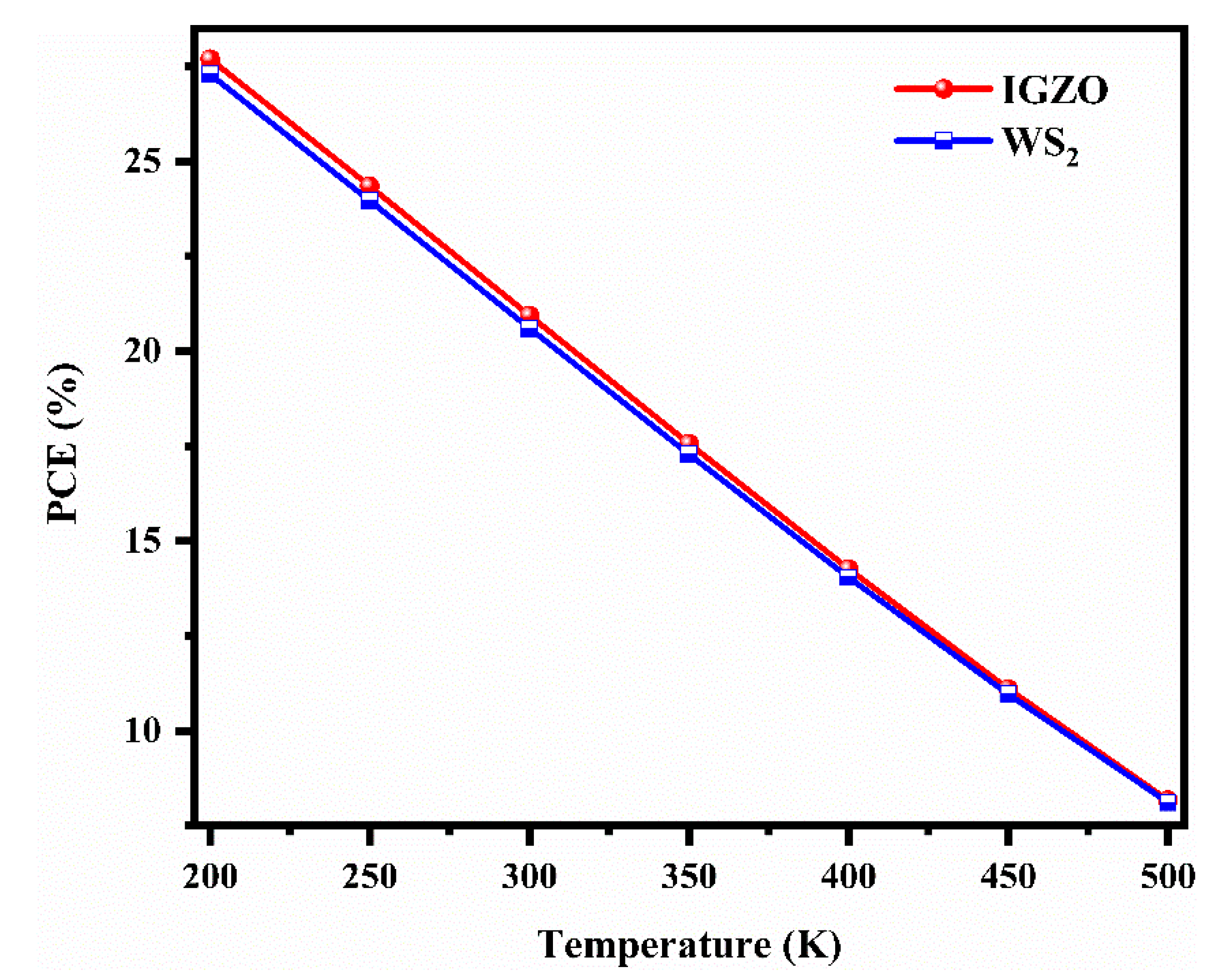
3.4. Comparative Study on the Impact of Increasing Temperature on PCE
3.5. Contour Plot between Thickness and Bandgap for WS2 and IGZO ETL Based Device
4. Conclusions
Author Contributions
Funding
Institutional Review Board Statement
Informed Consent Statement
Data Availability Statement
Conflicts of Interest
References
- Prasad, S.; Lohia, P.; Dwivedi, D.K. Efficient PbS colloidal quantum dot solar cells employing Cu2O as a hole transport layer. Opt. Quantum. Electron. 2021, 53, 1–14. [Google Scholar] [CrossRef]
- Singh, P.K.; Rai, S.; Lohia, P.; Dwivedi, D.K. Comparative study of the CZTS, CuSbS2 and CuSbSe2 solar photovoltaic cell with an earth-abundant non-toxic buffer layer. Sol. Energy 2021, 222, 175–185. [Google Scholar]
- Liu, N.; Wang, L.; Xu, F.; Wu, J.; Song, T.; Chen, Q. Recent progress in developing monolithic perovskite/Si tandem solar cells. Front. Chem. 2020, 8, 603375. [Google Scholar] [CrossRef] [PubMed]
- Xu, A.F.; Liu, N.; Xie, F.; Song, T.; Ma, Y.; Zhang, P.; Bai, Y.; Li, Y.; Chen, Q.; Xu, G. Promoting thermodynamic and kinetic stabilities of FA-based perovskite by an in situ bilayer structure. Nano Lett. 2020, 20, 3864–3871. [Google Scholar] [CrossRef]
- Zhang, L.; Zhao, Y.; Dai, Q. Recent progress in perovskite solar cell: Fabrication, efficiency, and stability. Dev. Sol. Cells 2021, 32, 1–32. [Google Scholar] [CrossRef]
- Tripathi, S.; Lohia, P.; Dwivedi, D.K. Contribution to sustainable and environmentally friendly non-toxic CZTS solar cell with an innovative hybrid buffer layer. Sol. Energy 2020, 204, 748–760. [Google Scholar] [CrossRef]
- Pandey, R.; Khanna, A.; Singh, K.; Patel, S.K.; Singh, H.; Madan, J. Device simulations: Toward the design of >13% efficient PbS colloidal quantum dot solar cell. Sol. Energy 2020, 207, 893–902. [Google Scholar] [CrossRef]
- Sahu, A.; Garg, A.; Dixit, A. A review on quantum dot sensitized solar cells: Past, present and future towards carrier multiplication with a possibility for higher efficiency. Sol. Energy 2020, 203, 210–239. [Google Scholar] [CrossRef]
- Rai, N.; Rai, S.; Singh, P.K.; Lohia, P.; Dwivedi, D.K. Analysis of various ETL materials for an efficient perovskite solar cell by numerical simulation. J. Mater. Sci. Mater. Electron. 2020, 31, 16269–16280. [Google Scholar] [CrossRef]
- Chen, C.; Wang, L.; Gao, L.; Nam, D.; Li, D.; Li, K.; Zhao, Y.; Ge, C.; Cheong, H.; Liu, H.; et al. 6.5% certified efficiency Sb2Se3 solar cells using PbS colloidal quantum dot film as hole-transporting layer. ACS Energy Lett. 2017, 2, 2125–2132. [Google Scholar] [CrossRef]
- Rai, S.; Pandey, B.K.; Dwivedi, D.K. Modelling of highly efficient and low-cost CH3NH3Pb(I1-xClx)3 based perovskite solar cell by numerical simulation. Opt. Mater. 2020, 100, 109631. [Google Scholar] [CrossRef]
- Nozik, A.J. Quantum dot solar cells. Phys. E Low-Dimens. Syst. Nanostruct. 2002, 14, 115–120. [Google Scholar] [CrossRef]
- Dwivedi, D.K. Numerical modelling for the earth-abundant highly efficient solar photovoltaic cell of non-toxic buffer layer. Opt. Mater. 2020, 109, 110409. [Google Scholar]
- Ding, C.; Zhang, Y.; Liu, F.; Kitabatake, Y.; Hayase, S.; Toyoda, T.; Wang, R.; Yoshino, K.; Minemoto, T.; Shen, Q. Understanding charge transfer and recombination by interface engineering for improving the efficiency of PbS quantum dot solar cells. Nanoscale Horiz. 2018, 3, 417–429. [Google Scholar] [CrossRef]
- Dwivedi, D.K. Theoretical investigation on the enhancement of output performance of CZTSSe based solar cell. Sol. Energy 2019, 193, 442–451. [Google Scholar]
- Kramer, I.J.; Sargent, E.H. The architecture of colloidal quantum dot solar cells: Materials to devices. Chem. Rev. 2014, 114, 863–882. [Google Scholar] [CrossRef]
- Gao, W.; Zhai, G.; Zhang, C.; Shao, Z.; Zheng, L.; Zhang, Y.; Yang, Y.; Li, X.; Liu, X.; Xu, B. Towards understanding the initial performance improvement of PbS quantum dot solar cells upon short-term air exposure. RSC Adv. 2018, 8, 15149–15157. [Google Scholar] [CrossRef] [Green Version]
- Guo, Y.; Lei, H.; Xiong, L.; Li, B.; Chen, Z.; Wen, J.; Yang, G.; Li, G.; Fang, G. Single phase, high hole mobility Cu2O films as an efficient and robust hole transporting layer for organic solar cells. J. Mater. Chem. A 2017, 5, 11055–11062. [Google Scholar] [CrossRef]
- Hima, A.; Lakhdar, N.; Saadoune, A. Effect of Electron Transporting Layer on Power Conversion Efficiency of Perovskite-based Solar Cell: Comparative Study. J. Nano Electron. Phys. 2019, 11, 1–3. [Google Scholar] [CrossRef]
- Hossain, M.I.; Alharbi, F.H.; Tabet, N. Copper oxide as inorganic hole transport material for lead halide perovskite-based solar cells. Sol. Energy 2015, 120, 370–380. [Google Scholar] [CrossRef]
- Kannan, N.; Vakeesan, D. Solar energy for the future world: A review. Renew. Sustain. Energy Rev. 2016, 62, 1092–1105. [Google Scholar] [CrossRef]
- Khaled, S.A.; Kate, R.S.; Deokate, R.J. A review on energy economics and the recent research and development in energy and the Cu2ZnSnS4 (CZTS) solar cells: A focus towards efficiency. Sol. Energy 2018, 169, 616–633. [Google Scholar]
- Kirmani, A.R.; Sheikh, A.D.; Niazi, M.R.; Haque, M.A.; Liu, M.; de Arquer, F.P.G.; Xu, J.; Sun, B.; Voznyy, O.; Gasparini, N.; et al. Overcoming the Ambient Manufacturability-Scalability-Performance Bottleneck in Colloidal Quantum Dot Photovoltaics. Adv. Mater. 2018, 30, 1801661. [Google Scholar] [CrossRef] [PubMed] [Green Version]
- Li, L.; Yang, X.; Gao, J.; Tian, H.; Zhao, J.; Hagfeldt, A.; Sun, L. Highly efficient CdS quantum dot sensitized solar cells based on a modified polysulfide electrolyte. J. Am. Chem. Soc. 2011, 133, 8458–8460. [Google Scholar] [CrossRef]
- Ning, Z.; Zhitomirsky, D.; Adinolfi, V.; Sutherland, B.; Xu, J.; Voznyy, O.; Maraghechi, P.; Lan, X.; Hoogland, S.; Ren, Y.; et al. Graded doping for enhanced colloidal quantum dot photovoltaics. Adv. Mater. 2013, 25, 1719–1723. [Google Scholar] [CrossRef]
- Rühle, S.; Shalom, M.; Zaban, A. Quantum-dot-sensitized solar cells. ChemPhysChem 2010, 11, 2290–2304. [Google Scholar] [CrossRef]
- Xing, M.; Zhang, Y.; Shen, Q.; Wang, R. Temperature-dependent photovoltaic performance of TiO2/PbS heterojunction quantum dot solar cells. Sol. Energy 2020, 195, 1–5. [Google Scholar] [CrossRef]
- Zhang, X.; Santra, P.K.; Tian, L.; Johansson, M.B.; Rensmo, H.; Johansson, E.M. Highly efficient flexible quantum dot solar cells with improved electron extraction using MgZnO nanocrystals. ACS Nano 2017, 11, 8478–8487. [Google Scholar] [CrossRef]
- Du, J.; Du, Z.; Hu, J.S.; Pan, Z.; Shen, Q.; Sun, J.; Long, D.; Dong, H.; Sun, L.; Zhong, X.; et al. Zn–Cu–In–Se quantum dot solar cells with a certified power conversion efficiency of 11.6%. J. Am. Chem. Soc. 2016, 138, 4201–4209. [Google Scholar] [CrossRef]
- Smith, A.M.; Nie, S. Semiconductor nanocrystals: Structure, properties, and bandgap engineering. Acc. Chem. Res. 2010, 43, 190–200. [Google Scholar] [CrossRef] [Green Version]
- Song, X.; Ji, X.; Li, M.; Lin, W.; Luo, X.; Zhang, H. A Review on Development Prospect of CZTS Based Thin Film Solar Cells. Int. J. Photoenergy 2014, 2014, 613173. [Google Scholar] [CrossRef]
- Tang, J.; Kemp, K.W.; Hoogland, S.; Jeong, K.S.; Liu, H.; Levina, L.; Furukawa, M.; Wang, X.; Debnath, R.; Cha, D.; et al. Colloidal-quantum-dot photovoltaics using atomic-ligand passivation. Nat. Mater. 2011, 10, 765–771. [Google Scholar] [CrossRef]
- Teimouri, R.; Mohammadpour, R. Potential application of CuSbS2 as the hole transport material in perovskite solar cell: A simulation study. Superlattices Microstruct. 2018, 118, 116–122. [Google Scholar] [CrossRef]
- Vallisree, S.; Thangavel, R.; Lenka, T.R. Theoretical investigations on the enhancement of photovoltaic efficiency of nanostructured CZTS/ZnS/ZnO based solar cell device. J. Mater. Sci. Mater. Electron. 2018, 29, 7262–7272. [Google Scholar] [CrossRef]
- Chaudhary, P.; Verma, A.; Mishra, A.; Yadav, D.; Pal, K.; Yadav, B.C.; Kumar, E.R.; Thapa, K.B.; Mishra, S.; Dwivedi, D.K. Preparation of carbon quantum dots using bike pollutant soot: Evaluation of structural, optical and moisture sensing properties. Phys. E Low-Dimens. Syst. Nanostruct. 2022, 139, 115174. [Google Scholar] [CrossRef]








| Parameters | ITO | WS2 | IGZO | CdS | Sb2Se3 | HTL |
|---|---|---|---|---|---|---|
| Thickness (nm) | 25 | 50 | 50 | 60 | 400 | 5 |
| Eg (eV) | 3.5 | 1.8 | 3.05 | 2.4 | 1.06 | 1.2 |
| Affinity for Electrons (eV) | 4.0 | 3.95 | 4.16 | 4 | 4.15 | 4.0 |
| Dielectric permittivity | 9.0 | 13.6 | 10 | 10 | 19 | 10 |
| Mobility of electrons, μe (cm2/Vs) | 20 | 100 | 15 | 100 | 10 | 0.01 |
| Mobility of holes, μh (cm2/Vs) | 10 | 100 | 0.1 | 25 | 1 | 0.01 |
| ND (cm−3) | 1 × 1018 | 1.0 × 1018 | 1 × 1018 | 1.1 × 1018 | - | 1 × 1015 |
| NA (cm−3) | - | - | - | - | 2 × 1014 | 1.00 × 1015 |
| Nt (cm−3) | 1014 | 1015 | 1014 | 1014 | 1014 | 1.0 × 1014 |
| Nc (cm−3) | 2.2 × 1018 | 2.2 × 1017 | 5 × 1018 | 2.2 × 1018 | 1.0 × 1018 | 1.0 × 1019 |
| Nv (cm−3) | 1.8 × 1018 | 2.2 × 1016 | 5 × 1018 | 1.8 × 1019 | 1.8 × 1020 | 1.8 × 1013 |
| Thermal velocity of e− (cm/s) | 107 | 107 | 107 | 107 | 107 | 107 |
| The thermal velocity of holes (cm/s) | 1.0 × 107 | 1.0 × 107 | 1.0 × 107 | 1.0 × 107 | 1.0 × 107 | 1.0 × 107 |
| Parameters | Defect 1 |
|---|---|
| Type of defect | Single acceptor (−/0) |
| Et (eV) above Ev | 1.2 |
| Cross Section Area of e− (cm2) | 10−17 |
| Cross Section Area of the hole (cm2) | 10−12 |
| Nt (cm−3) | 1.0 × 10−18 |
| Parameters | Defect |
|---|---|
| Type of defect | Neutral |
| Et (eV) above Ev | 0.55 |
| Cross Section Area of e− (cm2) | 10−13 |
| Cross Section Area of hole (cm2) | 1.5 × 10−14 |
| Nt (cm−3) | 1.6 × 10−15 |
| Device | Jsc (mA/cm2) | Voc (V) | FF (%) | PCE (%) | Reference |
|---|---|---|---|---|---|
| WS2 ETL-based solar device | 40.52 mA/cm2 | 0.706 V | 72.00% | 20.60% | This work |
| IGZO ETL-based solar device | 41.17 mA/cm2 | 0.706 V | 71.94% | 20.94 ± 0.62% | This work |
| PbS CQD HTL (certified) | 25.5 mA/cm2 | 0.427 V | 59.3% | 6.50% | [10] |
| Cu2O HTL-based QDSC device | 24.60 mA/cm2 | 0.7559 V | 73.76% | 13.72% | [1] |
| Calibrated device with MZO ETL | 24.51 mA/cm2 | 0. 633 V | 60.8% | 9.43% | [7] |
| TiO2 ETL-based device | 24.46 mA/cm2 | 0. 635 V | 63.8% | 9.87% | [27] |
| MZO-NC ETL-based device | 24.5 mA/cm2 | 0.62 V | 62.0% | 9.41% | [7,28] |
| QDSCs(Certified value) | 25.25 mA/cm2 | 0.739 V | 62.2% | 11.61% | [29] |
Publisher’s Note: MDPI stays neutral with regard to jurisdictional claims in published maps and institutional affiliations. |
© 2022 by the authors. Licensee MDPI, Basel, Switzerland. This article is an open access article distributed under the terms and conditions of the Creative Commons Attribution (CC BY) license (https://creativecommons.org/licenses/by/4.0/).
Share and Cite
Naureen; Sadanand; Lohia, P.; Dwivedi, D.K.; Ameen, S. A Comparative Study of Quantum Dot Solar Cell with Two Different ETLs of WS2 and IGZO Using SCAPS-1D Simulator. Solar 2022, 2, 341-353. https://doi.org/10.3390/solar2030020
Naureen, Sadanand, Lohia P, Dwivedi DK, Ameen S. A Comparative Study of Quantum Dot Solar Cell with Two Different ETLs of WS2 and IGZO Using SCAPS-1D Simulator. Solar. 2022; 2(3):341-353. https://doi.org/10.3390/solar2030020
Chicago/Turabian StyleNaureen, Sadanand, Pooja Lohia, Dilip Kumar Dwivedi, and Sadia Ameen. 2022. "A Comparative Study of Quantum Dot Solar Cell with Two Different ETLs of WS2 and IGZO Using SCAPS-1D Simulator" Solar 2, no. 3: 341-353. https://doi.org/10.3390/solar2030020
APA StyleNaureen, Sadanand, Lohia, P., Dwivedi, D. K., & Ameen, S. (2022). A Comparative Study of Quantum Dot Solar Cell with Two Different ETLs of WS2 and IGZO Using SCAPS-1D Simulator. Solar, 2(3), 341-353. https://doi.org/10.3390/solar2030020

