Abstract
Diatoms are reliable environmental bioindicators, but their application in coastal environments remains limited. Substrate has been put forward in the literature as an important variable in determining diatom habitat preferences. This study focuses on benthic diatom assemblages and their relationship with substrate specificity in a subarctic tidal environment, which could be relevant for environmental monitoring and management. A variety of substrates were sampled and physicochemical variables measured in various areas of the Bay of Sept-Îles region (northern Gulf of Saint-Lawrence, Canada). We recorded 606 species at 14 sites from 11 substrate types to determine the associations between diatoms and their habitats. Our results suggest that the variability of assemblages in the bay is the result of a combination of the identified variables (temperature, salinity, and total dissolved solids), explaining 26.5% of the variation, and other unmeasured variables (e.g., nutrients, wave action, and currents). Substrate was not identified as a significant variable in the statistical analyses. However, some common species in the surveyed assemblages appeared to show preferences for the substrates they colonized.
1. Introduction
Coastal environments are increasingly affected by the impacts of human activities and are among the ecosystems most threatened by climate change [,]. They are particularly affected by various anthropogenic factors, such as eutrophication, pollutants from industries, agriculture and urbanization, domestic sewage discharge, and habitat alteration by human facilities []. Noise from boats, industrial activity, and construction in the coastal zone [], light pollution, and microplastic pollution also greatly affect coastal ecosystems []. Some of the most pronounced effects of increasing atmospheric CO2 concentrations and climate change on temperate and subarctic coastal regions include increased shoreline erosion due to decreasing ice cover [], sea level rise [], an increase in storm frequency and strength [], ocean acidification [], and an increase in water temperature [].
Many of the changes that accompany the current warming conditions have been conducive to easier and longer seasonal access to coastal environments in cold regions that are ice-covered during half of the year or more []. Many of these regions, including Northern Canada, are more and more frequented by maritime traffic and subjected to industrial and port development []. Environmental surveillance and the implementation of sustainable management and conservation practices are therefore a priority to maintain ecosystem services in these regions []. The use of bioindicators is key among the strategies that are at our disposal to effectively monitor the environment []. Diatoms (class Bacillariophyceae) are excellent indicators of environmental conditions and are routinely used in freshwater quality assessment programs [,]. However, their use in coastal environments remains limited. These microscopic algae, whose diversity can be estimated at between 200,000 and 2 million species [], constitute the basis of aquatic food webs and are found in all aquatic and wetland environments on the planet []. Their preferences and optima regarding physicochemical variables drive assemblage composition that reflects the environment in which the different species live [,]. Their distribution and species assemblages are influenced by various environmental factors, such as nutrient concentrations, salinity, pH, and temperature []. Substrate types appear to also be an influential variable on diatom assemblages, as benthic species are classified according to their habitat preference. Epilithon, which is attached to rocks, shows the most diversity due to the stability of the substrate, which allows for the development of more assemblages []. As a result, biofilms develop more readily and contain many diatom species []. Epiphytic species are attached to plants []. They can grow on aquatic and terrestrial plants and bryophytes, including mosses that are known to harbor diverse diatom assemblages []. Epiphyton and epilithon can have species in common []. Epipsammon, found on sand grains, are somewhat less diverse. Their assemblages are more unique due to the unstable substrate and the lack of light to which diatoms must adapt []. Many epipsammic species are in fact motile, allowing them to adapt to changing conditions. Epipelon, associated with muddy sediments, also have a flora that must adapt to light changes []. Epipelic as well as epipsammic diatoms also help to make sediments more stable through the production of mucus that glues sand grains together [].
In light of this classification, relatively few studies have focused on determining the habitat preferences, in terms of substrates, of diatom species. In order to make better use of diatom assemblages as bioindicators, it is necessary to refine our knowledge of their autecology. This is particularly true for diatoms found in regions that remain poorly studied but are under increasing anthropogenic pressure. This is the case for our study site, the Bay of Sept-Îles (BSI), located in eastern North America. The development of diatoms as an effective bioindicator of coastal ecosystems will increasingly be used for environmental management strategies of this type of environment under local and global changes. For environmental quality assessment, understanding how substrate influences diatom assemblages is critical because it allows scientists and environmental managers to identify and interpret changes in these communities. This knowledge also helps optimize sampling strategies, and can guide the decision on whether collecting different types of substrates or sampling one specific type at each site is necessary [,]. By monitoring diatom communities over time, it becomes possible to track changes in water quality, detect environmental disturbances, and assess the effectiveness of environmental management measures.
The objectives of this study were therefore (i) to describe the benthic diatom assemblages found on different substrates of the intertidal zone, and (ii) to determine whether substrate type, combined with other environmental variables, can explain diatom species assemblage structure at these sites. We postulated that substrate type exerts a significant influence on the distribution and assemblages of intertidal diatoms in the BSI.
2. Materials and Methods
2.1. Study Site
Our study area was the BSI and its surroundings, located between latitudes 50°08′ and 50°17′ N and longitudes 66°36′ and 65°55′ W (Figure 1). The Sept-Îles region is located on the northern Gulf of St. Lawrence in the province of Quebec, Canada. This coastal environment consists of a mix of salt water brought in by the Atlantic Ocean and fresh water from the St. Lawrence River system, as well as the rivers that flow into it [,]. Sept-Îles has a subarctic climate, and coastal ice has historically covered the bay between November and early April [].

Figure 1.
Location of the Bay of Sept-Îles (BSI) on Québec’s North Shore, and of the geographical elements mentioned in the text. The numbers are the analysed sites.
The bay is protected from storms, which allows for the development of underwater vegetation and the sedimentation of clay. A large eelgrass (Zostera marina) bed measuring several km2 has recently established in the shallow sectors of the bay []. On the terrestrial coastline, wetlands in the region are varied. Sandy beaches as well as intertidal marshes can also be found; salt marshes are the dominant environmental type []. Low-lying beach terraces and spits of land characterize the coastline []. Sand makes up an important percentage of the sediment [].
The circulation in the bay is considered estuarine, with surface currents flowing seaward, while the deeper currents flow in a shoreward direction. The work of Shaw et al. (2022) [] showed that surface currents are, on average, circular and in a cyclonic direction. They have an average speed of 17.4 cm s−1 with a maximum speed reaching 86.6 cm s−1. Observations made with drifting buoys have verified that surface currents are dominated by winds. It is the interaction between tides, winds, estuarine circulation, and the effects of Earth’s rotation that generally guides the currents in the bay. Four rivers flow into the BSI: the Hall, des Rapides, aux Foins and Poste Rivers. Approximately 22 m3 s−1 of freshwater flows into the bay annually []. Numerous streams also drain into the bay, but these have little influence on freshwater and sediment input to the bay []. The BSI is subject to a semi-diurnal tidal system, with water levels ranging from 0.49 m to 2.72 m, and a mean water level of 1.52 m [].
The Sept-Îles municipality extends from the Ste-Marguerite River in the west, including the Gallix residential area, to the Moisie River in the east (Figure 1). The city of Sept-Îles, is located on the northeastern and eastern shores of the bay. Numerous human activities are carried out in the BSI, mainly related to the port, fishing, and mining sectors. In particular, the Port of Sept-Îles has docks in the city of Sept-Îles and on Pointe Noire, in the southwestern part of the bay, where the Aluminerie Alouette is located, the largest aluminum smelter in the Americas. The IOC-Rio Tinto company, specialized in iron ore and pellets, is located east of the bay []. Small-scale agriculture is also practiced in the bay (Le végétarien) and the islands of the archipelago offer various tourist activities. Grosse Boule Island is home to La Ferme Maricole Purmer, which grows mussels, scallops, and edible seaweed [].
The BSI is a perfect example of a coastal environment that is likely to be affected by many environmental changes related to both climate change and human activities. Indeed, the BSI is of significance in the port, fishing, and mining industries in Eastern Canada and internationally. The Port of Sept-Îles is the most important mineral port in North America and ranks second among Canadian ports in terms of the volume of goods that it handles [,]. Due to the importance of these industries, the bay experiences marine traffic, which is one of the most likely disruptive factors in the environment []. Vessels are noisy, can contribute to the establishment of invasive exotic species, resuspend contaminants upon anchoring, and promote water mixing []. The BSI is also subject to shoreline erosion []. Scenarios based on recent climate changes indicate that a decrease in ice cover generates an increase in erosion through the arrival of storm waves []. Since 2010, a decrease in sea ice has been observed in the Gulf of St. Lawrence []. Notably, Demers (2018) [] observed a later arrival of sea ice and an earlier melt during the winter of 2016–2017, with an area smaller than usual. This trend is also visible in the BSI (ES-T, JC, pers.obs.).
An environmental monitoring observatory has been established in the BSI since 2013 with the goals of understanding the various potential impacts and guiding managers to better predict and avoid them []. Several studies have been conducted in the bay as part of the observatory, including water and sediment analyses [,] and studies on benthic macrofauna community structure []. However, this is the first study to be conducted on the diatoms of the BSI. The Canadian Healthy Oceans Network (CHONe2) selected the BSI as a study site from 2015 to 2021 to enable sustainable development in the region and to study the effect of cumulative impacts of various pressures. Ports are particularly important environments in a society, but can create several environmental risks []. It is therefore necessary to establish biomonitoring tools in these areas in order to better assess the evolution of the health of the ecosystems and their ecological integrity.
2.2. Sampling and Substrates
A total of 38 sites were sampled in the study area between the 22 and 30 July 2020. At each site, depending on the type of environment, several types of substrates were collected: various submerged plants (eelgrass, algae, algae growing on rocks), wood, shells, barnacles, surface sediments, sand, and rock biofilm, as well as a piece of polystyrene and a piece of metal (Figure 2). For hard surfaces like rocks, a toothbrush was used to scrub the surface, allowing the diatoms to detach. As for soft substrates such as sediments, a small amount of material was directly collected from the surface using a spatula. The collected material was then placed in tightly sealed tubes, refrigerated, and protected from light, until further analysis in the laboratory. Algae were put into sample bags and scrubbed with a spatula in the laboratory to collect the biofilm. The samples were taken at low tide and came from various sectors of activity, including the marina (site 24), near the aluminum smelter (site 33), docks and ship terminals (site 17 and site 23), agricultural areas (site 4), residential areas (site 7), and recreational sites (parks and campsites; sites 1, 3, and 6). Two samples were taken from the islands, one on Grande Basque Island (site 32) and one next to La Ferme Maricole Purmer on Grosse Boule Island (site 36). Fourteen coastal brackish water sites were used for the analysis presented here, for a total of 42 samples (Figure 1).

Figure 2.
Examples of sampled substrates and sites: barnacles (a), eelgrass (b), rocks (c), wood (d), submerged algae (e,g), metal (f), polystyrene (h), site 16 (i), site 1 (j).
2.3. Environmental Data
At each site, several physicochemical variables were measured using a Hanna HI 9829 probe. These include pH, total dissolved solids (TDS), salinity, turbidity, temperature, and oxidation-reduction potential (ORP) (Table 1). All measurements were made at the surface of the water column at the time of sampling, as well as on two other occasions during the field trip at each of the sites, except for less accessible sites such as those on the islands. Measurements for the latter were taken only once, at the time of sample collection.

Table 1.
Means of measured environmental variables and substrate types collected at each study site.
2.4. Diatom Analysis
The samples were treated with hydrochloric acid (37% HCl) to remove carbonates, and with hydrogen peroxide (30% H2O2) to digest the organic matter. They were then put into a heating bath at 80 °C for about 6 h and cooled down to room temperature overnight. In the case of a reaction with the addition of chemicals, the sample was set aside for 24 h, and then, heated again. Once this step was completed, the samples were rinsed and decanted 5 times to reduce the acidity of the solutions. To mount the microscope slides, several dilutions were performed. A 0.5 mL drop of the silica solution was placed on a cover slip and air-dried in a dust-free container [,]. The cover slips were mounted onto the slides using Meltmount © thermoplastic resin [], which has a refractive index of 1.704 (the same as Naphrax, which is commonly used to mount diatom slides). A minimum of 400 valves per sample were enumerated by following random transects on the slides using a Leica DMRX light microscope equipped with differential interference contrast (DIC) illumination at ×1000 magnification under oil immersion. Valves that were broken but retained more than half and at least one end were counted as one valve. Numerous photomicrographs were taken of diatom valves and identified using different sources [,,,,,,,,,,,]. As much as possible, an effort was made to use sources focusing on coastal and marine environments in the northern hemisphere.
2.5. Data Analysis
All species with a relative abundance of at least 1% in at least one site were retained for subsequent analyses []. The rarest species were therefore removed to reduce the risk of misidentifications [] and to eliminate rare species whose presence is generally related to chance []. For statistical analysis, the total relative abundance of each species was used. In order to reveal species richness, the diversity and the Shannon–Wiener index for each site were determined, using the diversity function in the vegan package [] of the R statistical software []. The 15 most abundant species among all samples were then identified, and their distribution among different substrate types was analyzed and presented as two stacked bar charts. Analyses were first performed using the 11 substrate types collected, and then, using substrates grouped into 4 habitat groups: plants, hard substrates (rocks, barnacle shells, metal, and wood), soft substrates (sand and sediment), and debris (polystyrene). The most frequent taxa within the 42 samples were also identified, i.e., all those with a frequency above 50%, meaning they were found in at least half of the samples.
To identify similarities between the assemblages of the different samples, a clustering analysis was performed according to the Bray–Curtis similarity index [] with the vegdist function. An unconstrained analysis was also performed to determine whether the 4 habitat groups were different. The ordiellipse function was used to show the standard errors of centroid ellipses.
Substrate, TDS, salinity, pH, ORP, turbidity, and temperature were the environmental variables that were selected for analysis. Each substrate type was assigned a number to facilitate the analyses. An analysis without grouping the substrate types was also performed. In order to approximate a normal distribution as much as possible, a logarithmic transformation was applied to the variables when necessary (except pH) []. For the same reason, a square root transformation was applied to the relative abundances of species []. Environmental variables were then standardized using R since they do not all have the same unit []. Detrended correspondence analysis (DCA) identified the distribution of the data as unimodal (standard deviation greater than 2 []) using the DECORANA function. A canonical correspondence analysis (CCA) was then performed to identify the variables exerting the highest influence on the diatom assemblages. The significance of the models was also tested using the ANOVA function. Several partial CCAs were generated using one variable at a time to obtain the contribution of each environmental variable to the assemblages. The permutation test using the ANOVA function (999 unrestricted permutations, p ≤ 0.01) was applied to test the significance of each variable [].
3. Results
3.1. Dominant Species
A total of 606 species were identified from the 42 samples analyzed. After applying the cut-off criterion (at least 1% relative abundance in at least one sample), 398 species were eliminated, leaving a set of 208 taxa (Supplementary Materials Figures S1–S23) for statistical analyses. These species represent 46 genera, with Navicula being the most diverse (46 different species), followed by Nitzschia (34 species). Among these 208 taxa, there are 16 groups of girdle views grouped according to genus, size, morphology, and number of striae when more precise identifications were not possible. Girdle views of Eunotia, for example, were grouped into three different groups according to their similarity. The 15 most abundant species overall are Nitzschia frustulum, Berkeleya rutilans, Cocconeis scutellum, Achnanthes cf. kuwatensis, Cocconeis sp. 16, Navicula perminuta, Tabularia fasciculata, Planothidium delicatulum, Diploneis cf. puella, Cocconeis placentula var. euglypta 2, Cocconeis var. euglypta, Nitzschia liebetruthii, Gomphonemopsis exigua, Navicula gregaria, and Planothidium cf. hauckiana. They represent a proportion above 1.80% relative abundance compared to the total species counts among all the samples (Table 2).

Table 2.
The proportion of the 15 most abundant species found in all 42 samples.
In terms of frequency, Tabularia fasciculata, Nitzschia frustulum, and Cocconeis scutellum are the three most common species found among the 42 samples; they are found in 90.48%, 90.48%, and 80.95% of all samples, respectively (Table 3).

Table 3.
Frequency of the most common taxa, found in ≥50% of the 42 samples.
3.2. Diversity
The diversity of the assemblages in the 42 samples vary between 5 and 71 species. The lowest diversity is found at site 7 on an algal sample where Berkeleya rutilans is dominant at 73.44%, and the highest at site 1 on a shell. The diversities calculated using the Shannon–Wiener index (H’) vary between 0.43 and 3.81, with four samples having a value lower than 1. Samples 23A (algae on rock), 23G (rock), and 23D (algae), followed by 7E (algae), have the lowest values, where Cocconeis placentula var. euglypta 2 (87.53%), Achnanthes cf. kuwaitensis (88.38%), and Berkeleya rutilans (83.92% and 73.44%) dominate, respectively.
3.3. Substrate Preferences
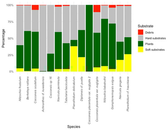
Regarding the distributions of the 15 most abundant species according to the different substrate types (Figure 3 and Figure 4), Navicula perminuta and Berkeleya rutilans are present in the majority of samples from algae, at 53.48% and 59.26%, respectively. Achnanthes cf. kuwaitensis is mainly found on hard substrates (Figure 3), including shells (35.77%) and rocks (62.80%) (Figure 4). Nitzschia frustulum, on the other hand, is found on several different habitats but seems to be more often present on hard substrates (Figure 3).

Figure 3.
Distribution of the 15 most abundant species in descending order according to 4 groups of substrates.

Figure 4.
Distribution of the 15 most abundant species in descending order according to 11 different types of substrates.
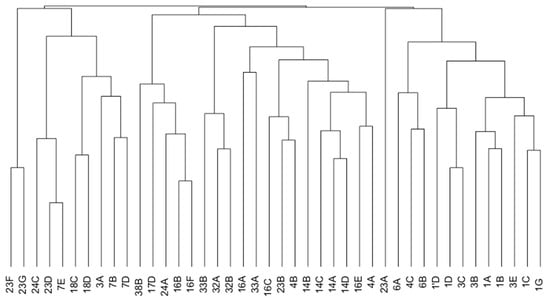
The dendrogram obtained using the the Bray–Curtis similarity index (Figure 5) shows that the samples do not cluster by substrate type, but rather, by site. Samples 14D (rock), 14B (algae on rock), 14A (algae), and 14C (shell) are in close proximity, for example. A similar observation can also be made for different substrate types at sites 23 and 18.

Figure 5.
Dendrogram showing the clusters obtained using the Bray–Curtis similarity index.
The results of the unconstrained analysis (Figure 6) show that the soft substrates group seems to differ from the other types. No clear pattern emerges to differentiate hard substrates from plants, however.

Figure 6.
Principal component analysis (PCA) showing the ellipsis hull and standard error of the 4 groups of habitats (soft, hard, plants, debris).
For the sake of clarity, only the CCA results (Figure 7) using the 4 substrate groupings are presented instead of the one using the 11 substrates (the CCA performed without grouping the substrates is in the Supplementary Materials, Figure S24). There is no significant difference between the two models. The results of the CCA, as well as the partial CCA, show that only 26.5% (compared to 26.2% using the 11 types of substrates) of the variation in assemblages is explained by these environmental variables. Obtaining low variance is common in cases where many species are found among the samples []. Only three variables are statistically significant, namely, salinity (7.8%), temperature (7%), and TDS (5.5%). Substrate, pH, ORP, and turbidity are not significant in these analyses. The CCA shows the 42 samples as well as the seven variables used for analysis, with the order of the samples along an arrow roughly corresponding to the order of the values of the environmental variable by site []. Salinity and TDS are correlated, since arrows pointing in the same direction show a correlation []. Sites with similar assemblages are in close proximity []. Similar to the observation made on the dendrogram, some samples are grouped by site rather than substrate type. For example, samples from site 1 are close to each other in the upper left quadrant.

Figure 7.
CCA showing the relationships between the environmental variables, sites (numbers), and species with a relative abundance >1% (red crosses). Variables represented by solid lines are significant (p < 0.01). Letters indicate samples from different substrates within each study site. Overlapped sites are shown separately.
4. Discussion
This study is the first to examine intertidal diatom assemblages in the BSI. It provided an initial assessment of the diversity and distribution of diatoms in this subarctic coastal environment and examined the importance of certain environmental variables that may influence their spatial distribution. We were able to observe that some species seem to prefer specific substrates, while others are rather distributed over various habitat types. Moreover, we observed that similar assemblages clustered by site, rather than by any specific variable.
4.1. Identified Diatom Assemblages
The species found among the samples generally correspond to those found in coastal brackish water environments [,,,,,,]. Cocconeis placentula var. euglypta and Tabularia spp. are part of a group of freshwater to brackish benthic diatoms found in the surface sediments of the Gulf of St. Lawrence []. Nitzschia frustulum is particularly abundant in the studied samples. This species is very common in the lower Estuary of St. Lawrence, as well as on the North Shore of Quebec [].
The assemblages can also be compared to those of the Baltic Sea because this environment shares characteristics with the BSI; it is a semi-enclosed environment containing brackish water and is economically important in Northern Europe []. Berkeleya rutilans, for example, is very abundant in the Baltic Sea [], as well as in marine estuaries and on the North Shore of Quebec []. It is considered an epiphytic species found in marine and brackish environments []. The same observation can be made in our study; Berkeleya rutilans is indeed found in abundance on algae in the BSI. Planothidium delicatulum is among the dominant species in the littoral zone of the Gulf of Riga, located in the eastern Baltic Sea []. It is regularly found in brackish to marine coastal waters [,,]. The latter is considered an epipsammic species, occurring on sand grains in shallow intertidal and subtidal areas []. In the BSI, this species is abundant in sediment samples. Several species found in our study were also found in other estuarian areas like the Tagus Estuary in Portugal, where Navicula gregaria was one of the most common species, as is the case in our results, and is considered epipelic, often found in brackish water. This preference differs, however, from what we observed, whereby Navicula gregaria was dominant on hard substrates in the BSI (Figure 3). As in our study, Nitzschia frustulum was found to be one of the most common and frequent Nitzschia taxa observed in the Tagus Estuary. Its abundance was higher at sandy stations in the latter, while hard substrates seemed to be its preferred habitat within the BSI []. In the coastal area of Kuwait, Cocconeis scutellum has commonly been observed in epiphytic assemblages and intertidal sediments, which seems to correspond with what we found in the BSI, although we also found this species on rock substrates [].
4.2. Significance of Substrates
In the BSI, some species, such as Berkeleya rutilans, Achnanthes kuwaitensis, and Navicula perminuta, seem to show a preference for a certain type of substrate (Figure 3 and Figure 4). Cocconeis spp. are known in the literature to be epiphytic or abundant on hard substrates [,,]. For example, Cocconeis scutellum is considered an epiphytic and often epipelic species [], which is indeed the case in our analyses, grouping within different substrate types (Figure 3). It is also an abundant species on eelgrass; a study conducted only on this substrate type identified Cocconeis scutellum as one of the dominant species on Zostera japonica and, as the pioneer colonizer, on Zostera marina []. Yet, of all the variables measured, substrate is not what most influences diatom species in this study, based on the multivariate statistical analyses employed. It is then possible to ask if the spatial distribution of sites plays a role in the results obtained. After analyzing the distribution of Cocconeis scutellum on two sites with different substrates (1 and 16), it was observed that the preferences of this taxon change strongly from one site to another. At one site, the species is dominant on rocks, while at the second site, it is dominant on eelgrass. The fact that some species are more ubiquitous than others could partly explain why substrate type did not turn out to be a significant variable in our dataset. The soft substrate assemblage differs, however, from the hard, plant, and debris habitats (Figure 6). The assemblage as a whole is different, but the species found are not good indicators of this type of habitat, since many of them also appear on several other types of substrates (Table S1).
Regarding the diversity measures, some samples have low alpha diversity; however, the physico-chemical parameter dataset studied here does not explain the cause. Other environmental variables should be measured in future studies. We measured nutrient data for offshore sites in the study region, between 1 and 4 km away from the coast. The total phosphorus median at these sites was 70.00 µg/L, with a maximum concentration of 105 µg/L and a minimum of 30 µg/L. As for total dissolved nitrogen, all measurements were below the detection limit, except for two sites that are offshore site 33 (Figure 1), around the Pointe-Noire area. We did not use these data here, since they were not measured directly at the sampling sites.
According to our results, the variability in the assemblages in the BSI would be determined using a combination of the identified variables (salinity, temperature, TDS), explaining 26.5% of the variation, as well as using non-measured variables. Nutrient concentrations, for example, were not measured but are known to have a significant impact on diatoms [,,]. Other variables that may explain species distribution in the BSI could be wave and current exposure. Indeed, Busse and Snoeijs (2003) [] sampled several intertidal submerged rocks and identified wave action as the main environmental factor influencing species drift and distribution. In addition, the communities found on the rocks were made up of a combination of species from several different habitats. A similar result was found on the South Florida coast, where epiphytic, planktonic, and sediment assemblages were similar, showing a dynamic tidal influence []. Exposure to wave action may also play a role in the spatial variation in the proportions of certain species []. This variable may partly explain the results obtained for this study, where no clear assemblage can be attributed to any specific substrate type. Assemblages from rocks, submerged plants, sand, and sediment could mix due to tidal and wave action. Diatoms are sensitive to tidal currents, as well as to flooding frequencies []. Similar findings have also been obtained in other types of environments related to this issue. Cetin (2008) [] sought to identify epipelic, epilithic, and epiphytic diatom assemblages in the Göksu River in Turkey and concluded that no clear patterns were found for these habitats. In the Canadian Arctic Archipelago, no significant differences were found between epilithic and epiphytic assemblages in several rivers [].
The main hypothesis of this study is therefore not completely validated, since according to the statistical results obtained here, substrate types do not exert a significant influence on diatom assemblages in the BSI. Our findings are in contradiction with much of the literature, although some studies show similar results. Yet, our study highlights that species distributions, individually across several substrate types, indicate that some diatom taxa display preferences. The BSI is a dynamic system with its circular currents and the high influence of freshwater inputs arriving from the different rivers in the area. This could partly explain why it was difficult to find specific substrate preferences in this study. Further analysis is needed to identify additional variables that explain the differences in BSI intertidal assemblage composition, including wave exposure, currents, and nutrient concentrations. Additionally, incorporating the use of metabarcoding could also contribute to resolving differences in species diversity, which could inform statistical results relating to environmental preferences. This study shows that substrate does not seem to have a significant influence on the majority of intertidal diatom taxa, and that diatom assemblages are similar on different substrates from a given site. Therefore, sampling multiple types of substrates at one site is not necessary to determine species assemblage composition in this region, considerably reducing the amount of time needed for diatom-based environmental assessments. This study has established base knowledge of the diatom species present in the BSI and will be useful for future research and ecosystem monitoring in the area and in similar ecosystems.
Supplementary Materials
The following supporting information can be downloaded at: https://www.mdpi.com/article/10.3390/hydrobiology2040036/s1, Table S1: Presence on the different sampled substrates of the 208 taxa used in the statistical analysis.; Figures S1–S23: Plates showing the 208 taxa used in the statistical analysis; Figure S24: CCA showing the relationships between the environmental variables, different substrate types, sites and species with a relative abundance >1% (red cross). Variables represented by dark blue arrows are significant (p < 0.01).
Author Contributions
Conceptualization, E.A. and É.S.-T.; data curation, E.A.; formal analysis, E.A.; funding acquisition, É.S.-T.; investigation, E.A.; methodology, E.A. and É.S.-T.; project administration, E.A., É.S.-T. and J.C.; resources, E.A., É.S.-T., R.P. and J.C.; supervision, É.S.-T., R.P. and J.C.; validation, E.A., É.S.-T., J.C. and R.P.; visualization, E.A.; writing—original draft, E.A. and É.S.-T.; writing—review and editing, E.A., É.S.-T., J.C. and R.P. All authors have read and agreed to the published version of the manuscript.
Funding
This research was funded via the EcoZone Research Chair, a partnership between Université Laval, the Port of Sept-Îles and the Northern Institute for Research in Environment and Occupational Health and Safety (INREST).
Institutional Review Board Statement
Not applicable.
Informed Consent Statement
Not applicable.
Data Availability Statement
The data used for this study will be available in the Borealis database once the manuscript is accepted.
Acknowledgments
This is scientific contribution no. 01 to the Research Chair on Coastal Ecosystems and Port, Industrial and Maritime Activities (EcoZone Chair), a partnership between Université Laval, the Port of Sept-Îles (PSI), and the Northern Institute for Environmental and Occupational Health Research (INREST). We thank INREST for providing access to their premises, as well as to the laboratory and equipment on site. We thank Félix Labrecque for his help with the sampling. We also thank Québec-Océan (Université Laval) for its logistical and financial support. Finally, we thank the four anonymous reviewers for their suggestions and input in an earlier version of this paper. We dedicate this publication to the memory of Andrzej Witkowski, who, perhaps more than any other scientist, contributed to improving our knowledge and understanding of coastal diatoms.
Conflicts of Interest
The authors declare no conflict of interest.
References
- Crossland, C.J.; Baird, D.; Ducrotoy, J.-P.; Lindeboom, H. The coastal zone-a domain of global interactions. In Costal Fluxes in the Anthropocene; Crossland, C.J., Kremer, H.H., Lindebomm, H.J., Marshall Crossland, J.I., Le Tissier, M.D.A., Eds.; Springer: Berlin/Heidelberg, Germany, 2005; pp. 1–38. [Google Scholar]
- Masselink, G.; Gehrels, R. Introduction to coastal environments and global change. In Coastal Environments & Global Change; Masselink, G., Gehrels, R., Eds.; John Wiley & Sons, Ltd.: Hoboken, NJ, USA, 2014; pp. 1–27. [Google Scholar]
- Adams, S.M. Assessing cause and effect of multiple stressors on marine systems. Mar. Pollut. Bull. 2005, 51, 649–657. [Google Scholar] [CrossRef] [PubMed]
- Popper, A.N.; Hawkins, A.D.; Fay, R.R.; Mann, D.A.; Bartol, S.; Carlson, T.J.; Coombs, S.; Ellison, W.T.; Gentry, R.L.; Halvorsen, M.B.; et al. The nature of man-made sound. In ASA S3/SC1. 4 TR-2014 Sound Exposure Guidelines for Fishes and Sea Turtles: A Technical Report Prepared by ANSI-Accredited Standards Committee S3/SC1 and Registered with ANSI; Springer: New York, NY, USA, 2014; pp. 23–32. [Google Scholar]
- Beiras, R. Plastics and other solid wastes. In Marine Pollution: Sources, Fate and Effects of Pollutants in Marine Ecosystems; Elsevier: Amsterdam, The Netherlands, 2018; pp. 69–88. [Google Scholar] [CrossRef]
- Oppenheimer, M.; Glavovic, B.C.; Hinkel, J.; van de Wal, R.; Magnan, A.K.; Abd-Elgawad, A.; Cai, R.; Cifuentes-Jara, M.; DeConto, R.M.; Ghosh, T.; et al. Sea Level Rise and Implications for Low-Lying Islands, Coasts and Communities. In IPCC Special Report on the Ocean and Cryosphere in a Changing Climate; Pörtner, H.-O., Roberts, D.C., Masson-Delmotte, V., Zhai, P., Tignor, M., Poloczanska, E., Mintenbeck, K., Alegría, A., Nicolai, M., Okem, A., et al., Eds.; Cambridge University Press: Cambridge, UK; New York, NY, USA, 2019; pp. 321–445. [Google Scholar] [CrossRef]
- Milne, G.A. Sea level. In Coastal Environments & Global Change; Masselink, G., Gehrels, R., Eds.; John Wiley & Sons, Ltd.: Hoboken, NJ, USA, 2014; pp. 28–51. [Google Scholar]
- Switzer, A.D. Coastal hazards: Storms and Tsunamis. In Coastal Environments & Global Change; Masselink, G., Gehrels, R., Eds.; John Wiley & Sons, Ltd.: Hoboken, NJ, USA, 2014; pp. 104–127. [Google Scholar]
- Orr, J.C. Recent and future changes in ocean carbonate chemistry. In Ocean Acidification; Gattuso, J.-P., Hansson, L., Eds.; Oxford University Press: New York, NY, USA, 2017; pp. 41–66. [Google Scholar]
- Cheng, L.; Abraham, J.; Trenberth, K.E.; Fasullo, J.; Boyer, T.; Locarnini, R.; Zhang, B.; Yu, F.; Wan, L.; Chen, X.; et al. Upper ocean temperature hit record high in 2020. Adv. Atmos. Sci. 2021, 38, 523–530. [Google Scholar] [CrossRef]
- Chen, J.; Kang, W.; Du, W.; Guo, J.; Xu, M.; Zhang, Y.; Zhong, X.; Zhang, W.; Chen, J. Perspectives on Future Sea Ice and Navigability in the Arctic. Cryosphere 2021, 15, 5473–5482. [Google Scholar] [CrossRef]
- Afenyo, M.; Lin, Y.; Ng, A.K.Y.; Jiang, C. The opportunities and challenges of developing the Arctic area and shipping in Canada. In Artic Shipping: Climate Change Commercial Traffic and Port Development; Lasserre, F., Faury., O., Eds.; Routledge: London, UK, 2019; pp. 216–226. [Google Scholar]
- Ferrario, F.; Araújo, C.A.S.; Bélanger, S.; Bourgault, D.; Carrière, J.; Carrier-Belleau, C.; Dreujou, E.; Johnson, L.E.; Juniper, S.K.; Mabit, R.; et al. Holistic Environmental Monitoring in Ports as an Opportunity to Advance Sustainable Development, Marine Science, and Social Inclusiveness. Elem. Sci. Anthr. 2022, 10, 00061. [Google Scholar] [CrossRef]
- Desrosiers, C.; Leflaive, J.; Eulin, A.; Ten-Hage, L. Bioindicators in marine waters: Benthic diatoms as a tool to assess water quality from eutrophic to oligotrophic coastal ecosystems. Ecol. Indic. 2013, 32, 25–34. [Google Scholar] [CrossRef]
- Lavoie, I.; Hamilton, P.B.; Campeau, S.; Grenier, M.; Dillon, P.J. Guide D’identification des Diatomées des Rivières de l’Est du Canada; Presse de l’Université du Québec: Québec City, QC, Canada, 2008. [Google Scholar]
- Battarbee, R.W.; Charles, D.F.; Bigler, C.; Cumming, B.F.; Renberg, I. Diatoms as indicators of surface-water acidity. In The Diatoms: Applications for the Environmental and Earth Sciences, 2nd ed.; Smol, J.P., Stoermer, E., Eds.; Cambridge University Press: New York, NY, USA, 2010; pp. 98–121. [Google Scholar]
- Spaulding, S.A.; Potapova, M.G.; Bishop, I.W.; Lee, S.S.; Gasperak, T.S.; Jovanoska, E.; Furey, P.C.; Edlund, M.B. Diatoms.org: Supporting taxonomists, connecting communities. Diatom Res. 2021, 36, 291–304. [Google Scholar] [CrossRef]
- Lavoie, I.; Saulnier-Talbot, E. Les diatomées: Petits chef d’œuvre de la nature et microtechnologie 100% naturelle au service du biosuivi des écosystèmes aquatiques. In Vivo 2016, 36, 10–12. [Google Scholar]
- Van Dam, H.; Mertens, A.; Sinkeldam, J. A coded checklist and ecological indicator values of freshwater diatoms from the Netherlands. Neth. J. Aquat. Ecol. 1994, 28, 117–133. [Google Scholar]
- Julius, M.L.; Theriot, E.C. The diatoms: A primer. In The Diatoms: Applications for the Environmental and Earth Sciences, 2nd ed.; Smol, J.P., Stoermer, E., Eds.; Cambridge University Press: New York, NY, USA, 2010; pp. 8–22. [Google Scholar]
- Battarbee, R.W.; Jones, V.J.; Flower, R.J.; Cameron, N.G.; Bennion, H.; Carvalho, L.; Juggins, S. Diatoms. In Tracking Environmental Change Using Lake Sediments, Volume 3: Terrestrial, Algal, and Siliceous Indicators; Smol, J.P., Birks, H.J.B., Last, W.M., Eds.; Kluwer Academic Publishers: Dordrecht, The Netherlands, 2001; pp. 155–202. [Google Scholar]
- Kriwy, P.; Sven, U. Microbial Diversity in Marine Biofilms along a Water Quality Gradient on the Great Barrier Reef. Syst. Appl. Microbiol. 2011, 34, 116–126. [Google Scholar] [CrossRef]
- Gremmen, N.; Van de Vijver, B.; Frenot, Y.; Lebouvier, M. Distribution of moss-inhabiting diatoms along an altitudinal gradient at Sub-Antarctic Îles Kerguelen. Antarct. Sci. 2007, 19, 17–24. [Google Scholar] [CrossRef]
- Jewson, D.H.; Lowry, S.F.; Bowen, R. Co-existence and survival of diatoms on sand grains. Eur. J. Phycol. 2006, 41, 131–146. [Google Scholar] [CrossRef]
- Vos, P.C.; de Wolf, H. Geologie en diatomeeën. Grondboor En Hamer 1988, 42, 57–68. [Google Scholar]
- Bere, T.; Tundisi, J.G. The Effects of Substrate Type on Diatom-Based Multivariate Water Quality Assessment in a Tropical River (Monjolinho), São Carlos, SP, Brazil. Water Air Soil Pollut. 2011, 216, 391–409. [Google Scholar] [CrossRef]
- Potapova, M.; Charles, D.F. Choice of Substrate in Algae-Based Water-Quality Assessment. J. N. Am. Benthol. Soc. 2005, 24, 415–427. [Google Scholar] [CrossRef]
- Lapointe, M. Modern diatom assemblages in surface sediments from the maritime estuary and the Gulf of St. Lawrence, Québec (Canada). Mar. Micropaleontol. 2000, 40, 43–65. [Google Scholar] [CrossRef]
- Carrière, J.; Le Hénaff, A.; Demers, K.A. Description du site d’étude. In Observatoire Environnemental de la Baie de Sept-Îles; Carrière., J., Ed.; INREST: Sept-Îles, QC, Canada, 2018; Volume 1, pp. 47–79. [Google Scholar]
- Demers, K.A.; Le Hénaff, A.; Carrière, J. État des glaces. In Observatoire Environnemental de la Baie de Sept-Îles; Carrière, J., Ed.; INREST: Sept-Îles, QC, Canada, 2018; Volume 1, pp. 593–612. [Google Scholar]
- Bourque, M.; Malouin, J. Guide D’intervention en Matière de Conservation et de Mise en Valeur Des habitats Littoraux de la MRC de Sept-Rivières; Comité ZIP Côte-Nord du Golfe: Sept-Îles, QC, Canada, 2009; pp. 1–1555. [Google Scholar]
- Bernatchez, P.; Fraser, C.; Friesinger, S.; Jolivet, Y.; Dugas, S.; Drejza, S.; Morissette, A. Sensibilité des côtes et Vulnérabilité des Communautés du Golfe du Saint-Laurent aux Impacts des Changements Climatiques; Rapport de recherche remis au Consortium OURANOS et au FACC; Laboratoire de Dynamique et de Gestion Intégrée des Zones Côtières, UQAR: Rimouski, QC, Canada, 2008. [Google Scholar]
- Dreujou, E.; McKindsey, C.W.; Grant, C.; Tréau de Coeli, L.; St-Louis, R.; Archambault, P. Biodiversity and habitat assessment of coastal benthic communities in a sub-arctic industrial harbor area. Water 2020, 12, 2424. [Google Scholar] [CrossRef]
- Shaw, J.-L.; Bourgault, D.; Dumont, D.; Lefaivre, D. Hydrodynamics of the Bay of Sept-Îles. Atmos.-Ocean. 2023, 61, 105–121. [Google Scholar] [CrossRef]
- Shaw, J.-L.; Bourgault, D.; Dumont, D. Hydrodynamique de la Baie de Sept-Îles. Master’s Thesis, Université du Québec à Rimouski, Rimouski, QC, Canada, 2019. [Google Scholar]
- Fisheries and Ocean Canada. 2023. Sept-Îles-02780. Available online: https://www.marees.gc.ca/fr/stations/02780 (accessed on 25 April 2023).
- Carrière, J.; Le Hénaff, A. Mise en contexte. In Observatoire Environnemental de la Baie de Sept-Îles; Carrière, J., Ed.; INREST: Sept-Îles, QC, Canada, 2018; Volume 1, pp. 35–42. [Google Scholar]
- Purmer. (s.d.). Available online: http://ferme-purmer.com/ (accessed on 2 June 2022).
- Port of Sept-Îles. Available online: https://www.portsi.com/port/ (accessed on 25 March 2023).
- Beauchesnes, D.; Daigle, R.M.; Vissault, S.; Gravel, D.; Bastien, A.; Bélanger, S.; Bernatchez, P.; Blais, M.; Bourdages, H.; Chion, C.; et al. Characterizing exposure to and sharing knowledge of drivers of environmental change in the St. Lawrence System in Canada. Front. Mar. Sci. 2020, 7, 383. [Google Scholar] [CrossRef]
- Wu, X.; de Vernal, A.; Fréchette, B.; Moros, M.; Perner, K. The signal of climate changes over the last two millennia in the Gulf of St. Lawrence, eastern Canada. Quat. Res. 2021, 106, 28–43. [Google Scholar] [CrossRef]
- Carrière, J.; Le Hénaff, A.; Demers, K.A. Qualité de l’eau. In Observatoire Environnemental de la Baie de Sept-Îles; Carrière, J., Ed.; INREST: Sept-Îles, QC, Canada, 2018; Volume 1, pp. 83–211. [Google Scholar]
- Saint-Louis, R.; Montero-Serrano, J.-C. Qualité des sédiments. In Observatoire Environnemental de la Baie de Sept-Îles; Carrière, J., Ed.; INREST: Sept-Îles, QC, Canada, 2018; Volume 1, pp. 213–374. [Google Scholar]
- Saulnier-Talbot, É.; Pienitz, R. Isolation au postglaciaire d’un bassin côtier près de Kuujjuaraapik-Whapmagoostui, en Hudsonie (Québec): Une analyse biostratigraphique diatomifère. Géographie Phys. Et Quat. 2001, 55, 63–74. [Google Scholar] [CrossRef]
- Campeau, S.; Pienitz, R.; Héquette, A. Diatoms as quantitative paleodepth indicators in coastal areas of the southeastern Beaufort Sea, Arctic Ocean. Palaeogeogr. Palaeoclimatol. Palaeoecol. 1999, 146, 67–97. [Google Scholar] [CrossRef]
- Nevrova, E.L.; Petrov, A. Benthic diatoms species richness at Dvuyakornaya Bay and other coastal sites of Crimea (the Black Sea) under various environments. Mediterr. Mar. Sci. 2019, 20, 506–520. [Google Scholar] [CrossRef]
- Poulin, M.; Bérard-Therriault, L.; Cardinal, A. Les diatomées benthiques de substrats durs des eaux marines et saumâtres du Québec. 1.Cocconeioideae (Achnanthales, Achnanthaceae). Nat. Can. 1984, 111, 45–61. [Google Scholar]
- Cardinal, A.; Poulin, M.; Bérard-Therriault, L. Les diatomées benthiques de substrats durs des eaux marines et saumâtres du Québec. 4.Naviculales, Naviculaceae (à l’exclusion des genres Donkinia, Gyrosygma et Pleurosigma. Nat. Can. 1984, 111, 369–394. [Google Scholar]
- Poulin, M.; Bérard-Therriault, L.; Cardinal, A.; Hamilton, P.B. Les diatomées (Bacillariophyta) benthiques de substrats durs des eaux marines et saumâtres du Québec. 9. Bacillariaceae. Nat. Can. 1990, 117, 73–101. [Google Scholar]
- Snoeijs, P. Intercalibration and Distribution of Diatom Species in the Baltic Sea; Opulus Press: Uppsala, Sweden, 1993; Volume 1. [Google Scholar]
- Snoeijs, P.; Vilbaste, S. Intercalibration and Distribution of Diatom Species in the Baltic Sea; Opulus Press: Uppsala, Sweden, 1994; Volume 2. [Google Scholar]
- Snoeijs, P.; Potapova, M. Intercalibration and Distribution of Diatom Species in the Baltic Sea; Opulus Press: Uppsala, Sweden, 1995; Volume 3. [Google Scholar]
- Snoeijs, P.; Kasperovičienė, J. Intercalibration and Distribution of Diatom Species in the Baltic Sea; Opulus Press: Uppsala, Sweden, 1996; Volume 4. [Google Scholar]
- Snoeijs, P.; Balashova, N. Intercalibration and Distribution of Diatom Species in the Baltic Sea; Opulus Press: Uppsala, Sweden, 1998; Volume 5. [Google Scholar]
- Campeau, S.; Pienitz, R.; Héquette, A. Diatoms from the Beaufort Sea Coast, Southern Arctic Ocean (Canada); Bibliotheca Diatomologica: Stuttgart, Germany, 1999. [Google Scholar]
- Pienitz, R.; Fedje, D.; Poulin, M. Marine and Non-Marine Diatoms from the Haida Gwaii Archipelago and Surroundings Coasts, Northeastern Pacific, Canada; Bibliotheca Diatomologica: Stuttgart, Germany, 2003. [Google Scholar]
- Park, J.S.; Lee, S.D.; Kang, S.E.; Lee, J.H. New records of the marine pennate diatoms in Korea. J. Ecol. Environ. 2014, 37, 231–244. [Google Scholar] [CrossRef][Green Version]
- Lee, S.D.; Yun, S.M.; Park, J.S.; Lee, J.H. Floristic survey of diatom in the Three Islands (Baeknyeong, Daecheong, Socheong) from Yellow Sea of Korea. J. Ecol. Environ. 2015, 38, 563–598. [Google Scholar] [CrossRef]
- Fallu, M.-A.; Pienitz, R. Diatomées lacustres de Jamésie-Hudsonie (Québec) et modèle de reconstitution des concentrations de carbone organique dissous. Écoscience 1999, 6, 603–620. [Google Scholar] [CrossRef]
- Lavoie, I.; Dillon, P.J.; Campeau, S. The effect of excluding diatom taxa and reducing taxonomic resolution on multivariate analyses and stream bioassessment. Ecol. Indic. 2009, 9, 213–225. [Google Scholar] [CrossRef]
- Wachnicka, A.; Gaiser, E.; Collins, L.; Frankovich, T.; Boyer, J. Distribution of diatoms and development of diatom-based models for inferring salinity and nutrient concentrations in Florida Bay and adjacent coastal wetlands of South Florida (USA). Estuaries Coasts 2010, 33, 1080–1098. [Google Scholar] [CrossRef]
- Oksanen, J.; Simpson, G.; Blanchet, F.; Kindt, R.; Legendre, P.; Minchin, P.; O’Hara, R.; Solymos, P.; Stevens, M.; Szoecs, E.; et al. Vegan: Community Ecology Package. R Package, Version 2.6-4; R: Vienna, Austria, 2022. [Google Scholar]
- R Core Team. R: A Language and Environment for Statistical Computing. R Foundation for Statistical Computing, Vienna, Austria. 2022. Available online: https://www.R-project.org/ (accessed on 3 March 2023).
- Bray, J.R.; Curtis, J.T. An ordination for the upland forest of Southern Wisconsin. Ecol. Monogr. 1957, 27, 325–349. [Google Scholar] [CrossRef]
- Juggins, S.; Telford, R.J. Exploratory data analysis and data display. In Tracking Environmental Change Using Lake Sediments, Volume 5: Data Handling and Numerical Techniques; Birks, H.J.B., Lotter, A.F., Juggins, S., Smol, J.P., Eds.; Springer: Dordrecht, The Netherlands, 2012; pp. 123–142. [Google Scholar]
- Hassan, G.S.; Marcela, A.E.; Federico, I.I. Diatom-based inference model for paleosalinity reconstructions in estuaries along the northeastern coast of Argentina. Palaeogeogr. Palaeoclimatol. Palaeoecol. 2009, 275, 77–91. [Google Scholar] [CrossRef]
- Birks, H.J.B. Numerical methods for the analysis of diatom assemblage data. In The Diatoms: Applications for the Environmental and Earth Sciences, 2nd ed.; Smol, J.P., Stoermer, E., Eds.; Cambridge University Press: New York, NY, USA, 2010; pp. 23–54. [Google Scholar]
- Weckström, K.; Juggins, S. Coastal diatom-environment relationship from the Gulf of Finland, Baltic Sea. J. Phycol. 2006, 42, 21–35. [Google Scholar] [CrossRef]
- ter Braak, C.J.; Verdonschot, P.F. Canonical correspondence analysis and related multivariate methods in aquatic ecology. Aquat. Sci. 1995, 57, 255–289. [Google Scholar] [CrossRef]
- Weckström, K.; Korhola, A.; Shemeikka, P. Physical and chemical characteristics of shallow embayments on the southern coast of Finland. Hydrobiologia. 2002, 477, 115–127. [Google Scholar] [CrossRef]
- Teittinen, A.; Virta, L.; Li, M.; Wang, J. Factors influencing the biodiversity of three microbial groups within and among islands of the Baltic Sea. FEMS Microbiol. Ecol. 2021, 97, fiab049. [Google Scholar] [CrossRef]
- Witkowski, A.; Lange-Bertalot, H.; Metzeltin, D. Diatom Flora of Marine Coasts I. Iconographia Diatomologica; Lange-Bertalot, H., Ed.; Koeltz Scientific Books: Königstein, Germany, 2000; Volume 7. [Google Scholar]
- Vilbaste, S.; Sundbäck, K.; Nilsson, C.; Truu, J. Distribution of benthic diatoms in the littoral zone of the Gulf of Riga, the Baltic Sea. Eur. J. Phycol. 2000, 35, 373–385. [Google Scholar] [CrossRef]
- Van der Werff, A.; Huls, H. Diatomeeënflora van Nederland (Diatom Flora of the Netherlands); Otto Koeltz Science Publishers: Koenigstein, Germany, 1976. [Google Scholar]
- Vos, P.C.; de Wolf, H. Methodological aspects of paleo-ecological diatom research in coastal areas of the Netherlands. Geol. En Mijnb. 1988, 67, 31–40. [Google Scholar]
- Ribeiro, L. Intertidal Benthic Diatoms of the Tagus Estuary: Taxonomic Composition and Spatial-Temporal Variation. Ph.D. Thesis, Lisbon University, Lisbon, Portugal, 2010. [Google Scholar]
- Al-Yamani, F.Y.; Saburova, M.A. Illustrated Guide on the Benthic Diatoms of Kuwait’s Marine Environment; Kuwait Institute for Scientific Research: Safat, Kuwait, 2011. [Google Scholar]
- Chung, M.H.; Lee, K.-S. Species composition of the epiphytic diatoms on the leaf tissues of three zostera species distributed on the Southern Coast of Korea. Algae 2008, 23, 75–81. [Google Scholar] [CrossRef]
- Hall, R.I.; Smol, J.P. Diatoms as indicators of lake eutrophication. In The Diatoms: Applications for the Environmental and Earth Sciences, 2nd ed.; Smol, J.P., Stoermer, E., Eds.; Cambridge University Press: New York, NY, USA, 2010; pp. 122–151. [Google Scholar]
- Busse, S.; Snoeijs, P. Gradient responses of diatom communities in the Bothnian Sea (northern Baltic Sea), with emphasis on responses to water movement. Phycologia 2003, 42, 451–464. [Google Scholar] [CrossRef]
- Cetin, A.K. Epilithic, Epipelic, and Epiphytic Diatoms in the Göksu Stream: Community Relationships and Habitat Preferences. J. Freshw. Ecol. 2008, 23, 143–149. [Google Scholar] [CrossRef]
- Antoniades, D.; Douglas, M.S.V.; Smol, J.P. Biogeographic distributions and environmental controls of stream diatoms in the Canadian Arctic Archipelago. Botany 2008, 87, 443–454. [Google Scholar] [CrossRef]
Disclaimer/Publisher’s Note: The statements, opinions and data contained in all publications are solely those of the individual author(s) and contributor(s) and not of MDPI and/or the editor(s). MDPI and/or the editor(s) disclaim responsibility for any injury to people or property resulting from any ideas, methods, instructions or products referred to in the content. |
© 2023 by the authors. Licensee MDPI, Basel, Switzerland. This article is an open access article distributed under the terms and conditions of the Creative Commons Attribution (CC BY) license (https://creativecommons.org/licenses/by/4.0/).