Abstract
Background/Objectives: Limitations of conventional treatments for esophageal cancer, which include poor solubility, drug resistance, and undesirable side effects, make it imperative to explore new therapeutic approaches to slow the progression of this disease. This study aims to assess the potential of terpene compounds as anti-cancer agents for esophageal squamous cell carcinoma (ESCC). Methods: This work was carried out following the PRISMA 2020 guidelines to ensure rigorous methodology. Results: A systematic analysis of 34 compounds revealed various mechanisms of action, such as induction of oxidative stress and modulation of apoptotic pathways. The results also show that several compounds, including (1Z,3R,4S,5E,7Z)-1-bromo-3,4,8-trichloro-7-(dichloromethyl)-3-methylocta-1,5,7-triene, dehydrocostus lactone, (3R,4S)-3,4,6,7-tetrachloro-3,7-dimethyl-octene-1-ene, acetyl-macrocalin B, jesridonin, longikaurin A, sphaerococcenol A, DS2, rabdocoestin B, ingenol C, ingenol-3,20-dibenzonate, JDA-202, xerophilusin B, betulinic acid, euphol, and (20S) ginsenoside Rh2, with IC50s below 10 µM, show promising efficacy both in vitro and in vivo, sometimes surpassing certain conventional treatments. Conclusions: However, despite these encouraging prospects, limitations remain, notably a lack of in vivo data and clearly defined mechanisms of action for certain compounds. These challenges require further research to validate their safety and efficacy, facilitating their development as viable therapeutic options for ESCC.
1. Introduction
To prevent and treat disease, mankind has always turned to medicinal plants [1]. Medicinal plants contain a variety of secondary metabolites, which, alone or in combination, represent a significant therapeutic alternative for contemporary health problems [2,3]. It has played, and continues to play, a key role in the treatment and prevention of various diseases, with the prevalence of their use ranging from 50% in developed countries to 95% in developing countries [4,5]. Over 25% of all medicines on the market are derived from plants [6,7]. Among the active compounds in plants, terpenoids, also known as isoprenoids, play a key role. They are synthesized in plants from acetate and methylerythritol phosphate (MEP). The isoprenoic units thus formed can combine to give rise to a diversity of terpenoids, ranging from monoterpenes to triterpenes, via sesquiterpenes and diterpenes [8,9]. Terpenoids play several essential roles in plants. They help defend against herbivores and pathogens by acting as repellents or toxic agents (menthol) [10]. They also attract pollinators with their aromas and contribute to protection against UV rays and oxidative stress (carotenoids) [11]. Lastly, certain terpenoids are involved in plant-to-plant communication, enabling plants to signal environmental threats (phytohormones) [12,13]. These compounds are also associated with a wide range of biological activities, including antioxidant [14], anti-inflammatory [15], antifungal [16], anxiolytic and depression [17], antibacterial [18], and anticancer properties [19]. These biological activities, especially their anticancer potential, are of growing interest due to the increasing incidence of cancer and the limitations of current therapeutic options.
Regarding anti-cancer activity, several studies have demonstrated the beneficial in vitro and in vivo effects of certain terpenoid compounds on cancer lines, particularly those of the esophagus. Esophageal cancer (EC) is a type of cancer that is particularly widespread in developing countries, particularly in Asia and the East African corridor, with around 604,100 new cases and 544,076 deaths recorded worldwide each year [20]. The exponential rise in this disease is a cause for concern, with the number of deaths set to double by 2030 if no action is taken [20]. This high incidence in low-income regions (specifically rural areas) highlights the global health disparity, further emphasizing the urgent need for accessible treatment alternatives. Various factors, such as smoking patterns [21], drinking patterns [22], eating habits [23], and socioeconomic conditions [24], are associated with this increase. Although individual studies demonstrate the efficacy of natural compounds against esophageal cancer, including alkaloids [25] and phenolic compounds [26], no systematic review has been conducted to present terpenoid compounds’ effects on this type of cancer. Furthermore, the increasing resistance of cancer cells to conventional chemotherapy and radiation treatments makes exploring novel, less toxic natural compounds even more crucial. Moreover, current cancer lines have developed resistance to available drugs, often accompanied by adverse effects that hinder treatment adherence, highlighting the need to discover new alternatives [27,28]. This is particularly critical in esophageal cancer, where treatment options are limited and the prognosis is often poor, making it a priority for therapeutic development.
The aim of this work is to produce a bibliographic summary of the various terpenoid compounds with anticancer activity against ESCC, as well as to explore their mechanisms of action to guide pharmaceutical companies in their development. In addition to investigating their potential as novel therapeutic agents, this review will also consider the challenges of using terpenoid compounds in clinical practice, including their mechanisms of action and the need for further optimization to improve their efficacy and reduce toxicity. The intention is to systematically examine new terpenoid compounds that could provide an alternative treatment to control the growing incidence of this disease.
2. Methodology
2.1. Search Protocol and Eligibility Criteria
Scientific literature published prior to March 2025 was gathered from the Web of Science, PubMed/Medline, Google Scholar, and Scopus databases and systematically evaluated following the PRISMA 2020 guidelines (see Table S1) [29]. The review protocol was registered in the Open Science Framework (OSF) associated project: https://osf.io/296ba. The search terms included “anti-esophageal adenocarcinoma” OR “anti-esophageal cancer” OR “anti-esophageal squamous-cell carcinoma” AND “terpenoid compounds” AND “pharmacological activity” OR “biological activity”. Research was deemed relevant if it evaluated the effects of compounds classified as terpenoids on esophageal cancer, whether as primary or secondary objectives. Exclusively original published research was considered, while studies focusing on other categories of metabolites were excluded. Review articles, conference abstracts, and editorials were also disregarded. No restrictions were imposed regarding the language of publication or the date of publication.
2.2. Data Extraction and Selection Procedure
The search results were first imported into EndNote, where duplicates were removed, and then transferred to Rayyan 1.4.4 software for better organization of the selection and review process [30]. The authors (E.J.N. and G.T.K.) conducted a thorough review process, initially assessing the titles and abstracts of relevant articles independently. They then performed a second round of independent selection by examining the full texts of the articles that had been retained from the initial review. Any disagreements that arose during this process were resolved through discussion, ensuring a consensus on the selected studies. This rigorous approach underscores the authors’ commitment to maintaining the integrity and reliability of systematic review and to avoiding biases. Data related to terpenoid compounds, their structures, the plants from which they were extracted, and their biological activities were extracted from studies. Regarding biological properties, the authors independently extracted study results (such as IC50 values and therapeutic doses).
2.3. Synthesis Procedure
This work presents a systematic review that addresses data synthesis and analysis in a structured manner. It begins with an overview of the studies, followed by systematic categorization to gain deeper insights through a methodical selection process summarized in the flow diagram. A comprehensive summary table was created to encapsulate the characteristics of the included studies. For synthesis, a narrative approach was utilized, as noted by Kamsu and Ndebia [26]. Additionally, the studies were evaluated based on their reliability, relevance, applicability, and validity, employing the GRADE system to assess the quality of the evidence, as referenced from Hipp et al. [31]. Overall, the review highlights a meticulous method for analyzing research, focusing on the quality and applicability of the gathered evidence.
3. Results
3.1. Synthesis of Research Findings on Terpenes and ESCC
The research process yielded 26 studies on 34 compounds from different families (see Figure 1 and Table 1). Monoterpenes included (1Z,3R,4S,5E,7Z)-1-bromo-3,4,8-trichloro-7-(dichloromethyl)-3-methylocta-1,5,7-triene, natural borneol, and (3R,4S)-3,4,6,7-tetrachloro-3,7-dimethyl-octene-1. Sesquiterpenes included isoalantolactone, dehydrocostus lactone, germacrone, and thapsigargin. As far as diterpenes are concerned, the compounds listed are acetyl-macrocalin B, jesridonin, oridonin, tanshinone IIA, longikaurin A, sphaerococcenol A, 14R-hydroxy-13,14-dihydro-sphaerococcenol, A12S-hydroxy-bromosphaerol, bromosphaerodiol, jaridonin, DS2, rabdocoestin B, ingenol A, ingenol B, ingenol C, ingenol-3,20-dibenzoate, ingenol-3-angelate, JDA-202, and xerophilusin B. Finally, the triterpenes included phaseoloide E, betulinic acid, ursolic acid, oleanolic acid, euphol, (20S) ginsenoside Rh2, lupeol acetate, and ginsenoside Rk3. The studies come from five countries: China (21 studies), Brazil (2 studies), and Japan, Greece and South Africa (1 study each), all reporting the activities of these compounds against esophageal squamous cell carcinoma (ESCC).
Figure 1.
Flow diagram for study selection.
Table 1.
Characteristics of included studies.
3.2. In Vitro Anti-Esophageal Squamous Cell Carcinoma Potential of Terpenoids
This study identified 32 compounds with proven antioxidant activities on various esophageal cancer cell lines. The terpenoids showed varying levels of activity depending on the cell line (see Table 2).
Table 2.
Overview of the in vitro anticancer effects of terpenoid compounds.
3.2.1. Monoterpenes
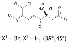
The monoterpenes (1Z,3R,4S,5E,7Z)-1-bromo-3,4,8- trichloro-7-(dichloromethyl)-3-methylocta-1,5,7-triene and (3R,4S)-3,4,6,7-tetrachloro-3,7- dimethyl-octen-1-ene, extracted from the red macroalga Plocamium suhrii, had IC50s of 9.3 µM and 7.9 µM, respectively, in the WHCO1 cell line [32]. In contrast, concentrations of 80 μg/mL or less of the new borneol showed no significant effect on apoptosis and cell viability in the TE-1 and TE-13 cell lines. However, in combination with paclitaxel, it produced a remarkable synergistic effect, three times more potent than that of paclitaxel alone. In addition, a concentration of 1 mM pyrazole inhibited cell viability in the Eca-109 and EC9706 lines by 82.90% and 83.00%, respectively, after 24 h [58].
3.2.2. Sesquiterpenes
Sesquiterpenes tested to date on ESCC cell lines include isoalantolactone, dehydrocostus lactone, germacrone, and thapsigargin. At a concentration of 40 μM, isoalantolactone reduces cell viability in Eca-109 (28.3%), EC9706 (32.1%), TE-1 (45%), and TE-13 (60%) cells after 24 h [34]. Dehydrocostus lactone acts on the Eca-109 and KYSE150 lines, with IC50s of 10.55 µM and 8.35 µM, respectively, after 24 h [35]. Germacrone has IC50s of 15.23 μg/mL and 17.19 μg/mL for Eca-109 and EC9706 after 48 h, respectively [36]. Finally, thapsigargin, at a concentration of 1 µM, inhibited cell proliferation by 60% and 73.33% in the Eca-109 and TE-12 cell lines, respectively, after 24 h. However, its combination with TRAIL (tumor necrosis factor-related apoptosis-inducing ligand) (1 µM/0.1 µM) produced a synergistic effect, with an additional inhibition of cell proliferation of 26.66% [37].
3.2.3. Diterpenes
A total of 19 diterpenes have been identified in various studies for their activity against esophageal cancer (ESCC) cell lines. Among these compounds, acetyl-macrocalin B, isolated from Isodon sylvatica, showed notable activity against KYSE30 and KYSE450 cell lines, with IC50s of 1.42 µM and 1.43 µM, respectively [38]. Similarly, jesridonin, at a concentration of 60 µM, inhibited approximately 76% of Eca-109 cell viability, and when combined with paclitaxel (5 nM), generated a synergistic effect with a combination index (CI) of 0.43 on the Eca-109 line [39]. Other studies revealed IC50s of 4.1 µM for Eca-109, 4.0 µM for EC9706, 2.0 µM for KYSE450, 16.2 µM for KYSE750, and 9.4 µM for TE-1 after 72 h [40].
Jaridonin is also known to reduce the viability of the Eca-109, EC9706, and EC1 esophageal cancer lines [46]. Tanshinone IIA, extracted from Salvia miltiorrhiza, showed significant activity against Eca-109, with an IC50 of 1.925 µM [43]. Longikaurin A, a natural ent-kauranoid, showed activity against the KYSE-30 and KYSE-450 lines, with IC50s of 1.259 µM and 1.370 µM, respectively [44]. Diterpenes isolated from Sphaerococcus coronopifolius, such as Sphaerococcenol A and Bromosphaerodiol, showed IC50s of 3.0 µM and 15 µM in line OE21 [45], while other diterpenes, such as bromosphaerol, showed moderate IC50s.
Oridonin showed cell proliferation inhibition rates ranging from 76% to 98% for KYSE70, KYSE410, and KYSE450 lines at a concentration of 20 µmol/mL after 48 h [41]. However, results from Wang et al. [40] indicated IC50s of 38.9 µM for Eca-109, 23.9 µM for EC9706, 17.1 µM for KYSE450, 14.3 µM for KYSE750, and 8.4 µM for TE-1 after 72 h. Jiang et al. [42] also reported IC50s for KYSE-150, EC9706, and KYSE-30 of 28.69 µM, 34.43 µM, and 32.29 µM, respectively. DS2 showed 70% and 80% growth inhibition on EC9706 and Eca-109 at a concentration of 4 µM for 48 h, with IC50s of 2.33 µM and 2.14 µM, respectively [47]. However, at the same concentration (4 µM for 48 h), oridonin had no significant effect on the proliferation of these cell lines.
Rabdocoestin B showed remarkable activities, with IC50s of 1.56 µM for KYSE30 and 1.94 µM for KYSE450 [48]. Diterpenes extracted from Euphorbia tirucalli, such as Ingenol A, had IC50 values of 15.51 μM for KYSE30, 11.23 μM for KYSE70, 3.38 μM for KYSE270, and 10.78 μM for KYSE410 [49]. Ingenol B had IC50 values of 34.34 μM for KYSE30, 26.53 μM for KYSE70, 7.77 μM for KYSE270, and 19.24 μM for KYSE410 [49]. Ingenol C had IC50 values of 6.54 μM for KYSE30, 3.58 μM for KYSE70, 1.88 μM for KYSE270, and 3.49 μM for KYSE410 [49]. Ingenol 3,20-dibenzoate had IC50 values of 41.02 μM for KYSE30, 6.01 μM for KYSE70, 0.10 μM for KYSE270, and 9.26 μM for KYSE410. Ingenol-3-angelate had IC50 values of 47.20 μM for KYSE30, 14.72 μM for KYSE70, 4.24 μM for KYSE270, and 24.08 μM for KYSE410 [49]. JDA-202 demonstrated a notable ability to inhibit the growth of several esophageal cancer (ESCC) cell lines. It exhibited IC50s of 8.6 μM for Eca-109 cells, 9.4 μM for EC9706, 36.1 μM for HET-1A, and 26.2 μM for KYSE-450 [50]. Xerophilusin B also stood out for its efficacy against various cell lines. It showed IC50s of 2.8 μM for KYSE-140, 1.2 μM for KYSE-150, 1.7 μM for KYSE-450, and 2.6 μM for KYSE-510 [51]. These results highlight the therapeutic potential of diterpenes for the treatment of esophageal cancers.
3.2.4. Triterpenes
Triterpenes are chemical compounds, some variants of which have shown interesting properties in terms of antiproliferative activity. Among them, phaseoloideside E, extracted from Entada phaseoloides, has an IC50 of 25.3 μM, comparable to that of cisplatin (25.5 μM) on the Eca-109 cell line [52]. Euphol, a triterpene extracted from Euphorbia tirucalli, showed significant antiproliferative activity against several ESCC cell lines, with IC50s of 3.52 μM for KYSE30, 8.77 μM for KYSE70, 10.71 μM for KYSE270, and 4.35 μM for KYSE410 [54]. Ginsenoside Rh2, from red ginseng, demonstrated cytotoxic activity against Eca-109 and TE-13 cells, with IC50s of 2.9 and 3.7 μg/mL, respectively [55]. In contrast, ginsenoside Rk3, extracted from Panax notoginseng, showed inhibition of the proliferation of the Eca-109 and KYSE150 cell lines of 83.8% and 76.8%, respectively, at a concentration of 200 μM [56].
On the other hand, triterpenes such as betulinic acid, ursolic acid, and oleanolic acid showed inhibition of YES-2 cell proliferation, with IC50s of 5.09 μM, 19.1 μM, and 119 μM, respectively [53]. Betulinic acid was more active than 5-FU (IC50 = 72.15 μM) and comparable to irinotecan (IC50 = 1.59 μM) and cisplatin (IC50 = 3.17 μM) in the YES-2 cell line [53].
3.3. In Vivo Anti-Esophageal Squamous Cell Carcinoma Potential of Terpenoids
The potential of terpenes against ESCC has been evaluated in vivo in several studies, showing promising effects. Table 3 summarizes their anti-cancer activities, offering an overview of their efficacy.
Table 3.
Overview of the in vivo anticancer effects of terpenoid compounds.
Regarding sesquiterpenes, the 80 mg/kg dose of isoalantolactone reduced the volume of tumors artificially induced by the Eca-109 cell line by more than 50% after 27 days of treatment in BALB/c nude mice [34]. Dehydrocostus lactone reduced the tumor mass artificially induced by Eca-109 in female BALB/c nude mice by approximately 61% at a dose of 40 mg/kg [34]. The combination of thapsigargin and hrTRAIL (1 mg/kg/60 mg/kg) reduced Eca-109-induced tumor volume by approximately 87% compared to control over 28 days [37].
Regarding diterpenes, in an artificially induced in vivo model using the KYSE30 cell line in mice, acetyl-macrocalin B inhibited tumor mass by approximately 38% at a dose of 12 mg/kg alone and by about 77% when combined with AZD7762 (12 mg/kg/25 mg/kg) over a period of 29 days [38]. The same experiment conducted using the PDX model in mice revealed a tumor mass inhibition of approximately 35% for acetyl-macrocalin B alone and 73% for the combination of acetyl-macrocalin B and AZD7762 (12 mg/kg/25 mg/kg) [38]. In a similar vein, the combination of paclitaxel and jesridonin (5 mg/kg/10 mg/kg) reduced the volume of artificially induced tumors in nude mice with the Eca-109 cell line by 77.21% over 21 days [39]. In female BALB/c nude mice, jesridonin at a dose of 10 mg/kg inhibited tumor proliferation of the Eca-109 cell line more effectively than 5-FU at 12 mg/kg. Although not statistically significant, jesridonin reduced tumor growth by 45%, while 5-FU reduced it by 44% [40]. At a dose of 12 mg/kg, longikaurin A inhibited tumor proliferation by approximately 79% in female BALB/c nude mice artificially induced with the KYSE-30 cell line over 20 days [44]. Oridonin, at a dose of 40 mg/kg, reduced the size of ESCC tumors induced in female SCID mice by about 35% over 52 days [41]. In contrast, oridonin at a dose of 10 mg/kg significantly reduced the tumor mass induced by the KYSE-150 cell line by approximately 75% in female BALB/c nude mice over 14 days [42].
The tumor masses induced by the KYSE-150 and KYSE-450 cell lines were inhibited by approximately 87.5% and 85%, respectively, at a dose of 15 mg/kg of xerophilusin B in female BALB/c nude mice over 20 days [51]. A dose of 12 mg/kg of rabdocoestin B reduced the tumor volume induced by the KYSE30 cell line by about 60% in female athymic nude mice [48]. In male BALB/c nude mice, the volume of tumors induced by the Eca-109 cell line decreased by 61.7% after 21 days of treatment with JDA-202 [50].
Triterpenes have also distinguished themselves by their remarkable efficacy against esophageal tumors in vivo. Ginsenoside Rk3 demonstrated a 66.2% reduction in the volume of artificially induced tumors in female BALB/c nude mice using the KYSE150 cell line at a dose of 40 mg/kg [57]. Furthermore, lupeal acetate, extracted from the plant Cortex periplocae, significantly decreased the incidence of esophageal tumors observed after 25 weeks. The incidence dropped from 93.3% in controls treated with N-nitrosomethylbenzylamine (0.5 mg/kg) to 33.3% in F344 rats receiving a combination of N-nitrosomethylbenzylamine and lupeal acetate (0.5 mg/kg/20 mg/kg) [56]. It is important to note that no in vivo studies have yet reported on the anti-cancer properties of compounds such as phaseoloideside, euphol, ginsenoside Rh2, betulinic acid, oleanolic acid, or ursolic acid in relation to esophageal cancer.
3.4. Mechanism of Action of Terpenoid Compounds on ESCC Cell Lines
Although the mechanisms of action of several compounds have not yet been fully elucidated, terpenes exhibit various modes of action against esophageal cancer cell lines (Figure 2). Compounds such as dehydrocostus lactone [35], acetyl-macrocalin B [38], phaseoloideside E [52], isoalantolactone [34], DS2 [47], longikaurin A [44], JDA-202 [50], thapsigargin [37], and jaridonin [46] act by inducing oxidative stress (ROS) in esophageal squamous cell carcinoma (ESCC) cells.
Figure 2.
Schematic overview of how terpenoid compounds act against esophageal cancer [59].
Ginsenoside Rh2 (20S), acetyl-macrocalin B, phaseoloideside E, rabdocoestin B, xerophilusin B, germacrone, jesridonin, oridonin, and DS2 increase caspase-9 levels [38,39,48,51]. Similarly, acetyl-macrocalin B, phaseoloideside E, natural borneol, xerophilusin B, thapsigargin, germacrone, jesridonin, jaridonin, oridonin, and DS2 elevate caspase-3 levels. Isoalantolactone, dehydrocostus lactone, and acetyl-macrocalin B enhance phosphorylated PARP (P-PARP) levels. Isoalantolactone and germacrone increase caspase-7 levels [34,36]. The compounds ginsenoside Rh2 (20S), xerophilusin B, jaridonin, and DS2 raise cytochrome C levels [46,47,51]. Phaseoloideside E, jesridonin, oridonin, and JDA-202 inhibit Bcl-2 production [41,46,50,52].
The compounds dehydrocostus lactone [35], ginsenoside Rk3 [57], natural borneol [33], rabdocoestin B [48], and oridonin [41] inhibit the expression of the AKT protein. JDA-202 [50], oridonin [41], and jaridonin [46] stimulate the expression of the p53 protein. Acetyl-macrocalin B [38], xerophilusin B [51], rabdocoestin B [48], longikaurin A [44], JDA-202 [50], jaridonin, and oridonin [41] induce a G2/M phase cell cycle arrest, while ginsenoside Rk3 [57] causes a G1/S phase arrest. Oridonin and rabdocoestin B inhibit the expression of NFKB [41,48]. Tanshinone II A inhibits PKM2, which is involved in glucose degradation necessary for the nutrition of ESCC cells [43].
The compounds (20S) ginsenoside Rh2 [55], isoalantolactone [34], and thapsigargin [47] stimulate death receptor 5 (DR5), thereby engaging the extrinsic apoptotic pathway. Additionally, the Fas receptor is also activated by (20S) ginsenoside Rh2, representing another extrinsic apoptotic pathway [55].
4. Discussion
This study’s findings highlight terpenoid compounds’ significant potential in treating esophageal squamous cell carcinoma (ESCC). The discovery of 34 compounds from various families, including monoterpenes, sesquiterpenes, diterpenes, and triterpenes, emphasizes the abundant natural biodiversity and its critical role in developing new anticancer therapies. Most of the research included comes from China, reflecting concentrated expertise probably linked to the significant interest and priority given by the country to alternative medicine and herbal medicine. According to the WHO [60] and Wachtel-Galor and Benzie [61], traditional medicine accounts for around 40% of all healthcare delivered in China, and over 90% of general hospitals have traditional medicine units. This explains the high concentration of studies coming out of this country and encourages other countries to take a significant interest in alternative medicine.
Regarding pharmacological properties, except for oleanolic acid, which exhibits moderately significant cytotoxic activity (IC50 = 119 μM), all other compounds demonstrate notable cytotoxic effects, with IC50 ranging from 0.10 μM to 47.20 μM against various ESCC cell lines, based on the cut-off established by Kuete and Efferth [62]. Notably, compounds such as (1Z,3R,4S,5E,7Z)-1-bromo-3,4,8-trichloro-7-(dichloromethyl)-3-methylocta-1,5,7-triene, (3R,4S)-3,4,6,7-tetrachloro-3,7-dimethyl-octen-1-ene, dehydrocostus lactone, acetyl-macrocalin B, jesridonin, longikaurin A, sphaerococcenol A, DS2, rabdocoestin B, ingenol C, ingenol-3,20-dibenzoate, JDA-202, xerophilusin B, betulinic acid, euphol, and (20S) ginsenoside Rh2 exhibit highly significant cytotoxicity (IC50 < 10 μM) against ESCC cells, closely aligning with the activity of doxorubicin (0.9 μM) as per the cutoff by Kamsu and Ndebia [26]. These compounds show efficacy at very low concentrations, often indicative of potent anticancer activity, suggesting a substantial capacity to inhibit ESCC cell growth at relatively low doses. This presents promising prospects for their future development as potential therapeutic agents against cancer, warranting thorough investigation, as they could transform EC treatment.
Given that the therapeutic variations observed in animals have substantial predictive value regarding therapeutic efficacy in humans, in vivo studies focusing on specific compounds have shown that they can reduce tumor sizes in mice more effectively than traditional cancer treatments like 5-FU [40]. This suggests that the in vitro effects are also present in live subjects. One possible explanation is that these compounds undergo metabolic processes in vivo, enhancing activity. Herman and Santos [63] state that secondary metabolites can exhibit increased effectiveness when processed by a living organism, resulting in more significant outcomes. A substance may be transformed into a toxic, inactive, less active, or active form as it moves through an organism [64,65].
The mechanisms of action of terpenes and the compounds mentioned reveal notable similarities and differences compared to reference chemotherapeutics such as doxorubicin, cisplatin, and paclitaxel. Like these treatments, terpenes induce oxidative stress in cancer cells, contributing to apoptosis [66,67,68]. This induction of reactive oxygen species (ROS) is a commonality with chemotherapies, which often target the survival mechanisms of tumor cells. However, terpenes appear to act more selectively by modulating specific pathways, such as increasing levels of caspases (e.g., caspase-3 and caspase-9) and proteins like P53. These mechanisms offer potential for inducing apoptosis that could be more effective and less toxic than traditional chemotherapies, which often act non-specifically, affecting both cancerous and healthy cells [69]. Moreover, the inhibition of proteins such as Bcl-2 by certain terpenes (e.g., phaseoloideside E, jesridonin, oridonin, and JDA-202) suggests an innovative approach to overcoming treatment resistance, a significant challenge faced with conventional drugs. Ginsenoside Rh2 (20S) modulates apoptosis by interacting with both DR5 and Fas receptor signaling pathways, representing a complementary strategy that is underutilized by classic anticancer agents [70,71]. This compound may be considered a potential alternative for treating esophageal squamous cell carcinoma (ESCC). Finally, the induction of cell cycle arrest at specific phases (G1/S and G2/M) by these compounds (e.g., acetyl-macrocalin B, xerophilusin B, rabdocoestin B, longikaurin A, JDA-202, jaridonin, and oridonin) could provide interesting alternatives to conventional treatments like cisplatin, which often lead to undesirable side effects by affecting cell cycle phases less selectively [72]. Overall, while the mechanisms of action of terpenes share similarities with those of reference chemotherapeutics, their ability to act more specifically and modulate apoptotic pathways may offer significant therapeutic advantages in the fight against esophageal cancer.
Although terpenes show strong anticancer potential in vitro against ESCC, it has been found that the route of administration plays a considerable role in the efficacy of these compounds in vivo. This is due to their low solubility in water, their metabolic instability, and their low bioavailability, which limit their efficacy in vivo [73,74]. These constraints mean that alternative routes of administration have to be used, such as intraperitoneal or intravenous routes, which partially circumvent these barriers, as observed with oridonin, which showed 75% tumor inhibition by the intraperitoneal route [42] compared with only 35% by the oral route at a higher dose [41]. Similarly, compounds such as xerophilusin B or longikaurin A administered by intraperitoneal route achieved tumor reductions of over 79% [44,51]. In contrast, routes such as intragastric or oral required higher doses for lesser effects, probably due to limited intestinal absorption and first-pass metabolism [34,41]. These results highlight the urgent need to develop innovative delivery systems (nanoparticles, liposomes, etc.) to improve terpenes’ solubility, stability, and pharmacokinetics [74,75] and thus fully exploit their therapeutic potential in ESCC.
5. Limitations and Perspectives
The compounds being examined exhibit considerable promise as treatments for esophageal cancer, showcasing multiple mechanisms of action and positive results in suppressing tumor growth in both in vitro and in vivo studies. However, several limitations persist. A primary challenge is the lack of toxicological data for these compounds, emphasizing the need for comprehensive safety evaluations. Additionally, gaps in understanding their bioavailability and pharmacokinetics hinder our assessment of their actual efficacy in clinical settings. Furthermore, while some compounds show remarkable anticancer activity, their mechanisms of action remain poorly defined, complicating their evaluation. The absence of in vivo studies for many of these compounds raises concerns about the influence of metabolic processes on their effectiveness. Another important concern is the absence of positive controls and the lack of standard anticancer agents in some in vitro and in vivo studies, which makes it difficult to assess the comparative efficacy of the tested compounds. Ultimately, clinical trials in humans are essential to validate the beneficial effects observed in vitro and to determine whether these effects can be replicated in clinical practice. In summary, these gaps in toxicology, bioavailability, mechanisms of action, in vivo studies, and positive controls pose significant barriers to the rapid and effective clinical application of these compounds. Addressing these challenges is essential for progressing their development as viable therapeutic options.
6. Conclusions
The results of this study highlight the significant potential of terpenoid compounds as anticancer treatments for ESCC. Among the 34 compounds identified, those with IC50 values of 10 μM or lower, such as (1Z,3R,4S,5E,7Z)-1-bromo-3,4,8-trichloro-7-(dichloromethyl)-3-methylocta-1,5,7-triene, dehydrocostus lactone, (3R,4S)-3,4,6,7-tetrachloro-3,7-dimethyl-octen-1-ene, acetyl-macrocalin B, jesridonin, longikaurin A, sphaerococcenol A, DS2, rabdocoestin B, ingenol C, ingenol-3,20-dibenzoate, JDA-202, xerophilusin B, betulinic acid, euphol, and (20S) ginsenoside Rh2, demonstrate highly promising cytotoxic activity against ESCC cells. These compounds exhibit diverse mechanisms of action that may provide effective alternatives to conventional therapies. However, several limitations remain, and their further evaluation in upcoming research will represent a significant advancement. In conclusion, while terpenoid compounds show promising potential for the treatment of esophageal squamous cell carcinoma (ESCC), it is crucial to address these challenges to promote their development as viable therapeutic options.
Supplementary Materials
The following supporting information can be downloaded at: https://www.mdpi.com/article/10.3390/futurepharmacol5020021/s1, Table S1: PRISMA Checklist.
Author Contributions
Conceptualization, E.J.N. and G.T.K.; methodology, E.J.N. and G.T.K.; software, E.J.N. and G.T.K.; validation, G.T.K.; investigation, E.J.N. and G.T.K.; resources, G.T.K.; data curation, E.J.N. and G.T.K.; writing—original draft preparation, E.J.N.; writing—review and editing, E.J.N. and G.T.K.; visualization, G.T.K.; supervision, G.T.K.; project administration, E.J.N.; funding acquisition, E.J.N. All authors have read and agreed to the published version of the manuscript.
Funding
We extend our gratitude to the Chemical Industries Education and Training Authority (CHIETA) and the Medical Research Council (MRC) for their financial support for this work.
Acknowledgments
We would like to acknowledge Walter Sisulu University for providing free internet access.
Conflicts of Interest
The authors confirm that they have no conflicts of interest to disclose.
References
- Petrovska, B.B. Historical review of medicinal plants’ usage. Pharmacogn. Rev. 2012, 6, 1–5. [Google Scholar] [CrossRef] [PubMed]
- Kamsu, G.T.; Chuisseu, D.P.D.; Fodouop, C.S.P.; Feudjio, H.B.L.; Famen, L.C.N.; Kodjio, N.; Sokoudjou, J.B.; Gatsing, D.T. Toxicological profile of the aqueous extract of Tectona grandis L.F. (Verbenaceae) leaves: A medicinal plant used in the treatment of typhoid fever in traditional Cameroonian medicine. J. Toxicol. 2021, 2021, 6646771. [Google Scholar] [CrossRef]
- Wamba, B.E.N.; Ghosh, P.; Mbaveng, A.T.; Bhattacharya, S.; Debarpan, M.; Depanwita, S.; Saunak, M.M.; Kuete, V.; Murmu, N. Botanical from Piper capense Fruit Can Help to Combat the Melanoma as Demonstrated by In Vitro and In Vivo Studies. eCAM 2021, 2021, 8810368. [Google Scholar] [CrossRef]
- Wanjohi, B.K.; Njenga, E.W.; Sudoi, V.; Kipkore, W.K.; Moore, H.L.; Davies, M.I.J. Ecological Knowledge of indigenous plants among the Marakwet Community (Embobut Basin), Elgeyo Marakwet County (Kenya). Ethnobot. Res. Appl. 2020, 20, 1–16. [Google Scholar] [CrossRef]
- Ssenku, J.E.; Okurut, S.A.; Namuli, A.; Kudamba, A.; Tugume, P.; Matovu, P.; Wasige, G.; Kafeero, H.M.; Walusansa, A. Medicinal plant use, conservation, and the associated traditional knowledge in rural communities in Eastern Uganda. Trop. Med. Health 2022, 50, 39. [Google Scholar] [CrossRef]
- Newman, D.J.; Cragg, G.M. Natural products as sources of new drugs from 1981 to 2014. J. Nat. Prod. 2016, 79, 629–661. [Google Scholar] [CrossRef]
- Calixto, J.B. The role of natural products in modern drug discovery. An. Acad. Bras. Cienc. 2019, 91, e20190105. [Google Scholar] [CrossRef]
- Bergman, M.E.; Davis, B.; Phillips, M.A. Medically useful plant terpenoids: Biosynthesis, occurrence, and mechanism of action. Molecules 2019, 24, 3961. [Google Scholar] [CrossRef] [PubMed]
- Masyita, A.; Mustika Sari, R.; Dwi Astuti, A.; Yasir, B.; Rahma, R.N.; Emran, T.B.; Nainu, F.; Simal-Gandara, J. Terpenes and terpenoids as main bioactive compounds of essential oils, their roles in human health and potential application as natural food preservatives. Food Chem. X 2022, 13, 100217. [Google Scholar] [CrossRef]
- Ninkuu, V.; Zhang, L.; Yan, J.; Fu, Z.; Yang, T.; Zeng, H. Biochemistry of terpenes and recent advances in plant protection. Int. J. Mol. Sci. 2021, 22, 5710. [Google Scholar] [CrossRef]
- Boncan, D.A.T.; Tsang, S.S.K.; Li, C.; Lee, I.H.T.; Lam, H.M.; Chan, T.F.; Hui, J.H.L. Terpenes and terpenoids in plants: Interactions with environment and insects. Int. J. Mol. Sci. 2020, 21, 7382. [Google Scholar] [CrossRef]
- Dudareva, N.; Negre, F.; Nagegowda, D.A.; Orlova, I.; Negre-Zakharov, F. Plant Volatiles: Recent Advances and Future Perspectives. Crit. Rev. Plant Sci. 2006, 25, 417–440. [Google Scholar] [CrossRef]
- Rosenkranz, M.; Chen, Y.; Zhu, P.; Vlot, A.C. Volatile terpenes—Mediators of plant-to-plant communication. Plant J. 2021, 108, 617–631. [Google Scholar] [CrossRef] [PubMed]
- Gutiérrez-Del-Río, I.; López-Ibáñez, S.; Magadán-Corpas, P.; Fernández-Calleja, L.; Pérez-Valero, Á.; Tuñón-Granda, M.; Miguélez, E.M.; Villar, C.J.; Lombó, F. Terpenoids and Polyphenols as Natural Antioxidant Agents in Food Preservation. Antioxidants 2021, 10, 1264. [Google Scholar] [CrossRef] [PubMed]
- Gallily, R.; Yekhtin, Z.; Hanuš, L.O. The Anti-Inflammatory Properties of Terpenoids from Cannabis. Cannabis Cannabinoid Res. 2018, 3, 282–290. [Google Scholar] [CrossRef]
- Rao, A.; Zhang, Y.; Muend, S.; Rao, R. Mechanism of antifungal activity of terpenoid phenols resembles calcium stress and inhibition of the TOR pathway. Antimicrob. Agents Chemother. 2010, 54, 5062–5069. [Google Scholar] [CrossRef]
- Agatonovic-Kustrin, S.; Kustrin, E.; Gegechkori, V.; Morton, D.W. Anxiolytic Terpenoids and Aromatherapy for Anxiety and Depression. Adv. Exp. Med. Biol. 2020, 1260, 283–296. [Google Scholar]
- Guimarães, A.C.; Meireles, L.M.; Lemos, M.F.; Guimarães, M.C.C.; Endringer, D.C.; Fronza, M.; Scherer, R. Antibacterial Activity of Terpenes and Terpenoids Present in Essential Oils. Molecules 2019, 24, 2471. [Google Scholar] [CrossRef]
- Yang, W.; Chen, X.; Li, Y.; Guo, S.; Wang, Z.; Yu, X. Advances in pharmacological activities of terpenoids. Nat. Prod. Commun. 2020, 15, 1934578X20903555. [Google Scholar] [CrossRef]
- Sung, H.; Ferlay, J.; Siegel, R.L.; Laversanne, M.; Soerjomataram, I.; Jemal, A.; Bray, F. Global cancer statistics 2020: GLOBOCAN estimates of incidence and mortality worldwide for 36 cancers in 185 countries. CA Cancer J. Clin. 2021, 71, 209–249. [Google Scholar] [CrossRef]
- Kamsu, G.T.; Ndebia, E.J. Uncovering risks associated with smoking types and intensities in esophageal cancer within high-prevalence regions in Africa: A comprehensive meta-analysis. Cancer Epidemiol. Biomark. Prev. 2024, 33, 874–883. [Google Scholar] [CrossRef] [PubMed]
- Ndebia, E.J.; Kamsu, G.T. Drinking patterns, alcoholic beverage types, and esophageal cancer risk in Africa: A comprehensive systematic review and meta-analysis. Front. Oncol. 2023, 13, 1310253. [Google Scholar] [CrossRef] [PubMed]
- Ndebia, E.J.; Kamsu, G.T. A comprehensive meta-analysis of dietary and culinary practices on esophageal cancer incidence in the East African corridor. SVU-Int. J. Med. Sci. 2024, 7, 207–222. [Google Scholar] [CrossRef]
- Kamsu, G.T.; Ndebia, E.J. Socioeconomic determinants of esophageal cancer incidence in the East African corridor: A systematic review with meta-analysis. Int. J. Med. Arts. 2024, 6, 4374–4385. [Google Scholar] [CrossRef]
- Ndebia, E.J.; Kamsu, G.T. Natural alkaloids as potential treatments for esophageal squamous-cell carcinoma: A comprehensive review. Gastroenterol. Endosc. 2024, 2, 131–136. [Google Scholar] [CrossRef]
- Kamsu, G.T.; Ndebia, E.J. Usefulness of natural phenolic compounds in the fight against esophageal cancer: A systematic review. Future Pharmacol. 2024, 4, 626–650. [Google Scholar] [CrossRef]
- Matieta, V.Y.; Mbaveng, A.T.; Nouemsi, G.R.S.; Tankeo, S.B.; Kamsu, G.T.; Nayim, P.; Lannang, A.M.; Çelik, İ.; Efferth, T.; Kuete, V. Cytotoxicity, acute and sub-chronic toxicities of the leaves of Bauhinia thonningii (Schumach.) Milne-Redh. (Caesalpiniaceae). BMC Complement. Med. Ther. 2023, 23, 341. [Google Scholar] [CrossRef]
- Megaptche, J.F.; Nago, R.D.T.; Tankeo, S.B.; Matieta, V.Y.; Kamsu, G.T.; Mpetga, J.D.S.; Mbaveng, A.T.; Efferth, T.; Kuete, V. Cytotoxicity, acute and subchronic toxicity of the methanol extract from the fruits of Psorospermun febrifugum Spach (Hypericaceae) in Wistar albino rats. S. Afr. J. Bot. 2025, 178, 424–436. [Google Scholar] [CrossRef]
- Page, M.J.; McKenzie, J.E.; Bossuyt, P.M.; Boutron, I.; Hoffmann, T.C.; Mulrow, C.D.; Shamseer, L.; Tetzlaff, J.M.; Akl, E.A.; Brennan, S.E.; et al. The PRISMA 2020 statement: An updated guideline for reporting systematic reviews. BMJ 2021, 372, 71. [Google Scholar] [CrossRef]
- Kufe, N.C.; Masemola, M.; Chikowore, T.; Kengne, A.P.; Olsson, T.; Goedecke, J.H.; Micklesfield, L.K. Protocol for systematic review and meta-analysis of sex hormones and diabetes risk in ageing men and women of African ancestry. BMJ Open 2019, 9, e024446. [Google Scholar] [CrossRef]
- Hipp, J.; Kuvendjiska, J.; Martini, V.; Hillebrecht, H.C.; Fichtner-Feigl, S.; Diener, M.K. Proximal gastrectomy and double-tract reconstruction vs total gastrectomy in gastric and gastro-esophageal junction cancer patients—A systematic review and meta-analysis protocol (PROSPERO registration number: CRD42021291500). Syst. Rev. 2023, 12, 150. [Google Scholar] [CrossRef] [PubMed]
- Antunes, E.M.; Afolayan, A.F.; Chiwakata, M.T.; Fakee, J.; Knott, M.G.; Whibley, C.E.; Hendricks, D.T.; Bolton, J.J.; Beukes, D.R. Identification and in vitro anti-esophageal cancer activity of a series of halogenated monoterpenes isolated from the South African seaweeds Plocamium suhrii and Plocamium cornutum. Phytochemistry 2011, 72, 769–772. [Google Scholar] [CrossRef]
- Meng, X.; Dong, X.; Wang, W.; Yang, L.; Zhang, X.; Li, Y.; Chen, T.; Ma, H.; Qi, D.; Su, J. Natural borneol enhances paclitaxel-induced apoptosis of ESCC cells by inactivation of the PI3K/AKT pathway. J. Food Sci. 2018, 83, 1436–1443. [Google Scholar] [CrossRef] [PubMed]
- Lu, Z.; Zhang, G.; Zhang, Y.; Hua, P.; Fang, M.; Wu, M.; Liu, T. Isoalantolactone induces apoptosis through reactive oxygen species-dependent upregulation of death receptor 5 in human esophageal cancer cells. Toxicol. Appl. Pharmacol. 2018, 352, 46–58. [Google Scholar] [CrossRef]
- Peng, Y.; Zhou, T.; Wang, S.; Bahetjan, Y.; Li, X.; Yang, X. Dehydrocostus lactone inhibits the proliferation of esophageal cancer cells in vivo and in vitro through ROS-mediated apoptosis and autophagy. Food Chem. Toxicol. 2022, 170, 113453. [Google Scholar] [CrossRef] [PubMed]
- Zhang, R.; Hao, J.; Guo, K.; Liu, W.; Yao, F.; Wu, Q.; Liu, C.; Wang, Q.; Yang, X. Germacrone inhibits cell proliferation and induces apoptosis in human esophageal squamous cell carcinoma cells. Biomed. Res. Int. 2020, 2020, 7643248. [Google Scholar] [CrossRef]
- Ma, Y.C.; Ke, Y.; Zi, X.; Zhao, F.; Yuan, L.; Zhu, Y.L.; Fan, X.X.; Zhao, N.M.; Li, Q.Y.; Qin, Y.H.; et al. Induction of the mitochondria-mediated apoptosis in human esophageal cancer cells by DS2, a newly synthetic diterpenoid analog, is regulated by Bax and caused by generation of reactive oxygen species. Oncotarget 2016, 7, 86211–86224. [Google Scholar] [CrossRef][Green Version]
- Wang, J.N.; Che, Y.; Yuan, Z.Y.; Lu, Z.L.; Li, Y.; Zhang, Z.R.; Li, N.; Li, R.D.; Wan, J.; Sun, H.D.; et al. Acetyl-macrocalin B suppresses tumor growth in esophageal squamous cell carcinoma and exhibits synergistic anti-cancer effects with the Chk1/2 inhibitor AZD7762. Toxicol. Appl. Pharmacol. 2019, 365, 71–83. [Google Scholar] [CrossRef]
- Wang, C.; Yang, D.; Jiang, L.; Wang, S.; Wang, J.; Zhou, K.; Shi, X.; Chang, L.; Liu, Y.; Ke, Y.; et al. Jesridonin in combination with paclitaxel demonstrates synergistic anti-tumor activity in human esophageal carcinoma cells. Bioorg. Med. Chem. Lett. 2017, 27, 2058–2062. [Google Scholar] [CrossRef]
- Wang, C.; Jiang, L.; Wang, S.; Shi, H.; Wang, J.; Wang, R.; Li, Y.; Dou, Y.; Liu, Y.; Hou, G.; et al. The antitumor activity of the novel compound jesridonin on human esophageal carcinoma cells. PLoS ONE 2015, 10, e0130284. [Google Scholar] [CrossRef]
- Song, M.; Liu, X.; Liu, K.; Zhao, R.; Huang, H.; Shi, Y.; Zhang, M.; Zhou, S.; Xie, H.; Chen, H.; et al. Targeting AKT with oridonin inhibits growth of esophageal squamous cell carcinoma in vitro and patient-derived xenografts in vivo. Mol. Cancer Ther. 2018, 17, 1540–1553. [Google Scholar] [CrossRef]
- Jiang, J.H.; Pi, J.; Jin, H.; Cai, J.Y. Oridonin-induced mitochondria-dependent apoptosis in esophageal cancer cells by inhibiting PI3K/AKT/mTOR and Ras/Raf pathways. J. Cell. Biochem. 2019, 120, 3736–3746. [Google Scholar] [CrossRef] [PubMed]
- Zhang, H.S.; Zhang, F.J.; Li, H.; Liu, Y.; Du, G.Y.; Huang, Y.H. Tanshinone IIA inhibits human esophageal cancer cell growth through miR-122-mediated PKM2 down-regulation. Arch. Biochem. Biophys. 2016, 598, 50–56. [Google Scholar] [CrossRef] [PubMed]
- Che, Y.; Wang, J.; Yuan, Z.; Li, Y.; Lu, Z.; Zhang, Z.; Zhang, J.; Wan, J.; Sun, H.; Chen, Z.; et al. The therapeutic effects of longikaurin A, a natural ent-kauranoid, in esophageal squamous cell carcinoma depend on ROS accumulation and JNK/p38 MAPK activation. Toxicol. Lett. 2017, 280, 106–115. [Google Scholar] [CrossRef]
- Smyrniotopoulos, V.; Vagias, C.; Bruyère, C.; Lamoral-Theys, D.; Kiss, R.; Roussis, V. Structure and in vitro antitumor activity evaluation of brominated diterpenes from the red alga Sphaerococcus coronopifolius. Bioorg. Med. Chem. 2010, 18, 1321–1330. [Google Scholar] [CrossRef]
- Ma, Y.C.; Ke, Y.; Zi, X.; Zhao, W.; Shi, X.J.; Liu, H.M. Jaridonin, a novel ent-kaurene diterpenoid from Isodon rubescens, inducing apoptosis via production of reactive oxygen species in esophageal cancer cells. Curr. Cancer Drug Targets 2013, 13, 611–624. [Google Scholar] [CrossRef] [PubMed]
- Ma, Z.; Fan, C.; Yang, Y.; Di, S.; Hu, W.; Li, T.; Zhu, Y.; Han, J.; Xin, Z.; Wu, G.; et al. Thapsigargin sensitizes human esophageal cancer to TRAIL-induced apoptosis via AMPK activation. Sci. Rep. 2016, 6, 35196. [Google Scholar] [CrossRef]
- Wang, J.; Zhang, Z.; Che, Y.; Yuan, Z.; Lu, Z.; Li, Y.; Wan, J.; Sun, H.; Chen, Z.; Pu, J.; et al. Rabdocoestin B exhibits antitumor activity by inducing G2/M phase arrest and apoptosis in esophageal squamous cell carcinoma. Cancer Chemother. Pharmacol. 2018, 81, 469–481. [Google Scholar] [CrossRef]
- Silva, V.A.O.; Rosa, M.N.; Martinho, O.; Tanuri, A.; Lima, J.P.; Pianowski, L.F.; Reis, R.M. Modified ingenol semi-synthetic derivatives from Euphorbia tirucalli induce cytotoxicity on a large panel of human cancer cell lines. Investig. New Drugs 2019, 37, 1029–1035. [Google Scholar] [CrossRef]
- Shi, X.J.; Ding, L.; Zhou, W.; Ji, Y.; Wang, J.; Wang, H.; Ma, Y.; Jiang, G.; Tang, K.; Ke, Y.; et al. Pro-apoptotic effects of JDA-202, a novel natural diterpenoid, on esophageal cancer through targeting peroxiredoxin I. Antioxid. Redox Signal. 2017, 27, 73–92. [Google Scholar] [CrossRef]
- Yao, R.; Chen, Z.; Zhou, C.; Luo, M.; Shi, X.; Li, J.; Gao, Y.; Zhou, F.; Pu, J.; Sun, H.; et al. Xerophilusin B induces cell cycle arrest and apoptosis in esophageal squamous cell carcinoma cells and does not cause toxicity in nude mice. J. Nat. Prod. 2015, 78, 10–16. [Google Scholar] [CrossRef] [PubMed]
- Mo, S.; Xiong, H.; Shu, G.; Yang, X.; Wang, J.; Zheng, C.; Xiong, W.; Mei, Z. Phaseoloideside E a novel natural triterpenoid identified from Entada phaseoloides, induces apoptosis in Ec-109 esophageal cancer cells through reactive oxygen species generation. J. Pharmacol. Sci. 2013, 122, 163–175. [Google Scholar] [CrossRef]
- Yamai, H.; Sawada, N.; Yoshida, T.; Seike, J.; Takizawa, H.; Kenzaki, K.; Miyoshi, T.; Kondo, K.; Bando, Y.; Ohnishi, Y.; et al. Triterpenes augment the inhibitory effects of anticancer drugs on growth of human esophageal carcinoma cells in vitro and suppress experimental metastasis in vivo. Int. J. Cancer 2009, 125, 952–960. [Google Scholar] [CrossRef] [PubMed]
- Silva, V.A.O.; Rosa, M.N.; Tansini, A.; Oliveira, R.J.S.; Martinho, O.; Lima, J.P.; Pianowski, L.F.; Reis, R.M. In vitro screening of cytotoxic activity of euphol from Euphorbia tirucalli on a large panel of human cancer-derived cell lines. Exp. Ther. Med. 2018, 16, 557–566. [Google Scholar] [CrossRef]
- Li, H.; Han, C.; Chen, C.; Han, G.; Li, Y. (20S) Ginsenoside Rh2-activated distinct apoptosis pathways in highly and poorly differentiated human esophageal cancer cells. Molecules 2022, 27, 5602. [Google Scholar] [CrossRef] [PubMed]
- Wang, L.; Lu, A.; Meng, F.; Cao, Q.; Shan, B. Inhibitory effects of lupeal acetate of Cortex periplocae on N-nitrosomethylbenzylamine-induced rat esophageal tumorigenesis. Oncol. Lett. 2012, 4, 231–236. [Google Scholar] [CrossRef]
- Liu, H.; Zhao, J.; Fu, R.; Zhu, C.; Fan, D. The ginsenoside Rk3 exerts anti-esophageal cancer activity in vitro and in vivo by mediating apoptosis and autophagy through regulation of the PI3K/Akt/mTOR pathway. PLoS ONE 2019, 14, e0216759. [Google Scholar] [CrossRef]
- Kong, Y.; Liu, S.; Wang, S.; Yang, B.; He, W.; Li, H.; Yang, S.; Wang, G.; Dong, C. Design, synthesis and anticancer activities evaluation of novel pyrazole modified catalpol derivatives. Sci. Rep. 2023, 13, 7756. [Google Scholar] [CrossRef]
- An, J.; An, S.; Choi, M.; Jung, J.H.; Kim, B. Natural products for esophageal cancer therapy: From traditional medicine to modern drug discovery. Int. J. Mol. Sci. 2022, 23, 13558. [Google Scholar] [CrossRef]
- World Health Organization (WHO). National Policy on Traditional Medicine and Regulation of Herbal Medicines; WHO: Geneva, Switzerland, 2005. [Google Scholar]
- Wachtel-Galor, S.; Benzie, I.F.F. Herbal medicine: An introduction to its history, usage, regulation, current trends, and research needs. In Herbal Medicine: Biomolecular and Clinical Aspects, 2nd ed.; Benzie, I.F.F., Wachtel-Galor, S., Eds.; CRC Press/Taylor & Francis: Boca Raton, FL, USA, 2011. [Google Scholar]
- Kuete, V.; Efferth, T. African flora has the potential to fight multidrug resistance of cancer. BioMed. Res. Int. 2015, 2015, 914813. [Google Scholar] [CrossRef]
- Herman, T.F.; Santos, C. First-Pass Effect; StatPearls Publishing: Treasure Island, FL, USA, 2023. [Google Scholar]
- Rourke, J.L.; Sinal, C.J. Biotransformation/metabolism. In Encyclopedia of Toxicology, 3rd ed.; Wexler, P., Ed.; Academic Press: Cambridge, MA, USA, 2014; pp. 490–502. [Google Scholar]
- Ernstmeyer, K.; Christman, E. Nursing pharmacology. In Chapter 1 Pharmacokinetics & Pharmacodynamics, 2nd ed.; Chippewa Valley Technical College: Eau Claire, WI, USA, 2023. Available online: https://www.ncbi.nlm.nih.gov/books/NBK595006/ (accessed on 28 February 2025).
- Yu, W.; Chen, Y.; Dubrulle, J.; Stossi, F.; Putluri, V.; Sreekumar, A.; Putluri, N.; Baluya, D.; Lai, S.Y.; Sandulache, V.C. Cisplatin generates oxidative stress which is accompanied by rapid shifts in central carbon metabolism. Sci. Rep. 2018, 8, 4306. [Google Scholar] [CrossRef]
- Kumbul, Y.Ç.; Nazıroğlu, M. Paclitaxel promotes oxidative stress-mediated human laryngeal squamous tumor cell death through the stimulation of calcium and zinc signaling pathways: No synergic action of melatonin. Biol. Trace Elem. Res. 2022, 200, 2084–2098. [Google Scholar] [CrossRef] [PubMed]
- Nizami, Z.N.; Aburawi, H.E.; Semlali, A.; Muhammad, K.; Iratni, R. Oxidative stress inducers in cancer therapy: Preclinical and clinical evidence. Antioxidants 2023, 12, 1159. [Google Scholar] [CrossRef] [PubMed]
- Blagosklonny, M.V. Selective protection of normal cells from chemotherapy, while killing drug-resistant cancer cells. Oncotarget 2023, 14, 193–206. [Google Scholar] [CrossRef]
- Codony-Servat, J.; Garcia-Albeniz, X.; Pericay, C.; Alonso, V.; Escudero, P.; Fernández-Martos, C.; Gallego, R.; Martínez-Cardús, A.; Martinez-Balibrea, E.; Maurel, J. Soluble FAS in the prediction of benefit from cetuximab and irinotecan for patients with advanced colorectal cancer. Med. Oncol. 2013, 30, 428. [Google Scholar] [CrossRef]
- Yuan, X.; Gajan, A.; Chu, Q.; Xiong, H.; Wu, K.; Wu, G.S. Developing TRAIL/TRAIL death receptor-based cancer therapies. Cancer Metastasis Rev. 2018, 37, 733–748. [Google Scholar] [CrossRef] [PubMed]
- Dasari, S.; Tchounwou, P.B. Cisplatin in cancer therapy: Molecular mechanisms of action. Eur. J. Pharmacol. 2014, 740, 364–378. [Google Scholar] [CrossRef]
- Atriya, A.; Majee, C.; Mazumder, R.; Choudhary, A.N.; Salahuddin Mazumder, A.; Dahiya, A.; Priya, N. Insight into the Various Approaches for the Enhancement of Bioavailability and Pharmacological Potency of Terpenoids: A Review. Curr. Pharm. Biotechnol. 2023, 24, 1228–1244. [Google Scholar] [CrossRef]
- Gómez-Favela, M.A.; Santos-Ballardo, D.U.; Bergés-Tiznado, M.E.; Ambriz-Pérez, D.L. Chapter 6—Nanoformulations applied to the delivery of terpenes. In Nanotechnology in Biomedicine; Heredia, J.B., Gutiérrez-Grijalva, E.P., Licea-Claverie, A., Gutierrez-Uribe, J.A., Patra, J.K., Eds.; Phytochemical Nanodelivery Systems as Potential Biopharmaceuticals; Elsevier: Amsterdam, The Netherlands, 2023; pp. 221–256. [Google Scholar] [CrossRef]
- El-Hammadi, M.M.; Small-Howard, A.L.; Fernández-Arévalo, M.; Martín-Banderas, L. Development of enhanced drug delivery vehicles for three cannabis-based terpenes using poly(lactic-co-glycolic acid) based nanoparticles. Ind. Crops Prod. 2021, 164, 113345. [Google Scholar] [CrossRef]
Disclaimer/Publisher’s Note: The statements, opinions and data contained in all publications are solely those of the individual author(s) and contributor(s) and not of MDPI and/or the editor(s). MDPI and/or the editor(s) disclaim responsibility for any injury to people or property resulting from any ideas, methods, instructions or products referred to in the content. |
© 2025 by the authors. Licensee MDPI, Basel, Switzerland. This article is an open access article distributed under the terms and conditions of the Creative Commons Attribution (CC BY) license (https://creativecommons.org/licenses/by/4.0/).



































