Next Article in Journal
Monitoring of Nutrient Removal in Swine Effluents Using Sequential Reactors with Oxygen Control
Previous Article in Journal
Ginger-Derived Compounds Alleviate Oxidative Stress and Genotoxicity in Trypanosoma evansi Infection: An Integrated In Vivo and In Silico Study
 
 
Font Type:
Arial Georgia Verdana
Font Size:
Aa Aa Aa
Line Spacing:
Column Width:
Background:
Article

Oxidative Stress Score as an Indicator of Pathophysiological Mechanisms Underlying Cardiovascular Disease in Kidney Transplant Recipients

by
Valera-Arévalo Gemma
1,2,3,*,
Paula Jara Caro
2,3,4,
María del Mar Rodríguez-San Pedro
1,2,3,
Claudia Yuste
2,3,4,
María Gabriela Ortiz-Diaz
1,
Rafael Ramírez
5,6,
Matilde Alique
5,6,
Natalia Guerra-Pérez
1,2,3,*,
Julia Carracedo
1,2,3,† and
Enrique Morales
2,3,4,†
1
Unit of Animal Physiology, Department of Genetics, Physiology and Microbiology, Faculty of Biological Sciences, Universidad Complutense de Madrid, 28040 Madrid, Spain
2
Instituto de Investigación Sanitaria Hospital 12 de Octubre (Imas12), 28041 Madrid, Spain
3
RICORS 2040-Renal Network, ISCIII, 28040 Madrid, Spain
4
Department of Nephrology, Hospital Universitario 12 de Octubre, 28041 Madrid, Spain
5
Department of Systems Biology, Universidad de Alcalá, 28801 Alcalá de Henares, Spain
6
Instituto Ramón y Cajal de Investigacion Sanitaria (IRYCIS), 28034 Madrid, Spain
*
Authors to whom correspondence should be addressed.
These authors contributed equally to this work.
Oxygen 2025, 5(4), 20; https://doi.org/10.3390/oxygen5040020
Submission received: 20 August 2025 / Revised: 2 October 2025 / Accepted: 9 October 2025 / Published: 16 October 2025
(This article belongs to the Topic Oxidative Stress and Inflammation, 3rd Edition)

Abstract

Chronic kidney disease is closely associated with an increased risk of cardiovascular disease. Although kidney transplantation represents the treatment of choice for patients with end-stage chronic kidney disease, it is also linked to significant cardiovascular risk. This study aimed to evaluate the relationship between cardiovascular pathology and oxidative status in kidney transplant recipients, while also assessing the influence of disease etiology and humoral immune response on oxidative imbalance. A cross-sectional analysis was conducted in individuals with advanced chronic kidney disease (n = 36) and kidney transplant recipients (n = 40). A total of 18 healthy subjects were included. The enzymatic activities of xanthine oxidase, superoxide dismutase, and glutathione peroxidase, and levels of lipid peroxidation products, oxidized glutathione, and reduced glutathione were measured using spectrophotometry in plasma and mononuclear and polymorphonuclear leukocytes isolated using Ficoll density gradients. Individual oxidative status was evaluated using OXYSCORE. Kidney transplantation was associated with a higher incidence of cardiovascular disease (p < 0.01) and increased levels of both prooxidant (p < 0.01) and antioxidant parameters (p < 0.01). Elevated OXYSCORE values were observed particularly in patients with nephroangiosclerosis, diabetic kidney disease, polycystic kidney disease (p < 0.05), and cardiovascular comorbidities (p < 0.001). Additionally, the presence of anti-graft antibodies correlated with higher oxidative scores. These findings suggest that OXYSCORE may serve as a potential indicator of cardiovascular damage in kidney transplant recipients.

1. Introduction

Cardiovascular diseases (CVD) represent the leading cause of mortality among patients with chronic kidney disease (CKD). These events are typically closely associated with an altered REDOX status [1]. The principal etiologies of CKD include nephroangiosclerosis (NAS), which is frequently linked to arterial hypertension (AH), and diabetic nephropathy (DN) [2]. Other significant causes encompass autosomal dominant polycystic kidney disease (ADPKD), interstitial nephritis (IN), and glomerulonephritis (GN) [3]. CKD stages 4 and 5, defined by an estimated glomerular filtration rate (eGFR) below 30 mL/min/1.73 m2, are categorized as advanced chronic kidney disease (ACKD). When eGFR falls below 15 mL/min/1.73 m2, renal replacement therapy, either hemodialysis (HD) or peritoneal dialysis (PD), becomes necessary [2]. Kidney transplantation (TX) remains the preferred therapeutic modality, as it markedly improves both survival and quality of life. Nonetheless, transplantation remains associated with complications such as CVD, graft rejection, the emergence of donor-specific anti-HLA antibodies, and adverse effects related to immunosuppressive therapy [4].
CKD is characterized by disrupted REDOX homeostasis, marked by an increased production of reactive oxygen species (ROS). Ref. [5] demonstrated increased activity of prooxidant enzymes, as well as reduced antioxidant enzyme activity, elevated levels of lipid peroxidation products, and disruptions in the glutathione cycle in ACKD, HD, and PD. These alterations were observed in plasma, mononuclear leukocytes (MN), and polymorphonuclear leukocytes (PMN) [5]. Valera-Arévalo et al. (2025) further confirmed altered individual REDOX status in ACKD and HD patients compared to healthy subjects (HS) using the OXY-SCORE proposed by previous authors [6]. This REDOX imbalance is attributed to the accumulation of uremic toxins, chronic systemic inflammation, and underlying pathophysiological conditions of CKD, such as AH and DN [7,8]. Some studies have reported increased prooxidant enzyme activity, such as xanthine oxidase (XO), in platelet-poor plasma following TX compared to pre-transplantation levels [9]. Despite this increase, higher concentrations of plasma lipid peroxidation products have been observed in non-transplanted patients compared to post-TX [10]. In terms of antioxidant defense, previous studies have demonstrated greater antioxidant capacity in TX [11], as evidenced by increased glutathione peroxidase (GPx) activity compared to individuals undergoing HD. However, conflicting findings have been reported, with some authors reporting greater superoxide dismutase (SOD) activity in HD compared to TX [12].
We hypothesized that the high incidence of CVD following TX may be related to the patients’ oxidative status, which is influenced by the underlying etiology of CKD and the production of anti-graft antibodies. We hypothesized that OXYSCORE represents an innovative and quantitative tool for assessing individualized oxidative stress in patients with CKD, enabling a more precise characterization of REDOX imbalance. We propose that the underlying etiology of CKD significantly influences the oxidative profile. Furthermore, the interplay between oxidative stress and immune response may play a critical role in disease progression and the incidence of cardiovascular complications. Therefore, an integrated analysis of the OXY-SCORE alongside immune cell response may constitute a novel and promising approach to identify pathogenic mechanisms and potential therapeutic targets in CKD.

2. Materials and Methods

2.1. Study Design and Participants

This cross-sectional study included 36 individuals with ACKD and 40 TX. A total of 18 HS were incorporated to establish reference values. TX participants had been transplanted at least six months prior to sample collection. Individuals with malignancies, active infections, autoimmune or inflammatory diseases, or CKD of unrelated etiology were excluded. Participants were recruited from the Nephrology Department at Hospital Universitario 12 de Octubre in Madrid, Spain. The study was conducted according to the ethical guidelines outlined by The Transplantation Society. The study was conducted following the principles of the Declaration of Helsinki and the Declaration of Istanbul on Organ Trafficking and Transplant Tourism. The research protocol was approved by the Ethics Committee of the Hospital 12 de Octubre Research Institute (Approval No. 17/407). Written informed consent was obtained from all participants prior to enrollment. Patient selection was carried out by nephrology specialists among patients attending their clinics, ensuring compliance with the inclusion and exclusion criteria. Clinical characteristics of the study population are summarized in Table 1.

2.2. Blood Collection and Preparation

Peripheral blood samples were collected via venipuncture in EDTA tubes at the Nephrology Department of the Hospital Universitario 12 de Octubre, Madrid (Spain) during routine clinical analyses. Samples were transported to the Animal Physiology Unit of the Faculty of Biological Sciences, Complutense University of Madrid, Spain, within 24 h for processing. Platelet-free plasma for oxidative stress assays was isolated using centrifugation at 1250× g for 20 min and stored at −80 °C until analysis.

2.3. Leukocyte Density Gradient Separation

PMN and MN were isolated using Ficoll density gradient centrifugation. The samples were transferred to a 50 mL tube, mixed with an equal volume of phosphate-buffered saline (PBS), and underlaid with Histopaque R 1.119 g/mL and 1.077 g/mL (Sigma-Aldrich, Madrid, Spain) before centrifugation at 800× g for 30 min with the brake off. The leukocyte layers were washed three times with PBS at 1250× g for 20 min (Eppendorf Benchtop Refrigerated Centrifuge 5403 with Rotor 16F24-11, Eppendorf, Hamburg, Germany), adjusted to 1 × 106 cells/mL, and stored at −80 °C until analysis.

2.4. Oxidative Stress Parameters

Oxidative stress parameters were measured in plasma, PMN, and MN.

2.4.1. Xanthine Oxidoreductase Activity

XO activity was quantified in plasma (40 μL), PMN, and MN (1 × 106 cells/mL) using the commercial AmplexR Red Xanthine/Xanthine Oxidase Assay Kit A-22182 (Molecular Probes, Paisley, UK). The aliquots of PMN and MN (1 × 106 cells/mL) were lysed and centrifuged at 10.000× g, at 4 °C for 20 min to obtain soluble fractions (Eppendorf Benchtop Refrigerated Centrifuge 5403 with Rotor 16F24-11, Eppendorf, Hamburg, Germany). XO catalyzes the oxidation of hypoxanthine to uric acid and superoxide. Superoxide spontaneously degrades to hydrogen peroxide (H2O2), which reacts with AmplexR Red reagent to render resofurin, whose absorption was measured at 560 nm. XO activity was expressed as mU XO/mg protein or mU/mL.

2.4.2. Glutathione Peroxidase Activity

GPx activity was measured in plasma (10 μL), PMN, and MN (1 × 106 cells/mL) with colorimetry using the commercial EnzyChrom™ Glutathione Peroxidase Assay Kit EGPX-100 (BioAssay Systems, Hayward, CA, USA). Aliquots of PMN and MN (1 × 106 cells/mL) were resuspended in lysis buffer, sonicated, and centrifuged at 11,000× g, at 4 °C for 10 min to obtain the intracellular fraction (Eppendorf Benchtop Refrigerated Centrifuge 5403 with Rotor 16F24-11, Eppendorf, Hamburg, Germany). Absorbance was measured at 340 nm (t0; T4). Activity was expressed as units (U) of GPx/mg protein or U/L.

2.4.3. Lipid Peroxidation Assay

Lipid peroxidation was determined using a thiobarbituric acid reactive substance (TBA) assay, which measures MDA as a product of lipid peroxidation. Determination was performed in 300 μL of plasma and in aliquots of PMN and MN (1 × 106 cells/mL) using a commercial MDA Assay Kit (BioVision Inc., Milpitas, CA, USA). Lipid peroxidation was calculated using linear regression derived from an MDA standard curve and expressed as nmol MDA/mg protein or thiobarbituric acid reactive substance (TBARS)/mL.

2.4.4. Glutathione Content Assay

Glutathione analysis was carried out on plasma (10 μL), PMN, and MN (1 × 106 cells/mL). Aliquots of PMN and MN were sonicated for 10 s (three times) and centrifuged at 11,000× g for 10 min at 4 °C to obtain the intracellular fraction (Eppendorf Benchtop Refrigerated Centrifuge 5403 with Rotor 16F24-11, Eppendorf, Hamburg, Germany). The supernatants were used to quantify oxidized glutathione (GSSG) and reduced glutathione (GSH) from the reaction with o-phthalaldehyde (OPT) (G4251-5G, G4376-500 MG, 79760-5G, respectively, Sigma Aldrich, Spain) at a pH between 8 and 12, resulting in a measurable product at 420 nm. GSH and GSSG concentrations were expressed in nmol/mg protein or nmol/mL.

2.4.5. Superoxide Dismutase Activity

SOD activity was determined with colorimetry using a commercial EnzyChromTM ESOD-100 kit (BioAssay Systems, Hayward, CA, USA). The assay was carried out in plasma (20 μL), PMN, and MN. Aliquots of PMN and MN (1 × 106 cells/mL) were sonicated with a lysis buffer, and centrifugation at 1500× g for 10 min at 4 °C was performed to obtain the intracellular fraction (Eppendorf Benchtop Refrigerated Centrifuge 5403 with Rotor 16F24-11, Eppendorf, Hamburg, Germany). The absorbance of formazan was measured at 438–460 nm. The results were expressed as U of SOD/mg protein or U of SOD/mL.

2.4.6. Protein Content Assay

The protein contents of PMN and MN were determined using the bicinchoninic acid (BCA) protein assay kit protocol (Sigma-Aldrich, Madrid, Spain), according to the manufacturer’s instructions.

2.4.7. OXY-SCORE Index Determination

The study of patients’ oxidative status was completed by calculating the OXY-SCORE proposed by [6] based on prooxidant and antioxidant parameters measured in our study. A logarithmic transformation of the parameters that did not follow a normal distribution was performed, favoring a more symmetrical distribution. The variables were standardized by applying the formula Zij = (xij − mj)/sj, where Zij (standardized value of variable j for the subject); xij (raw measure (possibly log-transformed) of variable j for subject i); mj (mean of variable j); sj (standard deviation of variable j) are related. Subsequently, individual scores were added to obtain the overall score.
The parameters analyzed in this study have been included due to the impact that CKD had on the modulation of these markers in previous studies by our group and by other authors, specifically ACKD and dialysis techniques, seeking to complete their study by evaluating the effect of TX.

2.5. Metabolic Syndrome Diagnosis

Metabolic syndrome was defined as the presence of three or more of the following criteria: body mass index (BMI) > 30 kg/m2, triglycerides (TG) > 150 mg/dL, low-density lipoprotein (LDL) < 40 mg/dL for males and <50 mg/dL for females, and AH diagnosis or fasting glucose > 100 mg/dL.

2.6. Statistics

Data are presented as mean ± standard deviation (SD). Normality was assessed using the Kolmogorov–Smirnov test. Parametric variables were analyzed using one-way ANOVA followed by Tukey’s post hoc test; non-parametric data were analyzed using the Kruskal–Wallis test. Categorical variables were evaluated with the chi-squared test. Statistical analyses were performed using SPSS 21.0 and GraphPad Prism 8.02 software. Significance was set at p < 0.05. G power analysis was performed to analyze the validity of the sample size used. A total sample of 94 patients was distributed into three groups (n = 18, 36, and 40). This sample size allowed for statistical power of 90% (1 − β = 0.90) with a significance level of 0.05, which is adequate for detecting medium-sized effects (f ≈ 0.26) in comparisons between groups using ANOVA or Kruskal–Wallis. Likewise, in the chi-squared association analyses, sufficient power was estimated to detect medium-sized effects (w ≈ 0.32). Therefore, this study has adequate power to identify clinically relevant differences or associations.

3. Results

3.1. Study Population Baseline Characteristics

Clinical characteristics of study subjects are shown in Table 1. ACKD and TX had similar incidences of CVD (63.9% and 50%), ischemic heart disease (44.4% and 40%), and AH (88.9% and 97.5%). Vasculopathy was more frequent in TX (45%) than in ACKD (11.1%). In TX, 52.5% produced anti-graft antibodies. A total of 42.5% were less than 5 years post-transplant, and 57.5% were more than 5 years post-transplant. CKD etiology in TX included NAS (15%), DN (20%), ADPKD (20%), IN (17.5%), GN (10%), or unrelated causes. No differences were observed in age or gender. No statistically significant differences were observed between groups regarding the incidence of acute cerebrovascular events (ACVAs) and chronic cardiac insufficiency (CCI).

3.2. Cardiovascular Disease Incidence Influenced by Etiology

The main finding shown in Figure 1 is that TX with underlying DN, NAS, or ADPKD exhibited a significantly higher incidence of CVD, particularly peripheral vasculopathy. As shown in Figure 1d, vasculopathy was present in 87.5% of DN, 66.7% of NAS, and 57.1% of ADPKD patients, compared to only 10% in ACKD and 0% in HS.
Similarly, ischemic cardiopathy was more frequent in DN (62.5%), NAS (50%), and ADPKD (62.6%) compared to ACKD (42.5%) (Figure 1b). Cerebrovascular accidents (ACVAs) were most common in ADPKD (42.8%), while GN and IN showed no cases (Figure 1c). Importantly, no cardiovascular events were reported in TX recipients with IN. No significant differences were found in the incidence of CCI (Figure 1e).

3.3. Alterations in Oxidative Stress Markers Detected in Plasma and Immune Cell Populations

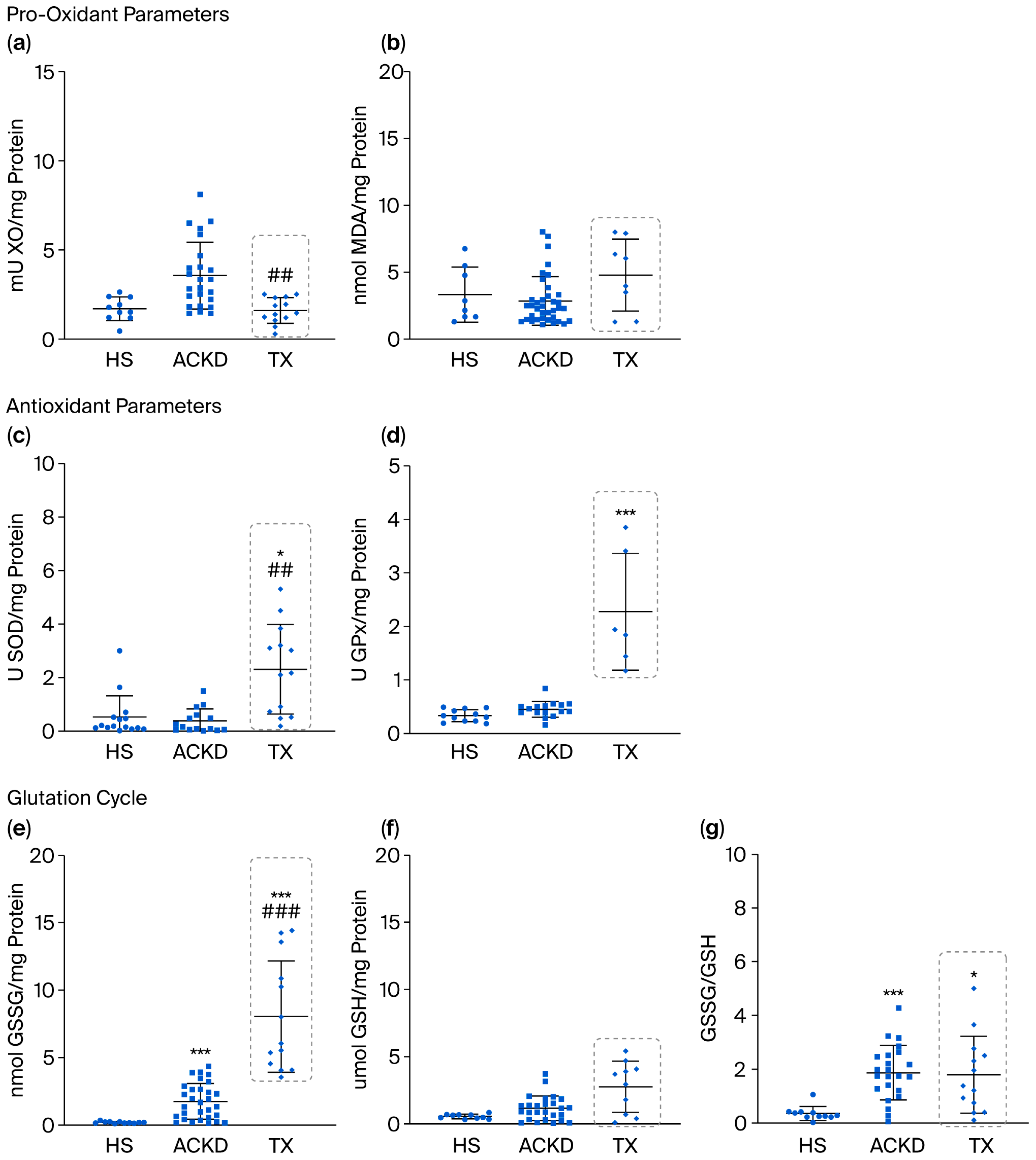
Figure 2 shows elevated levels of both prooxidant and antioxidant parameters in plasma from TX. Plasma XO activity was increased in TX compared to HS and ACKD (Figure 2a). Plasma TBARS levels in ACKD and TX were elevated compared to HS (Figure 2b). Plasma SOD activity increased in ACKD compared to HS and also in TX compared to HS and ACKD (Figure 2c). Plasma GPx activity in TX was increased relative to ACKD (Figure 2d).
Figure 3 shows elevated levels of both prooxidant and antioxidant parameters in MN from TX. XO activity in MN increased in TX compared to HS (Figure 3a). MDA levels in MN were elevated in TX compared to HS and ACKD (Figure 3a). SOD activity in MN in TX was higher compared to ACKD patients, in which levels were lower compared to HS (Figure 3c). GPx activity in MN increased in TX compared to HS and ACKD (Figure 3d). GSSG levels in MN were increased compared to HS and ACKD (Figure 3e). GSH levels in TX were increased compared to ACKD, whose levels were lower than HS (Figure 3f).
Figure 4 shows elevated levels of both prooxidant and antioxidant parameters in PMN from TX. XO activity in PMN in TX patients was lower compared to ACKD, whose activity showed a trend of higher activity compared to HS (Figure 4a). MDA levels in PMN in TX were similar to HS and ACKD (Figure 4b). SOD activity in PMN was higher in TX compared to HS and ACKD (Figure 4c). GPx activity in PMN was higher in TX compared to HS (Figure 4d). GSSG levels in PMN were higher in ACKD compared to HS and were higher in TX compared to HS and ACKD (Figure 4e). GSH levels in PMN were similar in TX to HS and ACKD (Figure 4f).
No differences in individual REDOX parameters levels were observed relative to the etiology (Table A1, Table A2 and Table A3).
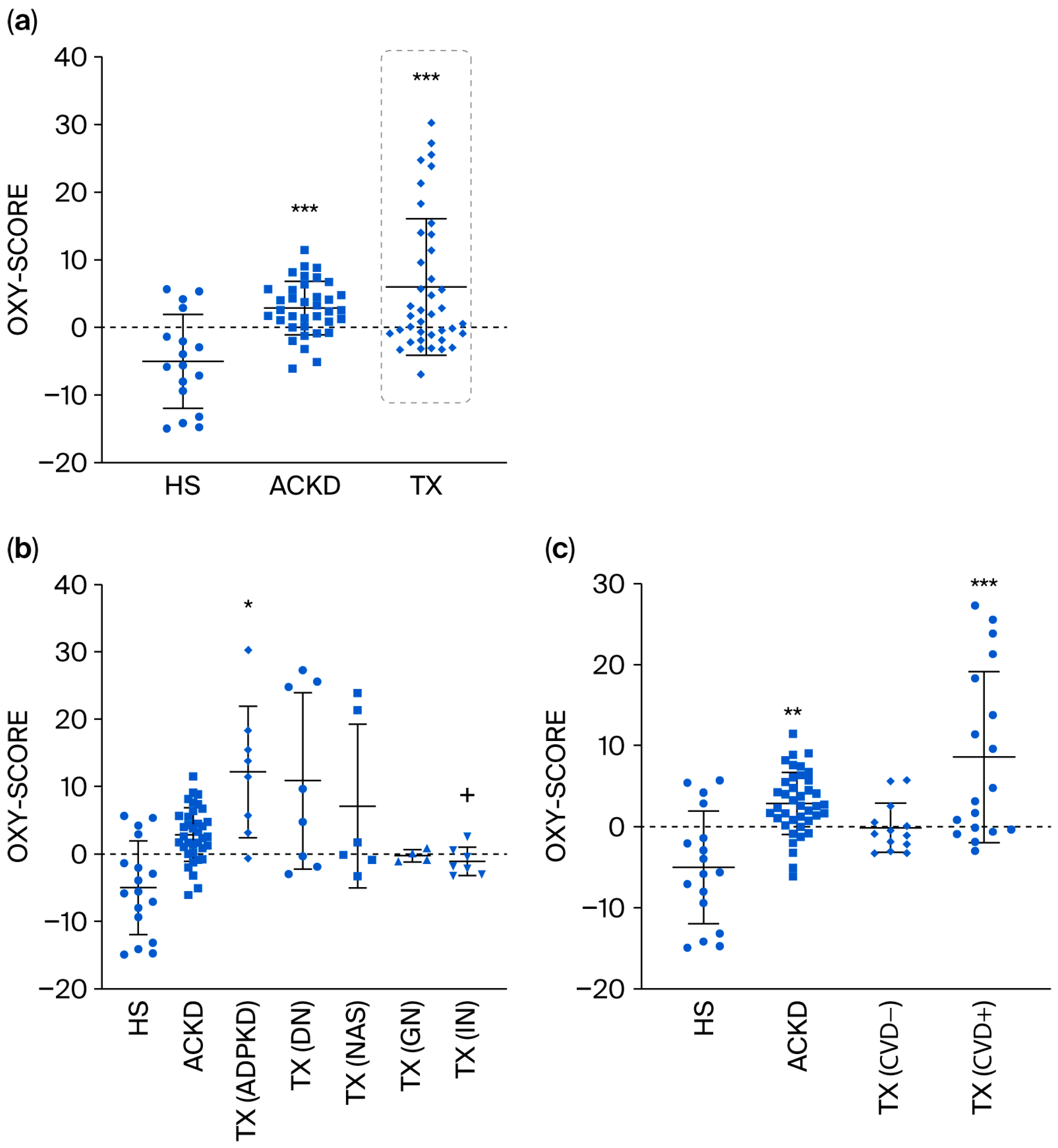
In order to more accurately assess the redox status of patients, a score was established based on the parameters presented above. The OXYSCORE in ACKD and TX was higher compared to that in HS (Figure 5a). TX with ADPKD, DN, and NAS (trends) had a higher OXYSCORE compared to HS (Figure 5b). A higher OXYSCORE was observed in TX with associated CVD compared to HS, and these differences were not observed in patients without CVD (Figure 5c). The OXYSCORE in TX patients who had produced anti-graft antibodies was higher compared to those who had not, whose OXYSCORE was similar to that of HS (Figure 6a).

4. Discussion

This study hypothesized that oxidative stress—modulated by disease etiology and humoral immune response—is associated with CVD in CKD patients post-TX.
In our study, TX subjects with NAS, DN, and ADPKD, as well as patients with ACKD, showed higher CVD incidence. These outcomes may be influenced by immunosuppressive therapy, comorbidities such as DM, dyslipidemia, AH, and graft dysfunction [13]. ADPKD is commonly associated with AH, often driven by activation of the renin–angiotensin–aldosterone system (RAAS) [14]. In our cohort, patients with GN also showed increased CVD incidence, consistent with prior studies that highlighted the role of systemic inflammation and dysregulation of RAAS in the CVD pathogenesis in this population [15].
In this study, higher XO activity was observed in TX in plasma and MN compared to HS and ACKD. XO, a purine-metabolizing enzyme, generates superoxide (O2) and hydrogen peroxide (H2O2), promoting endothelial damage, vascular inflammation, and atherosclerosis development [16,17]. Additionally, elevated plasma uric acid—XO’s end-product—can be internalized by endothelial cells, inducing ROS production and apoptosis [18]. In TX, increased plasma XO activity has been linked to carotid atherosclerosis [19]. The lack of elevated XO activity in PMN in TX in our study may reflect reduced systemic inflammation following resolution of uremia or the absence of dialysis-related activation of the immune system caused by bioincompatible materials [20]. Immunosuppressants such as everolimus or tacrolimus modulate lymphocyte activity, which potentially contributes to the increased XO activity observed in MN [3,21].
Elevated levels of lipid peroxidation products (TBARS and MDA) were observed in plasma and MN. Lipids are essential for maintaining membrane integrity, regulating protein trafficking and activity, and facilitating endocytosis. ROS-induced oxidation disrupts these processes [22]. Under physiological conditions, antioxidant enzymes counteract lipid oxidation, which may be altered under pathological conditions [23]. Previous studies have reported elevated MDA levels two weeks post-TX compared to pre-TX levels, reflecting oxidative stress resulting from surgical trauma and intense immunosuppressive therapy [24]. Lipid peroxidation products cause damage at the cellular, protein, and DNA levels, and are implicated in the development of disorders, such as atherosclerosis [25].
Increased SOD activity was observed in plasma, MN, and PMN. SOD catalyzes the dismutation of O2 into H2O2, which is subsequently reduced to H2O by catalase and GPx [26]. Despite the limited literature on this topic, this study is the first to explore the role of MN and PMN. Even though previous studies have not reported differences in plasmatic SOD activity in TX [27], our findings indicate elevated SOD activity as a compensatory response to increased XO activity and O2 production [16].
Increased GPx activity was also observed in plasma, MN, and PMN. GPx reduces H2O2 using GSH, generating GSSG [28]. A prior study reported elevated GPx activity within 30 days post-TX, as a response to increased ROS and prooxidant activity [29]. High GPx activity has been linked to atherogenic markers detected by ultrasound [30]. This activity is accompanied by enhanced GSH synthesis due to its consumption. The GSSG/GSH ratio, which is an oxidative stress marker, was similar between TX and HS in MN but higher in PMN, suggesting distinct oxidative responses [31].
Despite the anticipated improvement in REDOX status following TX, a higher OXYSCORE was observed compared to HS, accompanied by considerable variability. ADPKD was associated with an elevated OXYSCORE, with a similar trend in NAS and DN. OXYSCORE levels IN and GN were comparable to HS. These findings suggest that persistent systemic alterations may underlie the elevated OXYSCORE in NAS, DN, and ADPKD, which were absent or less prominent in IN and GN.
NAS is characterized by arterial thickening, mainly due to AH, causing glomerular damage and reduced filtration [32]. DN involves oxidative stress and accumulation of advanced glycation products. Despite TX, systemic effects of AH and diabetes mellitus persist. NADPH oxidases contribute to ROS production under these conditions [33], and DN is linked to elevated lipid peroxidation and vascular complications [34]. Antioxidant enzyme activity remains controversial, with some previous studies reporting higher plasmatic SOD activity [35] and others reporting lower [36]. GSH levels have been reported to be reduced in DN compared to diabetics without nephropathy [37].
ADPKD, often linked to liver cysts, an organ with a crucial role in REDOX balance, may disrupt REDOX regulation [38]. Decreased SOD and GPx activity have been reported to contribute to the pathogenesis and severity of ADPKD [39].
The similarity in OXYSCORE levels between GN, IN, and HS supports the hypothesis of a primarily renal-level pathology, resolved following TX. GN is characterized by B/T lymphocyte and neutrophil infiltration [40], and IN involves tubular inflammation, which may be a consequence of drugs, infections, autoimmune disorders, or ischemia [41].
OXYSCORE was elevated in TX with CVD compared to HS, but not in those without CVD. Oxidative stress contributes to CVD development via endothelial dysfunction, cellular senescence, and pro-inflammatory signaling [42]. Elevated ROS reduces nitric oxide and prostaglandin bioavailability [43]. Low plasmatic SOD levels correlate with heart failure [44], while XO activity promotes uric acid-induced inflammation and endothelial damage [45]. Altered GSH and GSSG levels have been linked to AH [46], and impaired cardiac function [47].
The OXYSCORE was unaffected by time after TX, highlighting CKD etiology and CVD as more relevant factors. A higher OXYSCORE in patients with anti-graft antibodies suggests a potential link with immune activation, requiring further investigation.
The limited sample size restricted detailed analysis of rejection types and history, thereby reducing the statistical power to detect meaningful associations. The potential bidirectional relationship between oxidative stress and endothelial damage could not be fully examined and requires further investigation. In vitro studies should be conducted to elucidate underlying mechanisms. Another major limitation is the lack of control over factors, such as the use of immunosuppressants, comorbidities, or the metabolic status of patients.

5. Conclusions

TX is accompanied by significant alterations in oxidative status, reflecting the complex interplay between CKD etiology, CVD burden, and humoral immune responses. Our findings demonstrate that the OXYSCORE—a composite index integrating both prooxidant and antioxidant markers—is significantly elevated in patients with established CVD, as well as in those with DN, NAS, and ADPKD. Notably, the correlation between elevated OXYSCORE values and anti-graft antibody production suggests a mechanistic link between oxidative stress and immune-mediated graft injury.
These results underscore the potential of the OXYSCORE as clinically valuable for cardiovascular risk stratification in TX. Its integration into routine clinical practice could contribute to earlier detection of cardiovascular complications and guide personalized therapeutic strategies targeting redox imbalances. From an institutional perspective, implementing OXYSCORE-based monitoring may not only optimize resource allocation and improve clinical outcomes but also represent a step forward in the adoption of precision medicine. Ultimately, this approach is poised to deliver tangible benefits for both the healthcare system and, most importantly, individual patients.

Author Contributions

V.-A.G., E.M., and J.C. contributed to the conception and design of the study; V.-A.G., M.d.M.R.-S.P., M.G.O.-D., C.Y., P.J.C., N.G.-P., R.R., and M.A. performed the research experiment and the acquisition of data. V.-A.G. and N.G.-P. performed the statistical analysis; C.Y. and P.J.C. provided the samples for the experimental study; C.Y., P.J.C., and E.M. made the clinical diagnosis of kidney transplantation patients and selected the controls; E.M. and J.C. acquired funding support; V.-A.G. wrote the manuscript; M.d.M.R.-S.P., M.G.O.-D., P.J.C., C.Y., R.R., M.A., E.M., N.G.-P., and J.C. revised and completed the final draft of the article. All authors have read and agreed to the published version of the manuscript.

Funding

This research was funded by the Instituto de Salud Carlos III through projects “PI17/01029”, “PI19/00240”, “PI20/01321”, and project PI23/01109, funded by the Carlos III Health Institute (ISCIII) and co-funded by the European Union. This research was also funded by grants from the Instituto de Salud Carlos III (ISCIII) and cofounded by Fondos Europeos de Desarrollo Regional (FEDER): “EPU-INV-UAH/2022/001” from Universidad de Alcala (“Ayuda de la Linea de Actuacion Excelencia para el Profesorado Universitario de la UAH”) to M.A. RICORS 2040. G.V.-A. was supported by imas12 contract “I+12-AY2OO414-1”, and M.d.M.R.-S.P. received FPU23/00347.

Institutional Review Board Statement

The study was conducted according to the ethical guidelines outlined by The Transplantation Society. The study was conducted following the principles of the Declaration of Helsinki and the Declaration of Istanbul on Organ Trafficking and Transplant Tourism. The research protocol was approved by the Ethics Committee of the Hospital 12 de Octubre Research Institute (Approval No. 17/407). Written informed consent was obtained from all participants prior to enrollment. Clinical characteristics of the study population are summarized in Table 1.

Informed Consent Statement

Written informed consent was obtained from all participants prior to enrollment.

Data Availability Statement

No data are available due to privacy or ethical restrictions.

Acknowledgments

We thank the nephrology service of the Hospital 12 de Octubre for their participation in the recruitment of study subjects and the provision of samples. We thank all patients and healthy subjects for their participation.

Conflicts of Interest

E.M. received consulting fees from CSL Vifor, Otsuka, GSK, Samsung, and AZ Alexion; payment or honoraria for lectures, presentations, speakers bureaus, manuscript writing or educational events from CSL Vifor, Otsuka, GSK, Samsung, and AZ Alexion; support for attending meetings and/or travel from CSL Vifor, and Otsuka; and participated in a Data Safety Monitoring Board or Advisory Board for CSL Vifor, Otsuka, AZ Alexion, and Samsung.

Abbreviations

ACKDadvanced chronic kidney disease
ACVAacute cerebrovascular accident
ADPKDautosomal dominant polycystic kidney disease
AHarterial hypertension
BCAbicinchoninic acid
BIbody mass index
CCIchronic cardiac insufficiency
CKDchronic kidney disease
CVDcardiovascular disease
DNdiabetic nephropathy
eGFRestimated glomerular filtration rate
GPxglutathione peroxidase
GSHreduced glutathione
GSSGglutathione disulfide
GNglomerulonephritis
HDhemodialysis
HShealthy subjects
INinterstitial nephritis
LDLlow density lipoprotein
MDAmalondialdehyde
MNmononuclear leukocyte
NASnephroangiosclerosis
OPTo-phtalaldehyde
PBSphosphate-buffered solution
PDperitoneal dialysis
PMNpolymorphonuclear leukocyte
RAASrenin–angiotensin–aldosterone system
ROSreactive oxygen species
SDstandard deviation
SODsuperoxide dismutase
TBARSthiobarbituric acid reactive substance
TGtriglycerides
TXkidney transplantation
XOxanthine oxidase

Appendix A

Table A1. Effects of the etiology of chronic kidney disease on plasma prooxidant and antioxidant parameters in transplant recipients.
Table A1. Effects of the etiology of chronic kidney disease on plasma prooxidant and antioxidant parameters in transplant recipients.
HS (n = 18)TX (NAS) (n = 6)TX (DN) (n = 8)TX (ADPKD) (n = 8)TX (IN) (n = 7)TX (GN) (n = 4)
XO Activity (mU/mL)0.04 ± 0.0120.29 ± 0.390.17 ± 0.150.6 ± 0.10.44 ± 0.441.8 ± 0.06
SOD Activity (U/mL)0.65 ± 1.471.55 ± 1.384.1 ± 3.53.8 ± 3.210.1 ± 17.81.7 ± 0.7
GPx Activity (U/mL)60.2 ± 15.6701.8 ± 1053.27290.1 ± 293.61075 ± 1969835 ± 1073342.9 ± 141
TBARS (nmol/mL)5.9 ± 2.437 ± 3920.9 ± 10.439.9 ± 49.233.7 ± 48.0513.9 ± 3.3
GSH (umol/mL)1.7 ± 0.531.6 ± 0.81.4 ± 0.51.7 ± 0.52.1 ± 1.331.8 ± 0.9
HS, healthy subjects; TX, kidney transplantation; NAS, nephroangiosclerosis; DN, diabetic nephropathy; ADPKD, autosomal-dominant polycystic kidney disease; IN, interstitial nephropathy; GN, glomerulonephritis; XO, xanthine oxidase; SOD, superoxide dismutase; GPx, glutathione peroxidase; TBARS, thiobarbituric acid reactive substance; GSH, reduced glutathione.
Table A2. Effects of the etiology of chronic kidney disease on mononuclear leukocytes prooxidant and antioxidant parameters in transplant recipients.
Table A2. Effects of the etiology of chronic kidney disease on mononuclear leukocytes prooxidant and antioxidant parameters in transplant recipients.
HS (n = 18)TX (NAS) (n = 6)TX (DN) (n = 8)TX (ADPKD) (n = 8)TX (IN) (n = 7)TX (GN) (n = 4)
XO Activity (mU/mL)2.7 ± 1.14. 8 ± 1.32 ± 0.55.1 ± 3.46.4 ± 2.80.80 ± 0.014
SOD Activity (U/mL)0.4 ± 0.31.1 ± 0.92.1 ± 29.2 ± 8.318 ± 40.46
GPx Activity (U/mL)0.8 ± 1.11.7 ± 1.68.7 ± 15.4 ± 7.71.5 ± 1.30.12 ± 0.08
MDA (nmol/mL)3.5 ± 2.96.73 ± 142.3 ± 33.815.7 ± 15.46.4 ± 3.68.037 ± 2.016
GSH (umol/mL)5.9 ± 5.227 ± 18.313.7 ± 11.746.8 ± 87.1336 ± 1123.215 ± 2.51
GSSG (umol/mL)3.1 ± 2.137.1 ± 40.317 ± 16.953.8 ± 80.6--
GSSG/GSH0.9 ± 0.92.9 ± 4.32.8 ± 2.52.1 ± 2.1--
HS, healthy subjects; TX, kidney transplantation; NAS, nephroangiosclerosis; DN, diabetic nephropathy; ADPKD, autosomal dominant polycystic kidney disease; IN, interstitial nephropathy; GN, glomerulonephritis; XO, xanthine oxidase; SOD, superoxide dismutase; GPx, glutathione peroxidase; MDA, malondialdehyde; GSH, reduced glutathione; GSSG, oxidized glutathione.
Table A3. Effects of the etiology of chronic kidney disease on polymorphonuclear leukocytes prooxidant and antioxidant parameters in transplant recipients.
Table A3. Effects of the etiology of chronic kidney disease on polymorphonuclear leukocytes prooxidant and antioxidant parameters in transplant recipients.
HS (n = 18)TX (NAS) (n = 6)TX (DN) (n = 8)TX (ADPKD) (n = 8)TX (IN) (n = 7)TX (GN) (n = 4)
XO Activity (mU/mL)2.4 ± 1.81.8 ± 0.51.6 ± 0.665.7 ± 4.81.9 ± 0.9-
SOD Activity (U/mL)0.5 ± 0.82.2 ± 2.13.1 ± 1.79.5 ± 12.78.2 ± 1.22.1 ± 1.18
GPx Activity (U/mL)0.3 ± 0.11 ± 1.11.4 ± 1.40.47 ± 0.061.8 ± 0.820.57 ± 0.28
MDA (nmol/mL)3.3 ± 2.13.5 ± 13.9 ± 17.9 ± 0.066.3 ± 1.2-
GSH (umol/mL)1.3 ± 2.43.7 ± 1.89.6 ± 16.115.6 ± 15.43.3 ± 1.1-
GSSG (umol/mL)0.2 ± 0.077.6 ± 5.77.2 ± 3.917.8 ± 9.9--
GSSG/GSH0.4 ± 0.33.3 ± 1.814.8 ± 25.91.7 ± 0.7--
HS, healthy subjects; TX, kidney transplantation; NAS, nephroangiosclerosis; DN, diabetic nephropathy; ADPKD, autosomal dominant polycystic kidney disease; IN, interstitial nephropathy; GN, glomerulonephritis; XO, xanthine oxidase; SOD, superoxide dismutase; GPx, glutathione peroxidase; MDA, malondialdehyde; GSH, reduced glutathione; GSSG, oxidized glutathione.

References

  1. House, A.A.; Wanner, C.; Sarnak, M.J.; Piña, I.L.; McIntyre, C.W.; Komenda, P.; Kasiske, B.L.; Deswal, A.; de Filippi, C.R.; Cleland, J.G.F.; et al. Heart failure in chronic kidney disease: Conclusions from a Kidney Disease: Improving Global Outcomes (KDIGO) Controversies Conference. Kidney Int. 2019, 95, 1304–1317. [Google Scholar] [CrossRef]
  2. Zijlstra, L.E.; Trompet, S.; Mooijaart, S.P.; van Buren, M.; Sattar, N.; Stott, D.J.; Jukema, J.W. The association of kidney function and cognitive decline in older patients at risk of cardiovascular disease: A longitudinal data analysis. BMC Nephrol. 2020, 5, 81. [Google Scholar] [CrossRef]
  3. Priyadarshani, W.V.D.; de Namor, A.F.D.; Silva, S.R.P. Rising of a global silent killer: Critical analysis of chronic kidney disease of uncertain aetiology (CKDu) worldwide and mitigation steps. Environ. Geochem. Health 2023, 45, 2647–2662. [Google Scholar] [CrossRef] [PubMed]
  4. Cheung, C.Y.; Tang, S.C.W. Personalized immunosuppression after kidney transplantation. Nephrology 2022, 27, 475–483. [Google Scholar] [CrossRef]
  5. Vida, C.; Oliva, C.; Yuste, C.; Ceprián, N.; Caro, P.J.; Valera, G.; González de Pablos, I.; Morales, E.; Carracedo, J. Oxidative stress in patients with advanced ckd and renal replacement therapy: The key role of peripheral blood leukocytes. Antioxidants 2021, 10, 1155. [Google Scholar] [CrossRef]
  6. Veglia, F.; Cavalca, V.; Tremoli, E. OXY-SCORE: A global index to improve evaluation of oxidative stress by combining pro- and antioxidant markers. In Advanced Protocols in Oxidative Stress II; Humana Press: Totowa, NJ, USA, 2010. [Google Scholar] [CrossRef]
  7. Cerqueira, A.; Quelhas-Santos, J.; Sampaio, S.; Ferreira, I.; Relvas, M.; Marques, N.; Dias, C.C.; Pestana, M. Endothelial dysfunction is associated with cerebrovascular events in pre-dialysis CKD patients: A prospective study. Life 2021, 11, 128. [Google Scholar] [CrossRef]
  8. Maraj, M.; Kuśnierz-Cabala, B.; Dumnicka, P.; Gawlik, K.; Pawlica-Gosiewska, D.; Gala-Błądzińska, A.; Ząbek-Adamska, A.; Ceranowicz, P.; Kuźniewski, M. Redox balance correlates with nutritional status among patients with end-stage renal disease treated with maintenance hemodialysis. Oxidative Med. Cell. Longev. 2019, 2019, 6309465. [Google Scholar] [CrossRef]
  9. Cecerska-Heryć, E.; Heryć, R.; Dutkiewicz, G.; Michalczyk, A.; Grygorcewicz, B.; Serwin, N.; Napiontek-Balińska, S.; Dołęgowska, B. Xanthine oxidoreductase activity in platelet-poor and rich plasma as an oxidative stress indicator in patients requiring renal replacement therapy. BMC Nephrol. 2022, 23, 35. [Google Scholar] [CrossRef] [PubMed]
  10. Cañas, L.; Iglesias, E.; Pastor, M.C.; Barallat, J.; Juega, J.; Bancu, I.; Lauzurica, R. Inflammation and oxidation: Do they improve after kidney transplantation? Relationship with mortality after transplantation. Int. Urol. Nephrol. 2017, 49, 533–540. [Google Scholar] [CrossRef]
  11. Yepes-Calderón, M.; Sotomayor, C.G.; Gans, R.O.B.; Berger, S.P.; Leuvenink, H.G.D.; Tsikas, D.; Rodrigo, R.; Navis, G.J.; Bakker, S.J.L. Post-transplantation plasma malondialdehyde is associated with cardiovascular mortality in renal transplant recipients: A prospective cohort study. Nephrol. Dial. Transplant. 2020, 35, 512–519. [Google Scholar] [CrossRef] [PubMed]
  12. Soleymanian, T.; Hamid, G.; Arefi, M.; Najafi, I.; Ganji, M.R.; Amini, M.; Hakemi, M.; Tehrani, M.R.; Larijani, B. Non-diabetic renal disease with or without diabetic nephropathy in type 2 diabetes: Clinical predictors and outcome. Ren. Fail. 2015, 37, 572–575. [Google Scholar] [CrossRef]
  13. Rangaswami, J.; Mathew, R.O.; Parasuraman, R.; Tantisattamo, E.; Lubetzky, M.; Rao, S.; Yaqub, M.S.; Birdwell, K.A.; Bennett, W.; Dalal, P.; et al. Cardiovascular disease in the kidney transplant recipient: Epidemiology, diagnosis and management strategies. Nephrol. Dial. Transplant. 2019, 34, 760–773. [Google Scholar] [CrossRef]
  14. Klawitter, J.; Reed-Gitomer, B.Y.; McFann, K.; Pennington, A.; Klawitter, J.; Abebe, K.Z.; Klepacki, J.; Cadnapaphornchai, M.A.; Brosnahan, G.; Chonchol, M.; et al. Endothelial dysfunction and oxidative stress in polycystic kidney disease. Am. J. Physiol. Ren. Physiol. 2014, 307, F1198–F1206. [Google Scholar] [CrossRef]
  15. Qasim, M.T.; Mohammed, Z.I. The Impact of glomerulonephritis on cardiovascular disease: Exploring pathophysiological links and clinical implications. J. Rare Cardiovasc. Dis. 2025, 5, 3–8. [Google Scholar]
  16. Martinez-Hervas, S.; Real, J.T.; Ivorra, C.; Priego, A.; Chaves, F.J.; Pallardo, F.V.; Viña, J.R.; Redon, J.; Carmena, R.; Ascaso, J.F. Increased plasma xanthine oxidase activity is related to nuclear factor kappa beta activation and inflammatory markers in familial combined hyperlipidemia. Nutr. Metab. Cardiovasc. Dis. 2010, 20, 734–739. [Google Scholar] [CrossRef] [PubMed]
  17. Kushiyama, A.; Okubo, H.; Sakoda, H.; Kikuchi, T.; Fujishiro, M.; Sato, H.; Kushiyama, S.; Iwashita, M.; Nishimura, F.; Fukushima, T.; et al. Xanthine oxidoreductase is involved in macrophage foam cell formation and atherosclerosis development. Arterioscler. Thromb. Vasc. Biol. 2012, 32, 291–298. [Google Scholar] [CrossRef] [PubMed]
  18. Yu, H.; Chen, X.; Guo, X.; Chen, D.; Jiang, L.; Qi, Y.; Shao, J.; Tao, L.; Hang, J.; Lu, G.; et al. The clinical value of serum xanthine oxidase levels in patients with acute ischemic stroke. Redox Biol. 2023, 60, 102623. [Google Scholar] [CrossRef]
  19. Oki, R.; Hamasaki, Y.; Komaru, Y.; Miyamoto, Y.; Matsuura, R.; Akari, S.; Nakamura, T.; Murase, T.; Doi, K.; Nangaku, M. Plasma xanthine oxidoreductase is associated with carotid atherosclerosis in stable kidney transplant recipients. Nephrology 2022, 27, 363–370. [Google Scholar] [CrossRef]
  20. Pérez-García, R.; Ramírez Chamond, R.; de Sequera Ortiz, P.; Albalate, M.; Puerta Carretero, M.; Ortega, M.; Ruiz Caro, M.C.; Alcazar Arroyo, R. Citrate dialysate does not induce oxidative stress or inflammation in vitro as compared to acetate dialysate. Nefrologia 2017, 37, 630–637. [Google Scholar] [CrossRef]
  21. Mamode, N.; Bestard, O.; Claas, F.; Furian, L.; Griffin, S.; Legendre, C.; Pengel, L.; Naesens, M. European Guideline for the Management of Kidney Transplant Patients with HLA Antibodies: By the European Society for Organ Transplantation Working Group. Transpl. Int. 2022, 35, 10511. [Google Scholar] [CrossRef]
  22. Ayala, A.; Muñoz, M.F.; Argüelles, S. Lipid Peroxidation: Production, Metabolism, and Signaling Mechanisms of Malondialdehyde and 4-Hydroxy-2-Nonenal. Oxidative Med. Cell. Longev. 2014, 2014, 360438. [Google Scholar] [CrossRef]
  23. Andrade, F.; Darrah, E.; Rosen, A. Autoantibodies in Rheumatoid Arthritis. In Kelley and Firestein’s Textbook of Rheumatology, 10th ed.; Firestein, G.S., Budd, R.C., Gabriel, S.E., McInnes, I.B., O’Dell, J.R., Eds.; Elsevier: Amsterdam, The Netherlands, 2017; pp. 831–845. [Google Scholar] [CrossRef]
  24. Wojtaszek, E.; Oldakowska-Jedynak, U.; Kwiatkowska, M.; Glogowski, T.; Malyszko, J. Evaluation of oxidant and antioxidant status in living donor renal allograft transplant recipients. Mol. Cell. Biochem. 2016, 413, 1–8. [Google Scholar] [CrossRef] [PubMed]
  25. Martín-Timón, I.; Sevillano-Collantes, C.; Segura-Galindo, A. Type 2 diabetes and cardiovascular disease: Have all risk factors the same strength? World J. Diabetes 2014, 5, 444–470. [Google Scholar] [CrossRef]
  26. Gutteridge, J.M.C.; Halliwell, B. Mini-Review: Oxidative stress, redox stress or redox success? Biochem. Biophys. Res. Commun. 2018, 502, 183–186. [Google Scholar] [CrossRef]
  27. Moreno, J.M.; Ruiz, M.C.; Ruiz, N. Modulation factors of oxidative status in stable renal transplantation. Transplant. Proc. 2005, 37, 1428–1430. [Google Scholar] [CrossRef]
  28. Younus, H. Therapeutic potentials of superoxide dismutase. Int. J. Health Sci. 2018, 12, 88–93. [Google Scholar]
  29. Zachara, B.A.; Wlodarczyk, Z.; Andruszkiewicz, J. Glutathione and glutathione peroxidase activities in blood of patients in early stages following kidney transplantation. Ren. Fail. 2005, 27, 751–755. [Google Scholar] [CrossRef]
  30. Ruiz, M.C.; Medina, A.; Moreno, J.M. Relationship between oxidative stress parameters and atherosclerotic signs in the carotid artery of stable renal transplant patients. Transplant. Proc. 2005, 37, 3796–3798. [Google Scholar] [CrossRef]
  31. Prasai, P.K.; Shrestha, B.; Orr, A.W.; Pattillo, C.B. Decreases in GSH:GSSG activate vascular endothelial growth factor receptor 2 (VEGFR2) in human aortic endothelial cells. Redox Biol. 2018, 19, 22–27. [Google Scholar] [CrossRef] [PubMed]
  32. Heras Benito, M. Nephroangiosclerosis: An update. Hipertens. Riesgo Vasc. 2023, 40, 98–103. [Google Scholar] [CrossRef] [PubMed]
  33. Lassègue, B.; Griendling, K.K. NADPH oxidases: Functions and pathologies in the vasculature. Arterioscler. Thromb. Vasc. Biol. 2010, 30, 653–661. [Google Scholar] [CrossRef]
  34. Bigagli, E.; Raimondi, L.; Mannucci, E.; Colombi, C. Lipid and protein oxidation products, antioxidant status and vascular complications in poorly controlled type 2 diabetes. Br. J. Diabetes Vasc. Dis. 2012, 12, 33–39. [Google Scholar] [CrossRef]
  35. Bandeira, S.M.; Guedes, G.S.; da Fonseca, L.J. Characterization of blood oxidative stress in type 2 diabetes mellitus patients: Increase in lipid peroxidation and SOD activity. Oxidative Med. Cell. Longev. 2012, 2012, 819310. [Google Scholar] [CrossRef] [PubMed]
  36. Strom, A.; Kaul, K.; Brüggemann, J.; Ziegler, I.; Rokitta, I.; Püttgen, S.; Szendroedi, J.; Müssig, K.; Roden, M.; Ziegler, D. Lower serum extracellular superoxide dismutase levels are associated with polyneuropathy in recent-onset diabetes. Exp. Mol. Med. 2017, 49, e394. [Google Scholar] [CrossRef] [PubMed]
  37. Adeshara, K.A.; Diwan, A.G.; Jagtap, T.R.; Advani, K.; Siddiqui, A.; Tupe, R.S. Relationship between plasma glycation with membrane modification, oxidative stress and expression of glucose trasporter-1 in type 2 diabetes patients with vascular complications. J. Diabetes Its Complicat. 2017, 31, 439–448. [Google Scholar] [CrossRef]
  38. Chapman, A.B.; Devuyst, O.; Eckardt, K.U.; Gansevoort, R.T.; Harris, T.; Horie, S.; Kasiske, B.L.; Odland, D.; Pei, Y.; Perrone, R.D.; et al. Autosomal-dominant polycystic kidney disease (ADPKD): Executive summary from a Kidney Disease: Improving Global Outcomes (KDIGO) Controversies Conference. Kidney Int. 2015, 88, 17–27. [Google Scholar] [CrossRef]
  39. Maser, R.L.; Vassmer, D.; Magenheimer, B.S.; Calvet, J.P. Oxidant stress and reduced antioxidant enzyme protection in polycystic kidney disease. J. Am. Soc. Nephrol. 2002, 13, 991–999. [Google Scholar] [CrossRef]
  40. Angeletti, A.; Bruschi, M.; Kajana, X.; Spinelli, S.; Verrina, E.; Lugani, F.; Caridi, G.; Murtas, C.; Candiano, G.; Prunotto, M.; et al. Mechanisms Limiting Renal Tissue Protection and Repair in Glomerulonephritis. Int. J. Mol. Sci. 2023, 24, 8318. [Google Scholar] [CrossRef]
  41. Praga, M.; Sevillano, A.; Gonzalez, E. Changes in the aetiology, clinical presentation and management of acute interstitial nephritis, an increasingly common cause of acute kidney injury. Nephrol. Dial. Transplant. 2015, 30, 1472–1479. [Google Scholar] [CrossRef]
  42. Odegaard, A.O.; Jacobs, D.R.; Sanchez, O.A. Oxidative stress, inflammation, endothelial dysfunction and incidence of type 2 diabetes. Cardiovasc. Diabetol. 2016, 15, 51. [Google Scholar] [CrossRef]
  43. Montiel, V.; Lobysheva, I.; Gérard, L.; Vermeersch, M.; Perez-Morga, D.; Castelein, T.; Mesland, J.B.; Hantson, P.; Collienne, C.; Gruson, D.; et al. Oxidative stress-induced endothelial dysfunction and decreased vascular nitric oxide in COVID-19 patients. EbioMedicine 2022, 77, 103893. [Google Scholar] [CrossRef]
  44. Li, X.; Lin, Y.; Wang, S.; Zhou, S.; Ju, J.; Wang, X.; Chen, Y.; Xia, M. Extracellular superoxide dismutase is associated with left ventricular geometry and heart failure in patients with cardiovascular disease. J. Am. Heart Assoc. 2020, 9, 101345. [Google Scholar] [CrossRef] [PubMed]
  45. Zawada, A.M.; Carrero, J.J.; Wolf, M.; Feuersenger, A.; Stuard, S.; Gauly, A.; Winter, A.C.; Ramos, R.; Fouque, D.; Canaud, B. Serum Uric Acid and Mortality Risk Among Hemodialysis Patients. Kidney Int. Rep. 2020, 5, 1196–1206. [Google Scholar] [CrossRef] [PubMed]
  46. Rybka, J.; Kupczyk, D.; Kedziora-Kornatowska, K.; Motyl, J.; Czuczejko, J.; Szewczyk-Golec, K.; Kozakiewicz, M.; Pawluk, H.; Carvalho, L.A.; Kędziora, J. Glutathione-related antioxidant defense system in elderly patients treated for hypertension. Cardiovasc. Toxicol. 2011, 11, 1–9. [Google Scholar] [CrossRef] [PubMed]
  47. Damy, T.; Kirsch, M.; Khouzami, L.; Caramelle, P.; Le Corvoisier, P.; Roudot-Thoraval, F.; Dubois-Randé, J.L.; Hittinger, L.; Pavoine, C.; Pecker, F. Glutathione deficiency in cardiac patients is related to the functional status and structural cardiac abnormalities. PLoS ONE 2009, 4, e4871. [Google Scholar] [CrossRef]
Figure 1. CVD incidence based on the etiology. (a) CVD, (b) ischemic cardiopathy, (c) ACVA, (d) vasculopathy, and (e) CCI incidence in HS, ACKD, and transplanted patients with nephroangiosclerosis, diabetic nephropathy, polycystic kidney disease, interstitial nephropathy, and glomerulopathy. CVD, cardiovascular disease; ACVA, acute cerebrovascular accident; CCI, chronic cardiac insufficiency; HS, healthy subjects; ACKD, advanced chronic kidney disease; NAS, nephroangiosclerosis; DN, diabetic nephropathy; ADPKD, autosomal dominant polycystic kidney disease; IN, interstitial nephritis; GN, glomerulonephritis. * p < 0.05 vs. HS; ** p < 0.01 vs. HS; *** p < 0.001 vs. HS; ## p < 0.01 vs. ACKD; ### p < 0.001 vs. ACKD; $$$ p < 0.001 vs. NAS; &&& p < 0.001 vs. DN; + p < 0.05 vs. ADPKD; +++ p < 0.001 vs. ADPKD; a p < 0.05 vs. IN; aa p < 0.01 vs. IN. Chi-squared test.
Figure 1. CVD incidence based on the etiology. (a) CVD, (b) ischemic cardiopathy, (c) ACVA, (d) vasculopathy, and (e) CCI incidence in HS, ACKD, and transplanted patients with nephroangiosclerosis, diabetic nephropathy, polycystic kidney disease, interstitial nephropathy, and glomerulopathy. CVD, cardiovascular disease; ACVA, acute cerebrovascular accident; CCI, chronic cardiac insufficiency; HS, healthy subjects; ACKD, advanced chronic kidney disease; NAS, nephroangiosclerosis; DN, diabetic nephropathy; ADPKD, autosomal dominant polycystic kidney disease; IN, interstitial nephritis; GN, glomerulonephritis. * p < 0.05 vs. HS; ** p < 0.01 vs. HS; *** p < 0.001 vs. HS; ## p < 0.01 vs. ACKD; ### p < 0.001 vs. ACKD; $$$ p < 0.001 vs. NAS; &&& p < 0.001 vs. DN; + p < 0.05 vs. ADPKD; +++ p < 0.001 vs. ADPKD; a p < 0.05 vs. IN; aa p < 0.01 vs. IN. Chi-squared test.
Oxygen 05 00020 g001
Figure 2. Plasmatic prooxidant and antioxidant parameters. (a) Activity of XO, (b) levels of TBARS, (c) activity of SOD, (d) activity of GPx, and (e) levels of GSH in plasma and patients with ACKD, TX, and HS. XO, xanthine oxidase; TBARS, thiobarbituric acid reactive substance; SOD, superoxide dismutase; GPx, glutathione peroxidase; GSH, reduced glutathione; HS, healthy subjects; ACKD, advanced chronic kidney disease; TX, transplantation. * p < 0.05 vs. HS; ** p < 0.01 vs. HS; *** p < 0.001 vs. HS; ### p < 0.001 vs. ACKD. ANOVA and Kruskal–Wallis.
Figure 2. Plasmatic prooxidant and antioxidant parameters. (a) Activity of XO, (b) levels of TBARS, (c) activity of SOD, (d) activity of GPx, and (e) levels of GSH in plasma and patients with ACKD, TX, and HS. XO, xanthine oxidase; TBARS, thiobarbituric acid reactive substance; SOD, superoxide dismutase; GPx, glutathione peroxidase; GSH, reduced glutathione; HS, healthy subjects; ACKD, advanced chronic kidney disease; TX, transplantation. * p < 0.05 vs. HS; ** p < 0.01 vs. HS; *** p < 0.001 vs. HS; ### p < 0.001 vs. ACKD. ANOVA and Kruskal–Wallis.
Oxygen 05 00020 g002
Figure 3. Prooxidant and antioxidant parameters in mononuclear leukocytes. (a) Activity of XO, (b) levels of MDA, (c) activity of SOD, (d) activity of GPx, (e) levels of GSSG, (f) levels of GSH and (g) GSSG/GSH ratio in MN and patients with ACKD, TX, and HS. XO, xanthine oxidase; MDA, malondialdehyde; SOD, superoxide dismutase; GPx, glutathione peroxidase; GSSG, oxidized glutathione; GSH, reduced glutathione; HS, healthy subjects; ACKD, advanced chronic kidney disease; TX, transplantation. * p < 0.05 vs. HS; ** p < 0.01 vs. HS; *** p < 0.001 vs. HS; ## p < 0.01 vs. ACKD; ### p < 0.001 vs. ACKD. ANOVA and Kruskal–Wallis.
Figure 3. Prooxidant and antioxidant parameters in mononuclear leukocytes. (a) Activity of XO, (b) levels of MDA, (c) activity of SOD, (d) activity of GPx, (e) levels of GSSG, (f) levels of GSH and (g) GSSG/GSH ratio in MN and patients with ACKD, TX, and HS. XO, xanthine oxidase; MDA, malondialdehyde; SOD, superoxide dismutase; GPx, glutathione peroxidase; GSSG, oxidized glutathione; GSH, reduced glutathione; HS, healthy subjects; ACKD, advanced chronic kidney disease; TX, transplantation. * p < 0.05 vs. HS; ** p < 0.01 vs. HS; *** p < 0.001 vs. HS; ## p < 0.01 vs. ACKD; ### p < 0.001 vs. ACKD. ANOVA and Kruskal–Wallis.
Oxygen 05 00020 g003
Figure 4. Prooxidant and antioxidant parameters in polymorphonuclear leukocytes. (a) Activity of XO, (b) levels of MDA, (c) activity of SOD, (d) activity of GPx, (e) levels of GSSG, (f) levels of GSH and (g) GSSG/GSH ratio in PMN and patients with ACKD, TX, and HS. XO, xanthine oxidase; MDA, malondialdehyde; SOD, superoxide dismutase; GPx, glutathione peroxidase; GSSG, oxidized glutathione; GSH, reduced glutathione; HS, healthy subjects; ACKD, advanced chronic kidney disease; TX, transplantation. * p < 0.05 vs. HS; *** p < 0.001 vs. HS; ## p < 0.01 vs. ACKD; ### p < 0.001 vs. ACKD. ANOVA and Kruskal–Wallis.
Figure 4. Prooxidant and antioxidant parameters in polymorphonuclear leukocytes. (a) Activity of XO, (b) levels of MDA, (c) activity of SOD, (d) activity of GPx, (e) levels of GSSG, (f) levels of GSH and (g) GSSG/GSH ratio in PMN and patients with ACKD, TX, and HS. XO, xanthine oxidase; MDA, malondialdehyde; SOD, superoxide dismutase; GPx, glutathione peroxidase; GSSG, oxidized glutathione; GSH, reduced glutathione; HS, healthy subjects; ACKD, advanced chronic kidney disease; TX, transplantation. * p < 0.05 vs. HS; *** p < 0.001 vs. HS; ## p < 0.01 vs. ACKD; ### p < 0.001 vs. ACKD. ANOVA and Kruskal–Wallis.
Oxygen 05 00020 g004
Figure 5. OXYSCORE level changes in TX based on etiology and CVD. (a) OXYSCORE levels in HS, ACKD and TX, (b) OXYSCORE levels in HS, ACKD and TX according to a systemic or localized kidney disease, (c) OXYSCORE levels in HS, ACKD, and TX related to the presence cardiovascular disease. HS, healthy subjects; ACKD, advanced chronic kidney disease; TX, transplantation; NAS, nephroangiosclerosis; DN, diabetic nephropathy; ADPKD, autosomal dominant polycystic kidney disease; IN, interstitial nephritis; GN, glomerulonephritis; CVD, cardiovascular disease. * p < 0.05 vs. HS; ** p < 0.01 vs. HS; *** p < 0.001 vs. HS; + p > 0.05 vs. ADPKD. Kruskal–Wallis.
Figure 5. OXYSCORE level changes in TX based on etiology and CVD. (a) OXYSCORE levels in HS, ACKD and TX, (b) OXYSCORE levels in HS, ACKD and TX according to a systemic or localized kidney disease, (c) OXYSCORE levels in HS, ACKD, and TX related to the presence cardiovascular disease. HS, healthy subjects; ACKD, advanced chronic kidney disease; TX, transplantation; NAS, nephroangiosclerosis; DN, diabetic nephropathy; ADPKD, autosomal dominant polycystic kidney disease; IN, interstitial nephritis; GN, glomerulonephritis; CVD, cardiovascular disease. * p < 0.05 vs. HS; ** p < 0.01 vs. HS; *** p < 0.001 vs. HS; + p > 0.05 vs. ADPKD. Kruskal–Wallis.
Oxygen 05 00020 g005
Figure 6. OXYSCORE levels in TX based on anti-graft antibodies and time since transplantation. (a) OXYSCORE levels in patients with kidney transplantation and absence or presence of anti-graft antibodies, (b) OXYSCORE levels in patients with kidney transplantation for less or more than 5 years since transplantation. *** p < 0.001 vs. HS. Kruskal–Wallis.
Figure 6. OXYSCORE levels in TX based on anti-graft antibodies and time since transplantation. (a) OXYSCORE levels in patients with kidney transplantation and absence or presence of anti-graft antibodies, (b) OXYSCORE levels in patients with kidney transplantation for less or more than 5 years since transplantation. *** p < 0.001 vs. HS. Kruskal–Wallis.
Oxygen 05 00020 g006
Table 1. Demographic and clinical characteristics of the study population.
Table 1. Demographic and clinical characteristics of the study population.
CharacteristicsHS (n = 18)ACKD (n = 36)TX (n = 40)
Demographic data
Age (years ± sd)54.83 ± 16.2561.16 ± 16.4856.22 ± 13.55
Gender (women (%))12 (52.2)14 (38.9)13 (32.5)
Cardiovascular disease
CVD (n (%))0 (0)23 (63.9) **20 (50) **
Ischemic cardiopathy (n (%))0 (0)16 (44.4) **16 (40) **
Acute cardiovascular accident (n (%))0 (0)6 (16.7)9 (22.5)
Vasculopathy (n (%))0 (0)4 (11.1)18 (45) ** #
Chronic heart failure (n (%))0 (0)3 (8.3)2 (5)
Comorbidities
Arterial hypertension (n (%))1 (5.8)32 (88.9) ***39 (97.5) ***
Dyslipidemia (n (%))0 (0)27 (75) ***21 (52.5) ***
Diabetes mellitus (n (%))1 (5.5)16 (44.4) **16 (40) **
Hyperuricemia (n (%))0 (0)25 (69.4) ***8 (20) * #
Metabolic syndrome (n (%))0 (0)9 (25) *6 (15)
Kidney Transplant Clinical Profile
Antibodies against transplantation (n (%))--21 (52.5)
Time since transplantation (n (%))--17 less than 5 years (42.5)
23 more than 5 years (57.5)
Etiology of CKD (n (%))-7 NAS (19.4)
13 DN (36.1)
1 ADPKD (2.7)
6 IN (16.7)
6 GN (16.7)
3 Others (8.4)
6 NAS (15)
8 DN (20)
8 ADPKD (20)
7 IN (17.5)
4 GN (10)
7 Others (17.5)
HS, healthy subject; ACKD, advanced chronic kidney disease; TX, kidney transplantation; CVD, cardiovascular disease; NAS, nephroangioesclerosis; DN, diabetic nephropathy; ADPKD, autosomal dominant polycystic kidney disease; IN, interstitial nephritis; GN, glomerulonephritis; SD, standard deviation. * p < 0.05 vs. HS; ** p < 0.01 vs. HS; *** p < 0.001 vs. HS; # p < 0.05 vs. ACKD. Chi-squared test.
Disclaimer/Publisher’s Note: The statements, opinions and data contained in all publications are solely those of the individual author(s) and contributor(s) and not of MDPI and/or the editor(s). MDPI and/or the editor(s) disclaim responsibility for any injury to people or property resulting from any ideas, methods, instructions or products referred to in the content.

Share and Cite

MDPI and ACS Style

Gemma, V.-A.; Caro, P.J.; Rodríguez-San Pedro, M.d.M.; Yuste, C.; Ortiz-Diaz, M.G.; Ramírez, R.; Alique, M.; Guerra-Pérez, N.; Carracedo, J.; Morales, E. Oxidative Stress Score as an Indicator of Pathophysiological Mechanisms Underlying Cardiovascular Disease in Kidney Transplant Recipients. Oxygen 2025, 5, 20. https://doi.org/10.3390/oxygen5040020

AMA Style

Gemma V-A, Caro PJ, Rodríguez-San Pedro MdM, Yuste C, Ortiz-Diaz MG, Ramírez R, Alique M, Guerra-Pérez N, Carracedo J, Morales E. Oxidative Stress Score as an Indicator of Pathophysiological Mechanisms Underlying Cardiovascular Disease in Kidney Transplant Recipients. Oxygen. 2025; 5(4):20. https://doi.org/10.3390/oxygen5040020

Chicago/Turabian Style

Gemma, Valera-Arévalo, Paula Jara Caro, María del Mar Rodríguez-San Pedro, Claudia Yuste, María Gabriela Ortiz-Diaz, Rafael Ramírez, Matilde Alique, Natalia Guerra-Pérez, Julia Carracedo, and Enrique Morales. 2025. "Oxidative Stress Score as an Indicator of Pathophysiological Mechanisms Underlying Cardiovascular Disease in Kidney Transplant Recipients" Oxygen 5, no. 4: 20. https://doi.org/10.3390/oxygen5040020

APA Style

Gemma, V.-A., Caro, P. J., Rodríguez-San Pedro, M. d. M., Yuste, C., Ortiz-Diaz, M. G., Ramírez, R., Alique, M., Guerra-Pérez, N., Carracedo, J., & Morales, E. (2025). Oxidative Stress Score as an Indicator of Pathophysiological Mechanisms Underlying Cardiovascular Disease in Kidney Transplant Recipients. Oxygen, 5(4), 20. https://doi.org/10.3390/oxygen5040020

Article Metrics

Back to TopTop