Thermodynamics of Hydrogen Storage: Equilibrium Study of Liquid Organic Hydrogen Carrier System 1-Methylindole/octahydro-1-methylindole
Abstract
1. Introduction
2. Methods
2.1. Materials
2.2. Chemical Equilibrium Study
2.3. Identification of Reaction Species Present at Equilibrium
2.4. Experimental and Theoretical Thermochemical Methods
3. Results and Discussion
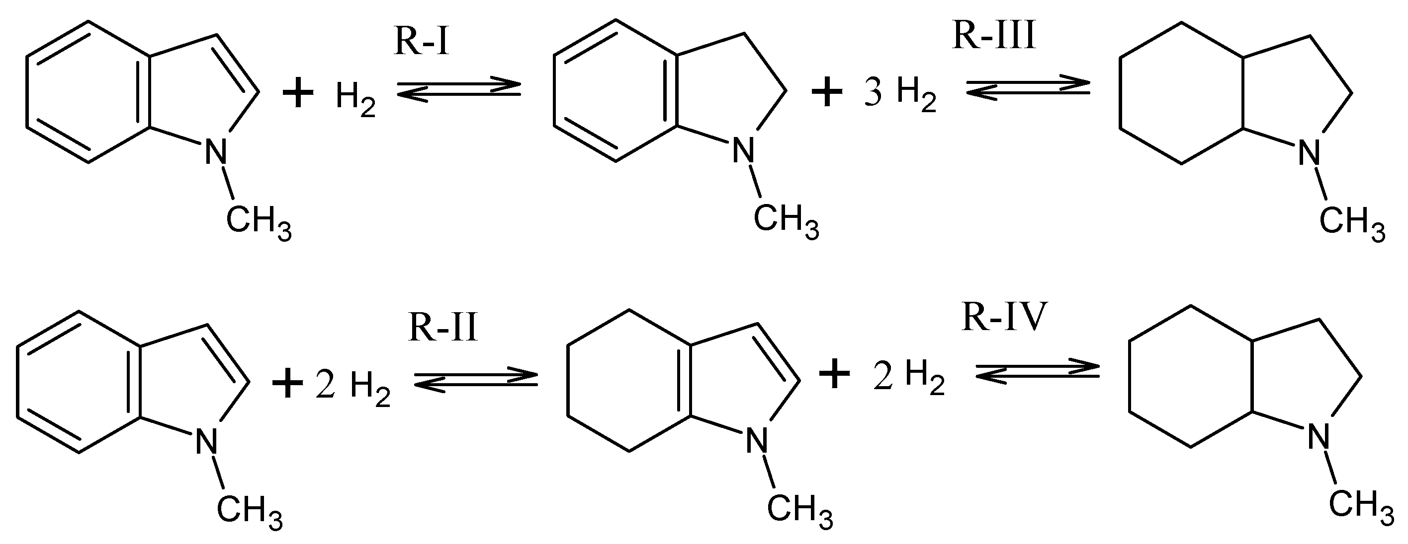
3.1. Equilibrium in the 1-methyl-indole/octahydro-1-methyl-indole LOHC System
3.2. Calculation of Equilibrium Constants
3.3. Experimental Reaction Thermodynamics in the methyl-indole/octahydro-1-methyl-indole System
3.4. Thermodynamic Analysis of Hydrogenation Reactions
3.5. The Stability of the Substrates under the Conditions of Hydrogenation–Dehydrogenation
3.6. Thermochemical Measurements on 1-methyl-indole and 1-methyl-indoline
3.6.1. Combustion Calorimetry
3.6.2. Vapor Pressure Measurements Using the Transpiration Method
3.6.3. Heat Capacity Measurements
3.6.4. Theoretical Gas-Phase Formation Enthalpies of Intermediates in the 1-methyl-indole/octahydro-1-methyl-indole LOHC System
3.6.5. Thermodynamic Analysis of the Dehydrogenation/Hydrogenation of the LOHC Systems
4. Conclusions
Supplementary Materials
Author Contributions
Funding
Institutional Review Board Statement
Informed Consent Statement
Data Availability Statement
Conflicts of Interest
References
- Vostrikov, S.V.; Konnova, M.E.; Turovtzev, V.V.; Müller, K.; Verevkin, S.P. Thermodynamics of hydrogen storage: Equilibrium study of LOHC system indole/octahydroindole. Fuel 2023, 331, 125764. [Google Scholar] [CrossRef]
- Ouma, C.N.M.; Obodo, K.O.; Modisha, P.M.; Rhyman, L.; Ramasami, P.; Bessarabov, D. Effect of chalcogen (S, Se and Te) surface additives on the dehydrogenation of a liquid organic hydrogen carrier system, octahydroindole–indole, on a Pt (111) surface. Appl. Surf. Sci. 2021, 566, 150636. [Google Scholar] [CrossRef]
- Cui, T.Y.; Kwok, S.; Bucholtz, A.; Davis, B.; Whitney, R.A.; Jessop, P.G. The effect of substitution on the utility of piperidines and octahydroindoles for reversible hydrogen storage. New J. Chem. 2008, 32, 1027–1037. [Google Scholar] [CrossRef]
- Buvik, V.; Vevelstad, S.J.; Brakstad, O.G.; Knuutila, H.K. Stability of Structurally Varied Aqueous Amines for CO2 Capture. Ind. Eng. Chem. Res. 2021, 60, 5627–5638. [Google Scholar] [CrossRef]
- Brayton, D.F.; Jensen, C.M. Solvent free selective dehydrogenation of indolic and carbazolic molecules with an iridium pincer catalyst. Chem. Commun. 2014, 50, 5987–5989. [Google Scholar] [CrossRef]
- Stepanenko, S.A.; Shivtsov, D.M.; Koskin, A.P.; Koskin, I.P.; Kukushkin, R.G.; Yeletsky, P.M.; Yakovlev, V.A. N-Heterocyclic Molecules as Potential Liquid Organic Hydrogen Carriers: Reaction Routes and Dehydrogenation Efficacy. Catalysts 2022, 12, 1260. [Google Scholar] [CrossRef]
- Kulkarni, A.; Zhou, W.; Torok, B. Heterogeneous catalytic hydrogenation of unprotected indoles in water: A green solution to a long-standing challenge. Org. Lett. 2011, 13, 5124–5127. [Google Scholar] [CrossRef] [PubMed]
- Available online: http://chemdata.nist.gov (accessed on 20 December 2022).
- Dong, Y.; Yang, M.; Yang, Z.; Ke, H.; Cheng, H. Catalytic hydrogenation and dehydrogenation of N-ethylindole as a new heteroaromatic liquid organic hydrogen carrier. Int. J. Hydrog. Energy 2015, 40, 10918–10922. [Google Scholar] [CrossRef]
- Verevkin, S.P.; Schick, C. Substituent effects on the benzene ring. Determination of the intramolecular interactions of substituents in tert-alkyl-substituted catechols from thermochemical measurements. J. Chem. Eng. Data 2000, 45, 946–952. [Google Scholar] [CrossRef]
- Emel’yanenko, V.N.; Verevkin, S.P.; Heintz, A. The gaseous enthalpy of formation of the ionic liquid 1-butyl-3-methylimidazolium dicyanamide from combustion calorimetry, vapor pressure measurements, and ab initio calculations. J. Am. Chem. Soc. 2007, 129, 3930–3937. [Google Scholar] [CrossRef]
- Kulikov, D.; Verevkin, S.P.; Heintz, A. Determination of Vapor Pressures and Vaporization Enthalpies of the Aliphatic Branched C 5 and C 6 Alcohols. J. Chem. Eng. Data 2001, 46, 1593–1600. [Google Scholar] [CrossRef]
- Verevkin, S.P.; Emel´yanenko, V.N. Transpiration method: Vapor pressures and enthalpies of vaporization of some low-boiling esters. Fluid Phase Equilib. 2008, 266, 64–75. [Google Scholar] [CrossRef]
- Emel´yanenko, V.N.; Zaitsau, D.H.; Shoifet, E.; Meurer, F.; Verevkin, S.P.; Schick, C.; Held, C. Benchmark thermochemistry for biologically relevant adenine and cytosine. A combined experimental and theoretical study. J. Phys. Chem. A 2015, 119, 9680–9691. [Google Scholar] [CrossRef] [PubMed]
- Frisch, M.J.; Trucks, G.W.; Schlegel, H.B.; Scuseria, G.E.; Robb, M.A.; Cheeseman, J.R.; Scalmani, G.; Barone, V.; Petersson, G.A.; Nakatsuji, H.; et al. Gaussian 16; Revision C.01 Gaussian, Inc.: Wallingford, CT, USA, 2016. [Google Scholar]
- Curtiss, L.A.; Redfern, P.C.; Raghavachari, K. Gaussian-4 theory. J. Chem. Phys. 2007, 126, 84108. [Google Scholar] [CrossRef]
- Curtiss, L.A.; Redfern, P.C.; Raghavachari, K. Gaussian-4 theory using reduced order perturbation theory. J. Chem. Phys. 2007, 126, 124105. [Google Scholar] [CrossRef] [PubMed]
- Curtiss, L.A.; Redfern, P.C. Gaussian-3 theory using reduced Möller-Plesset order. J. Chem. Phys. 1999, 110, 4703–4709. [Google Scholar] [CrossRef]
- Ochterski, J.W.; Petersson, G.A.; Montgomery, J.A., Jr. A complete basis set model chemistry. V. Extensions to six or more heavy atoms. J. Chem. Phys. 1996, 104, 2598–2619. [Google Scholar] [CrossRef]
- Verevkin, S.P.; Emel´yanenko, V.N.; Notario, R.; Roux, M.V.; Chickos, J.S.; Liebman, J.F. Rediscovering the Wheel. Thermochemical Analysis of Energetics of the Aromatic Diazines. J. Phys. Chem. Lett. 2012, 3, 3454–3459. [Google Scholar] [CrossRef]
- Frye, C.G. Equilibria in the hydrogenation of polycyclic aromatics. J. Chem. Eng. Data 1962, 7, 592–595. [Google Scholar] [CrossRef]
- Fredenslund, A.; Jones, R.L.; Prausnitz, J.M. Group-contribution estimation of activity coefficients in nonideal liquid mixtures. AIChE J. 1975, 21, 1086–1099. [Google Scholar] [CrossRef]
- Ribeiro da Silva, M.A.V.; Cabral, J.I.T.A.; Gomes, J.R.B. Combined experimental and computational study of the energetics of methylindoles. J. Chem. Thermodyn. 2009, 41, 1193–1198. [Google Scholar] [CrossRef]
- Cox, J.D.; Wagman, D.D.; Medvedev, V.A. Codata Key Values for Thermodynamics; Hemisphere Pub. Corp.: New York, NY, USA, 1989. [Google Scholar]
- Hubbard, W.N.; Scott, D.W.; Waddington, G.; Rossini, F.D. Standard states and corrections for combustions in a bomb at constant volume. In Experimental Thermochemistry; Interscience Publishers: New York, NY, USA, 1956; Volume 1, pp. 75–128. [Google Scholar]
- Olofsson, G. Chapter 6—Assignment of uncertainties. In Combustion Calorimetry; Pergamon Press: Oxford, UK, 1979; pp. 137–161. [Google Scholar]
- Verevkin, S.P.; Sazonova, A.Y.; Emel´yanenko, V.N.; Zaitsau, D.H.; Varfolomeev, M.A.; Solomonov, B.N.; Zherikova, K.V. Thermochemistry of Halogen-Substituted Methylbenzenes. Chem. Eng. Data 2015, 60, 89–103. [Google Scholar] [CrossRef]
- Emel´yanenko, V.N.; Verevkin, S.P. Benchmark thermodynamic properties of 1,3-propanediol: Comprehensive experimental and theoretical study. J. Chem. Thermodyn. 2015, 85, 111–119. [Google Scholar] [CrossRef]
- Lipkind, D.; Plienrasri, C.; Chickos, J.S. A study of the vaporization enthalpies of some 1-substituted imidazoles and pyrazoles by correlation-gas chromatography. J. Phys. Chem. B 2010, 114, 16959–16967. [Google Scholar] [CrossRef]
- Almeida Ana, R.R.P.; Monte Manuel, J.S. Vapour pressures of 1-methyl derivatives of benzimidazole, pyrazole and indole. The energy of the intermolecular hydrogen bond NAH-N. J. Chem. Thermodyn. 2014, 77, 46–53. [Google Scholar] [CrossRef]
- Solomonov, B.N.; Nagrimanov, R.N.; Mukhametzyanov, T.A. Additive scheme for calculation of solvation enthalpies of heterocyclic aromatic compounds. Sublimation/vaporization enthalpy at 298.15 K. Thermochim. Acta 2016, 633, 37–47. [Google Scholar] [CrossRef]
- Chickos, J.S.; Hosseini, S.; Hesse, D.G.; Liebman, J.F. Heat capacity corrections to a standard state: A comparison of new and some literature methods for organic liquids and solids. Struct. Chem. 1993, 4, 271–278. [Google Scholar] [CrossRef]
- Chickos, J.S.; Acree, W.E. Enthalpies of vaporization of organic and organometallic compounds, 1880–2002. J. Phys. Chem. Ref. Data 2003, 32, 519–878. [Google Scholar] [CrossRef]
- te Velde, G.; Bickelhaupt, F.M.; Baerends, E.J.; Fonseca Guerra, C.; van Gisbergen, S.J.A.; Snijders, J.G.; Ziegler, T. Chemistry with ADF. J. Comput. Chem. 2001, 22, 931–967. [Google Scholar] [CrossRef]
- Wheeler, S.E.; Houk, K.N.; Schleyer, P.v.R.; Allen, W.D. A Hierarchy of Homodesmotic Reactions for Thermochemistry. J. Am. Chem. Soc. 2009, 131, 2547–2560. [Google Scholar] [CrossRef]
- Konnova, M.E.; Li, S.; Bösmann, A.; Müller, K.; Wasserscheid, P.; Andreeva, I.V.; Turovtzev, V.V.; Zaitsau, D.H.; Pimerzin, A.A.; Verevkin, S.P. Thermochemical Properties and Dehydrogenation Thermodynamics of Indole Derivates. Ind. Eng. Chem. Res. 2020, 59, 20539–20550. [Google Scholar] [CrossRef]
- SciFinder—Chemical Abstracts Service. Available online: http://scifinder.cas.org/ (accessed on 15 December 2022).
- Verevkin, S.P. Thermochemistry of phenols: Quantification of the ortho-, para-, and meta-interactions in tert-alkyl substituted phenols. J. Chem. Thermodyn. 1999, 31, 559–585. [Google Scholar] [CrossRef]
- Pedley, J.P.; Naylor, R.D.; Kirby, S.P. Thermochemical Data of Organic Compounds, 2nd ed.; Chapman and Hall: London, UK, 1986. [Google Scholar]
- Verevkin, S.P.; Emel’yanenko, V.N.; Pimerzin, A.A.; Vishnevskaya, E.E. Thermodynamic Analysis of Strain in Heteroatom Derivatives of Indene. J. Phys. Chem. A 2011, 115, 12271–12279. [Google Scholar] [CrossRef] [PubMed]
- Verevkin, S.P.; Emel’yanenko, V.N.; Pimerzin, A.A.; Vishnevskaya, E.E. Thermodynamic Analysis of Strain in the Five-Membered Oxygen and Nitrogen Heterocyclic Compounds. J. Phys. Chem. A 2011, 115, 1992–2004. [Google Scholar] [CrossRef] [PubMed]
- Emel’yanenko, V.N.; Verevkin, S.P. Enthalpies of Formation and Substituent Effects of ortho-, meta, and para-Amino-Toluenes from Thermochemical Measurements and from Ab Initio Calculations. J. Phys. Chem. A 2005, 109, 3960–3966. [Google Scholar] [CrossRef] [PubMed]
- Verevkin, S.P.; Emel´yanenko, V.N. Thermodynamic properties of cyclohexanamines: Experimental and theoretical study. Thermochim. Acta 2015, 608, 40–48. [Google Scholar] [CrossRef]
- Dorofeeva, O.V.; Filimonova, M.A. Cyclic aliphatic amines: A critical analysis of the experimental enthalpies of formation by comparison with theoretical calculations. J. Chem. Thermodyn. 2020, 145, 106092. [Google Scholar] [CrossRef]
- Majer, V.; Svoboda, V. Enthalpies of Vaporization of Organic Compounds: A Critical Review and Data Compilation; Blackwell Scientific Publications: Oxford, UK, 1985; p. 300. [Google Scholar]
- Lepori, L.; Matteoli, E.; Gianni, P. Vapor Pressure and Its Temperature Dependence of 28 Organic Compounds: Cyclic Amines, Cyclic Ethers, and Cyclic and Open Chain Secondary Alcohols. J. Chem. Eng. Data 2017, 62, 194–203. [Google Scholar] [CrossRef]








| Reaction a | Pav/atm b | T/K c | d | ±2σ e | Feed f | |
|---|---|---|---|---|---|---|
| R-I | 9.3 | 413.15 | 0.89 | 0.25 | −0.1165 | c |
| 17.9 | 433.15 | 0.50 | 0.07 | −0.6931 | a | |
| 39.4 | 443.15 | 0.39 | 0.39 | −0.9416 | d | |
| 17.2 | 453.15 | 0.30 | 0.24 | −1.2040 | a, b | |
| 40.6 | 463.15 | 0.24 | 0.61 | −1.4271 | d | |
| 18.5 | 473.15 | 0.19 | 0.04 | −1.6607 | b | |
| R-II | 9.5 | 413.15 | 3.24 | 0.22 | 1.1756 | c |
| 19.2 | 423.15 | 1.50 | 0.02 | 0.4055 | f | |
| 17.7 | 433.15 | 0.47 | 0.04 | −0.7550 | a | |
| 39.3 | 443.15 | 0.33 | 0.01 | −1.1087 | d | |
| 15.7 | 453.15 | 0.23 | 0.02 | −1.4697 | b | |
| 18.4 | 473.15 | 0.08 | 0.01 | −2.5257 | b | |
| 21.2 | 483.15 | 0.03 | 0.002 | −3.5066 | e | |
| R-III | 9.0 | 413.15 | 335.5 | 121.6 | 5.8156 | c |
| 19.5 | 423.15 | 96.35 | 35.2 | 4.5680 | f | |
| 17.8 | 433.15 | 29.31 | 1.38 | 3.3779 | a | |
| 19.5 | 453.15 | 3.18 | 0.72 | 1.1569 | a | |
| 21.5 | 483.15 | 0.16 | 0.05 | −1.8326 | e | |
| R-IV | 8.6 | 413.15 | 18.00 | 1.71 | 2.8904 | c |
| 19.1 | 423.15 | 5.79 | 1.05 | 1.7561 | f | |
| 17.7 | 433.15 | 4.30 | 1.15 | 1.4586 | a | |
| 39.0 | 443.15 | 1.24 | 0.06 | 0.2151 | d | |
| 15.8 | 453.15 | 0.70 | 0.49 | −0.3567 | b | |
| 40.6 | 463.15 | 0.37 | 0.01 | −0.9943 | d |
| Reaction | Method b | T/K | /kJ·mol−1 | /J·mol−1·K−1 |
|---|---|---|---|---|
| R-I | E | 443.5 | −41.7 ± 1.2 | −101.9 ± 2.4 |
| TC | 298.15 | −45.0 ± 2.8 | ||
| QC | 298.15 | −43.8 ± 3.5 | ||
| R-II | E | 442.0 | −103.4 ± 6.7 | −242 ± 15 |
| QC | 298.15 | −108.0 ± 3.5 | ||
| R-III | E | 445.4 | −181.3 ± 1.0 | −390.5 ± 2.1 |
| QC | 298.15 | −183.3 ± 3.5 | ||
| R-IV | E | 450.7 | −123 ± 15 | −274 ± 35 |
| QC | 298.15 | −119.1 ± 3.5 |
| Compound | (liq) a | (liq) | b | (g)exp | (g)theorc |
|---|---|---|---|---|---|
| 1 | 2 | 3 | 4 | 5 | 6 |
| 1-methyl-indole | −4921.4 ± 2.0 [23] | 93.6 ± 2.3 | |||
| −4915.8 ± 1.4 [this work] | 87.9 ± 1.8 | ||||
| 90.1 ± 1.4 d | 62.0 ± 0.3 | 152.1 ± 1.4 | 150.7 ± 2.0 | ||
| 1-methyl-indoline | −5157.7 ± 1.3 [this work] | 43.4 ± 1.8 | 57.4 ± 0.5 | 100.8 ± 1.9 | 100.5 ± 2.0 |
| Compound/CAS | Method a | T-Range (K) | Ref. | ||
|---|---|---|---|---|---|
| 1-methyl-indole (liq) | DC | 334.3 | 67.1 ± 0.3 | 62.2 ± 1.6 | [23] |
| CGC | 61.1 ± 3.1 | [29] | |||
| S | 268.6–341.9 | 61.6 ± 0.1 | 61.9 ± 0.3 | [30] | |
| SC | 61.1 ± 2.0 | [31] | |||
| T | 294.2–354.2 | 60.7 ± 0.4 | 62.3 ± 0.5 | Table S4 | |
| 62.0 ± 0.3c | average | ||||
| 1-methyl-indoline (liq) | T | 278.4–333.2 | 57.1 ± 0.4 | 57.4 ± 0.5 | Table 1 |
| Indole | Structure | (g)G4/ a kJ·mol−1 |
|---|---|---|
![]() 1-methylindole CAS 603-76-9 | ![]() | 149.9 |
![]() 1-methylindoline CAS 88475-55-2S | ![]() | 106.1 |
![]() 1-methyl-4,5,6,7-tetrahydro-1H-indole | ![]() | 41.9 |
![]() trans-1-methyl-octahydroindole | ![]() | −77.2 |
![]() cis-1-methyl-octahydroindole | ![]() | −74.8 |
| Compound | G4 AT a | G4 WBR b | G4MP2 AT a | G4MP2 WBR b | G3MP2 AT a | G3MP2 WBR b | CBS-APNO WBR b | |
|---|---|---|---|---|---|---|---|---|
| N-methyl indole | 149.9 ± 3.5 | 151.1 ± 2.0 | 146.7 ± 3.5 | 152.7 ± 2.0 | 148.9 ± 4.1 | 152.0 ± 2.4 | 149.1 ± 2.4 | 150.7 ± 2.0 |
| N-methyl indoline | 106.1 ± 3.5 | 98.6 ± 2.0 | 104.3 ± 3.5 | 100.1 ± 2.0 | 104.3 ± 4.1 | 99.2 ± 2.4 | 99.2 ± 2.4 | 100.5 ± 2.0 |
| H4-N-methylindole | 41.9 ± 3.5 | 36.6 ± 2.5 | 41.4 ± 3.5 | 37.7 ± 2.5 | 43.9 ± 4.1 | 39.4 ± 2.9 | 41.0 ± 2.9 | 39.5 ± 2.2 |
| cis-H8-N-methylindole | −74.8 ± 3.5 | −83.5 ± 1.8 | −73.6 ± 3.5 | −82.3 ± 1.8 | −72.2 ± 4.1 | −82.6 ± 2.1 | −84.2 ± 2.1 | −81.5 ± 1.8 |
| trans-H8-N-methylindole | −77.2 ± 3.5 | −85.9 ± 1.8 | −75.9 ± 3.5 | −84.6 ± 1.8 | −73.7 ± 4.1 | −84.1 ± 2.1 | −82.1 ± 2.1 | −82.9 ± 1.8 |
| Compound | |||
|---|---|---|---|
| H8-indole [36] | −64.0 ± 1.9 | 53.5 ± 0.7 | −117.5 ± 2.0 |
| H8-MI | −82.9 ± 1.8 b | 49.2 ± 0.8 c | −132.1 ± 2.0 |
| Compound | |||
|---|---|---|---|
| indole [36] | 162.5 ± 1.0 | 65.3 ± 0.6 | 97.2 ± 1.2 |
| H0-MI [Table 4] | 152.1 ± 1.4 | 62.0 ± 0.3 | 90.1 ± 1.4 |
| Compound | d | |||
|---|---|---|---|---|
| H8-indole [36] | −117.5 ± 2.0 | 97.2 ± 1.2 | −214.7 ± 2.3 | −53.7 ± 0.8 |
| H8-MI | −132.1 ± 2.0 | 90.1 ± 1.4 | −222.2 ± 2.4 | −55.6 ± 0.8 |
Disclaimer/Publisher’s Note: The statements, opinions and data contained in all publications are solely those of the individual author(s) and contributor(s) and not of MDPI and/or the editor(s). MDPI and/or the editor(s) disclaim responsibility for any injury to people or property resulting from any ideas, methods, instructions or products referred to in the content. |
© 2023 by the authors. Licensee MDPI, Basel, Switzerland. This article is an open access article distributed under the terms and conditions of the Creative Commons Attribution (CC BY) license (https://creativecommons.org/licenses/by/4.0/).
Share and Cite
Vostrikov, S.V.; Konnova, M.E.; Turovtsev, V.V.; Müller, K.; Bara, J.E.; Verevkin, S.P. Thermodynamics of Hydrogen Storage: Equilibrium Study of Liquid Organic Hydrogen Carrier System 1-Methylindole/octahydro-1-methylindole. AppliedChem 2023, 3, 45-63. https://doi.org/10.3390/appliedchem3010004
Vostrikov SV, Konnova ME, Turovtsev VV, Müller K, Bara JE, Verevkin SP. Thermodynamics of Hydrogen Storage: Equilibrium Study of Liquid Organic Hydrogen Carrier System 1-Methylindole/octahydro-1-methylindole. AppliedChem. 2023; 3(1):45-63. https://doi.org/10.3390/appliedchem3010004
Chicago/Turabian StyleVostrikov, Sergey V., Maria E. Konnova, Vladimir V. Turovtsev, Karsten Müller, Jason E. Bara, and Sergey P. Verevkin. 2023. "Thermodynamics of Hydrogen Storage: Equilibrium Study of Liquid Organic Hydrogen Carrier System 1-Methylindole/octahydro-1-methylindole" AppliedChem 3, no. 1: 45-63. https://doi.org/10.3390/appliedchem3010004
APA StyleVostrikov, S. V., Konnova, M. E., Turovtsev, V. V., Müller, K., Bara, J. E., & Verevkin, S. P. (2023). Thermodynamics of Hydrogen Storage: Equilibrium Study of Liquid Organic Hydrogen Carrier System 1-Methylindole/octahydro-1-methylindole. AppliedChem, 3(1), 45-63. https://doi.org/10.3390/appliedchem3010004











