Seawater Temperature at Harvest Shapes Fillet Proteolytic Activity at Chilled Storage in Three Mediterranean-Farmed Fish
Abstract
1. Introduction
2. Materials and Methods
2.1. Ethics Statement
2.2. Fish Sampling
2.3. Preparation of Enzyme Extracts
2.4. Enzyme Activity Assays
2.5. Statistical Analysis
3. Results
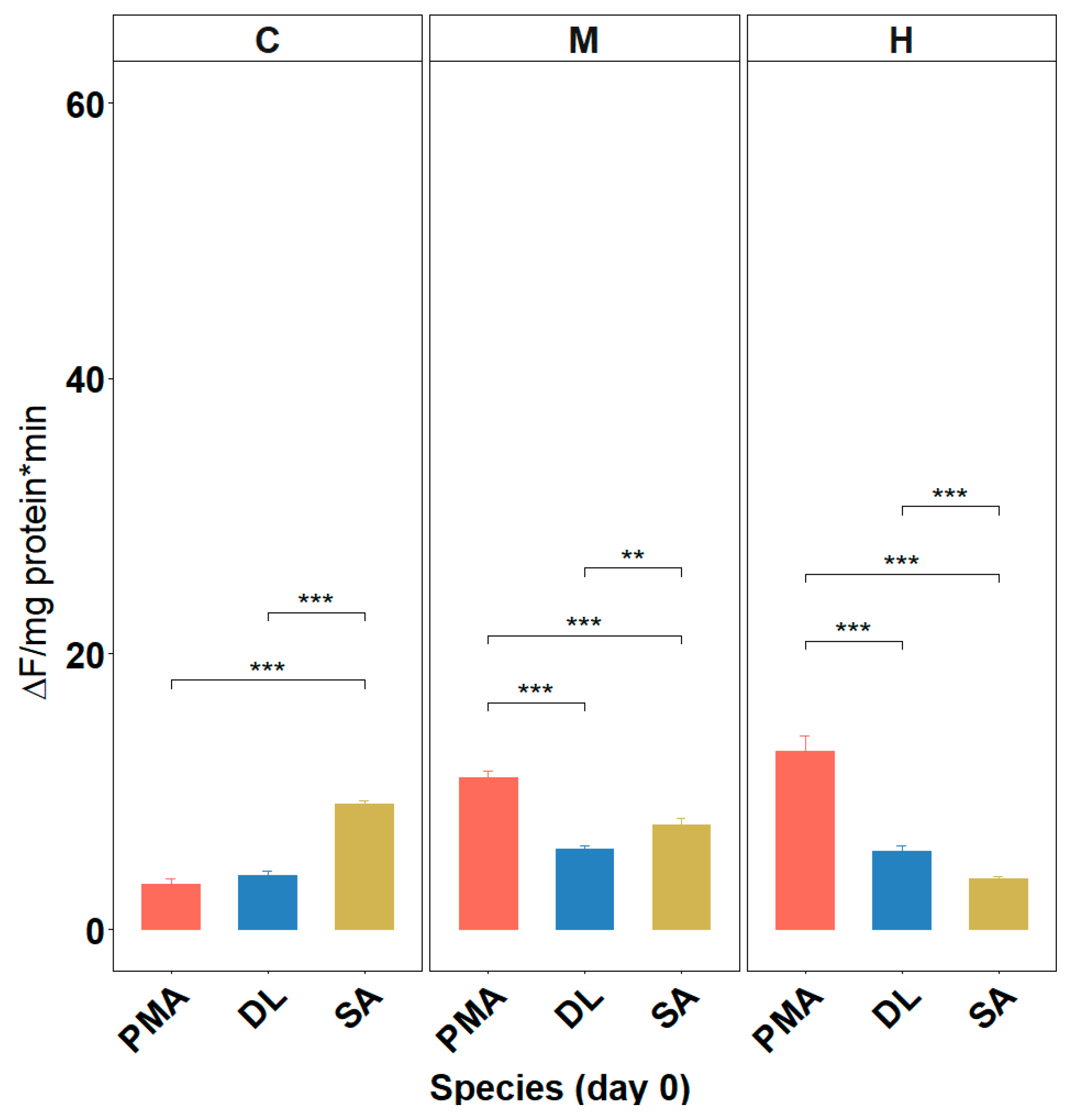
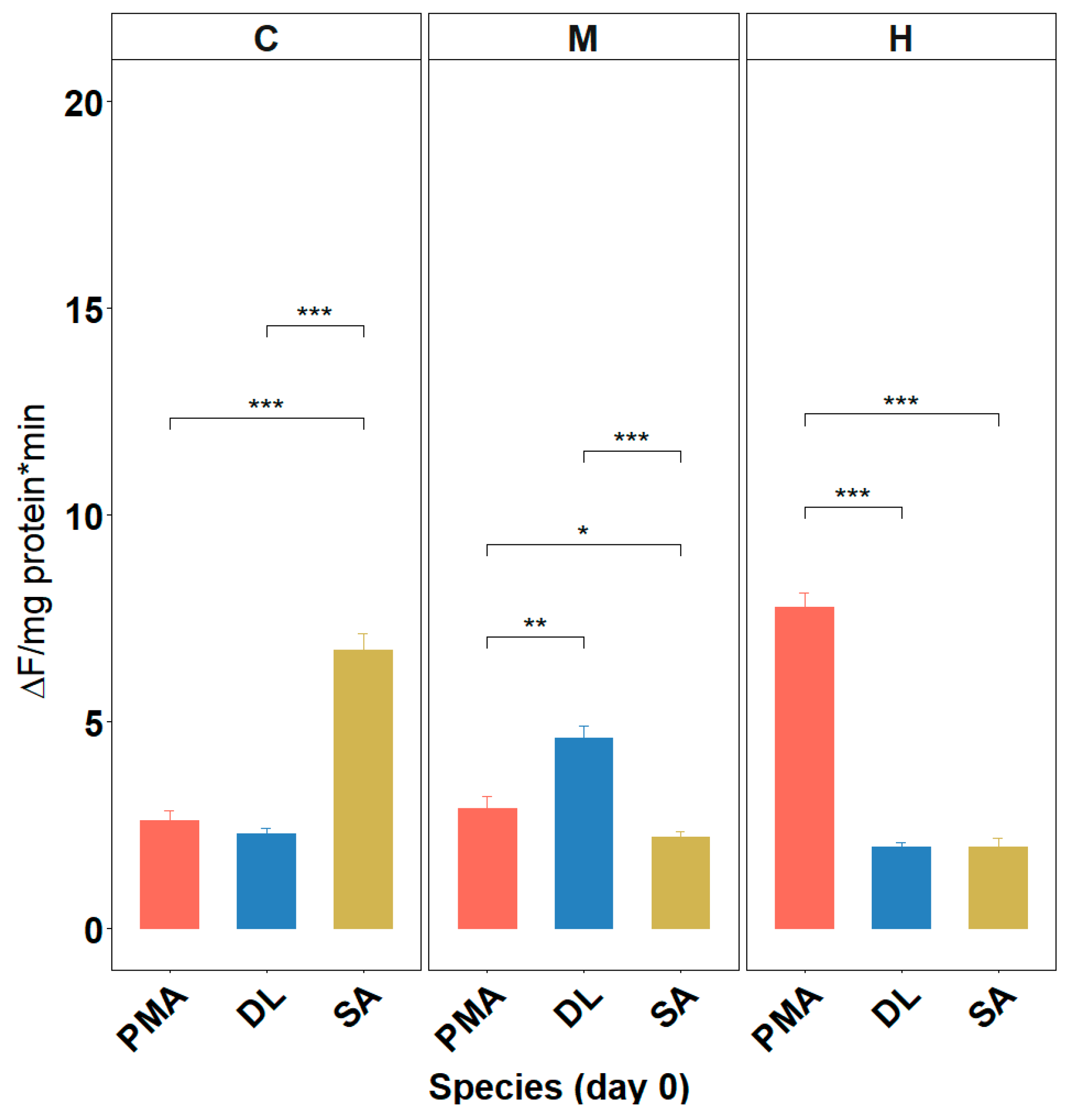
3.1. Initial Post-Harvest Enzymatic Activity: Proteolytic Activity at Harvest (Day 0)
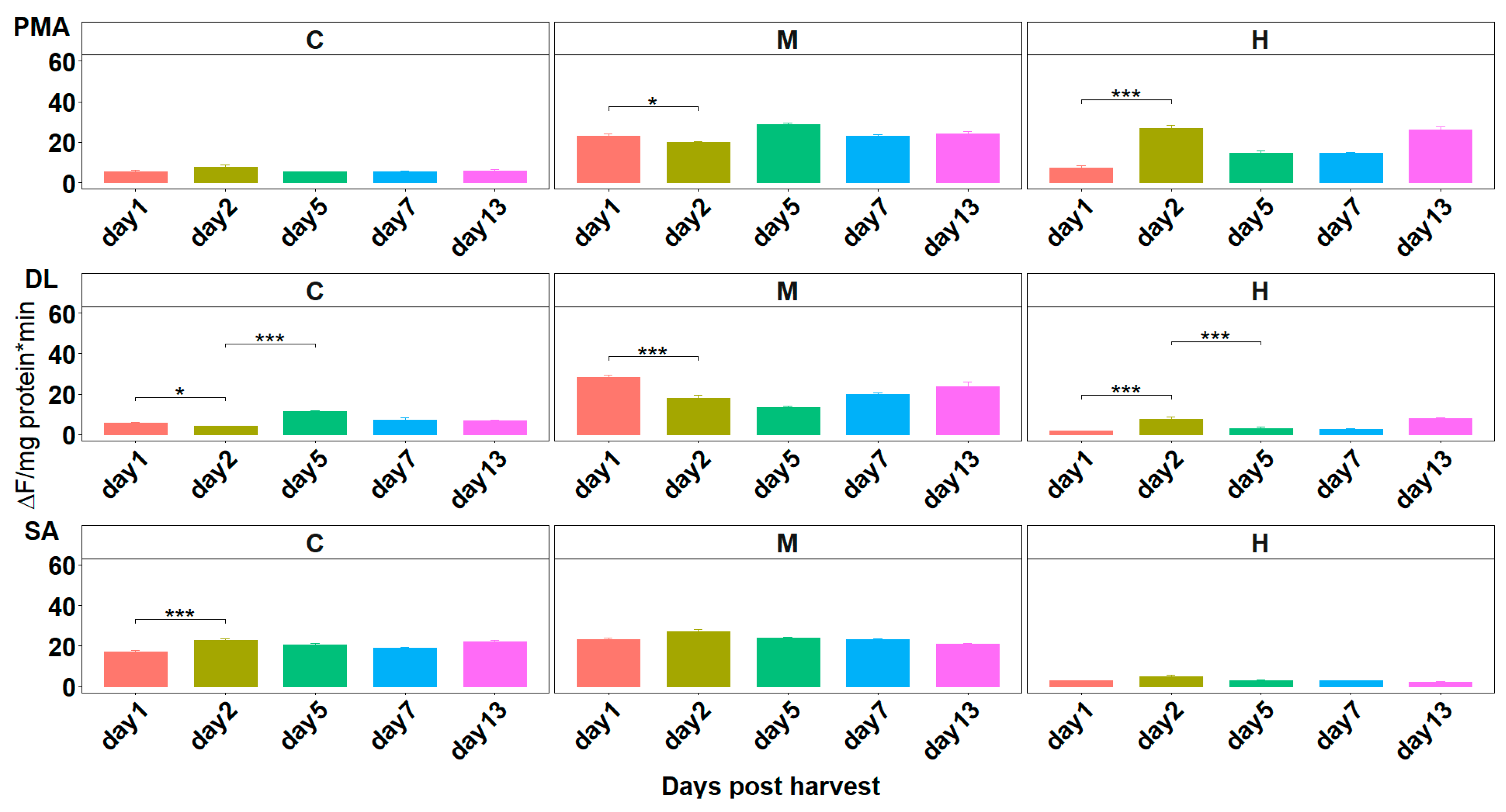
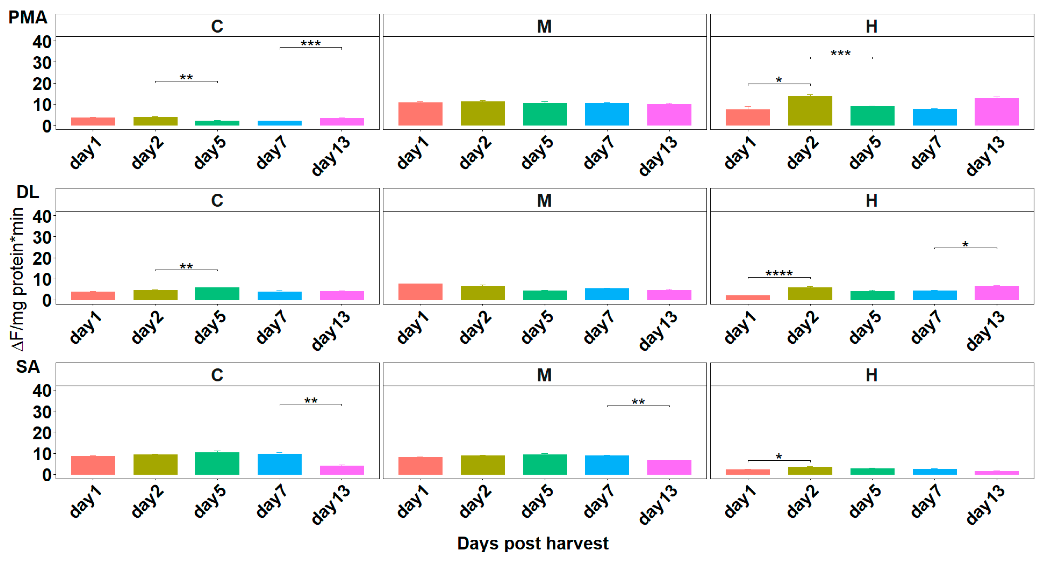
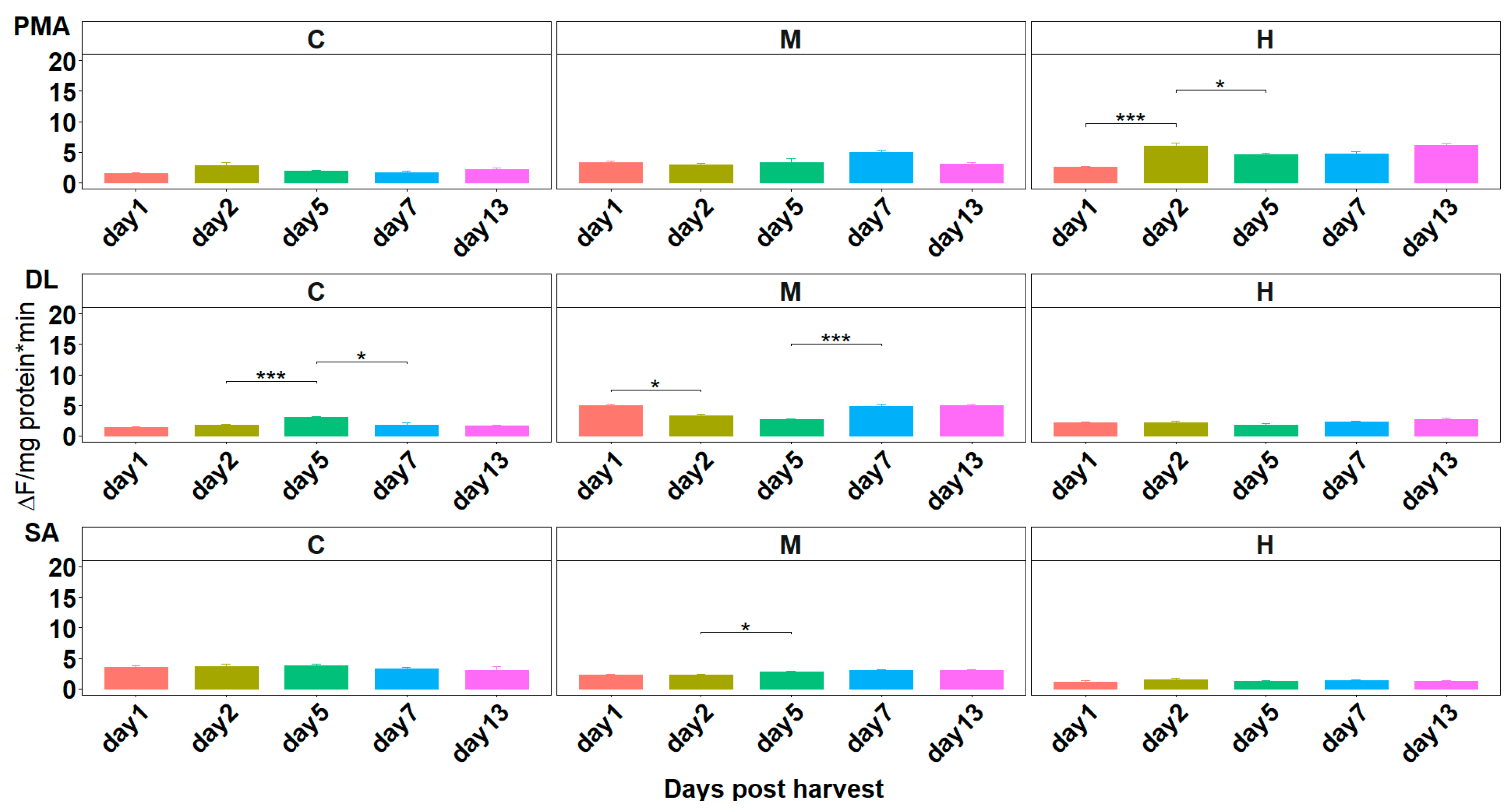
3.2. Enzymatic Activity During Chilled Storage
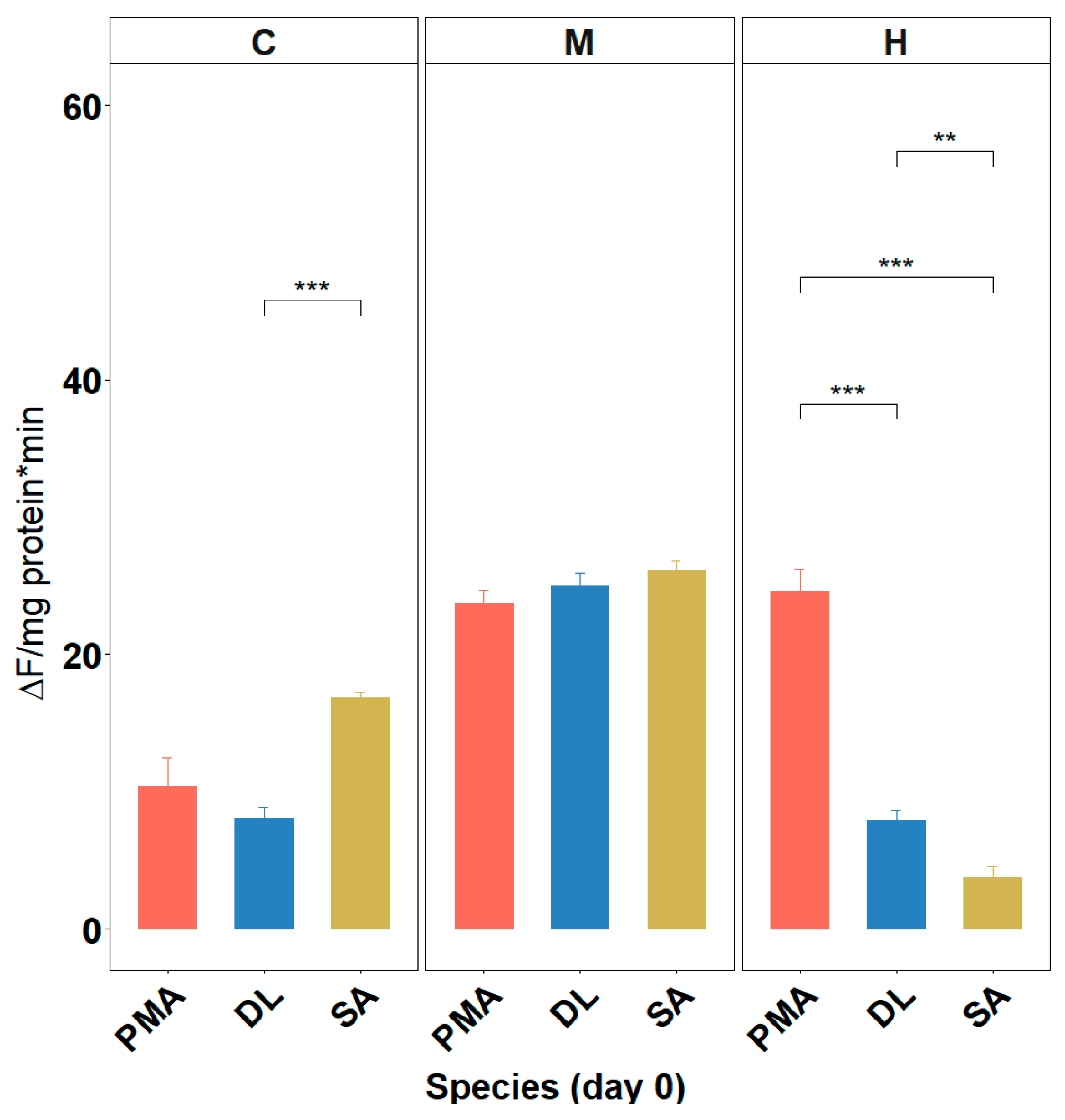
3.3. Influence of Seawater Temperature at Harvest
4. Discussion
5. Conclusions
Supplementary Materials
Author Contributions
Funding

Institutional Review Board Statement
Data Availability Statement
Conflicts of Interest
References
- Sriket, C. Proteases in Fish and Shellfish: Role on Muscle Softening and Prevention. Int. Food Res. J. 2014, 21, 433–445. [Google Scholar]
- Delbarre-Ladrat, C.; Verrez-Bagnis, V.; Noël, J.; Fleurence, J. Relative Contribution of Calpain and Cathepsins to Protein Degradation in Muscle of Sea Bass (Dicentrarchus labrax L.). Food Chem. 2004, 88, 389–395. [Google Scholar] [CrossRef]
- Ladrat, C.; Verrez-Bagnis, V.; Noël, J.; Fleurence, J. In Vitro Proteolysis of Myofibrillar and Sarcoplasmic Proteins of White Muscle of Sea Bass (Dicentrarchus labrax L.): Effects of Cathepsins B, D and L. Food Chem. 2003, 81, 517–525. [Google Scholar] [CrossRef]
- Ntzimani, A.; Angelakopoulos, R.; Semenoglou, I.; Dermesonlouoglou, E.; Tsironi, T.; Moutou, K.; Taoukis, P. Slurry Ice as an Alternative Cooling Medium for Fish Harvesting and Transportation: Study of the Effect on Seabass Flesh Quality and Shelf Life. Aquac. Fish. 2023, 8, 385–392. [Google Scholar] [CrossRef]
- Chéret, R.; Hernández-Andrés, A.; Delbarre-Ladrat, C.; de Lamballerie, M.; Verrez-Bagnis, V. Proteins and Proteolytic Activity Changes during Refrigerated Storage in Sea Bass (Dicentrarchus labrax L.) Muscle after High-Pressure Treatment. Eur. Food Res. Technol. 2006, 222, 527–535. [Google Scholar] [CrossRef]
- Ertbjerg, P.; Puolanne, E. Muscle Structure, Sarcomere Length and Influences on Meat Quality: A Review. Meat Sci. 2017, 132, 139–152. [Google Scholar] [CrossRef] [PubMed]
- Goll, D.E.; Thompson, V.F.; Li, H.; Wei, W.; Cong, J. The Calpain System. Physiol. Rev. 2003, 83, 731–801. [Google Scholar] [CrossRef]
- Roth, B.; Moeller, D.; Veland, J.O.; Imsland, A.; Slinde, E. The Effect of Stunning Methods on Rigor Mortis and Texture Properties of Atlantic Salmon (Salmo salar). J. Food Sci. 2002, 67, 1462–1466. [Google Scholar] [CrossRef]
- Papaharisis, L.; Tsironi, T.; Dimitroglou, A.; Taoukis, P.; Pavlidis, M. Stress Assessment, Quality Indicators and Shelf Life of Three Aquaculture Important Marine Fish, in Relation to Harvest Practices, Water Temperature and Slaughter Method. Aquac. Res. 2019, 50, 2608–2620. [Google Scholar] [CrossRef]
- Erikson, U.; Truong, H.T.M.; Le, D.V.; Pham, P.D.; Svennevig, N.; Phan, V.T. Harvesting Procedures, Welfare and Shelf Life of Ungutted and Gutted Shortfin Pompano (Trachinotus falcatus) Stored in Ice. Aquaculture 2019, 498, 236–245. [Google Scholar] [CrossRef]
- Angelakopoulos, R.; Dimitroglou, A.; Papaharisis, L.; Moutou, K.A. Electrical Stunning Has the Potential to Delay Fillet Degradation Post-Harvest in Red Seabream (Pagrus major). Aquac. J. 2022, 2, 302–315. [Google Scholar] [CrossRef]
- Hultmann, L.; Phu, T.M.; Tobiassen, T.; Aas-Hansen, O.; Rustad, T. Effects of Pre-Slaughter Stress on Proteolytic Enzyme Activities and Muscle Quality of Farmed Atlantic Cod (Gadus morhua). Food Chem. 2012, 134, 1399–1408. [Google Scholar] [CrossRef] [PubMed]
- Ntzimani, A.; Angelakopoulos, R.; Stavropoulou, N.; Semenoglou, I.; Dermesonlouoglou, E.; Tsironi, T.; Moutou, K.; Taoukis, P. Seasonal Pattern of the Effect of Slurry Ice during Catching and Transportation on Quality and Shelf Life of Gilthead Sea Bream. J. Mar. Sci. Eng. 2022, 10, 443. [Google Scholar] [CrossRef]
- Hurtado-Rodríguez, R.; Fountoulaki, E.; Grigorakis, K.; Alexis, M.; Flos, R. Season and Size Effects: Changes in the Quality of Gilthead Sea Bream (Sparus aurata L.). Mediterr. Mar. Sci. 2010, 11, 117–132. [Google Scholar] [CrossRef]
- Johnston, I.A.; Bower, N.I.; Macqueen, D.J. Growth and the Regulation of Myotomal Muscle Mass in Teleost Fish. J. Exp. Biol. 2011, 214, 1617–1628. [Google Scholar] [CrossRef]
- Overturf, K.; Gaylord, T.G. Determination of Relative Protein Degradation Activity at Different Life Stages in Rainbow Trout (Oncorhynchus mykiss). Comp. Biochem. Physiol. Part B Biochem. Mol. Biol. 2009, 152, 150–160. [Google Scholar] [CrossRef]
- Zhang, J.; Gu, L.; Zhao, Y.; Nawaz, M.H.; Xia, W.; Wang, P.; Yang, G.; Shen, X.; Fan, C.; Kong, C. Fluorescence-Enhanced Carbon Dots/Silica Aerogel-Loaded PVA Sensor for On-Site Detection of Biogenic Amines in Aquatic Products. Food Anal. Methods 2025, 18, 2470–2486. [Google Scholar] [CrossRef]
- Parlapani, F.F. Microbial Diversity of Seafood. Curr. Opin. Food Sci. 2021, 37, 45–51. [Google Scholar] [CrossRef]
- Cheng, Y.T.; Huang, P.H.; Lu, W.C.; Chu, S.C.; Wang, P.M.; Ko, W.C.; Li, P.H. Physicochemical Properties of Rainbow Trout (Oncorhynchus mykiss) Filet Treated with High-Voltage Electrostatic Field under Different Storage Temperatures. Front. Sustain. Food Syst. 2023, 7, 1158953. [Google Scholar] [CrossRef]
- Rucinque, D.S.; Biscaia, A.G.C.; Watanabe, A.L.; Molento, C.F.M. Electrical Stunning in South American Catfish (Rhamdia quelen) Using Direct Current Waveform: Welfare and Meat Quality. Ciência Rural 2021, 51, e20200547. [Google Scholar] [CrossRef]
- Morzel, M.; Sohier, D.; Van De Vis, H. Evaluation of Slaughtering Methods for Turbot with Respect to Animal Welfare and Flesh Quality. J. Sci. Food Agric. 2003, 83, 19–28. [Google Scholar] [CrossRef]
- Veland, J.O.; Torrissen, O.J. The Texture of Atlantic Salmon (Salmo Salar) Muscle as Measured Instrumentally Using TPA and Warner-Brazler Shear Test. J. Sci. Food Agric. 1999, 79, 1737–1746. [Google Scholar] [CrossRef]
- Lakshmanan, R.; Patterson, M.; Piggot, J. Effects of High-Pressure Processing on Proteolytic Enzymes and Proteins in Cold-Smoked Salmon during Refrigerated Storage. Food Chem. 2005, 90, 541–548. [Google Scholar] [CrossRef]
- Chéret, R.; Delbarre-Ladrat, C.; de Lamballerie-Anton, M.; Verrez-Bagnis, V. Calpain and Cathepsin Activities in Post Mortem Fish and Meat Muscles. Food Chem. 2007, 101, 1474–1479. [Google Scholar] [CrossRef]
- Barrett, A.J.; Kirschke, H. [41] Cathepsin B, Cathepsin H, and Cathepsin L. Methods Enzymol. 1981, 80, 535–561. [Google Scholar] [CrossRef]
- Bradford, M.M. A Rapid and Sensitive Method for the Quantitation of Microgram Quantities of Protein Utilizing the Principle of Protein-Dye Binding. Anal. Biochem. 1976, 72, 248–254. [Google Scholar] [CrossRef]
- R Core Team. R: A Language and Environment for Statistical Computing; R Foundation for Statistical Computing: Vienna, Austria, 2020. [Google Scholar]
- RStudio Team. RStudio: Integrated Development Environment for R; RStudio, PBC: Boston, MA, USA, 2020. [Google Scholar]
- Shapiro, S.S.; Wilk, M.B. An Analysis of Variance Test for Normality (Complete Samples). Biometrika 1965, 52, 591–611. [Google Scholar] [CrossRef]
- Peterson, R.A.; Cavanaugh, J.E. Ordered Quantile Normalization: A Semiparametric Transformation Built for the Cross-Validation Era. J. Appl. Stat. 2020, 47, 2312–2327. [Google Scholar] [CrossRef]
- Oksanen, J.; Simpson, G.; Blanchet, F.; Kindt, R.; Legendre, P.M.P.; O’Hara, R.; Solymos, P.; Stevens, M.; Szoecs, E.; Wagner, H.B.M.; et al. Vegan: Community Ecology Package, Version 2.6-4; R Foundation for Statistical Computing: Vienna, Austria, 2022.
- Anderson, M.J. Permutational Multivariate Analysis of Variance (PERMANOVA). In Wiley StatsRef: Statistics Reference Online; John Wiley and Sons: Hoboken, NJ, USA, 2017; pp. 1–15. [Google Scholar] [CrossRef]
- Zapala, M.A.; Schork, N.J. Multivariate Regression Analysis of Distance Matrices for Testing Associations between Gene Expression Patterns and Related Variables. Proc. Natl. Acad. Sci. USA 2006, 103, 19430. [Google Scholar] [CrossRef]
- Hernández-Herrero, M.M.; Duflos, G.; Malle, P.; Bouquelet, S. Collagenase Activity and Protein Hydrolysis as Related to Spoilage of Iced Cod (Gadus morhua). Food Res. Int. 2003, 36, 141–147. [Google Scholar] [CrossRef]
- Delbarre-Ladrat, C.; Chéret, R.; Taylor, R.; Verrez-Bagnis, V. Trends in Postmortem Aging in Fish: Understanding of Proteolysis and Disorganization of the Myofibrillar Structure. Crit. Rev. Food Sci. Nutr. 2006, 46, 409–421. [Google Scholar] [CrossRef]
- Singh, R.; Singh, A.; Sachan, S. Enzymes Used in the Food Industry: Friends or Foes? In Enzymes in Food Biotechnology; Academic Press: Cambridge, MA, USA, 2019; pp. 827–843. [Google Scholar] [CrossRef]
- Ayala, M.D.; Abdel, I.; Santaella, M.; Martínez, C.; Periago, M.J.; Gil, F.; Blanco, A.; Albors, O.L. Muscle Tissue Structural Changes and Texture Development in Sea Bream, Sparus aurata L., during Post-Mortem Storage. LWT—Food Sci. Technol. 2010, 43, 465–475. [Google Scholar] [CrossRef]
- Valente, L.M.P.; Cornet, J.; Donnay-Moreno, C.; Gouygou, J.P.; Bergé, J.P.; Bacelar, M.; Escórcio, C.; Rocha, E.; Malhão, F.; Cardinal, M. Quality Differences of Gilthead Sea Bream from Distinct Production Systems in Southern Europe: Intensive, Integrated, Semi-Intensive or Extensive Systems. Food Control 2011, 22, 708–717. [Google Scholar] [CrossRef]
- López-Albors, O.; Gil, F.; Ramírez-Zarzosa, G.; Vázquez, J.M.; Latorre, R.; García-Alcázar, A.; Arencibia, A.; Moreno, F. Muscle Development in Gilthead Sea Bream (Sparus aurata, L.) and Sea Bass (Dicentrarchus labrax, L.): Further Histochemical and Ultrastructural Aspects. Anat. Histol. Embryol. 1998, 27, 223–229. [Google Scholar] [CrossRef]
- Fairgrieve, M.; DenHartigh, A.; Lood, C.; Fink, S.; Yakovenko, O.; Thomas, W.; Duvvuri, B.; Gale, M.; Davis, M. Calpain Drives Pyroptotic Vimentin Cleavage, Intermediate Filament Loss, and Cell Rupture That Mediates Immunostimulation. Proc. Natl. Acad. Sci. USA 2019, 116, 5061–5070. [Google Scholar] [CrossRef]
- Angelakopoulos, R.; Tsipourlianos, A.; Giannoulis, T.; Mamuris, Z.; Moutou, K.A. MassArray Genotyping as a Selection Tool for Extending the Shelf-Life of Fresh Gilthead Sea Bream and European Seabass. Animals 2024, 14, 205. [Google Scholar] [CrossRef]
- Turk, B.; Turk, D.; Turk, V. Lysosomal Cysteine Proteases: More than Scavengers. Biochim. Biophys. Acta—Protein Struct. Mol. Enzymol. 2000, 1477, 98–111. [Google Scholar] [CrossRef]
- Yu, Y.; Wei, Y.; Chen, S.; Wang, Y.; Huang, H.; Li, C.; Wang, D.; Shi, W.; Li, J.; Zhao, Y. Correlation Analysis of Phosphorylation of Myofibrillar Protein and Muscle Quality of Tilapia during Storage in Ice. Food Chem. 2024, 451, 139502. [Google Scholar] [CrossRef] [PubMed]
- Bao, Y.; Wang, K.; Yang, H.; Regenstein, J.M.; Ertbjerg, P.; Zhou, P. Protein Degradation of Black Carp (Mylopharyngodon piceus) Muscle during Cold Storage. Food Chem. 2020, 308, 125576. [Google Scholar] [CrossRef] [PubMed]
- Tang, M.; Dai, H.; Ma, L.; Yu, Y.; Liu, T.; Feng, X.; Hu, W.; Li, Y.; Zhang, Y. Degradation of Structural Proteins and Their Relationship with the Quality of Mandarin Fish (Siniperca chuatsi) during Post-Mortem Storage and Cooking. Int. J. Food Sci. Technol. 2020, 55, 1617–1628. [Google Scholar] [CrossRef]
- Hultmann, L.; Tobiassen, T.; Aas-Hansen, Ø.; Phu, T.M.; Rustad, T. Muscle Quality and Proteolytic Enzymes of Farmed Atlantic Cod (Gadus morhua) During Storage: Effects of Pre-Slaughter Handling and Increased Storage Temperature. J. Aquat. Food Prod. Technol. 2016, 25, 540–554. [Google Scholar] [CrossRef]
- Wang, X.; Zheng, Z. Mechanistic Insights into Fish Spoilage and Integrated Preservation Technologies. Appl. Sci. 2025, 15, 7639. [Google Scholar] [CrossRef]
- Hematyar, N.; Policar, T.; Rustad, T. Importance of Proteins and Mitochondrial Changes as Freshness Indicators in Fish Muscle Post-Mortem. J. Sci. Food Agric. 2025, 105, 5163–5172. [Google Scholar] [CrossRef]
- Molina, A.; Dettleff, P.; Valenzuela-Muñoz, V.; Gallardo-Escarate, C.; Valdés, J.A. High-Temperature Stress Induces Autophagy in Rainbow Trout Skeletal Muscle. Fishes 2023, 8, 303. [Google Scholar] [CrossRef]
- Digre, H.; Erikson, U.; Misimi, E.; Lambooij, B.; van de Vis, H. Electrical Stunning of Farmed Atlantic Cod Gadus morhua L.: A Comparison of an Industrial and Experimental Method. Aquac. Res. 2010, 41, 1190–1202. [Google Scholar] [CrossRef]
- Nemova, N.N.; Lysenko, L.A.; Kantserova, N.P. Degradation of Skeletal Muscle Protein during Growth and Development of Salmonid Fish. Russ. J. Dev. Biol. 2016, 47, 161–172. [Google Scholar] [CrossRef]
- Guderley, H.; St-Pierre, J. Going with the Flow or Life in the Fast Lane: Contrasting Mitochondrial Responses to Thermal Change. J. Exp. Biol. 2002, 205, 2237–2249. [Google Scholar] [CrossRef]
- Cai, X.; Liu, Y.; Hu, Y.; Liu, X.; Jiang, H.; Yang, S.; Shao, Z.; Xia, Y.; Xiong, L. ROS-Mediated Lysosomal Membrane Permeabilization Is Involved in Bupivacaine-Induced Death of Rabbit Intervertebral Disc Cells. Redox Biol. 2018, 18, 65–76. [Google Scholar] [CrossRef]
- Giyatmi; Irianto, H.E. Enzymes in Fermented Fish. Adv. Food Nutr. Res. 2017, 80, 199–216. [Google Scholar] [CrossRef]
- Singh, A.; Benjakul, S. Proteolysis and Its Control Using Protease Inhibitors in Fish and Fish Products: A Review. Compr. Rev. Food Sci. Food Saf. 2018, 17, 496–509. [Google Scholar] [CrossRef]
- De La Rosa, I.; Castro, P.L.; Ginés, R.; Herrera, M.; Vargas-Chacoff, L. Twenty Years of Research in Seabass and Seabream Welfare during Slaughter. Animals 2021, 11, 2164. [Google Scholar] [CrossRef] [PubMed]
- Gräns, A.; Cabrera-Álvarez, M.J.; Oliveira, G.D.C.; Saraiva, J.L.; Arechavala-Lopez, P.; Bortoletti, M.; Schwerte, T.; Brijs, J. Stunning Challenges: Operational Indicators Flag Failures, but Neurological Validation Is Needed to Confirm Stunning Effectiveness in Seabass and Seabream. Aquac. Rep. 2025, 45, 103189. [Google Scholar] [CrossRef]
- Pavlidis, M.; Papaharisis, L.; Adamek, M.; Steinhagen, D.; Jung-Schroers, V.; Kristiansen, T.; Theodoridi, A.; Otero-Lourido, F. Animal Welfare of Farmed Fish; Policy Department for Structural and Cohesion Policies Directorate-General for Internal Policies: Brussels, Belgium, 2023. [Google Scholar]
- Algers, B.; Blokhuis, H.J.; Bøtner, A.; Broom, D.M.; Costa, P.; Domingo, M.; Greiner, M.; Hartung, J.; Koenen, F.; Müller-Graf, C.; et al. Species-Specific Welfare Aspects of the Main Systems of Stunning and Killing of Farmed Atlantic Salmon. EFSA J. 2009, 7, 1011. [Google Scholar] [CrossRef]











Disclaimer/Publisher’s Note: The statements, opinions and data contained in all publications are solely those of the individual author(s) and contributor(s) and not of MDPI and/or the editor(s). MDPI and/or the editor(s) disclaim responsibility for any injury to people or property resulting from any ideas, methods, instructions or products referred to in the content. |
© 2026 by the authors. Licensee MDPI, Basel, Switzerland. This article is an open access article distributed under the terms and conditions of the Creative Commons Attribution (CC BY) license.
Share and Cite
Angelakopoulos, R.; Fytsili, A.E.; Dimitroglou, A.; Papaharisis, L.; Moutou, K.A. Seawater Temperature at Harvest Shapes Fillet Proteolytic Activity at Chilled Storage in Three Mediterranean-Farmed Fish. Aquac. J. 2026, 6, 2. https://doi.org/10.3390/aquacj6010002
Angelakopoulos R, Fytsili AE, Dimitroglou A, Papaharisis L, Moutou KA. Seawater Temperature at Harvest Shapes Fillet Proteolytic Activity at Chilled Storage in Three Mediterranean-Farmed Fish. Aquaculture Journal. 2026; 6(1):2. https://doi.org/10.3390/aquacj6010002
Chicago/Turabian StyleAngelakopoulos, Rafael, Alexia E. Fytsili, Arkadios Dimitroglou, Leonidas Papaharisis, and Katerina A. Moutou. 2026. "Seawater Temperature at Harvest Shapes Fillet Proteolytic Activity at Chilled Storage in Three Mediterranean-Farmed Fish" Aquaculture Journal 6, no. 1: 2. https://doi.org/10.3390/aquacj6010002
APA StyleAngelakopoulos, R., Fytsili, A. E., Dimitroglou, A., Papaharisis, L., & Moutou, K. A. (2026). Seawater Temperature at Harvest Shapes Fillet Proteolytic Activity at Chilled Storage in Three Mediterranean-Farmed Fish. Aquaculture Journal, 6(1), 2. https://doi.org/10.3390/aquacj6010002

