Abstract
Global estimates show that less than half the nitrogen fertiliser inputs to agricultural soil are taken up by crops. The remaining inorganic nutrients follow several pathways, with run off into nearby waterbodies being particularly problematic, contributing to the formation of algal blooms. A proposed solution is to recover the algae biomass from receiving waterbodies and apply it back to the land to replenish soil nutrients and enable a reduction in the need for inorganic fertilizers. A 15N tracer study was performed under greenhouse conditions, where labelled algal N (55.75% atom% 15N) was added to soil at 15.8 mg N/500 g soil) to assess the fate of nitrogen derived from a common unicellular green alga, Chlorella vulgaris, into soil and wheat nitrogen pools, with an assessment of the impact on soil bacterial communities. The soil retained a higher amount of algal nitrogen (10.3%) compared to the wheat shoot (0.7%) after 30 days, corresponding to the results of the 16S rDNA sequencing, which demonstrated that the algal biomass increased microbial diversity after 30 days and changed the relative abundance of microbial taxa putatively involved in facilitating the breakdown of organic residues. These findings provide useful insights into the application of algae biomass to agricultural soils to influence nitrogen fertilization and improve soil health through the increase in soil microbial diversity.
1. Introduction
Large amounts of nitrogen fertilizer application have helped drive agricultural intensification, with global nitrogen (N) fertiliser application rates projected to increase from 81.7 million tonnes in 2000 [1,2] to 111 million tonnes by 2022 [3]. Inevitably, this has contributed to increased losses of inorganic N to the environment [4]. Recent estimates suggest that only 47% of the reactive N added globally onto cropland is recovered in harvested crops, while over the past few decades, mineral N fertilizer use increased by over 40%, but more than 50% of N applied to crops is lost to the environment [5]. Inorganic fertilisers not taken up by crop plants are a source of diffuse pollution, which can lead to the eutrophication of local water bodies. Phytoplankton in aquatic environments, including microalgae and cyanobacteria, can efficiently take up this N and, with the right conditions, form algal blooms. Algal blooms are associated with well-documented detrimental environmental impacts, including the development of anoxic conditions once the biomass biodegrades. The concept of designing an integrated system, whereby diffuse nutrients are captured within designated water bodies and the resulting algal blooms are harvested before being applied back onto the soil in a ‘circular economy fertilisation’ system (Figure 1), has significant potential as a cost-effective nutrient management strategy on agricultural farms.
Figure 1.
Conceptual diagram of circular economy fertilisation using recovered algal biomass in the agricultural sector.
Methods of cultivating the biomass, such as purpose-built lagoons used to treat wastewater [6] and algal turf scrubber systems (ATS) [7,8], which utilise agricultural nutrient runoff to produce algae biomass, are promising cultivation mechanisms. If the inorganic nutrients such as ammonium (NH4+), nitrite (NO2−), nitrate (NO3−), and orthophosphate (PO43−) can be captured within nontoxic microalgal strains using unpolluted wastewater, there is also an opportunity to harvest the resulting biomass and return this N and P to the soil.
In our previous greenhouse and field study, we demonstrated that adding 4 g kg−1 Chlorella sp. to soils under greenhouse conditions increased the total nitrogen (TN) and NH4+-N concentrations in the soil by 12% and 180%, respectively [9]. In the field, the addition of 24.46 kg N ha−1 increased soil NH4+-N concentrations by 8% after two weeks. Several experiments have been conducted using N isotopes to gain further mechanistic insight into the pathways of added N and its fate in soils and plants in both terrestrial ecosystems and agriculture [1,10,11,12]. N uptake by rice plants from the cyanobacteria Trichormus variabilis (formerly Anabaena variabilis) and Desmonostoc muscorum (formerly Nostoc muscorum) in pots submerged in 4 cm of floodwater was investigated [13]. After 60 days, at an application rate of 40 mg of N mixed with 0.5 kg of soil, 49 and 53% of the applied 15N was released from Trichormus and Desmonostoc, respectively, while 51% and 47% of the biofertilizer was retained in the soils. Another study showed that a rice crop incorporated 27% of Desmonostoc-N added at an application rate of 50.85 mg N/pot filled with 2 kg of soil [14]. It was also reported that 42% of added algae (species not specified) at a rate of 14.35 mg N g−1 of soil (equivalent to 7.2 kg N ha−1) was mineralized 8 weeks after addition to sandy loam soil [15]. These studies show the potential of algae to supply plant-available N, especially under flooded soil conditions, even at relatively low N application rates. Despite these studies, less attention has been given to the fate of algal N added to conventionally managed arable soils, that is, its distribution into the main nitrogen pools (NH4+, NO3−, plant N, and soil N) and the extent of its utilization by crop plants, in particular wheat, which is a commercially significant crop in the UK.
Another area that has also received little attention is the impact of C. vulgaris, as an organic fertiliser, on soil microbial communities. Soil microbial diversity has reportedly reduced in the UK because of soil degradation [16,17]. Microbiological processes govern many soil ecosystem functions, including the breakdown of organic matter, the formation of soil aggregates [18,19], and plant growth as well as nutrient cycling [20,21]. A few studies have reported the effects of algal additions on soil microbes [22,23,24,25]. These studies used techniques such as isolation using serial dilution and in vitro bacterial cultures on artificial media in agar plates to provide useful information on overall microbial processes but did not provide any insight into changes at the community or species level. Additionally, these conventional microbiological techniques have since been superseded by molecular techniques.
Here, it was hypothesised that low doses of microalgal necromass added to agricultural soils would stimulate an increase in algal N bioavailability and plant N uptake. Furthermore, as plants deplete soil N concentrations, we also expected to see changes in bacterial communities to reflect the less bioavailable N. Soil microbial diversity was predicted to increase as the additional carbon source from the microalgae biomass would stimulate an increase in the bacterial taxa responsible for its degradation.
Using 15N-labelled C. vulgaris, we traced and quantified the fate of algal N in relation to soil and plant-available N uptake by wheat grown on arable soil. We also examined the impact of algal N on soil microbial communities using 16S rRNA amplicon sequencing. The assimilation of nitrate occurs when nitrate is reduced to nitrite, which is then reduced to ammonia/ammonium. Therefore, it is useful to note that in the algal biomass N would be found in inorganic (nitrate and ammonium) and organic (amino acids and purines) forms [26], and the mineralisation rate would affect the overall ratio. Low application rates of algae were tested in this study, as a low algal application rate is a financially attractive option for farmers, easing the demands on the volume of algal biomass required. Comparisons were also made between soils with and without wheat (fallow), as the plants are likely to affect soil N transformations by the addition of C residues into the rhizosphere as well as affect soil microbial community compositions [27,28]. Urea, a common commercial inorganic fertiliser that is widely used on agricultural soils, was applied in a set of controls at an application rate of 50 kg ha−1 to wheat crops.
2. Materials and Methods
2.1. Maintenance and Cultivation of C. vulgaris
Chlorella vulgaris CCAP 211/12 biomass was obtained from CCAP (Culture Collection of Algae and Protozoa, Oban, UK). The liquid stock culture was centrifuged (at 4000× g and 4 °C for 20 min), and the medium was discarded. The pellet was then suspended in liquid Bold’s basal medium [29,30], and 1 mL of this stock culture was inoculated in 100 mL of autoclave-sterilized Bolds basal medium, maintained in an incubator at 20 ± 1 °C without shaking, and continuously illuminated by fluorescent light tubes at 259 μmol m2 s−1.
2.2. Cultivation of 15N-Enriched Algal Biomass
C. vulgaris was cultivated in Bold’s basal medium with NaNO3 substituted with 98 atom % pure 15N sodium nitrate (Na15NO3) (Sercon Ltd., Cheshire, UK) by dissolving 5 g of Na15NO3 in 200 mL of distilled water. Six 10 L flasks, each containing 5 L of medium, were autoclaved before being inoculated with C. vulgaris biomass from stock cultures and maintained at 20 ± 1 °C and 24 h light at 259 μmol m2 s−1 with air bubbled through the flasks for 21 days. The algal biomass was harvested by centrifugation (at 4000× g and 4 °C for 20 min). Centrifuged biomass was placed in 50 mL Falcon tubes and was frozen at −20 °C before being freeze-dried and stored in a desiccator until further use.
2.3. Soil Sampling and Characterisation
The pot experiment was carried out in a GroDome greenhouse (Arthur Willis Environment Centre, Sheffield, UK) under a 12 h photoperiod, 200 μE m−2 s−1 light intensity, and 21 °C/15 °C day/night temperatures. The soil used in the experiment was taken from Wise Warren, at Spen Farm, Tadcaster, England (longitude 1°20′32.9″ W, latitude 53°51′40.7″ N), Quarry Field 1. Table 1 shows the initial soil characteristics. The field had been cultivated and cropped every year for at least 20 years, mainly growing winter wheat, spring and winter barley, oilseed rape, sugar beet, winter beans, and potatoes. The soil is in the Aberford series (Calcaric Endoleptic Cambisol) [31]. The soil was sampled at 0–30 cm depth, transported back to the lab, and subsequently riddled using a 1 cm sieve, then air dried in the greenhouse and mixed to homogenise before being placed into pots. Each pot consisted of 500 ± 1 g of air-dried soil.
Table 1.
Table showing initial soil characteristics (n = 3).
2.4. Experimental Set-Up
The 15N content of the algae was measured using an isotope ratio mass spectrometer (IRMS) (ANCA GSL 20-20 Sercon PDZ Europa, Cheshire, UK). The C. vulgaris labelled with a stable 15N isotope was mixed (in a 1:1.5 (80 mg:120 mg) ratio) with unlabelled C. vulgaris, which was purchased commercially and suspended in 5 mL of distilled water. Prior to incubation, the labelled algae (55.75 at% 15N) was added to the soil at a rate of 15.81 mg N/500 g−1 soil—equivalent to 3.95 kg N ha−1 of algal N and 50 kg ha−1 of algal biomass. Urea, a widely used commercial fertiliser, was added at a rate typically applied in the field, at 50 kg ha−1.
Spring wheat seeds (Triticum aestivum L.) var. Tybalt (Limagrain, UK) were surface-sterilized in a 10% (v/v) sodium hypochlorite solution for 30 min with gentle mixing and then rinsed several times in 18.2 MΩ·cm UHP water. The seeds were then pre-germinated on moist filter paper for 4 days at room temperature in the dark, transplanted to the pots, and allowed to grow for 3 weeks with distilled water added as necessary (three times weekly). Each pot contained exactly three plants. The experiment was split into pots containing wheat plants and pots without wheat plants (fallow pots). To the pots with wheat plants, C. vulgaris (n = 18) and urea (n = 18) N treatments were added, and a set of pots (n = 18) was also set aside as control pots with no nitrogen source. In parallel, pots without plants (fallow pots) were also used as controls so the effects of the wheat plants on the N pools and fluxes could be evaluated by reference to soils to which C. vulgaris (n = 18), urea (n = 18), and no N (control) were added (n = 12). Many replicates (n = 18) were used due to the high variation in TN in the different pots (because of inherent soil heterogeneity) after each sampling time point. The total carbon (TC) and TN contents of soils for the algae, urea, and no N addition control pots are shown in Table 2. The plant pots were randomized and watered three times weekly to maintain the soil moisture content close to 40% of the water holding capacity. The incubated pots were destructively harvested on days 1, 3, 5, 10, 20, and 30 (to measure the changes in nitrogen concentrations and soil microbial communities over time), with three replicates of each treatment removed from the greenhouse at each time point for analysis.
Table 2.
Table showing TC and TN concentrations in soil, mixed algae, and urea (n = 3).
2.5. N Pools and 15N Isotope Analysis
2.5.1. Wheat Shoots
At harvest, the aboveground biomass was cut just above the soil surface, and washed to remove soil. The wheat shoots were oven-dried at 70 °C for 3 days, and their dry weights were obtained. The shoots were then ground into a fine powder using a heavy-duty analytical mill (IKA–WERKE, Staufen im Breisgau, Germany) to homogenise them and enable subsampling for the determination of total N content (16 mg ± 1) using a CN elemental analyser (Vario EL Cube, Langenselbold, Germany) and 15N analysis (2 mg ± 0.5) using the Sercon PDZ Europa IRMS.
2.5.2. Bulk Soil
At the end of the experiment, after carefully picking out the roots, the bulk soil was mixed by hand to homogenise it. Approximately 4 g was subsampled, flash-frozen using liquid nitrogen (LN2), and stored at −80 °C for DNA extraction. The remainder was sieved with a 2 mm sieve, and approximately 50 g ± 0.05 was subsampled. A subsample of this was oven-dried at 105 °C overnight and homogenised again using an agate ball mill (Fritsch Pulverisette, Idar-Oberstein, Germany) before being analysed for TN concentrations and atom% 15N. The remainder was stored at 4 °C for the determination of inorganic nitrogen.
2.5.3. Soil Inorganic Nitrogen
A 2.0 M KCl solution was used to extract inorganic N (NH4+ and NO3−) using 10 g of soil in 40 mL of KCl solution [32]. The solutions were placed on a shaker for ~1 h and filtered using a pre-wetted Whatman No. 1 filter paper. The extracts were frozen at −20 °C prior to analysis. Upon thawing, the samples were analysed using a Skalar San++ Continuous Flow Analyser, where the NO3− was measured colourimetrically using the cadmium reduction diazotisation method [33] and the NH4+ was measured colourimetrically using the salicyclate method [34]. Atom% 15N measurements of NH4+ and NO3− were determined using the diffusion technique [35,36]. All dried filter discs were then wrapped in tin cups and analysed for 15N using the IRMS to determine the 15N enrichments of the acidified diffusion discs.
2.6. DNA Extraction and Illumina Sequencing
Soil DNA was extracted from soil samples at three timepoints (days 3, 10, and 30) using the MoBio® PowerSoil DNA Isolation Kit (MO BIO Laboratories, Carlsbad, CA, USA), following the manufacturer’s instructions. The extracted DNA was quantified using the QuantiFlour® dsDNA Dye and FLUOStar OPTIMA spectrofluorometer (BMG LabTech, Ortenberg, Germany) (excitation at 485 nm and fluorescence emission measured at 545 nm). DNA samples were sent off on dry ice to Earlham Institute, Norwich Research Park, Norwich, for Illumina MiSeq amplicon sequencing.
2.7. Calculations
2.7.1. Total N Concentrations of Pools
All N calculations were made in relation to the soil in the plant pots (500 g). For the determination of TN of a particular pool per pot, N concentrations in mg g−1 were multiplied by total soil mass per pot. For shoots, N concentrations were multiplied by the total shoot dry weight to give the TN amount per wheat shoot. To calculate the N balance, changes in soil TN and TN outputs (i.e., soil average N for 30 days and plant uptake) were subtracted from the TN inputs at the start of the experiment [37].
2.7.2. 15N Recovery in N Pools
An IRMS was used to determine the ratio of 15N:14N and calculate the atom% 15N abundance of samples using the following expression:
The 15N recovery in each N pool was calculated as follows:
where APE is the atom percent excess 15N enrichment values, 15Nx is the total amount of 15N added to each N pool from labelled Na15NO3, Nt is the total N in the pool (mg/500 g), Recoveryx is the percentage of 15N recovered in the labelled N pool, and APESN is the atom percent excess (%) of the initially added Na15NO3 [38,39,40].
The efficiency of utility/proportion of added N in the plants was calculated as follows:
where is the total N in the wheat shoot (mg N/shoot) from the C. vulgaris and urea N treatments, is the total N in the control wheat shoots, and is the initial total N amount (mg N) of C. vulgaris/urea added to the pots.
2.8. Data Processing
The demultiplexed sequencing data files were downloaded from the sequencing centre, and the overall quality of the 16S Illumina Miseq sequencing forward and reverse reads were checked using Fast QC (Babraham Bioinformatics). Using a QIIME pipeline [41], the forward and reverse reads were then merged with quality filtering using USEARCH8.1 to remove low-quality reads (minimum read length of 350 bp for prokaryotes). The amplicon primers were then stripped out from the reads, and chimeras were subsequently removed. The quality-filtered sequences were clustered into operational taxonomic units (OTUs) where sequences that were 97% identical were clustered together. Taxonomy assignment to the OTUs was carried out using the Ribosomal Database Project (RDP) database version 16 [42]. The OTU table and the taxonomy tables were then used for downstream analysis using RStudio.
2.9. Statistical Analyses
Statistical analyses were conducted using Graphpad Prism version 7.0c and RStudio version 3.5.1. The means of the replicates for the treatments ± standard error of the mean are presented in the results. Differences in the total amounts of N in the samples (soil and plant pools), between the control and C. vulgaris, and in relation to the duration of the experiment were analysed using a two-way analysis of variance (ANOVA) followed by Tukey’s post hoc test. The effects of time on the total 15N content and % recovery rates in the different N pools were also tested using a one-way ANOVA followed by Tukey’s post hoc test. Differences were considered significant at a probability level of p < 0.05.
The statistical analysis of the microbial data was performed in R studio version 3.5.0 using the phyloseq package [43]. The OTU counts and associated taxonomy tables, in the form of biom files, along with mapping files with details of samples, were read into phyloseq. A rarefaction analysis was carried out using the operational taxonomic units (OTUs) at 97% similarity to observe the sampling efficiency of each sample. The richness and diversity of the total soil microbial communities for each treatment were measured using the Shannon and Simpson indices. A one-way ANOVA followed by Tukey post hoc tests was used to assess the differences between treatments (C. vulgaris and urea) and the control as well as the effects of wheat at different time points, with statistically significant differences reported at probability levels of p < 0.05. The percentage relative abundance of OTUs was plotted, showing the OTUs present in the different treatments at different time points at the phylum level. A two-way ANOVA was carried out to test for any significant differences in % relative abundance between the difference treatments. Differences were considered statistically significant at probability levels of p < 0.05.
For N concentrations in the soil and plant pools, the focus was on the effect of the addition of an algal N source when compared to no N addition. Hence, a two-way ANOVA followed by Dunnett’s multiple comparison test was used to compare the N treatment against the control.
3. Results
3.1. N Concentrations in Plant and Soil N Pools
The N values in the three N pools in soil (TN, NH4+-N, and NO3−-N) and plants were calculated per pot to show the temporal effects of the different treatments over a period of 30 days. The effects of algal additions were compared against the control (wheat-planted controls with no algal additions and fallow pots with algal additions). Prior to the addition of N treatments, soil TN was measured at 829.82 mg TN/pot. The addition of 0.2 g of algal biomass to the soil in each pot equated to 15.8 mg of algal TN, giving it a soil TN of 845.62 mg TN/pot, a 1.9% increase in TN on Day 0 compared to the control.
3.1.1. N Concentrations in Plants
There were no significant differences in shoot N between the control and C. vulgaris treatments between day 1 and 20. However, on day 30, shoot N concentrations under the C. vulgaris treatment were significantly higher (p = 0.0025) than the controls (Figure 2).
Figure 2.
Total N for control and algae (C. vulgaris) treatments in wheat shoots. Data points represent the means of three replicates, with bars representing the S.E.
3.1.2. N Concentrations in Bulk Soil
Throughout the 30-day experiment, there were no significant differences in soil TN between the C. vulgaris treatments and the controls, where soil TN also increased from 829.8 mg of TN to 897.1 mg of TN (Figure 3a). In the fallow soil (Figure 3b) on day 30, the TN concentrations in the control pots were significantly higher (p = 0.02) than in the C. vulgaris biomass treatment group.
Figure 3.
Nitrogen measurements in soil for control (blue lines) and algae (C. vulgaris) treatment (green lines). (a) TN in soil with wheat; (b) TN in soil in fallow pots; (c) soil NH4+-N with wheat; (d) soil NH4+-N in fallow pots; (e) soil NO3−-N with wheat; (f) soil NO3−-N in fallow pots. Data points represent the means of three replicates, with bars representing the S.E.
3.1.3. NH4+-N Concentrations in Bulk Soil
In the pots with wheat (Figure 3c), the total NH4+-N was also significantly higher in the C. vulgaris-treated pots than in the control pots on day 1 (p = 0.004) and day 10 (p = 0.04).
In the fallow pots (Figure 3d), the total NH4+-N fluctuated throughout the duration of the experiment, with no significant differences observed when compared to the C. vulgaris treatments except on day 30, where the total NH4+-N was significantly higher (p = 0.007) than the C. vulgaris treatments.
3.1.4. NO3−-N Concentrations in Bulk Soil
The total NO3−-N concentrations under the C. vulgaris treatments (Figure 3e) were significantly higher than in the control pots on day 10 (p = 0.02) and day 20 (p = 0.02). In the fallow pots (Figure 3f), C. vulgaris had significantly higher soil NO3−-N on day 1 (p = 0.04) and day 10 (p = 0.02) compared to the control fallow pots.
3.2. Percentage Recovery of 15N from Algal Necromass in Measured N Pools
The 15N contents in the different pools were measured using isotope ratio mass spectrometry to infer the impact of adding algal biomass to soils with and without wheat. The percentage of 15N algal biomass recovered in each labelled N pool was calculated. Figure 4 shows the comparisons between the 15N algal biomass recovered in pots with wheat and that of fallow pots.
Figure 4.
15N recovery rates for algae (C. vulgaris) treatments in (a) wheat shoots, (b) bulk soil with wheat and bulk soil in fallow pots, (c) soil NH4+-N with wheat and soil NH4+-N in fallow pots, and (d) soil NO3−-N with wheat and soil NO3−-N in fallow pots. Data points represent the means of three replicates, with bars representing the S.E.
15N recoveries in shoots were very low. At the beginning of the experiment, recovery rates of 0.03% were observed. This increased significantly (p = 0.01) to 0.3% on day 10 and, by day 20, increased again to the highest recovery rates of 0.9% before decreasing again slightly, but not significantly, by day 30 to 0.7%.
The highest 15N recoveries were observed in the bulk soil (Figure 4b). At the beginning of the experiment on day 3, the soil in the wheat-planted pots retained 31.4% of the added 15N, which gradually decreased to 10.3% by day 30. The recoveries on days 1 and 3 were significantly higher (p < 0.0001) in comparison to recoveries during the other time periods. In the fallow pots, the bulk soil had 15N recovery rates ranging from 34.1% on day 1 to 12.53% by day 30. The recovery rates were highest on day 1 and then significantly decreased (p < 0.0001) between days 3 and 5 from 30.3% down to 12.7%. Subsequently, the recovery rates did not vary much for the remaining period of the experiment, remaining at approximately 12%. There was no significant difference in the amounts of 15N C. vulgaris retained between the wheat and fallow soil.
The amount of the added 15N that was recovered in the soil-extractable NH4+ in the pots with wheat was lower than recovery rates in the bulk soil. The 15N-NH4+ recovery rates increased between day 1 and 10 before dropping significantly by day 20, with no significant differences between any of the time points. In the fallow pots, 15N-NH4+ fluctuated greatly, increasing significantly between day 1 and 3 (p = 0.03) from 0.002% to 0.13% and decreased significantly (p = 0.04) by day 20 to 0.004%. The highest recovery rates were observed on days 3 and 10 at 0.1%. There were no significant differences in recovered 15N-NH4+ between the wheat and fallow pots except on day 3, when the 15N-NH4+ in the fallow pots was significantly higher (p = 0.04).
For soil-extractable NO3−, the 15NO3−-N recovered in pots with wheat increased significantly (p = 0.03) from 0.2% on day 1 to 0.8% on day 5 and thereafter dropped significantly (p = 0.02), down to 0.004% by day 30. In the fallow pots, the opposite happened, where the 15N tracer recovery rates on day 1 were 0.3% and continued to increase significantly (p = 0.01) up until day 30, where the highest recovery rates were achieved at 2.1%. The 15NO3−-N recovery rates in the fallow pots on days 10, 20, and 30 were significantly higher (p < 0.05) than in pots with wheat.
3.3. Efficiency of Utilisation of Algal N
The nitrogen uptake by plants is shown in Table 3. The wheat shoots in control soils with no added nitrogen had a total of 9.29 mg N/shoot at the end of the experiment. There was no significant difference between the control and algae-amended pots, where a total of 9.60 mg/N was measured in the wheat shoot biomass—an increase of 3% more nitrogen than control soils, which was assumed to be due to the uptake of N from algal necromass. The calculation of the efficiency of the utility of the algal nitrogen showed that over the 30-day period an average of ~2% of the added amount of algal N was taken up by the plant.
Table 3.
Changes in shoot total N over 30 days.
3.4. Diversity of Soil Microbial Communities
A total of 3,201,159 sequence reads were identified after filtering and clustering the data, with a minimum read of 21,956 and a maximum of 97,802 sequence reads. Alpha diversity indices, including observed OTU richness and the inverse Simpson and Shannon indices [44,45], were used to assess the impact of the different treatments on the diversity of microbial communities at different time points throughout the experiment.
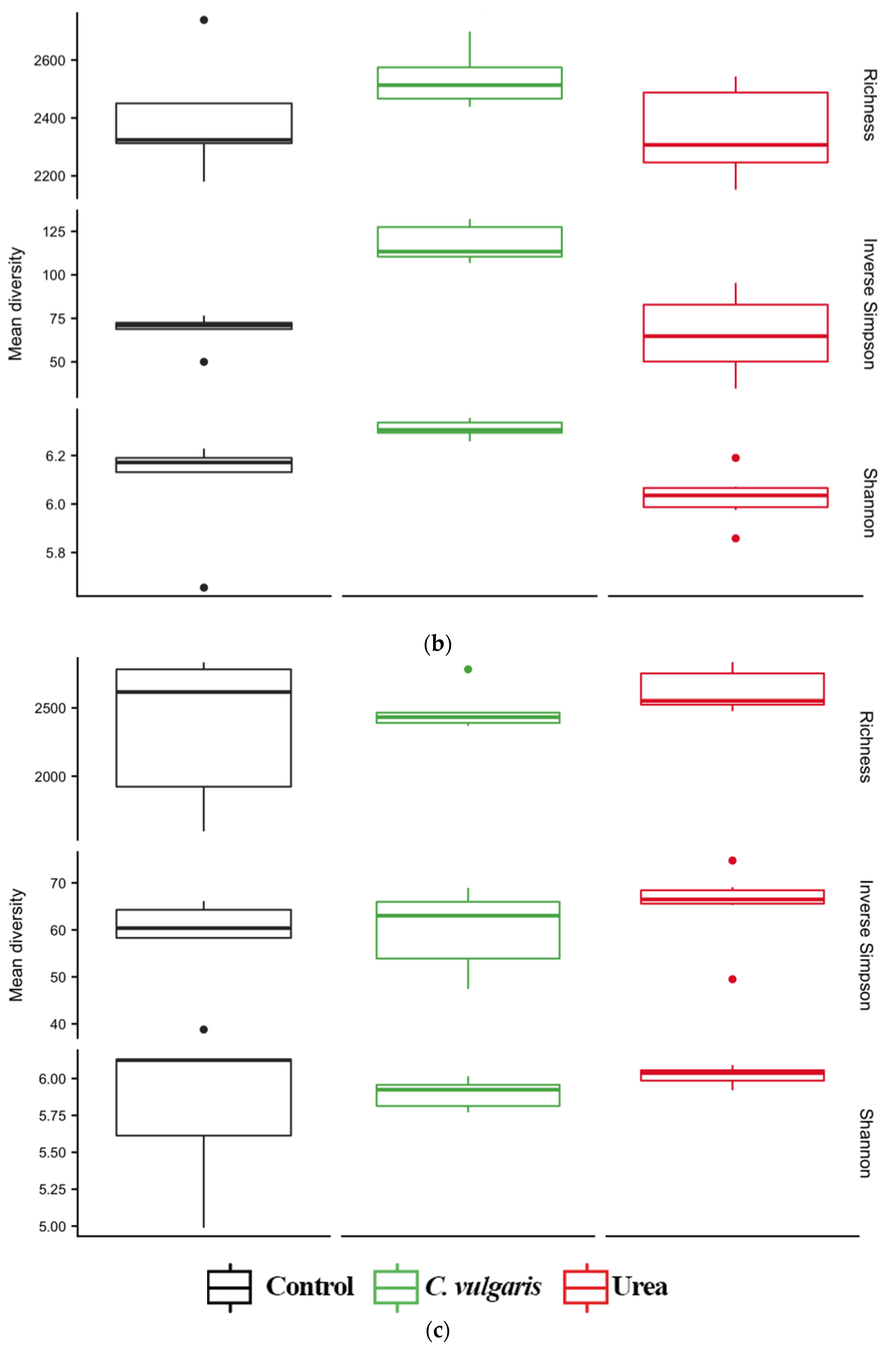
The diversity of the soil microbial communities under the control, urea, and C. vulgaris treatments was examined on days 3, 10, and 30 of the experiment. Three days after the start of the experiment (Figure 5a), the control soils had the highest overall species richness at ~2500 OTUs, while the C. vulgaris-amended soils had a total of 2300 OTUs, and the urea-treated soils had ~2400 OTUs. No significant differences were detected in the microbial diversity, relative abundance, or number of species present between any of the treatments on day 3. After 10 days (Figure 5b), the species richness increased under both treatments and the control, with the control again having a higher number of OTUs, followed by the urea treatment and then the C. vulgaris treatment. No significant differences were detected, however, in the microbial diversity between all three treatments, and all three treatments were also similar in species evenness. At the end of the experiment, after 30 days, the C. vulgaris-amended pots had a significantly higher microbial diversity compared to the control and urea-treated pots (Figure 5c), with a significantly more even distribution and relative abundance of species (inverse Simpson, p = 0.001) and (Shannon, p = 0.01) in comparison to both the control and urea-amended pots.

Figure 5.
Box and whisker plot showing species richness and inverse Simpson and Shannon diversity indices for the different treatments after 3 days (a), 10 days (b), and 30 days (c). Boxes represent the interquartile range, with the middle line representing the mean and the dots representing the outliers.
The effects of wheat on microbial diversity were also compared with fallow soil (Figure 6a). Three days after algal necromass and urea were added to soil in pots with wheat and fallow pots, the results showed no significant differences in microbial diversity between the two differing potting systems. After 10 days, the species richness in the wheat and fallow pots was also the same (Figure 6b). There was, however, a significant difference (p = 0.03) in evenness, where pots with wheat had significantly higher species evenness than pots without. After 30 days (Figure 6c), there was no significant difference in the microbial diversity in all wheat and fallow pots.

Figure 6.
Box and whisker plot showing species richness and inverse Simpson and Shannon diversity indices in wheat and non-wheat pots after 3 days (a), 10 days (b), and 30 days (c). Boxes represent the interquartile range, with the middle line representing the mean and the dots representing the outliers.
3.5. Taxonomic Composition of Soil Microbial Communities
Under all treatments in both wheat and fallow soils, the most abundant phyla identified were Proteobacteria (33.05%), Actinobacteria (22.66%), Firmicutes (20.28%), Bacteroidetes (13.26%), Acidobacteria (4.10%), Verrucomicrobia (2.11%), and Chloroflexi (1.31%).
The relative abundance of Proteobacteria was significantly higher under C. vulgaris treatments throughout the duration of the experiment. After 3 days (Figure 7a), Proteobacteria dominated the C. vulgaris-amended soil in pots with wheat and had a significantly higher abundance (38.15%) compared to the control pots (30.28%, p = 0.03) and urea-amended pots (29.63%, p = 0.02). The relative abundance of Proteobacteria under C. vulgaris treatments remained the same for the duration of the experiment, only decreasing slightly on day 10 to 35.91% (Figure 7b) and increasing slightly again by day 30 to 37.64% (Figure 7c). Nonetheless, a significantly greater abundance of this phylum was found under C. vulgaris treatments compared to the control and urea treatments on both days 10 and 30. In fallow pots, a similar relative abundance of Proteobacteria was observed under C. vulgaris treatments on days 3 (36.21%), 10 (39.53%), and 30 (36.77%). These relative abundances were similar to the urea-amended pots on days 3 and 30 of the experiment but were significantly higher (p = 0.0009) on day 10 and additionally were higher than the abundances in the control pots on day 3 (p = 0.01).

Figure 7.
Relative abundance of OTUs at the phylum level found in the different treatments after 3 days (a), 10 days (b), and 30 days (c).
The relative abundance of Actinobacteria and Firmicutes, the next most abundant phyla, decreased after 3 days from 24.07% and 23.03% to 22.05% and 17.66%, respectively, after 30 days; this decrease was also reflected in the C. vulgaris treatments in pots both with and without wheat. On day 30, the relative abundance of Firmicutes decreased significantly (p < 0.0001) under the C. vulgaris treatments added to pots with wheat in comparison to both the control and urea treatments. The same trend of a significantly lower Firmicutes abundance on day 30 was also observed in fallow pots.
The relative abundance of Bacteroidetes increased from 12.81% after 3 days to 13.51% after 30 days under experimental treatments and control, including with C. vulgaris added to wheat and fallow pots. This increase was significantly higher under C. vulgaris treatment than in the controls on both day 10 (p = 0.02) and day 30 (p = 0.007) in wheat pots, and no differences in abundance observed between all three treatments in the fallow pots.
The relative abundance of Acidobacteria increased under both treatments and control from day 3 to day 30. There were, however, no significant differences in both wheat and fallow pots between any of the treatments.
4. Discussion
This high-temporal-resolution study using of the 15N isotopic enrichment technique, allowed detailed tracing of algal-derived N in the bulk soil, plant shoot biomass, and soil inorganic N pools over a period of 30 days. A 16s rRNA study was also carried out to assess the effect of C. vulgaris necromass on soil bacterial communities as well as to identify the bacterial communities and taxa involved in the degradation and cycling of its biomass. Thirty days was chosen as an adequate time frame for assessing the degradation and subsequent uptake of algal N by plants [9], where soil NH4+-N and NO3−-N concentrations were shown to increase significantly 2 weeks after the addition of algal biomass under field conditions. The effects of algal additions were also compared against a control.
In wheat pots, C. vulgaris N amendments significantly increased shoot total N by the end of the experiment when compared to the controls. In terms of the efficiency of use, C. vulgaris biomass was shown to have modest effects on the plant shoot N pools, with only a small percentage (~2%) taken up by the wheat plant shoots. This was smaller in comparison to the control (5%). These results were unexpected, especially with respect to the control where no nitrogen was added, and can be explained by either nitrogen fixation (in the control pots) by free-living bacteria in the soils or by inherent errors involved in sampling and measuring soil N pools, including soil heterogeneity and extraction errors. The highest recovery of applied algal N was assimilated into the plant biomass after 20 days, suggesting that either decomposition started within a few days following their incorporation into the soil or the algae biomass has a water-soluble fraction that was quickly taken up by the plant.
The amount of 15N recovered in the shoots was also lower in comparison to other studies. Recovery rates of 35 and 40% were reported in rice crops following the addition of Anabaena and Nostoc, respectively (both species were added in amounts to supply 40 mg N per 0.5 kg soil) [13]. Another study reported a 28% recovery rate of 15N Nostoc sp. in rice plants [14]. However, the high recovery rates in these studies could be attributed to the nature of the experiment, i.e., the use of blue-green algae that, once added to the soils in submerged water, experience the growth of biofilms and therefore are able to contribute to the soil nitrogen process through N fixation [15]. The C/N ratio of the algae biomass in our study was low (6.1), and low recovery rates in the plant were also measured. The lower observed recovery rates could be due to several processes, including NH4+ volatilization, denitrification, and gaseous emissions (NOX). Lower recovery rates could also be attributed to the uptake of inorganic N by roots and mycorrhizal fungi within roots, although the 15N in mycorrhizal hyphae in soil and other soil microorganisms should have been detected in the soil TN pools [46,47]. Several authors have reported losses of >50% of 15N tracer upon minutes after application [48]. No measurements to account for losses through denitrification and volatilisation were taken. However, in fallow pots, a build-up of NO3− occurred, thereby increasing the possibility of denitrification. Alternatively, the apparent losses of N may arise from sampling or measurement errors—the measurement of N in soil being notoriously difficult because of soil heterogeneity.
The wheat shoots under C. vulgaris treatments generally depleted the most bioavailable soil N pools (NH4+ and NO3−) over time. C. vulgaris necromass increased NO3− concentrations during the early stages (days 1–5) of decomposition before the incorporation of the algal N into the wheat shoot peaked. Conventionally, once added to the soil, the algal N is decomposed and undergoes microbial transformation to produce inorganic fractions [49]. The importance of the NO3− pools for monitoring C. vulgaris pathways through the soil was highlighted during this experiment, either because it was mineralised quickly or because it is the main form of C. vulgaris-N.
15N was actively being taken up by the plant on day 20, most likely in the form of NO3−-N, where the highest 15N tracer recovery rates were observed in wheat shoots and the lowest recovery rates were observed in the soil. Evidence of mineralisation could be seen in the increase in soil NH4+ at the start of the experiment as well as evidence of nitrification through the increase in NO3− between days 3 and 10 and a subsequent increase in plant uptake by day 20. It is also likely that soil microbes assimilated some of the produced NH4+ and NO3−. In fallow pots, total NO3− stabilised after 10 days, since the absence of a plant meant that no nitrate was taken up.
The effects of growing wheat on the soil compared to the fallow pots had modest but nonetheless important effects on the N pools and their dynamic changes over the 30-day experiment when supplied with C. vulgaris. This was demonstrated by the ability of the shoots to take up N, whereas in fallow pots, there was a build-up of mineralised nitrogen, mostly in the form of NO3−. As a nutrient management strategy, the addition of algae to fallow soil prior to the seed being sown should be considered.
The soil also retained the highest amount of 15N C. vulgaris necromass. Studies have shown that soils are stronger sinks for 15N addition than plants, and there was strong evidence for this in our experiment [50]. It was also observed that the soil retained more 15N when 15N from blue-green algal nitrogen (57.3%) was added than when 15N from ammonium sulphate (30.9%) was added [14]. The high amount of 15N C. vulgaris in the soil at the beginning of the experiment gives strong evidence that the added algae induced the immobilisation of organic N and nutrient retention by the soil microorganisms.
We hypothesized that we would see changes in the soil N communities to reflect the addition of C. vulgaris necromass to the soil. After 10 days in the pots with wheat plants, both treatments (C. vulgaris and urea) and the control had significantly higher microbial diversity (evenness) than the fallow pots. It was assumed that roots influence the taxonomic diversity of soil microbial communities, as they modify the soil rhizosphere chemistry through their secretion of carbon, fatty acids and carbohydrates as well as other organic compounds [51,52], which attract microorganisms through chemotaxis and allow them to utilize these substrates (i.e., the root microbiome).
After 30 days in the wheat-planted pots, differences in microbial community diversity increased significantly following the addition of algal necromass in comparison to the control and urea treatment. A high diversity of bacterial taxa able to colonise the organic residue might also be linked to the biochemical composition of the residue. C. vulgaris has a cell wall composed of a chitosan-like layer, cellulose, hemicellulose, proteins, lipids, and minerals [53,54] that is relatively resistant to breakdown and poses a significant barrier for the digestibility and extraction processes of all internal components [54]. In soil, it is also likely that these complex substrates are recalcitrant to degradation [55], thus requiring a larger repertoire of enzymatic degradation capability within the local microbial community to carry out this process [55].
The significant increase in bacterial diversity after 30 days was likely due to the different phyla identified. The phylum level profile under all treatments was composed of mostly Proteobacteria, followed by Actinobacteria, Firmicutes, and Bacteroidetes. C. vulgaris treatment led to a significantly higher relative abundance of Proteobacteria and Bacteroidetes when compared to the urea treatment and the control, which is likely to have driven the increase in diversity. Significant increases in Bacteroidetes, Firmicutes, and Proteobacteria, associated with the addition of C. vulgaris in a highly nutrient-enriched environment, were also reported in another study [56].
The ecological characteristics of the different taxa were compared to explain their potential roles in the degradation of C. vulgaris biomass. The soil microbial community is dominated by copiotrophs following the addition of fresh organic matter, and over time, as the organic matter content declines, the community shifts, resulting in an increase in the relative abundance of oligotrophs [55]. A similar trend was observed in this study. Proteobacteria are classed as copiotrophs and are generally found in resource-abundant conditions [57]. Not only were they the most abundant phylum present under all three treatments, but their relative abundance was also highest under C. vulgaris treatment in both the wheat and fallow pots at all three time points of the experiment. Additionally, Betaproteobacteria of the phylum Proteobacteria had a high relative abundance at the beginning (day 3) of the experiment. An enrichment of Betaproteobacteria following the addition of soluble carbon, e.g., sucrose, was observed [57]. The decrease in the relative abundance of Betaproteobacteria by day 30 also suggests that most of the soluble carbon source had been degraded. Bacteroidetes abundance was also significantly higher under C. vulgaris treatment, with the abundance increasing throughout the experiment. Bacteroidetes are part of the copiotrophic bacterial population and have also been shown to favour conditions with high substrate availability [57,58]. The significantly higher abundance of these phyla under C. vulgaris treatments suggests their ability to degrade carbon substrates. Acidobacteria from oligotrophic populations are more abundant under conditions of limited substrate availability [55,57,59,60]. This was supported by our study, where their relative abundance increased under C. vulgaris treatment throughout the duration of the experiment. Actinobacteria are also found in environments with limited nutrient availability and are responsible for the breakdown of recalcitrant organic matter [61,62]. Actinobacteria abundance was high under all treatments and decreased under C. vulgaris treatment by day 30, suggesting that any recalcitrant macromolecules had already been broken down. Firmicutes significantly decreased by day 30 and had the lowest observed abundance under C. vulgaris treatment. The Bacilli class, belonging to the phylum Firmicutes, was shown to be significantly higher under the control treatments on days 10 and 30 and lowest under the C. vulgaris treatments, which was surprising, as Bacilli are best-known for their ability to breakdown macromolecules such as cellulose [58].
Assessing differences in microbial abundance between treatments enables the prediction of changing functional processes in response to different soil treatments. However, it would be more informative to look at whether or not these changes affect a change in the functioning of these taxa. This would require alternative molecular techniques, such as metatranscriptomics or metaproteomics to identify and quantify N-related functional gene transcripts and proteins, respectively, as well as to decipher the functions of these microbial communities and their roles in the breakdown of C. vulgaris biomass. Moreover, varying the quantity of algae added would provide further insight into how this biomass affects microbial composition and function. Despite the current study showing some differences in the relative abundances of three of the dominant phyla (Proteobacteria, Bacteroidetes, and Firmicutes) between the C. vulgaris and urea treatments and the control, it is possible that the quantity of C. vulgaris could change the associated microbial community structure and functions.
5. Conclusions
This high-temporal-resolution study attempted to understand the fate and distribution of algal N input into different components of a soil–plant system. The results identified the soil as the major sink for algal N, demonstrating the high immobilisation capability of the soil microorganisms. After 20 days, there was a significant increase in algal N uptake by the plant, supporting the use of C. vulgaris as a nitrogen source. The use of 16s rRNA amplicon sequencing provided detailed and comprehensive measures of the soil microbial diversity and composition following the addition of algal necromass. The results of this study showed an increase in bacterial alpha diversity after 30 days following the addition of C. vulgaris necromass, driven by an increase in the presence of bacterial taxa conducive to breaking down the biomass.
Future work should focus on gaining further understanding of the factors affecting the microbial processes for algal decomposition, especially those pertaining to algal quality and quantity, all of which could affect the bacterial colonization and decomposition patterns. Additionally, the use of more in-depth and targeted techniques such as qPCR (to identify and quantify N-related functional genes) and metaproteomics (to identify functional attributes of microbial communities) is needed to gain a better understanding of the functional roles of the taxa involved in the degradation and cycling of C. vulgaris. This would also provide greater insights into the functional significance of C. vulgaris biomass on soil microbial communities and how these can affect not only nutrient cycling but also carbon storage and, ultimately, agricultural productivity.
Author Contributions
Conceptualization, E.A., J.R.L. and J.P.; methodology, E.A., J.R.L., A.C. and J.P.; software, E.A. and A.C.; validation, E.A., J.R.L., A.C. and J.P.; formal analysis, E.A. and A.C.; investigation, E.A.; resources, E.A.; data curation, E.A., J.R.L., A.C. and J.P.; writing—original draft preparation, E.A.; writing—review and editing, E.A., J.R.L. and J.P.; visualization, E.A. and J.P.; supervision, J.P.; project administration, J.P.; funding acquisition, J.P. All authors have read and agreed to the published version of the manuscript.
Funding
This research was funded by the Grantham Centre for Sustainable Futures.
Institutional Review Board Statement
Not applicable.
Informed Consent Statement
Not applicable.
Data Availability Statement
All data are contained within the article.
Acknowledgments
This work was supported by the Grantham Centre for Sustainable Futures and the Natural Environment Research Council (NE/K01559/1). We also thank Allan Smalley, Irene Johnson, Heather Walker, and Gemma Newsome for their help and support with data analysis.
Conflicts of Interest
The authors declare no conflict of interest. The funders had no role in the design of the study; in the collection, analyses, or interpretation of data; in the writing of the manuscript; or in the decision to publish the results.
References
- Heijboer, A.; Ten Berge, H.F.M.; De Ruiter, P.C.; Jorgensen, H.B.; Kowalchuck, G.A.; Bloen, J. Plant biomass, soil microbial community structure and nitrogen cycling under different organic amendment regimes; a 15N tracer-based approach. Appl. Soil Ecol. 2016, 107, 251–260. [Google Scholar] [CrossRef]
- Fixen, P.E.; West, F.B. Nitrogen fertilisers: Meeting contemporary challenges. Ambio J. Hum. Environ. 2002, 31, 169–176. [Google Scholar] [CrossRef] [PubMed]
- Food and Agriculture Organization of the United Nations (FAO). World Fertilizer Trends and Outlook to 2022; FAO: Rome, Italy, 2019. [Google Scholar]
- Muller, C.; Clough, T.J. Advances in understanding nitrogen flows and transformations: Gaps and research pathways. J. Agric. Sci. 2014, 152, s34–s44. [Google Scholar] [CrossRef]
- Lassaletta, L.; Billen, G.; Grizzetti, B.; Anglade, J.; Garnier, J. 50-year trends in nitrogen use efficiency of world cropping systems: The relationship between yield and nitrogen input to cropland. Environ. Res. Lett. 2014, 9, 105011. [Google Scholar] [CrossRef]
- Lopez-Pacheco, I.Y.; Silva-Nunez, A.; Garcia-Perez, J.S.; Carrillo-Nieves, D.; Salinas-Salazar, C.; Castillo-Zacarias, C.; Afewerki, S.; Barcelo, D.; Iqbal, H.N.M.; Parra-Saldivar, R. Phyco-remediation of swine wastewater as a sustainable model based on circular economy. J. Environ. Manag. 2021, 278, 111534. [Google Scholar] [CrossRef]
- Mulbry, W.; Konrad, S.; Pizarro, C.; Kebede-Westhead, E. Treatment of dairy manure effluent using freshwater algae: Algal productivity and recovery of manure nutrients using pilot-scale algal turf scrubbers. Bioresour. Technol. 2008, 99, 8137–8142. [Google Scholar] [CrossRef]
- Kangas, P.; Mulbry, W. Nutrient removal from agricultural drainage water using algal turf scrubbers and solar power. Bioresour. Technol. 2014, 152, 484–489. [Google Scholar] [CrossRef]
- Alobwede, E.; Leake, J.R.; Pandhal, J. Circular economy fertilization: Testing micro and macro algal species as soil improvers and nutrient sources for crop production in greenhouse and field conditions. Geoderma 2019, 334, 113–123. [Google Scholar] [CrossRef]
- Haynes, R.J. Fate and recovery of 15N derived from grass/clover residues when incorporated into a soil and cropped with spring or winter wheat for two succeeding seasons. Biol. Fertil. Soils 1997, 25, 130–135. [Google Scholar] [CrossRef]
- Kramer, A.W.; Doane, T.A.; Horwath, W.R.; Van Kessel, C. Short-term nitrogen-15 recovery vs. long-term total soil N gains in conventional and alternative cropping systems. Soil Biol. Biochem. 2002, 34, 43–50. [Google Scholar] [CrossRef]
- Chalk, P.M.; Craswell, E.T.; Polidoro, J.C.; Chen, D. Fate and efficiency of 15N-labelled slow–and controlled- release fertilizers. Nutr. Cycl. Agroecosyst. 2015, 102, 167–178. [Google Scholar] [CrossRef]
- Mian, M.H.; Stewart, D.P. Fate of nitrogen applied as Azolla and blue-green algae (Cyanobacteria) in waterlogged rice soils—A 15N tracer study. Plant Soil 1985, 83, 363–370. [Google Scholar] [CrossRef]
- Tirol, A.C.; Roger, P.A.; Watanabe, I. Fate of nitrogen from a blue-green alga in a flooded rice soil. Soil Sci. Plant Nutr. 1982, 4, 559–569. [Google Scholar] [CrossRef]
- Thind, H.S.; Rowell, D.L. The fate of algal nitrogen in a flooded soil system. Nutr. Cycl. Agroecosyst. 1999, 55, 89–94. [Google Scholar] [CrossRef]
- Robinson, R.A.; Sutherland, W.J. Post-war changes in arable farming and biodiversity in Great Britain. J. Appl. Ecol. 2002, 39, 157–176. [Google Scholar] [CrossRef] [Green Version]
- Gregory, A.S.; Ritz, K.; McGrath, S.P.; Quinton, J.N.; Goulding, K.W.T.; Jones, R.J.A.; Harris, J.A.; Bol, R.; Wallace, P.; Pilgrim, E.S.; et al. A review of the impacts of degradation threats on soil properties in the UK. Soil Use Manag. 2015, 31, 1–15. [Google Scholar] [CrossRef] [PubMed] [Green Version]
- Guhra, T.; Stolze, K.; Totsche, K.U. Pathways of biogenically excreted organic matter into soil aggregates. Soil Biol. Biochem. 2022, 164, 108483. [Google Scholar] [CrossRef]
- Sarker, J.R.; Singh, B.P.; Dougherty, W.J.; Fang, Y.; Badgery, W.; Hoyle, F.C.; Dalal, R.C.; Cowie, A.L. Impact of agricultural management practices on the nutrient supply potential of soil organic matter under long-term farming systems. Soil Tillage Res. 2018, 175, 71–81. [Google Scholar] [CrossRef]
- Leloup, J.; Baude, M.; Nunan, N.; Meriguet, J.; Dajoz, I.; Le Roux, X.; Raynaud, X. Unravelling the effects of plant species diversity aboveground litter input on soil bacterial communities. Geoderma 2018, 317, 1–7. [Google Scholar] [CrossRef]
- Wang, M.; Chen, L.; Li, Y.; Chen, L.; Liu, X.; Wang, X.; Xan, P.; Qin, S. Responses of soil microbial communities to a short-term application of seaweed fertiliser by deep amplicon sequencing. Appl. Soil Ecol. 2018, 125, 288–296. [Google Scholar] [CrossRef]
- Haslam, S.F.I.; Hopkins, D.W. Physical and biological effects of kelp (seaweed) added to soil. Appl. Soil Ecol. 1996, 3, 257–261. [Google Scholar] [CrossRef]
- Haroun, S.A.; Hussein, M.H. The promotive effect of algal biofertilizers on growth, protein pattern and some metabolic activities of Lupinus termis plants grown in siliceous soil. Asian J. Plant Sci. 2003, 2, 944–951. [Google Scholar] [CrossRef] [Green Version]
- Alam, M.Z.; Braun, G.; Norrie, J.; Hodges, D.M. Ascophyllum extract application can promote plant growth and root yield in carrot associated with increased root-zone soil microbial activity. Can. J. Plant Sci. 2014, 94, 337–348. [Google Scholar] [CrossRef] [Green Version]
- Grzesik, M.; Romanowska-Duda, Z.; Kalaji, H.M. Effectiveness of cyanobacteria and green algae in enhancing the photosynthetic performance and growth of willow (Salix viminalis L.) plants under limited synthetic fertilizers application. Photosynthetica 2017, 55, 510–521. [Google Scholar] [CrossRef]
- Kumar, A.; Bera, S. Revisiting nitrogen utilization in algae: A review on the process of regulation and assimilation. Bioresour. Technol. Rep. 2020, 12, 100584. [Google Scholar] [CrossRef]
- Barraclough, D. The use of mean pool abundances to interpret 15N tracer experiments. Plant Soil 1991, 131, 89–96. [Google Scholar] [CrossRef]
- Turner, T.R.; Ramakrishnan, K.; Walshaw, J.; Heavens, D.; Alston, M.; Swarbreck, D.; Osbourn, A.; Grant, A.; Poole, P.S. Comparative metatranscriptomics reveals kingdom level changes in the rhizosphere microbiome of plants. ISME J. 2013, 7, 2248–2258. [Google Scholar] [CrossRef] [Green Version]
- Bold, H.C. The morphology of Chlamydomonas Chlamydogama, sp. Nov. Bull. Torrey Bot. Club 1949, 76, 101–108. [Google Scholar] [CrossRef]
- Anderson, R. Algal Culturing Techniques; Elsevier: London, UK, 2005; p. 437. [Google Scholar]
- Cranfield University. The Soils Guide. Available online: www.landis.org.uk (accessed on 24 September 2017).
- Mulvaney, R.L. Nitrogen-Inorganic forms. In Methods of Soil Analysis: Part 3. Chemical Methods; Sparksed, D.L., Page, A.L., Helmke, P.A., Loeppert, R.H., Eds.; Book Series No.5 1123-84; SSSA Soil Science Society of America and Agronomy Society of America: Madison, WI, USA, 1996. [Google Scholar]
- BS EN ISO 13395:1996; Water Quality. Determination of Nitrite Nitrogen and Nitrate Nitrogen and the Sum of Both by Flow Analysis (CFA and FIA) and Spectrometric Detection, 1996. (Under review). Available online: https://www.iso.org/committee/52846.html (accessed on 10 June 2022).
- BS EN ISO 11732:2005; Water Quality. Determination of Ammonium Nitrogen. Method by Flow Analysis (CFA and FIA) and Spectrometric Detection, (Confirm). 2005. Available online: https://www.iso.org/standard/38924.html (accessed on 10 June 2022).
- Brooks, P.D.; Stark, J.M.; Mcinteer, B.B.; Preston, T. Diffusion method to prepare soil extracts for automated nitrogen-15 analysis. Soil Sci. Soc. Am. J. 1989, 53, 1707–1711. [Google Scholar] [CrossRef]
- Stark, J.M.; Hart, S.C. Diffusion technique for preparing salt solutions, Kjeldahl digests, and persulfate digests for nitrogen-15 analysis. Soil Sci. Soc. Am. J. 1996, 60, 1846–1855. [Google Scholar] [CrossRef]
- Sainju, U.M. Determination of nitrogen balance in agroecosystems. MethodsX 2017, 4, 199–208. [Google Scholar] [CrossRef] [PubMed]
- Bagherzadeh, A.; Brumme, R.; Beese, F. The fate of 15N-labeled nitrogen inputs to pot cultured beech seedlings. J. For. Res. 2009, 20, 314–322. [Google Scholar] [CrossRef] [Green Version]
- Braun, J.; Mooshammer, M.; Wanek, W.; Prommer, J.; Walker, T.W.N.; Rutting, T.; Richter, A. Full 15N tracer accounting to revisit major assumptions of 15N isotope pool dilution approaches for gross nitrogen mineralization. Soil Biol. Biochem. 2018, 117, 16–26. [Google Scholar] [CrossRef] [PubMed]
- Quan, Z.; Huang, B.; Lu, C.; Shi, Y.; Chen, X.; Zhang, H.; Fang, Y. The fate of fertilizer nitrogen in a high nitrate accumulated agricultural soil. Sci. Rep. 2016, 6, 21539. [Google Scholar] [CrossRef] [PubMed]
- Caporaso, J.G.; Bittinger, K.; Bushman, F.D.; Desantis, T.Z.; Andersen, G.L.; Knight, R. PyNAST: A flexible tool for aligning sequences to a template alignment. Bioinformatics 2010, 26, 266–267. [Google Scholar] [CrossRef] [PubMed] [Green Version]
- Wang, Q.; Garrity, G.M.; Tiedje, J.M.; Cole, J.R. Naïve bayesian classifier for rapid assignment of rRNA sequences into the new bacterial taxonomy. Appl. Environ. Microbiol. 2007, 73, 5261–5267. [Google Scholar] [CrossRef] [PubMed] [Green Version]
- Mcmurdie, P.J.; Holmes, S. Phyloseq: An R package for reproducible interactive analysis and graphics of microbiome census data. PLoS ONE 2013, 8, e61217. [Google Scholar] [CrossRef] [Green Version]
- Simpson, E.H. Measurement of diversity. Nature 1949, 163, 163–688. [Google Scholar] [CrossRef]
- Shannon, C.E. A mathematical theory of communication. Bell Syst. Tech. J. 1948, 27, 379–423. [Google Scholar] [CrossRef] [Green Version]
- Rutting, T.; Huygens, D.; Staelens, J.; Muller, C.; Pascal, B. Advances in 15N–tracing experiments: New labeling and data analysis approaches. Biochem. Soc. Trans. 2011, 39, 279–283. [Google Scholar] [CrossRef] [Green Version]
- Holbeck, B.; Amelung, W.; Wolf, A.; Sudekum, K.-H.; Schloter, M.; Welp, G. Recoveries of 15N-labelled fertilizers (chicken manure, mushroom compost and potassium nitrate) in arable topsoil after autumn application to winter cover crops. Soil Tillage Res. 2013, 130, 120–127. [Google Scholar] [CrossRef]
- Morier, I.; Schleppi, P.; Siegwolf, R.; Kicker, H.; Guenat, C. 15N immobilization in forest soil: A sterilization experiment coupled with 15CPMAS NMR spectroscopy. Eur. J. Soil Sci. 2008, 59, 467–475. [Google Scholar] [CrossRef] [Green Version]
- Piatek, K.B. The fate of nitrogen mineralized from leaf litter–initial evidence from 15N-labeled litter. In Proceedings of the 17th Central Hardwood Forest Conference, Lexington, KY, USA, 5–7 April 2010; Fei, S., Lhotka, J.M., Stringer, J.W., Gottschalk, K.W., Miller, G.W., Eds.; Gen. Tech. Rep. NRS-P-78. U.S. Department of Agriculture, Forest Service, Northern Research Station: Newtown Square, PA, USA, 2010; pp. 164–176. [Google Scholar]
- Nadelhoffer, K.J.; Downs, M.R.; Fry, B. Sinks for 15N-enriched additions to an oak forest and a red pine plantation. Ecol. Appl. 1999, 9, 72–86. [Google Scholar] [CrossRef]
- Cheng, W.; Coleman, D.C. Effect of living roots on soil organic matter decomposition. Soil Biol. Biochem. 1990, 22, 781–787. [Google Scholar] [CrossRef]
- Rohrbacher, F.; St-Arnaud, M. Root exudation: The ecological driver of hydrocarbon rhizoremediation. Agronomy 2016, 6, 19. [Google Scholar] [CrossRef]
- Griffiths, D.A.; Griffiths, D.J. The fine structure of autotrophic and heterotrophic cells of Chlorella vulgaris (Emerson strain). Plant Cell Physiol. 1969, 10, 11–19. [Google Scholar]
- Safi, C.; Zebib, B.; Merah, O.; Potalier, P.-Y.; Vaca-Garcia, C. Morphology, composition, production, processing and applications of Chlorella vulgaris: A review. Renew. Sustain. Energy Rev. 2014, 35, 265–278. [Google Scholar] [CrossRef] [Green Version]
- Bastian, F.; Bouzri, L.; Nicolardot, B.; Ranjard, L. Impact of wheat straw decomposition on successional patters of soil microbial community structure. Soil Biol. Biochem. 2009, 41, 262–275. [Google Scholar] [CrossRef]
- Morrison, J.M.; Murphy, C.L.; Baker, K.; Zamor, R.M.; Nikolai, S.J.; Wilder, S.; Elshahed, M.S.; Youssef, N.H. Microbial communities mediating algal detritus turnover under anaerobic conditions. PeerJ 2017, 5, e2803. [Google Scholar] [CrossRef] [Green Version]
- Fierer, N.; Bradford, M.A.; Jackson, R.B. Toward an ecological classification of soil bacteria. Ecology 2007, 88, 1354–1364. [Google Scholar] [CrossRef]
- Hou, J.; Li, M.; Mao, X.; Hao, Y.; Ding, J.; Liu, D.; Xi, B.; Liu, H. Response of microbial community of organic-matter-impoverished arable soil to long term application of soil conditioner derived from dynamic rapid fermentation of food waste. PLoS ONE 2017, 12, e0175715. [Google Scholar] [CrossRef] [PubMed]
- Chen, L.; Zhang, J.; Zhao, B.; Yan, P.; Zhou, G.; Xin, X. Effects of straw amendment and moisture on microbial communities in Chinese fluvo-aquic soil. J. Soil Sediment 2014, 14, 1829–1840. [Google Scholar] [CrossRef]
- Pascault, N.; Ranjard, L.; Kaisermann, A.; Bachar, D.; Christen, R.; Terrat, S.; Mathieu, O.; Leveque, J.; Mougel, C.; Henault, C.; et al. Simulation of different functional groups of Bacteria by various plant residues as a driver of soil priming effect. Ecosystems 2013, 16, 810–822. [Google Scholar] [CrossRef]
- Suleiman, A.K.A.; Gonzatto, R.; Aita, C.; Lupatini, M.; Jacques, R.J.S.; Kuramae, E.E.; Antoniolli, Z.I.; Roesch, L.F.W. Temporal variability of soil microbial communities after application of dicyandiamide-treated swine slurry and mineral fertilisers. Soil Biol. Biochem. 2016, 97, 71–82. [Google Scholar] [CrossRef]
- Ventura, M.; Chanchaya, C.; Tauch, A.; Chandra, G.; Fitzgerald, G.F.; Chater, K.F.; Van Sinderen, D. Genomics of Actinobacteria: Tracing the evolutionary history of an ancient phylum. Microbiol. Mol. Biol. Rev. 2007, 71, 495–548. [Google Scholar] [CrossRef] [PubMed] [Green Version]
Publisher’s Note: MDPI stays neutral with regard to jurisdictional claims in published maps and institutional affiliations. |
© 2022 by the authors. Licensee MDPI, Basel, Switzerland. This article is an open access article distributed under the terms and conditions of the Creative Commons Attribution (CC BY) license (https://creativecommons.org/licenses/by/4.0/).









