Next Article in Journal
Nested-PCR vs. RT-qPCR: A Sensitivity Comparison in the Detection of Genetic Alterations in Patients with Acute Leukemias
Previous Article in Journal
Origin of Type II tRNA Variable Loops, Aminoacyl-tRNA Synthetase Allostery from Distal Determinants, and Diversification of Life
 
 
Font Type:
Arial Georgia Verdana
Font Size:
Aa Aa Aa
Line Spacing:
Column Width:
Background:
Article

Association of a Promoter DNA Methyltransferase 3 Gene Variant with DNA Methylation and Anthropometrics in Children from 4 to 12 Years Old

by
Janaína Kehl de Castilhos
1,
Paula Dal Bó Campagnolo
2,
Silvana Almeida
3,
Márcia Regina Vitolo
4 and
Vanessa Suñé Mattevi
1,3,*
1
Graduate Program in Pathology, Universidade Federal de Ciências da Saúde de Porto Alegre, Porto Alegre 90050-170, RS, Brazil
2
School of Health, Universidade do Vale do Rio dos Sinos, São Leopoldo 93022-750, RS, Brazil
3
Health Basic Sciences Department, Universidade Federal de Ciências da Saúde de Porto Alegre, Porto Alegre 90050-170, RS, Brazil
4
Graduate Program in Pediatrics, Child and Adolescent Health Care, Universidade Federal de Ciências da Saúde de Porto Alegre, Porto Alegre 90050-170, RS, Brazil
*
Author to whom correspondence should be addressed.
DNA 2024, 4(3), 276-284; https://doi.org/10.3390/dna4030018
Submission received: 23 July 2024 / Revised: 16 August 2024 / Accepted: 21 August 2024 / Published: 28 August 2024

Abstract

The global prevalence of obesity among adults, adolescents, and children has increased to alarming levels, making this disease a serious public health problem. The etiology of obesity is complex and multifactorial. Currently, epigenetic alterations are being investigated to understand the mechanisms of interaction between genes and environmental and behavioral risk factors involved in the genesis of obesity. In this study, we examined the association of the DNA methyltransferase 3 (DNMT3B) gene-149 C>T variant (rs2424913) genotypes with global DNA methylation and the changes in anthropometric parameters in a cohort of 171 children followed from birth to 12 years old. Genotypes were obtained using real-time polymerase chain reaction, and global DNA methylation was measured in blood samples collected at 4 years old through enzyme-linked immunosorbent assays. Our results showed that the TT genotype is associated with an increase in global methylation levels at 4 years old and higher changes in body mass index, waist circumference, subscapular subcutaneous fat, body fat mass, body lean mass, and basal metabolic rate from 4 to 12 years. Our results suggest that this promoter DNMT3B gene variant and DNA methylation can be factors relevant to the increased risk of children developing obesity at an early age.

1. Introduction

In recent decades, the prevalence of obesity and its complications has been growing rapidly and constantly. The global prevalence of obesity increased three times between 1975 and 2016, with more than 1.9 billion and 650 million overweight and obese adults in 2016, respectively [1]. The situation is as alarming among children and adolescents as it is among adults. As a result, obesity has been recognized as an important public health issue and has come to be considered a global epidemic [1,2,3,4,5].
The pathogenesis of obesity is complex and depends on the interaction between genetic, environmental, and behavioral factors [6]. It is estimated that genetic factors account for 6–85% of the heritability in excessive body weight, depending on the trait evaluated (e.g., for body mass index, the heritability was estimated between 16–85%; for waist circumference, 37–81%; for percentage body fat, 35–63%; and for waist/hip ratio, 6–30%) [2,7]. However, the already identified genetic variants explain less than 2% of this heritability [1]. In most cases, obesity is polygenic, resulting from the cumulative effects of common variations within several genes in interaction with environmental factors. In this context, attention has shifted to the assessment of the interactions between genetic variants and the obesogenic environment [1,2,6,7].
Epigenetics refers to the molecular mechanisms that regulate gene expression without changing the DNA sequence. Epigenetic changes have been proposed to underlie, at least in part, the mechanisms through which genes interact with the environment, possibly being involved in the pathogenesis of adiposity and its comorbidities. DNA methylation is currently the most understood epigenetic mechanism responsible for the regulation of gene expression and chromatin organization [2,3,8].
We have previously reported that a nutritional intervention during the first year of life in a cohort of Brazilian children that has been followed since birth is associated with global DNA methylation levels in these children [9]. This association suggests that changes in eating habits at an early stage of life, longer exclusive breastfeeding duration, lower sugar intake, and others may change the epigenetic mechanisms involved in the pathogenesis of obesity later in life.
A recent ecological study [10] evaluated the long-term health effects of early famine in 10,186,016 Soviet Ukraine births from 1930 to 1938. The researchers confirmed that people who experienced the peak famine period in the early stages of fetal development in 1933 were more than twice as likely to develop type 2 diabetes mellitus in adulthood compared to those who were not exposed to the famine. This, along with other natural experiments, supports the fetal programming theory, which suggests that exposure to poor nutrition in the womb leads to metabolic changes that adapt the body for a nutrient-deficient environment, consequently increasing the risk of metabolic disorders in a more nourishing environment. Possible mechanisms related to DNA methylation changes at the imprinted insulin-like growth factor 2 gene or candidate genes involved in metabolic disease have been proposed to underlie these effects.
DNA methylation establishment and maintenance is mediated through enzymes called DNA methyltransferases (DNMTs). Currently, 3 DNMTs are known in humans: DNMT1, DNMT2, and DNMT3. DNMT1 is responsible for maintaining and stabilizing methylation patterns during cell division, ensuring that the daughter cell preserves the parental methylation pattern. DNMT2 appears to be involved in the methylation of small RNAs. Finally, the DNMT3 family is composed of 3 classes: DNMT3a and DNMT3b, which are involved in the establishment and maintenance of de novo methylation patterns during fetal development, and DNMT3l, a methylation regulator that stimulates de novo methylation [8,11,12,13].
The DNA methyltransferase 3b (DNMT3B) gene is located on the long arm of chromosome 20 (20q11.2), including 23 exons and 22 introns. A single nucleotide polymorphism (SNP), rs2424913 (-149 C>T), has been associated with increased activity in the promoter region and increased transcription of the gene [12,13,14,15,16].
Given that changes in DNA methylation have been associated with the risk of developing cardiometabolic disorders in adulthood and that there is evidence that variation in the DNMT3B gene may be associated with methylation levels, the purpose of this article was to investigate the possible association between the DNMT3B-149 C>T (rs2424913) variant and the levels of overall methylation and the increased risk of excessive weight gain in children.

2. Materials and Methods

2.1. Study Population

The cohort of children analyzed in the present study was drawn from a randomized trial performed in their first year of life, as follows. Briefly, 500 full-term children born between 2001 and 2002 in a public Hospital in Southern Brazil were included. Home visits were used to collect anthropometric, dietary, socioeconomic, demographic, and health data. These data and biological samples for biochemical evaluation were collected from all children found at the ages of 1, 4, 8, and 12 years. Anthropometric, biochemical, and dietary data were analyzed in other studies by our group [17,18].
Anthropometric data were collected during the four phases of the study. The weights of the children were measured using a portable digital scale (Techline®; São Paulo, Brazil), and their heights were measured using a portable stadiometer (Seca®; Hamburg, Germany) with the children dressed in light clothes and no shoes. Regarding the data collection of the 3- to 4-year-old children, tricipital and subscapular skinfold thicknesses and waist circumference were measured. The body mass index (BMI) was calculated [weight (kg)/height (m)2] and transformed into BMI Z scores using the World Health Organization Growth Standards charts specific for sex and age. Children were classified as overweight when the BMI Z score was >+1.
In the subsequent data collections (8–9 and 12–13 years old), the children’s bioimpedanciometry was performed (Byodynamics 450®, Shoreline, DC, USA), obtaining body fat weight (kg), lean mass weight (kg), and basal metabolic rate (kcal/day). The bioimpedanciometry data collected from children who were not fasting for 4 h, did physical exercise in the last 24 h, drank alcohol in the last 48 h, took diuretics in the last week, girls who were menstruating, and those who did not urinate for at least 30 min before the exam were disregarded because these factors could interfere in the analyses.
Ethical approval to undertake this study was obtained from the Research Ethics Committees of the institutions involved (CAAE 18426813.4.0000.5344). All mothers of the children included in the cohort signed an informed consent form when they were invited to participate in this study.

2.2. Genetics and Epigenetics Analysis

At age 4, blood samples were drawn from the children to perform standard hematologic and biochemical analyses (blood cell counts, lipid profile, and glucose levels). The remaining blood from these analyses was used for DNA extractions.
DNA samples were obtained from peripheral leukocytes using a standard salting-out technique.
One single nucleotide polymorphism (SNP) in DNMT3B (rs2424913) with the potential to be associated with de novo methylation was selected [12,19]. This SNP was analyzed by real-time polymerase chain reaction using hydrolysis probes to discriminate genotypes (TaqMan; Applied Biosystem, Foster City, CA, USA) in a Step One Plus Real-Time PCR System (Thermo Fisher Scientific; Waltham, MA, USA).
Global DNA methylation quantification was performed by enzyme-linked immunosorbent assay using Methylflash™ Methylated DNA Quantification Kit (Colorimetric, Base Catalog # P-1034; Epigentek Group INC., Farmingdale, NY, USA). Experiments were performed following the manufacturer’s instructions using appropriate controls, and the DNA input was 80 ng per sample. In brief, sample DNA is bound to strip wells with high-affinity to DNA, and methylated DNA is detected using antibodies specific to 5-methyl cytosine (5-mC). The methylation level is quantified colorimetrically by measuring absorbance at 450 nm with a spectrophotometer. The amount of methylated DNA is directly proportional to the measured OD intensity. The absolute quantity of methylated DNA was determined using a standard curve generated by plotting OD values against five serial dilutions of control methylated DNA (0.5–10 ng), following the protocol [20]. Results were expressed in terms of percent methylation (percentage of deoxy-methyl cytosine; % dmC).

2.3. Data Analysis

The agreement of genotype frequencies distribution to Hardy-Weinberg equilibrium expectations was evaluated using the chi-square test.
Global methylation data were asymmetrically distributed and logarithmically transformed to attain a normal distribution before the statistical analyses were performed. Other continuous variables evaluated presented a normal distribution.
Analysis of variance for repeated measures was performed to evaluate the longitudinal effects of genotypes over anthropometric variables.
Independent samples Student’s T-test was used to compare the means of continuous variables of interest, such as DNA methylation and anthropometric data, between genotypes. Genotypes were grouped into carriers of the C allele (CC + CT) and homozygous for the T allele (TT) for these analyses.
Correlation analyses between DNA methylation levels and BMI were performed using the nonparametric Spearman’s correlation coefficient.
Statistical analyses were performed in SPSS version 22.0 for Windows software (IBM, Armonk, NY, USA), and differences were considered significant when p < 0.05.

3. Results

At baseline, in 2001–2002, 500 children were allocated to the study. From these, only 344 were found and presented complete data available after the fourth-year interviews in 2005–2006. For the global methylation analysis, DNA samples were available for 237 children at 4 years of age. Subsequently, only 171 DNA samples remained for analysis of the rs2424913 polymorphism. This sample consisted of 96 boys and 75 girls.
The frequency of the minor C allele for the genotyped SNP (rs2424913) was 0.44. Genotypic frequencies were CC 34 samples (17.8%), CT 99 (51.8%), and TT 58 (30.4%), and were distributed according to those expected under Hardy-Weinberg equilibrium (X2 = 0.47; p = 0.49).
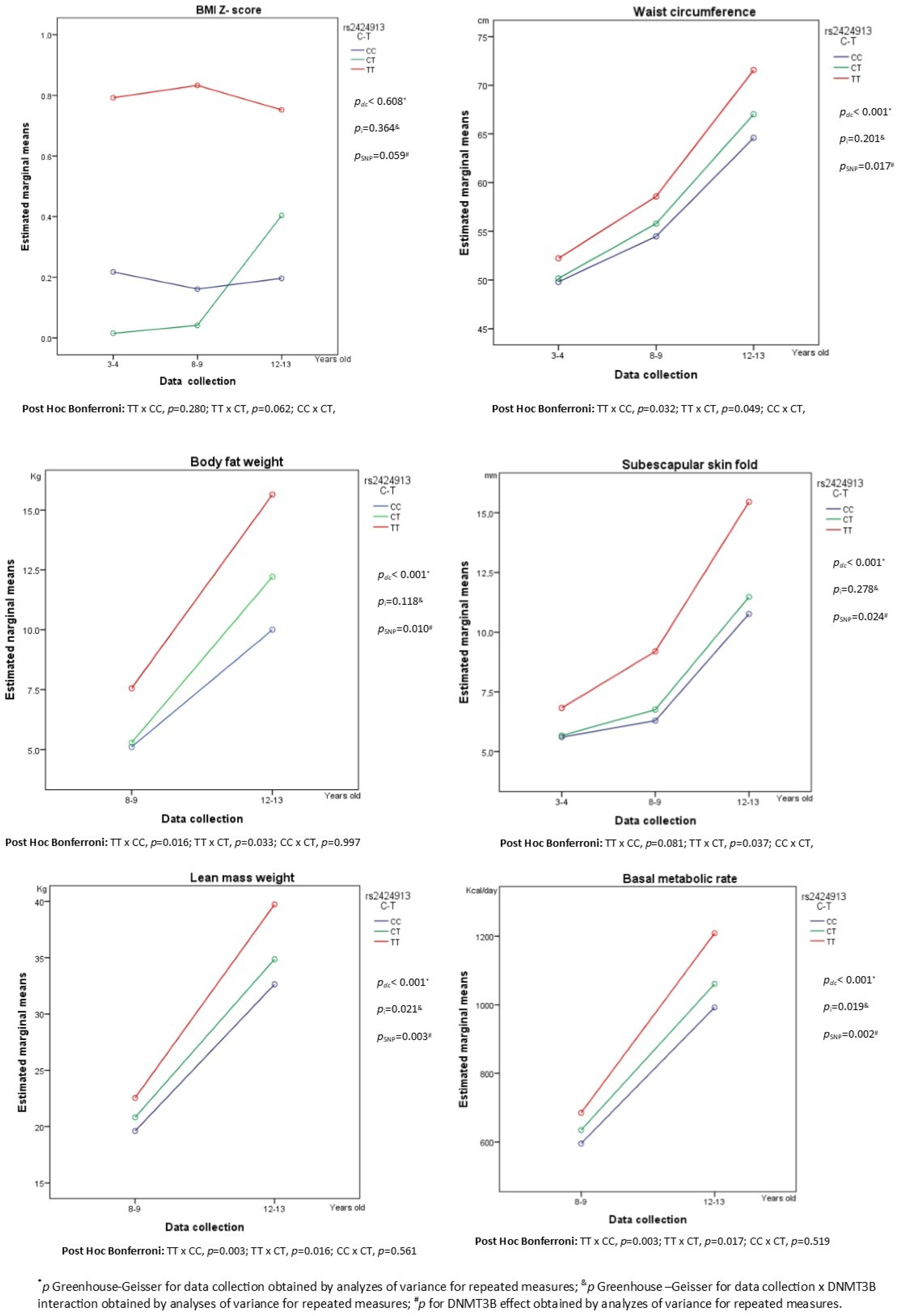
The longitudinal associations of genotypes with anthropometric measures were evaluated during the different children visits through analysis of variance for repeated measures, as shown in Figure 1. Children homozygotes for the T allele presented higher anthropometric measurements than carriers of the C allele at all ages. BMI Z scores, waist circumferences, and subscapular skinfolds were measured at 4, 8, and 12 years. For waist circumference and skinfolds, there was a significant difference among genotypes at the three time points (pSNPs = 0.017 and 0.024, respectively). For BMI Z scores, the means were marginally different (p = 0.059). Body fat weight, lean mass weight, and basal metabolic rate were measured through bioimpedanciometry at 8 and 12 years. All three measures were also higher in TT homozygotes.
Interaction analysis between sample collection time and genotypes demonstrated that the genotype effect is independent of the time of data collection for most of the characteristics evaluated (pi > 0.05). As seen in the graphs presented in Figure 1, the difference in the behavior of genotypes remained at various times of data collection.
To further explore these results, we also compared the means of these measures transversally between C-carriers and TT homozygotes at different ages through T-tests for independent samples (Table 1). These analyses confirmed the results shown in Figure 1. Children aged 4 and 8 years old with the TT genotype presented a higher mean BMI than the mean expected for their age and sex than carriers of the C allele (0.53 and 0.66 Z score units higher, respectively). However, at 12 years, the difference between the means of BMI Z scores was lower, 0.46 Z score units, and thus not significant (p = 0.146). For waist circumference, which is a surrogate for central adiposity, significant differences were obtained in all stages of the study (4 years old, 1.37 cm, p = 0.013; 8 years old, 2.33 cm, p = 0.035; 12 years old, 5.33 cm, p = 0.007). Mean subscapular skinfolds, which are a measure of subcutaneous fat, were also significantly higher at 4 (0.71 mm), 8 (1.77 mm), and 12 years (4.37 mm). Other significant differences were observed for body fat weight at 8 and 12 years old, lean mass weight, and basal metabolic rate at 12 years old. Children with the TT genotype also presented more total body fat at ages 8 (1.23 kg) and 12 (3.33 kg) and a higher lean mass (4.74 kg) and basal metabolic rate (118.24 kcal/day) at age 12.
The global methylation levels evaluated in 4-year-old children presented a significant difference between genotypic groups (p = 0.030), with the mean global methylation for the TT genotype (n = 50) being 2.13% (SD = ±1.27%) and for genotypes carrying the C allele (n = 121) being 1.78% (SD = ±1.17%). Correlation analyses between global methylation levels at 4 years old and BMI Z scores at different ages were also performed. The BMI Z score at age 4 exhibited a small but significant correlation with methylation (rSpearman = 0.152, p = 0.018). However, this correlation disappeared at 8 (rSpearman = 0.057, p = 0.401) and 12 years old (rSpearman = −0.055, p = 0.497).

4. Discussion

Factors that determine global methylation levels and their impact on human health have been the focus of considerable interest to researchers due to their possible role in the normal development of individuals as well as in the emergence of diseases. We investigated the hypothesis that a functional promoter polymorphism in the DNA methyltransferase 3 gene was related to weight gain and body fat measurements in children from birth to 12 years of age. The main result found that individuals with the homozygous TT genotype had higher measures of total body mass, body fat, and basal metabolic rate than individuals with the C allele, as well as higher levels of global methylation. The observed associations were quite consistent considering that they remained over time, and several obesity-related phenotypes were carefully evaluated.
The longitudinal analyses carried out in the present study showed that individuals homozygous for the T allele at 4 years of age have a higher BMI, waist circumference, and subcutaneous fat than individuals heterozygous for the C allele. In addition, after 8 years of age, TT individuals also had a higher lean mass, fat mass, and basal metabolic rate compared to homozygous individuals for the C allele and heterozygous individuals, whose anthropometric variables were quite similar for BMI. The effect of the TT genotype on BMI seems to be reduced at 12 years of age, when it lost its significance. However, it is clear that the effect of the rs2424913 polymorphism is significant for all the variables analyzed, and the difference between the effects of the genotypes remains over time in separate phases of the study. To clarify whether this effect remains throughout the lifetime, it is of paramount importance to follow up on this sample and to verify the impact of this gene variant in other samples of adolescents and adults.
Potter et al. (2013) evaluated two polymorphisms located in DNMT1 and eight variants located in the DNMT3 gene in a sample of 333 newborns from the UK and found that the rs2424913 SNP had the greatest association with global methylation levels [21]. The association reported by them was in the same direction as that reported herein, with individuals with the T allele presenting higher methylation levels. These authors also found an association between the maternal genotype for this polymorphism and the levels of overall methylation of children at birth.
Hervouet et al. [13] demonstrated experimentally that DNMT3b interacts with 52 transcription factors fixed on membranes and hypothesized that this interaction is crucial for this enzyme to exert its function catalyzing site-specific hypermethylation in target genes. Among the 27 transcription factors with stronger interactions with DNMT3b is PPARγ. By using a cellular assay, they also confirmed the presence in glioma cells of direct interaction between DNMT3b and PPARγ. This transcription factor has been strongly associated with obesity-related phenotypes, including a study performed by our group [22]. Therefore, it is possible that DNMT3b, acting together with different transcription factors, regulates the expression of target genes involved in the regulation of body fat accumulation. As more than 500 gene variants that influence BMI have been associated with this phenotype through genome-wide association studies, most of them non-coding and likely to act through regulating genes nearby [23], functional studies regarding these interactions would bring clarity to these mechanisms.
Shen et al. (2002) demonstrated that the rs2424913 T allele is functional, causing an increase in the activity of the DNMT3B gene, which is also in line with our findings [24]. In 2016, another study suggested that increased expression of DNMT3b contributes to the dysregulation of adipose tissue, inflammation, and insulin resistance in obesity and that this fact is associated with increased methylation again, reaffirming the link between the altered expression of DNMT3b, methylation defects, and obesity predisposition [19]. We were not able to find studies reporting whether the investigated SNP can alter the binding of specific transcription factors. However, according to Liu et al. [25], in vitro assays have shown that this SNP results in a 30% increase in the promoter activity of DNMT3b. The authors hypothesized that the T allele enhances DNMT3b expression, leading to an increased tendency for abnormal de novo methylation of CpG sites in target genes. Xiao et al. [26] assessed DNMT3b promoter activity in two pancreatic cancer cell lines. Transient transfection experiments using luciferase assays revealed that the promoter activity of the DNMT3B construct with the -149T allele was greater than that of the construct containing the -149C allele. Several other studies associated the T allele with deleterious phenotypes, as childhood chronic immune thrombocytopenia [12], lung cancer [24], and prostate cancer [27]. We believe that this evidence strongly argues for a functional effect of the SNP in the expression of the DNMT3B gene, although the transcription factors involved remain to be elucidated.
We found a significant association between the T allele and the increase in global methylation levels at 4 years of age in the present sample, which corroborates the evidence of functionality of this SNP. These methylation levels were significantly correlated with BMI at this age. However, there was no correlation between the levels of global methylation and the increase in anthropometric measures described here at 8 and 12 years of age. Unfortunately, there were no biological samples available at these ages to analyze methylation levels; therefore, they were only assessed at age 4. Therefore, we could not estimate the genotype associations with DNA methylation in later ages. We were able to verify that the BMI Z score at age 4 exhibited a small but significant correlation with methylation (rSpearman = 0.152, p = 0.018). However, this correlation disappeared at 8 (rSpearman = 0.057, p = 0.401) and 12 years old (rSpearman = −0.055, p = 0.497). As the correlation is not very strong at the age of 4, we cannot rule out that this loss of significance is due to the smaller number of samples at ages 8 and 12, due to the expected losses in follow-up of some children during the study. Another limitation of the present study is that global methylation is a nonspecific measurement, and the ELISA method we used is not the gold standard for performing these analyses. Therefore, the present study does not allow us to infer which genes are the target of DNA methyltransferase 3 and whether they are hypermethylated or hypomethylated in obesity. An in-depth investigation of the methylome in the present and other cohorts may clarify the mechanism of the association between the studied variant and the risk of weight gain in children.

5. Conclusions

In light of these facts, we conclude that the associations found in this study, as well as the reports from previous studies, corroborate that the TT genotype of rs2424913 is associated with increases in activity in the DNMT3b gene promoter region, probably leading to increases in global methylation levels and changing anthropometric characteristics associated with an increased risk of developing obesity in children.
Further studies are needed to understand the mechanisms by which methylation changes are involved in the development of obesity, but our findings reinforce the evidence that the best time for any intervention to alter these epigenetic mechanisms and prevent the development of obesity is at the beginning of life.

Author Contributions

J.K.d.C. conducted the laboratory experiments, analyzed the data, and wrote the manuscript, under the supervision of V.S.M.; V.S.M., P.D.B.C., S.A., and M.R.V. performed the Project administration, conceived and designed the study, and collected and stored data and samples. All authors have read and agreed to the published version of the manuscript.

Funding

This research was funded by grants from the Conselho Nacional de Desenvolvimento Científico e Tecnológico (CNPq, Brazil, grant 408426/2016-0) and the Fundação de Amparo à Pesquisa do Estado do Rio Grande do Sul (FAPERGS, Brazil, grant 13/1238-7). J.K.C. received a scholarship from Coordenação de Aperfeiçoamento de Pessoal de Nível Superior (CAPES, Brazil).

Institutional Review Board Statement

The study was conducted in accordance with the Declaration of Helsinki, and approved by the Ethics Committee of UNISINOS and UFCSPA (CAAE 18426813.4.0000.5344, approval date 26 September 2013).

Informed Consent Statement

Informed consent was obtained from the mothers of all subjects involved in the study.

Data Availability Statement

The data presented in this study are available on request from the corresponding author due to the involvement of a vulnerable group.

Conflicts of Interest

The authors declare no conflicts of interest. The funders had no role in the design of the study; in the collection, analyses, or interpretation of data; in the writing of the manuscript; or in the decision to publish the results.

Correction Statement

This article has been republished with a minor correction of the information included in the Institutional Review Board Statement. This change does not affect the scientific content of the article.

References

  1. Loos, R.J.F.; Yeo, G.S.H. The genetics of obesity: From discovery to biology. Nat. Rev. Genet. 2022, 23, 120–133. [Google Scholar] [CrossRef] [PubMed]
  2. Houde, A.A.; Legare, C.; Biron, S.; Lescelleur, O.; Biertho, L.; Marceau, S.; Tchernof, A.; Vohl, M.C.; Hivert, M.F.; Bouchard, L. Leptin and adiponectin DNA methylation levels in adipose tissues and blood cells are associated with BMI, waist girth and LDL-cholesterol levels in severely obese men and women. BMC Med. Genet. 2015, 16, 29. [Google Scholar] [CrossRef]
  3. Samblas, M.; Milagro, F.I.; Martinez, A. DNA methylation markers in obesity, metabolic syndrome, and weight loss. Epigenetics 2019, 14, 421–444. [Google Scholar] [CrossRef] [PubMed]
  4. Swinburn, B.A.; Sacks, G.; Hall, K.D.; McPherson, K.; Finegood, D.T.; Moodie, M.L.; Gortmaker, S.L. The global obesity pandemic: Shaped by global drivers and local environments. Lancet 2011, 378, 804–814. [Google Scholar] [CrossRef]
  5. Tylavsky, F.A.; Ferrara, A.; Catellier, D.J.; Oken, E.; Li, X.; Law, A.; Dabelea, D.; Rundle, A.; Gilbert-Diamond, D.; Hivert, M.F.; et al. Understanding childhood obesity in the US: The NIH environmental influences on child health outcomes (ECHO) program. Int. J. Obes. 2019, 44, 617–627. [Google Scholar] [CrossRef]
  6. Ells, L.J.; Campbell, K.; Lidstone, J.; Kelly, S.; Lang, R.; Summerbell, C. Prevention of childhood obesity. Best Practice & Research. Cli Endocrinol. Metab. 2005, 19, 441–454. [Google Scholar]
  7. Yang, W.; Kelly, T.; He, J. Genetic epidemiology of obesity. Epidemiol. Rev. 2007, 29, 49–61. [Google Scholar] [CrossRef]
  8. Gagliardi, M.; Strazzullo, M.; Matarazzo, M.R. DNMT3B Functions: Novel Insights From Human Disease. Front. Cell Dev. Biol. 2018, 6, 140. [Google Scholar] [CrossRef]
  9. Castilhos, J.K.; Campagnolo, P.D.B.; Almeida, S.; Vitolo, M.R.; Mattevi, V.S. Impact of maternal dietary counseling in the first year of life on DNA methylation in a cohort of children. Genet. Mol. Biol. 2021, 44, e20200330. [Google Scholar] [CrossRef]
  10. Lumey, L.H.; Li, C.; Khalangot, M.; Levchuk, N.; Wolowyna, O. Fetal exposure to the Ukraine famine of 1932–1933 and adult type 2 diabetes mellitus. Science 2024, 385, 667–671. [Google Scholar] [CrossRef]
  11. Chen, T.; Ueda, Y.; Dodge, J.E.; Wang, Z.; Li, E. Establishment and maintenance of genomic methylation patterns in mouse embryonic stem cells by Dnmt3a and Dnmt3b. Mol. Cell Biol. 2003, 23, 5594–5605. [Google Scholar] [CrossRef] [PubMed]
  12. Gouda, H.M.; Kamel, N.M.; Meshaal, S.S. Association of DNA Methyltransferase 3B Promotor Polymorphism With Childhood Chronic Immune Thrombocytopenia. Lab. Med. 2016, 47, 312–317. [Google Scholar] [CrossRef] [PubMed]
  13. Hervouet, E.; Vallette, F.M.; Cartron, P.F. Dnmt3/transcription factor interactions as crucial players in targeted DNA methylation. Epigenetics 2009, 4, 487–499. [Google Scholar]
  14. Barisic, A.; Kolak, M.; Peterlin, A.; Tul, N.; Gasparovic Krpina, M.; Ostojic, S.; Peterlin, B.; Pereza, N. DNMT3B rs1569686 and rs2424913 gene polymorphisms are associated with positive family history of preterm birth and smoking status. Croat. Med. J. 2020, 61, 8–17. [Google Scholar] [CrossRef]
  15. Cai, T.T.; Zhang, J.; Wang, X.; Song, R.H.; Qin, Q.; Muhali, F.S.; Zhou, J.Z.; Xu, J.; Zhang, J.A. Gene-gene and gene-sex epistatic interactions of DNMT1, DNMT3A and DNMT3B in autoimmune thyroid disease. Endocr. J. 2016, 63, 643–653. [Google Scholar] [CrossRef][Green Version]
  16. Duan, F.; Cui, S.; Song, C.; Dai, L.; Zhao, X.; Zhang, X. Systematic evaluation of cancer risk associated with DNMT3B polymorphisms. J. Cancer Res. Clin. Oncol. 2015, 141, 1205–1220. [Google Scholar] [CrossRef] [PubMed]
  17. Costa, C.S.; Campagnolo, P.D.; Lumey, L.H.; Vitolo, M.R. Effect of maternal dietary counselling during the 1st year of life on glucose profile and insulin resistance at the age of 8 years: A randomised field trial. Br. J. Nutr. 2017, 117, 134–141. [Google Scholar] [CrossRef]
  18. Vitolo, M.R.; Bortolini, G.A.; Feldens, C.A.; Drachler, M.L. Impacts of the 10 Steps to Healthy Feeding in Infants: A randomized field trial. Cad. Saud. Publ. 2005, 21, 1448–1457. [Google Scholar] [CrossRef]
  19. Ciccarone, F.; Malavolta, M.; Calabrese, R.; Guastafierro, T.; Bacalini, M.G.; Reale, A.; Franceschi, C.; Capri, M.; Hervonen, A.; Hurme, M.; et al. Age-dependent expression of DNMT1 and DNMT3B in PBMCs from a large European population enrolled in the MARK-AGE study. Aging Cell 2016, 15, 755–765. [Google Scholar] [CrossRef]
  20. Murphy, T.M.; Mullins, N.; Ryan, M.; Foster, T.; Kelly, C.; McClelland, R.; O’Grady, J.; Corcoran, E.; Brady, J.; Reilly, M.; et al. Genetic variation in DNMT3B and increased global DNA methylation is associated with suicide attempts in psychiatric patients. Genes. Brain Behav. 2013, 12, 125–132. [Google Scholar] [CrossRef]
  21. Potter, C.; McKay, J.; Groom, A.; Ford, D.; Coneyworth, L.; Mathers, J.C.; Relton, C.L. Influence of DNMT genotype on global and site specific DNA methylation patterns in neonates and pregnant women. PLoS ONE 2013, 8, e76506. [Google Scholar] [CrossRef] [PubMed]
  22. Mattevi, V.S.; Zembrzuski, V.M.; Hutz, M.H. Effects of a PPARG gene variant on obesity characteristics in Brazil. Braz. J. Med. Biol. Res. 2007, 40, 927–932. [Google Scholar] [CrossRef] [PubMed]
  23. Hemerich, D.; Svenstrup, V.; Obrero, V.D.; Preuss, M.; Moscati, A.; Hirschhorn, J.N.; Loos, R.J.F. An integrative framework to prioritize genes in more than 500 loci associated with body mass index. Am. J. Hum. Genet. 2024, 111, 1035–1046. [Google Scholar] [CrossRef]
  24. Shen, H.; Wang, L.; Spitz, M.R.; Hong, W.K.; Mao, L.; Wei, Q. A novel polymorphism in human cytosine DNA-methyltransferase-3B promoter is associated with an increased risk of lung cancer. Cancer Res. 2002, 62, 4992–4995. [Google Scholar] [PubMed]
  25. Liu, Z.; Wang, L.; Wang, L.; Sturgis, E.M.; Wei, Q. Polymorphisms of the DNMT3B gene and risk of squamous cell carcinoma of the head and neck: A case-control study. Cancer Lett. 2008, 268, 158–165. [Google Scholar] [CrossRef]
  26. Xiao, Y.; Word, B.; Hammons, G.; Lyn-Cook, B. Transcriptional activity of DNMT3B in pancreatic cancer cells: Effects of -149 (C>T) promoter polymorphism. Biochem. Biophys. Res. Comm. 2011, 415, 220–223. [Google Scholar] [CrossRef]
  27. Singal, R.; Das, P.M.; Manoharan, M.; Reis, I.M.; Schlesselman, J.J. Polymorphisms in the DNA methyltransferase 3B gene and prostate cancer risk. Oncol. Rep. 2005, 14, 569–573. [Google Scholar] [CrossRef]
Figure 1. Longitudinal changes in anthropometric measurements and basal metabolic rate in children from 4 to 12 years according to DNMT3 genotypes.
Figure 1. Longitudinal changes in anthropometric measurements and basal metabolic rate in children from 4 to 12 years according to DNMT3 genotypes.
Dna 04 00018 g001
Table 1. Comparison of anthropometric measurements and global DNA methylation between genotypes at different ages.
Table 1. Comparison of anthropometric measurements and global DNA methylation between genotypes at different ages.
Characteristics/Genotypes4 Years Old8 Years Old12 Years Old
nMean ± SDpnMean ± SDpnMean ± SDp
BMI Z scoreCC + CT1250.07 ± 0.870.0141150.11 ± 1.050.002840.33 ± 1.260.146
TT570.60 ± 1.38470.77 ± 1.66300.79 ± 1.91
Waist circumference (cm)CC + CT12250.19 ± 2.730.01311555.57 ± 4.830.0358366.23 ± 8.020.007
TT5751.56 ± 4.604857.90 ± 8.423171.56 ± 11.84
Subscapular skinfold (mm)CC + CT1215.59 ± 1.650.0751156.86 ± 3.360.0178411.08 ± 7.510.014
TT576.30 ± 3.63488.63 ± 5.973115.45 ± 10.19
Body fat weight (kg)CC + CT N.A. 1135.30 ± 2.180.0117411.76 ± 5.940.029
TT N.A.476.53 ± 3.772515.09 ± 7.92
Lean mass weight (kg)CC + CT N.A. 11220.72 ± 3.010.2327434.35 ± 6.190.003
TT N.A.4721.42 ± 3.502539.09 ± 8.22
Basal metabolic rate (kcal/day)CC + CT N.A. 113631 ± 920.260741039 ± 1770.005
TT N.A.47651 ± 107251157 ± 239
Global Methylation (%)CC + CT1211.78 ± 1.170.030 N.A. N.A.
TT502.13 ± 1.27 N.A. N.A.
p-values obtained by Student’s T-test for independent samples. p for global methylation was calculated with Ln-transformed variable. N.A. = not available for this age.
Disclaimer/Publisher’s Note: The statements, opinions and data contained in all publications are solely those of the individual author(s) and contributor(s) and not of MDPI and/or the editor(s). MDPI and/or the editor(s) disclaim responsibility for any injury to people or property resulting from any ideas, methods, instructions or products referred to in the content.

Share and Cite

MDPI and ACS Style

de Castilhos, J.K.; Campagnolo, P.D.B.; Almeida, S.; Vitolo, M.R.; Mattevi, V.S. Association of a Promoter DNA Methyltransferase 3 Gene Variant with DNA Methylation and Anthropometrics in Children from 4 to 12 Years Old. DNA 2024, 4, 276-284. https://doi.org/10.3390/dna4030018

AMA Style

de Castilhos JK, Campagnolo PDB, Almeida S, Vitolo MR, Mattevi VS. Association of a Promoter DNA Methyltransferase 3 Gene Variant with DNA Methylation and Anthropometrics in Children from 4 to 12 Years Old. DNA. 2024; 4(3):276-284. https://doi.org/10.3390/dna4030018

Chicago/Turabian Style

de Castilhos, Janaína Kehl, Paula Dal Bó Campagnolo, Silvana Almeida, Márcia Regina Vitolo, and Vanessa Suñé Mattevi. 2024. "Association of a Promoter DNA Methyltransferase 3 Gene Variant with DNA Methylation and Anthropometrics in Children from 4 to 12 Years Old" DNA 4, no. 3: 276-284. https://doi.org/10.3390/dna4030018

APA Style

de Castilhos, J. K., Campagnolo, P. D. B., Almeida, S., Vitolo, M. R., & Mattevi, V. S. (2024). Association of a Promoter DNA Methyltransferase 3 Gene Variant with DNA Methylation and Anthropometrics in Children from 4 to 12 Years Old. DNA, 4(3), 276-284. https://doi.org/10.3390/dna4030018

Article Metrics

Back to TopTop