A Review of Biomass Pyrolysis for Production of Fuels: Chemistry, Processing, and Techno-Economic Analysis
Abstract
1. Introduction
2. Biomass to Bio-Oil Production
2.1. Pyrolysis Mechanism
2.2. Decomposition of Biomass Components
2.3. Definition of Pyrolysis and Overview of Its Chemistry

3. Types of Pyrolysis
3.1. Slow Pyrolysis
3.2. Intermediate Pyrolysis
3.3. Fast Pyrolysis
3.4. Flash Pyrolysis
3.5. Hydro-Pyrolysis
4. Biomass to Bio-Oil Process: Types of Reactors
4.1. Fixed-Bed Reactors

4.2. Fluidized Bed Reactors
4.3. Microwave Reactors
4.4. Ablative Reactors


4.5. Auger Reactor (Screw Reactor)
4.6. Free-Fall Reactor
5. Bio-Oil Upgrading
5.1. Solvent Addition
5.2. Emulsification/Emulsions
5.3. Esterification/Alcoholysis
5.4. Supercritical Fluids (SCFs)
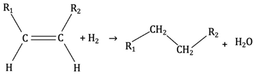
5.5. Hydrotreating/Hydro-Processing/Hydro-Refining/Hydrodeoxygenation
5.6. Hydrocracking
5.7. Catalytic Cracking
5.8. Steam Reforming
5.9. Extraction of Chemicals from Bio-Oil
6. Process Economics
6.1. Bio-Oil Production
6.1.1. Cost Components and Optimization Strategies
6.1.2. TEA Results and Economic Insights
| Source of Bio-Oil | Process | Capacity | Cost of Bio-Oil | Reference |
|---|---|---|---|---|
| Municipal sewage sludge | Pyrolysis, gas chromatography, mass spectroscopy, and Aspen Plus | 50 kg/h | 3.66 (USD/kg) | [135] |
| Napier grass bagasse | Pyrolysis and in situ hydrodeoxygenation | 49 kg/h | USD 5.81/gallon (USD 1.45/L) gasoline equivalent | [136] |
| Sludge scum | Integrated system with pyrolysis | 3.5 wet tons of scum, 265 dry tons of sludge daily | USD 1.85/gallon | [137] |
| Horse manure | Tail gas reactive pyrolysis (TGRP) | 200 metric dry ton per day | (USD 1.35–USD 1.80 L−1) of jet fuel by upgraded bio-oil | [138] |
| Pine | Pretreatment, fast pyrolysis, catalytic upgrading, and heat integration | 1000 dry metric ton per day | 4.01–4.78 USD/gal for heat-integrated process 4.70–6.84 USD/gal without heat integration | [139] |
| Sorghum bagasse, corn stove, palm kernel, and switchgrass | Regression-based chemical process model | 2000 metric tons per day (MT/d) | USD 2.5 to USD 5 per gallon | [140] |
| Beechwood | Pre-treatment and catalytic circulating fluidized bed reactor | 500 MT/day | 2.32–3.08 USD/gallons | [141] |
| Pinewood | Fast pyrolysis, hydro-processing, and economic analyzer | 72 MT/day | USD 8.47/ gallon-gasoline equivalent | [11] |
| Red oak | Fast pyrolysis and five-stage fractionation system | 2000 dry metric tons per day | USD 3.09/gallon | [142] |
| Microalgae | Pretreatment, catalytic pyrolysis, and chemical process modeling | 2000 MT per day | USD 1.49 and USD 1.80 per liter | [143] |
6.2. Bio-Oil Upgrading to Fuels and Chemicals
6.2.1. Cost Overview of Biofuel Pathways

6.2.2. Barriers to Market Viability
6.2.3. Case Studies and Economic Insights
7. Discussion and Policy Outlook
8. Leading Biomass Companies in the World
9. Conclusions
Author Contributions
Funding
Data Availability Statement
Conflicts of Interest
References
- Amenaghawon, A.N.; Anyalewechi, C.L.; Okieimen, C.O.; Kusuma, H.S. Biomass pyrolysis technologies for value-added products: A state-of-the-art review. Environ. Dev. Sustain. 2021, 23, 14324–14378. [Google Scholar] [CrossRef]
- Bridgewater, A. Biomass fast pyrolysis. Therm. Sci. 2004, 8, 21–50. [Google Scholar] [CrossRef]
- Czernik, S.; Bridgwater, A.V. Overview of Applications of Biomass Fast Pyrolysis Oil. Energy Fuels 2004, 18, 590–598. [Google Scholar] [CrossRef]
- Boran, F.E. A new approach for evaluation of renewable energy resources: A case of Turkey. Energy Sources Part B Econ. Plan. Policy 2018, 13, 196–204. [Google Scholar] [CrossRef]
- Nachenius, R.W.; Ronsse, F.; Venderbosch, R.H.; Prins, W. Biomass Pyrolysis. In Advances in Chemical Engineering; Elsevier: Amsterdam, The Netherlands, 2013; Volume 42, pp. 75–139. [Google Scholar] [CrossRef]
- Tabakaev, R.; Kanipa, I.; Astafev, A.; Dubinin, Y.; Yazykov, N.; Zavorin, A.; Yakovlev, V. Thermal enrichment of different types of biomass by low-temperature pyrolysis. Fuel 2019, 245, 29–38. [Google Scholar] [CrossRef]
- Naik, S.N.; Goud, V.V.; Rout, P.K.; Dalai, A.K. Production of first and second generation biofuels: A comprehensive review. Renew. Sustain. Energy Rev. 2010, 14, 578–597. [Google Scholar] [CrossRef]
- Bridgwater, A.V. Review of fast pyrolysis of biomass and product upgrading. Biomass Bioenergy 2012, 38, 68–94. [Google Scholar] [CrossRef]
- Ghenai, C.; Inayat, A.; Shanableh, A.; Al-Sarairah, E.; Janajreh, I. Combustion and emissions analysis of Spent Pot lining (SPL) as alternative fuel in cement industry. Sci. Total Environ. 2019, 684, 519–526. [Google Scholar] [CrossRef]
- Shahbaz, M.; Yusup, S.; Pratama, A.; Inayat, A.; Patrick, D.O.; Ammar, M. Parametric Study and Optimization of Methane Production in Biomass Gasification in the Presence of Coal Bottom Ash. Procedia Eng. 2016, 148, 409–416. [Google Scholar] [CrossRef]
- Shemfe, M.B.; Gu, S.; Ranganathan, P. Techno-economic performance analysis of biofuel production and miniature electric power generation from biomass fast pyrolysis and bio-oil upgrading. Fuel 2015, 143, 361–372. [Google Scholar] [CrossRef]
- Mortensen, P.M.; Grunwaldt, J.-D.; Jensen, P.A.; Knudsen, K.G.; Jensen, A.D. A review of catalytic upgrading of bio-oil to engine fuels. Appl. Catal. Gen. 2011, 407, 1–19. [Google Scholar] [CrossRef]
- Oasmaa, A.; Czernik, S. Fuel Oil Quality of Biomass Pyrolysis OilsState of the Art for the End Users. Energy Fuels 1999, 13, 914–921. [Google Scholar] [CrossRef]
- Kan, T.; Strezov, V.; Evans, T.J. Lignocellulosic biomass pyrolysis: A review of product properties and effects of pyrolysis parameters. Renew. Sustain. Energy Rev. 2016, 57, 1126–1140. [Google Scholar] [CrossRef]
- Puri, L.; Hu, Y.; Naterer, G. Critical review of the role of ash content and composition in biomass pyrolysis. Front. Fuels 2024, 2, 1378361. [Google Scholar] [CrossRef]
- Östman, B.; Rydholm, D. National Fire Regulations in Relation to the Use of Wood in European and Some Other Countries; Trätek Publication No. 0212044; Trätek: Frankfurt am Main, Germany, 2002; 57p. [Google Scholar]
- Fahmy, T.Y.A.; Fahmy, Y.; Mobarak, F.; El-Sakhawy, M.; Abou-Zeid, R.E. Biomass pyrolysis: Past, present, and future. Environ. Dev. Sustain. 2020, 22, 17–32. [Google Scholar] [CrossRef]
- Dhyani, V.; Bhaskar, T. A comprehensive review on the pyrolysis of lignocellulosic biomass. Renew. Energy 2018, 129, 695–716. [Google Scholar] [CrossRef]
- Kiel, J.H.A.; Van Paasen, S.V.B.; Neeft, J.P.A.; Devi, L.; Ptasinski, K.J.; Janssen, F.J.J.G.; Meijer, R.; Berends, R.H.; Temmink, H.M.G.; Brem, G.; et al. Primary Measures to Reduce Tar Formation in Fluidised-Bed Biomass Gasifiers. In Final Report SDE Project P1999-012; Eindhoven University of Technology: Eindhoven, The Netherlands, 2004. [Google Scholar]
- Prins, M.J.; Ptasinski, K.J.; Janssen, F.J.J.G. Torrefaction of wood. J. Anal. Appl. Pyrolysis 2006, 77, 28–34. [Google Scholar] [CrossRef]
- Gaitán-Álvarez, J.; Moya, R.; Puente-Urbina, A.; Rodriguez-Zúñiga, A. Thermogravimetric, Devolatilization Rate, and Differential Scanning Calorimetry Analyses of Biomass of Tropical Plantation Species of Costa Rica Torrefied at Different Temperatures and Times. Energies 2018, 11, 696. [Google Scholar] [CrossRef]
- Balagurumurthy, B.; Srivastava, V.; Vinit; Kumar, J.; Biswas, B.; Singh, R.; Gupta, P.; Kumar, K.L.N.S.; Singh, R.; Bhaskar, T. Value addition to rice straw through pyrolysis in hydrogen and nitrogen environments. Bioresour. Technol. 2015, 188, 273–279. [Google Scholar] [CrossRef]
- Al Arni, S. Comparison of slow and fast pyrolysis for converting biomass into fuel. Renew. Energy 2018, 124, 197–201. [Google Scholar] [CrossRef]
- Tripathi, M.; Sahu, J.N.; Ganesan, P. Effect of process parameters on production of biochar from biomass waste through pyrolysis: A review. Renew. Sustain. Energy Rev. 2016, 55, 467–481. [Google Scholar] [CrossRef]
- Papari, S.; Hawboldt, K. A review on the pyrolysis of woody biomass to bio-oil: Focus on kinetic models. Renew. Sustain. Energy Rev. 2015, 52, 1580–1595. [Google Scholar] [CrossRef]
- Heat Values of Various Fuels—World Nuclear Association. Available online: https://world-nuclear.org/information-library/facts-and-figures/heat-values-of-various-fuels (accessed on 17 August 2025).
- Akhtar, J.; Saidina Amin, N. A review on operating parameters for optimum liquid oil yield in biomass pyrolysis. Renew. Sustain. Energy Rev. 2012, 16, 5101–5109. [Google Scholar] [CrossRef]
- Demirbas, A.; Arin, G. An Overview of Biomass Pyrolysis. Energy Sources 2002, 24, 471–482. [Google Scholar] [CrossRef]
- Madhu, P.; Kanagasabapathy, H.; Manickam, I.N. Flash pyrolysis of palmyra palm (Borassus flabellifer) using an electrically heated fluidized bed reactor. Energy Sources Part A Recovery Util. Environ. Eff. 2016, 38, 1699–1705. [Google Scholar] [CrossRef]
- Cornelissen, T.; Yperman, J.; Reggers, G.; Schreurs, S.; Carleer, R. Flash co-pyrolysis of biomass with polylactic acid. Part 1: Influence on bio-oil yield and heating value. Fuel 2008, 87, 1031–1041. [Google Scholar] [CrossRef]
- Robinson, J.; Dodds, C.; Stavrinides, A.; Kingman, S.; Katrib, J.; Wu, Z.; Medrano, J.; Overend, R. Microwave Pyrolysis of Biomass: Control of Process Parameters for High Pyrolysis Oil Yields and Enhanced Oil Quality. Energy Fuels 2015, 29, 1701–1709. [Google Scholar] [CrossRef]
- He, M.; Xiao, B.; Liu, S.; Hu, Z.; Guo, X.; Luo, S.; Yang, F. Syngas production from pyrolysis of municipal solid waste (MSW) with dolomite as downstream catalysts. J. Anal. Appl. Pyrolysis 2010, 87, 181–187. [Google Scholar] [CrossRef]
- Chen, D.; Li, Y.; Cen, K.; Luo, M.; Li, H.; Lu, B. Pyrolysis polygeneration of poplar wood: Effect of heating rate and pyrolysis temperature. Bioresour. Technol. 2016, 218, 780–788. [Google Scholar] [CrossRef]
- Gurevich Messina, L.I.; Bonelli, P.R.; Cukierman, A.L. Effect of acid pretreatment and process temperature on characteristics and yields of pyrolysis products of peanut shells. Renew. Energy 2017, 114, 697–707. [Google Scholar] [CrossRef]
- Açıkalın, K.; Karaca, F. Fixed-bed pyrolysis of walnut shell: Parameter effects on yields and characterization of products. J. Anal. Appl. Pyrolysis 2017, 125, 234–242. [Google Scholar] [CrossRef]
- Ma, Y.; Wang, J.; Zhang, Y. Analysis of pyrolysis characteristics and kinetics of Euphausia superba shell waste using TG-FTIR and distributed activation energy model. Biomass Convers. Biorefinery 2018, 8, 329–337. [Google Scholar] [CrossRef]
- Sakthivel, R.; Harshini, G.V.; Vardhan, M.S.; Vinod, A.; Gomathi, K. Biomass energy conversion through pyrolysis: A ray of hope for the current energy crisis. In Green Energy Systems; Elsevier: Amsterdam, The Netherlands, 2023; pp. 37–68. [Google Scholar] [CrossRef]
- Tauseef, S.M.; Abbasi, T.; Abbasi, S.A. Energy recovery from wastewaters with high-rate anaerobic digesters. Renew. Sustain. Energy Rev. 2013, 19, 704–741. [Google Scholar] [CrossRef]
- Carvalho, W.S.; Santana Júnior, J.A.; De Oliveira, T.J.P.; Ataíde, C.H. Fast pyrolysis of sweet sorghum bagasse in a fluidized bed reactor: Product characterization and comparison with vapors generated in analytical pyrolysis. Energy 2017, 131, 186–197. [Google Scholar] [CrossRef]
- Iisa, M.; French, R.; Orton, K.; Yung, M.; Johnson, D.; Nimlos, M.; Dam, J.; Watson, M. In Situ and ex Situ Catalytic Pyrolysis of Pine in a Bench-Scale Fluidized Bed Reactor System. Energy Fuels 2016, 30, 2144–2157. [Google Scholar] [CrossRef]
- Yu, Z.; Wang, Y.; Jiang, L.; Dai, L.; Liu, Y.; Ruan, R.; Duan, D.; Zhou, Y.; Fan, L.; Zhao, Y.; et al. Microwave-assisted catalytic pyrolysis of Chinese tallow kernel oil for aromatic production in a downdraft reactor. J. Anal. Appl. Pyrolysis 2018, 133, 16–21. [Google Scholar] [CrossRef]
- Zhao, X.; Wang, M.; Liu, H.; Li, L.; Ma, C.; Song, Z. A microwave reactor for characterization of pyrolyzed biomass. Bioresour. Technol. 2012, 104, 673–678. [Google Scholar] [CrossRef] [PubMed]
- Tarves, P.C.; Mullen, C.A.; Boateng, A.A. Effects of various reactive gas atmospheres on the properties of bio-oils produced using microwave pyrolysis. ACS Sustain. Chem. Eng. 2016, 4, 930–936. [Google Scholar] [CrossRef]
- Kulkarni, S.; Gonzalez-Quiroga, A.; Perreault, P.; Sewani, H.; Heynderickx, G.; Van Geem, K.; Marin, G. Cfd-based biomass fast pyrolysis simulations in a gas-solid vortex reactor demonstrating process intensification. Chem. Eng. Trans. 2018, 65, 19–24. [Google Scholar] [CrossRef]
- Gonzalez-Quiroga, A.; Reyniers, P.A.; Kulkarni, S.R.; Torregrosa, M.M.; Perreault, P.; Heynderickx, G.J.; Van Geem, K.M.; Marin, G.B. Design and cold flow testing of a Gas-Solid Vortex Reactor demonstration unit for biomass fast pyrolysis. Chem. Eng. J. 2017, 329, 198–210. [Google Scholar] [CrossRef]
- Miller, R.S.; Bellan, J. Numerical Simulation of Vortex Pyrolysis Reactors for Condensable Tar Production from Biomass. Energy Fuels 1998, 12, 25–40. [Google Scholar] [CrossRef]
- Wagenaar, B.M.; Prins, W.; Van Swaaij, W.P.M. Pyrolysis of biomass in the rotating cone reactor: Modelling and experimental justification. Chem. Eng. Sci. 1994, 49, 5109–5126. [Google Scholar] [CrossRef]
- Westerhout, R.W.J.; Waanders, J.; Kuipers, J.A.M.; Van Swaaij, W.P.M. Recycling of Polyethene and Polypropene in a Novel Bench-Scale Rotating Cone Reactor by High-Temperature Pyrolysis. Ind. Eng. Chem. Res. 1998, 37, 2293–2300. [Google Scholar] [CrossRef]
- Guoxin, H.; Xiwu, G.; Hao, H.; Haojie, F.; Zheng, W. Experimental studies on flow and pyrolysis of coal with solid heat carrier in a modified rotating cone reactor. Chem. Eng. Process. Process Intensif. 2008, 47, 1777–1785. [Google Scholar] [CrossRef]
- ResearchGate. Schematic of a Vortex Reactor Designed at the NREL. Available online: https://www.researchgate.net/figure/Schematic-of-a-vortex-reactor-designed-at-the-NREL-International-Energy-Agency-IEA_fig11_349365567 (accessed on 17 November 2024).
- Brassard, P.; Godbout, S.; Raghavan, V.; Palacios, J.; Grenier, M.; Zegan, D. The Production of Engineered Biochars in a Vertical Auger Pyrolysis Reactor for Carbon Sequestration. Energies 2017, 10, 288. [Google Scholar] [CrossRef]
- Papari, S.; Hawboldt, K.; Helleur, R. Production and Characterization of Pyrolysis Oil from Sawmill Residues in an Auger Reactor. Ind. Eng. Chem. Res. 2017, 56, 1920–1925. [Google Scholar] [CrossRef]
- Bahng, M.-K.; Mukarakate, C.; Robichaud, D.J.; Nimlos, M.R. Current technologies for analysis of biomass thermochemical processing: A review. Anal. Chim. Acta 2009, 651, 117–138. [Google Scholar] [CrossRef]
- Ingram, L.; Mohan, D.; Bricka, M.; Steele, P.; Strobel, D.; Crocker, D.; Mitchell, B.; Mohammad, J.; Cantrell, K.; Pittman, C.U. Pyrolysis of Wood and Bark in an Auger Reactor: Physical Properties and Chemical Analysis of the Produced Bio-oils. Energy Fuels 2008, 22, 614–625. [Google Scholar] [CrossRef]
- Meier, D.; Faix, O. State of the art of applied fast pyrolysis of lignocellulosic materials—A review. Bioresour. Technol. 1999, 68, 71–77. [Google Scholar] [CrossRef]
- Abnisa, F.; Arami-Niya, A.; Daud, W.M.A.W.; Sahu, J.N. Characterization of Bio-oil and Bio-char from Pyrolysis of Palm Oil Wastes. BioEnergy Res. 2013, 6, 830–840. [Google Scholar] [CrossRef]
- Junsheng, L. The Optimal of Pyrolysis Process in the Rotating Cone Reactor and Pyrolysis Product Analysis. In Proceedings of the 2010 International Conference on Challenges in Environmental Science and Computer Engineering, Wuhan, China, 6–7 March 2010; IEEE: New York, NY, USA, 2010; pp. 530–533. [Google Scholar] [CrossRef]
- Punsuwan, N.; Tangsathitkulchai, C. Product Characterization and Kinetics of Biomass Pyrolysis in a Three-Zone Free-Fall Reactor. Int. J. Chem. Eng. 2014, 2014, 986719. [Google Scholar] [CrossRef]
- Saber, M.; Nakhshiniev, B.; Yoshikawa, K. A review of production and upgrading of algal bio-oil. Renew. Sustain. Energy Rev. 2016, 58, 918–930. [Google Scholar] [CrossRef]
- Diebold, J.P.; Czernik, S. Additives To Lower and Stabilize the Viscosity of Pyrolysis Oils during Storage. Energy Fuels 1997, 11, 1081–1091. [Google Scholar] [CrossRef]
- Boucher, M.E.; Chaala, A.; Roy, C. Bio-oils obtained by vacuum pyrolysis of softwood bark as a liquid fuel for gas turbines. Part I: Properties of bio-oil and its blends with methanol and a pyrolytic aqueous phase. Biomass Bioenergy 2000, 19, 337–350. [Google Scholar] [CrossRef]
- Pidtasang, B.; Udomsap, P.; Sukkasi, S.; Chollacoop, N.; Pattiya, A. Influence of alcohol addition on properties of bio-oil produced from fast pyrolysis of eucalyptus bark in a free-fall reactor. J. Ind. Eng. Chem. 2013, 19, 1851–1857. [Google Scholar] [CrossRef]
- Liu, R.; Fei, W.; Shen, C. Influence of acetone addition on the physicochemical properties of bio-oils. J. Energy Inst. 2014, 87, 127–133. [Google Scholar] [CrossRef]
- Chiaramonti, D.; Bonini, M.; Fratini, E.; Tondi, G.; Gartner, K.; Bridgwater, A.V.; Grimm, H.P.; Soldaini, I.; Webster, A.; Baglioni, P. Development of emulsions from biomass pyrolysis liquid and diesel and their use in engines—Part 1: Emulsion production. Biomass Bioenergy 2003, 25, 85–99. [Google Scholar] [CrossRef]
- Huber, G.W.; Iborra, S.; Corma, A. Synthesis of Transportation Fuels from Biomass: Chemistry, Catalysts, and Engineering. Chem. Rev. 2006, 106, 4044–4098. [Google Scholar] [CrossRef] [PubMed]
- Zhang, L.; Liu, R.; Yin, R.; Mei, Y. Upgrading of bio-oil from biomass fast pyrolysis in China: A review. Renew. Sustain. Energy Rev. 2013, 24, 66–72. [Google Scholar] [CrossRef]
- Demirbaş, A. Production of Biodiesel from Algae Oils. Energy Sources Part Recovery Util. Environ. Eff. 2008, 31, 163–168. [Google Scholar] [CrossRef]
- Peng, J.; Chen, P.; Lou, H.; Zheng, X. Upgrading of Bio-oil over Aluminum Silicate in Supercritical Ethanol. Energy Fuels 2008, 22, 3489–3492. [Google Scholar] [CrossRef]
- Peng, J.; Chen, P.; Lou, H.; Zheng, X. Catalytic upgrading of bio-oil by HZSM-5 in sub- and super-critical ethanol. Bioresour. Technol. 2009, 100, 3415–3418. [Google Scholar] [CrossRef]
- Mahfud, F.H.; Melián-Cabrera, I.; Manurung, R.; Heeres, H.J. Biomass to Fuels. Process Saf. Environ. Prot. 2007, 85, 466–472. [Google Scholar] [CrossRef]
- Junming, X.; Jianchun, J.; Yunjuan, S.; Yanju, L. Bio-oil upgrading by means of ethyl ester production in reactive distillation to remove water and to improve storage and fuel characteristics. Biomass Bioenergy 2008, 32, 1056–1061. [Google Scholar] [CrossRef]
- Zhang, Q.; Chang, J.; Wang; Xu, Y. Upgrading Bio-oil over Different Solid Catalysts. Energy Fuels 2006, 20, 2717–2720. [Google Scholar] [CrossRef]
- Xu, Y.; Zheng, X.; Hu, X.; Dearn, K.D.; Xu, H. Effect of catalytic esterification on the friction and wear performance of bio-oil. Wear 2014, 311, 93–100. [Google Scholar] [CrossRef]
- Xu, C.; Etcheverry, T. Hydro-liquefaction of woody biomass in sub- and super-critical ethanol with iron-based catalysts. Fuel 2008, 87, 335–345. [Google Scholar] [CrossRef]
- Yin, W.; Venderbosch, R.H.; Bottari, G.; Krawzcyk, K.K.; Barta, K.; Heeres, H.J. Catalytic upgrading of sugar fractions from pyrolysis oils in supercritical mono-alcohols over Cu doped porous metal oxide. Appl. Catal. B Environ. 2015, 166, 56–65. [Google Scholar] [CrossRef]
- Chen, W.; Luo, Z.; Yu, C.; Li, G.; Yang, Y.; Zhang, H. Upgrading of bio-oil in supercritical ethanol: Catalysts screening, solvent recovery and catalyst stability study. J. Supercrit. Fluids 2014, 95, 387–393. [Google Scholar] [CrossRef]
- Li, W.; Pan, C.; Zhang, Q.; Liu, Z.; Peng, J.; Chen, P.; Lou, H.; Zheng, X. Upgrading of low-boiling fraction of bio-oil in supercritical methanol and reaction network. Bioresour. Technol. 2011, 102, 4884–4889. [Google Scholar] [CrossRef] [PubMed]
- Duan, P.; Xu, Y.; Bai, X. Upgrading of Crude Duckweed Bio-Oil in Subcritical Water. Energy Fuels 2013, 27, 4729–4738. [Google Scholar] [CrossRef]
- Xu, X.; Zhang, C.; Zhai, Y.; Liu, Y.; Zhang, R.; Tang, X. Upgrading of Bio-Oil Using Supercritical 1-Butanol over a Ru/C Heterogeneous Catalyst: Role of the Solvent. Energy Fuels 2014, 28, 4611–4621. [Google Scholar] [CrossRef]
- Xiu, S.; Shahbazi, A. Bio-oil production and upgrading research: A review. Renew. Sustain. Energy Rev. 2012, 16, 4406–4414. [Google Scholar] [CrossRef]
- Lam, M.K.; Lee, K.T. Microalgae biofuels: A critical review of issues, problems and the way forward. Biotechnol. Adv. 2012, 30, 673–690. [Google Scholar] [CrossRef]
- Zacher, A.H.; Olarte, M.V.; Santosa, D.M.; Elliott, D.C.; Jones, S.B. A review and perspective of recent bio-oil hydrotreating research. Green Chem. 2014, 16, 491–515. [Google Scholar] [CrossRef]
- Mullen, C.A.; Boateng, A.A.; Reichenbach, S.E. Hydrotreating of fast pyrolysis oils from protein-rich pennycress seed presscake. Fuel 2013, 111, 797–804. [Google Scholar] [CrossRef]
- Li, X.; Gunawan, R.; Wang, Y.; Chaiwat, W.; Hu, X.; Gholizadeh, M.; Mourant, D.; Bromly, J.; Li, C.-Z. Upgrading of bio-oil into advanced biofuels and chemicals. Part III. Changes in aromatic structure and coke forming propensity during the catalytic hydrotreatment of a fast pyrolysis bio-oil with Pd/C catalyst. Fuel 2014, 116, 642–649. [Google Scholar] [CrossRef]
- Ardiyanti, A.R.; Khromova, S.A.; Venderbosch, R.H.; Yakovlev, V.A.; Heeres, H.J. Catalytic hydrotreatment of fast-pyrolysis oil using non-sulfided bimetallic Ni-Cu catalysts on a δ-Al2O3 support. Appl. Catal. B Environ. 2012, 117, 105–117. [Google Scholar] [CrossRef]
- Ardiyanti, A.R.; Khromova, S.A.; Venderbosch, R.H.; Yakovlev, V.A.; Melián-Cabrera, I.V.; Heeres, H.J. Catalytic hydrotreatment of fast pyrolysis oil using bimetallic Ni–Cu catalysts on various supports. Appl. Catal. Gen. 2012, 449, 121–130. [Google Scholar] [CrossRef]
- Wildschut, J.; Mahfud, F.H.; Venderbosch, R.H.; Heeres, H.J. Hydrotreatment of Fast Pyrolysis Oil Using Heterogeneous Noble-Metal Catalysts. Ind. Eng. Chem. Res. 2009, 48, 10324–10334. [Google Scholar] [CrossRef]
- Parapati, D.R.; Guda, V.K.; Penmetsa, V.K.; Steele, P.H.; Tanneru, S.K. Single stage hydroprocessing of pyrolysis oil in a continuous packed-bed reactor. Environ. Prog. Sustain. Energy 2014, 33, 726–731. [Google Scholar] [CrossRef]
- Pstrowska, K.; Walendziewski, J.; Łużny, R.; Stolarski, M. Hydroprocessing of rapeseed pyrolysis bio-oil over NiMo/Al2O3 catalyst. Catal. Today 2014, 223, 54–65. [Google Scholar] [CrossRef]
- Guo, Q.; Wu, M.; Wang, K.; Zhang, L.; Xu, X. Catalytic Hydrodeoxygenation of Algae Bio-oil over Bimetallic Ni–Cu/ZrO2 Catalysts. Ind. Eng. Chem. Res. 2015, 54, 890–899. [Google Scholar] [CrossRef]
- Le, T.A.; Ly, H.V.; Kim, J.; Kim, S.-S.; Choi, J.H.; Woo, H.-C.; Othman, M.R. Hydrodeoxygenation of 2-furyl methyl ketone as a model compound in bio-oil from pyrolysis of Saccharina Japonica Alga in fixed-bed reactor. Chem. Eng. J. 2014, 250, 157–163. [Google Scholar] [CrossRef]
- Li, Z.; Savage, P.E. Feedstocks for fuels and chemicals from algae: Treatment of crude bio-oil over HZSM-5. Algal Res. 2013, 2, 154–163. [Google Scholar] [CrossRef]
- Zhu, Y.; Albrecht, K.O.; Elliott, D.C.; Hallen, R.T.; Jones, S.B. Development of hydrothermal liquefaction and upgrading technologies for lipid-extracted algae conversion to liquid fuels. Algal Res. 2013, 2, 455–464. [Google Scholar] [CrossRef]
- Srinivas, S.T.; Dalai, A.K.; Bakhshi, N.N. Thermal and catalytic upgrading of a biomass-derived oil in a dual reaction system. Can. J. Chem. Eng. 2000, 78, 343–354. [Google Scholar] [CrossRef]
- Wang, D.; Czernik, S.; Chornet, E. Production of Hydrogen from Biomass by Catalytic Steam Reforming of Fast Pyrolysis Oils. Energy Fuels 1998, 12, 19–24. [Google Scholar] [CrossRef]
- Garcia, L.; French, R.; Czernik, S.; Chornet, E. Catalytic steam reforming of bio-oils for the production of hydrogen: Effects of catalyst composition. Appl. Catal. Gen. 2000, 201, 225–239. [Google Scholar] [CrossRef]
- Wu, C.; Huang, Q.; Sui, M.; Yan, Y.; Wang, F. Hydrogen production via catalytic steam reforming of fast pyrolysis bio-oil in a two-stage fixed bed reactor system. Fuel Process. Technol. 2008, 89, 1306–1316. [Google Scholar] [CrossRef]
- Xu, Q.; Lan, P.; Zhang, B.; Ren, Z.; Yan, Y. Hydrogen Production via Catalytic Steam Reforming of Fast Pyrolysis Bio-oil in a Fluidized-Bed Reactor. Energy Fuels 2010, 24, 6456–6462. [Google Scholar] [CrossRef]
- Czernik, S.; French, R.J.; Magrini-Bair, K.A.; Chornet, E. The Production of Hydrogen by Steam Reforming of Trap GreaseProgress in Catalyst Performance. Energy Fuels 2004, 18, 1738–1743. [Google Scholar] [CrossRef]
- Trane-Restrup, R.; Jensen, A.D. Steam reforming of cyclic model compounds of bio-oil over Ni-based catalysts: Product distribution and carbon formation. Appl. Catal. B Environ. 2015, 165, 117–127. [Google Scholar] [CrossRef]
- Zhang, Q.; Chang, J.; Wang, T.; Xu, Y. Review of biomass pyrolysis oil properties and upgrading research. Energy Convers. Manag. 2007, 48, 87–92. [Google Scholar] [CrossRef]
- Cao, J.-P.; Zhao, X.-Y.; Morishita, K.; Li, L.-Y.; Xiao, X.-B.; Obara, R.; Wei, X.-Y.; Takarada, T. Triacetonamine formation in a bio-oil from fast pyrolysis of sewage sludge using acetone as the absorption solvent. Bioresour. Technol. 2010, 101, 4242–4245. [Google Scholar] [CrossRef]
- Capunitan, J.A.; Capareda, S.C. Characterization and separation of corn stover bio-oil by fractional distillation. Fuel 2013, 112, 60–73. [Google Scholar] [CrossRef]
- Lindfors, C.; Kuoppala, E.; Oasmaa, A.; Solantausta, Y.; Arpiainen, V. Fractionation of Bio-Oil. Energy Fuels 2014, 28, 5785–5791. [Google Scholar] [CrossRef]
- Vasilkovova, B.; Augustinova, J.; Buzetzki, E.; Cvengros, J.; Mikulec, J.; Kubinec, R.; Blasko, J. Fractionation of bio-oil from flash pyrolysis. Chem. Eng. Trans. 2014, 39, 1573–1578. [Google Scholar] [CrossRef]
- Eboibi, B.E.-O.; Lewis, D.M.; Ashman, P.J.; Chinnasamy, S. Hydrothermal liquefaction of microalgae for biocrude production: Improving the biocrude properties with vacuum distillation. Bioresour. Technol. 2014, 174, 212–221. [Google Scholar] [CrossRef]
- Wright, M.M.; Daugaard, D.E.; Satrio, J.A.; Brown, R.C. Techno-economic analysis of biomass fast pyrolysis to transportation fuels. Fuel 2010, 89, S2–S10. [Google Scholar] [CrossRef]
- Humbird, D.; Davis, R.; Tao, L.; Kinchin, C.; Hsu, D.; Aden, A.; Schoen, P.; Lukas, J.; Olthof, B.; Worley, M.; et al. Process Design and Economics for Biochemical Conversion of Lignocellulosic Biomass to Ethanol: Dilute-Acid Pretreatment and Enzymatic Hydrolysis of Corn Stover; UNT Digital Library: Denton, TX, USA, 2011. [Google Scholar] [CrossRef]
- Sharma, A.; Jakhete, A.; Sharma, A.; Joshi, J.B.; Pareek, V. Lowering greenhouse gas (GHG) emissions: Techno-economic analysis of biomass conversion to biofuels and value-added chemicals. Greenh. Gases Sci. Technol. 2019, 9, 454–473. [Google Scholar] [CrossRef]
- Inayat, A.; Ahmad, M.M.; Mutalib, M.I.A.; Yusup, S.; Khan, Z. Economic analysis and optimization for bio-hydrogen production from oil palm waste via steam gasification. Energy Sources Part B Econ. Plan. Policy 2017, 12, 158–165. [Google Scholar] [CrossRef]
- Oasmaa, A.; Solantausta, Y.; Arpiainen, V.; Kuoppala, E.; Sipilä, K. Fast Pyrolysis Bio-Oils from Wood and Agricultural Residues. Energy Fuels 2010, 24, 1380–1388. [Google Scholar] [CrossRef]
- Miandad, R.; Rehan, M.; Barakat, M.A.; Aburiazaiza, A.S.; Khan, H.; Ismail, I.M.I.; Dhavamani, J.; Gardy, J.; Hassanpour, A.; Nizami, A.-S. Catalytic Pyrolysis of Plastic Waste: Moving Toward Pyrolysis Based Biorefineries. Front. Energy Res. 2019, 7, 27. [Google Scholar] [CrossRef]
- Farooq, W.; Ali, I.; Raza Naqvi, S.; Sajid, M.; Abbas Khan, H.; Adamu, S. Evolved Gas Analysis and Kinetics of Catalytic and Non-Catalytic Pyrolysis of Microalgae Chlorella sp. Biomass With Ni/θ-Al2O3 Catalyst via Thermogravimetric Analysis. Front. Energy Res. 2021, 9, 775037. [Google Scholar] [CrossRef]
- Yang, M.; Luo, B.; Shao, J.; Zeng, K.; Zhang, X.; Yang, H.; Chen, H. The influence of CO2 on biomass fast pyrolysis at medium temperatures. J. Renew. Sustain. Energy 2018, 10, 013108. [Google Scholar] [CrossRef]
- Inayat, A.; Ahmed, A.; Tariq, R.; Waris, A.; Jamil, F.; Ahmed, S.F.; Ghenai, C.; Park, Y.-K. Techno-Economical Evaluation of Bio-Oil Production via Biomass Fast Pyrolysis Process: A Review. Front. Energy Res. 2022, 9, 770355. [Google Scholar] [CrossRef]
- Meyer, P.A.; Snowden-Swan, L.J.; Jones, S.B.; Rappé, K.G.; Hartley, D.S. The effect of feedstock composition on fast pyrolysis and upgrading to transportation fuels: Techno-economic analysis and greenhouse gas life cycle analysis. Fuel 2020, 259, 116218. [Google Scholar] [CrossRef]
- Wang, J.; Lu, Z.; Shah, A. Techno-economic analysis of levoglucosan production via fast pyrolysis of cotton straw in China. Biofuels Bioprod. Biorefining 2019, 13, 1085–1097. [Google Scholar] [CrossRef]
- Diehlmann, F.; Zimmer, T.; Glöser-Chahoud, S.; Wiens, M.; Schultmann, F. Techno-economic assessment of utilization pathways for rice straw: A simulation-optimization approach. J. Clean. Prod. 2019, 230, 1329–1343. [Google Scholar] [CrossRef]
- Van Schalkwyk, D.L.; Mandegari, M.; Farzad, S.; Görgens, J.F. Techno-economic and environmental analysis of bio-oil production from forest residues via non-catalytic and catalytic pyrolysis processes. Energy Convers. Manag. 2020, 213, 112815. [Google Scholar] [CrossRef]
- Brigagão, G.V.; De Queiroz Fernandes Araújo, O.; De Medeiros, J.L.; Mikulcic, H.; Duic, N. A techno-economic analysis of thermochemical pathways for corncob-to-energy: Fast pyrolysis to bio-oil, gasification to methanol and combustion to electricity. Fuel Process. Technol. 2019, 193, 102–113. [Google Scholar] [CrossRef]
- Ramirez, J.A.; Rainey, T.J. Comparative techno-economic analysis of biofuel production through gasification, thermal liquefaction and pyrolysis of sugarcane bagasse. J. Clean. Prod. 2019, 229, 513–527. [Google Scholar] [CrossRef]
- Pighinelli, A.L.M.T.; Schaffer, M.A.; Boateng, A.A. Utilization of eucalyptus for electricity production in Brazil via fast pyrolysis: A techno-economic analysis. Renew. Energy 2018, 119, 590–597. [Google Scholar] [CrossRef]
- Wang, W.-C.; Jan, J.-J. From laboratory to pilot: Design concept and techno-economic analyses of the fluidized bed fast pyrolysis of biomass. Energy 2018, 155, 139–151. [Google Scholar] [CrossRef]
- Chen, X.; Zhang, H.; Xiao, R. Mobile Autothermal Pyrolysis System for Local Biomass Conversion: Process Simulation and Techno-Economic Analysis. Energy Fuels 2018, 32, 4178–4188. [Google Scholar] [CrossRef]
- Shemfe, M.; Gu, S.; Fidalgo, B. Techno-economic analysis of biofuel production via bio-oil zeolite upgrading: An evaluation of two catalyst regeneration systems. Biomass Bioenergy 2017, 98, 182–193. [Google Scholar] [CrossRef]
- Ji, L.-Q.; Zhang, C.; Fang, J.-Q. Economic analysis of converting of waste agricultural biomass into liquid fuel: A case study on a biofuel plant in China. Renew. Sustain. Energy Rev. 2017, 70, 224–229. [Google Scholar] [CrossRef]
- Michailos, S.; Parker, D.; Webb, C. A techno-economic comparison of Fischer–Tropsch and fast pyrolysis as ways of utilizing sugar cane bagasse in transportation fuels production. Chem. Eng. Res. Des. 2017, 118, 206–214. [Google Scholar] [CrossRef]
- Carrasco, J.L.; Gunukula, S.; Boateng, A.A.; Mullen, C.A.; DeSisto, W.J.; Wheeler, M.C. Pyrolysis of forest residues: An approach to techno-economics for bio-fuel production. Fuel 2017, 193, 477–484. [Google Scholar] [CrossRef]
- Do, T.X.; Lim, Y. Techno-economic comparison of three energy conversion pathways from empty fruit bunches. Renew. Energy 2016, 90, 307–318. [Google Scholar] [CrossRef]
- Mirkouei, A.; Haapala, K.R.; Sessions, J.; Murthy, G.S. A review and future directions in techno-economic modeling and optimization of upstream forest biomass to bio-oil supply chains. Renew. Sustain. Energy Rev. 2017, 67, 15–35. [Google Scholar] [CrossRef]
- Patel, M.; Oyedun, A.O.; Kumar, A.; Gupta, R. A Techno-Economic Assessment of Renewable Diesel and Gasoline Production from Aspen Hardwood. Waste Biomass Valorization 2019, 10, 2745–2760. [Google Scholar] [CrossRef]
- Xin, C.; Addy, M.M.; Zhao, J.; Cheng, Y.; Cheng, S.; Mu, D.; Liu, Y.; Ding, R.; Chen, P.; Ruan, R. Comprehensive techno-economic analysis of wastewater-based algal biofuel production: A case study. Bioresour. Technol. 2016, 211, 584–593. [Google Scholar] [CrossRef]
- Li, B.; Ou, L.; Dang, Q.; Meyer, P.; Jones, S.; Brown, R.; Wright, M. Techno-economic and uncertainty analysis of in situ and ex situ fast pyrolysis for biofuel production. Bioresour. Technol. 2015, 196, 49–56. [Google Scholar] [CrossRef] [PubMed]
- Kumar, R.; Strezov, V. Thermochemical production of bio-oil: A review of downstream processing technologies for bio-oil upgrading, production of hydrogen and high value-added products. Renew. Sustain. Energy Rev. 2021, 135, 110152. [Google Scholar] [CrossRef]
- Shahbeig, H.; Nosrati, M. Pyrolysis of municipal sewage sludge for bioenergy production: Thermo-kinetic studies, evolved gas analysis, and techno-socio-economic assessment. Renew. Sustain. Energy Rev. 2020, 119, 109567. [Google Scholar] [CrossRef]
- Mohammed, I.Y.; Abakr, Y.A.; Mokaya, R. Integrated biomass thermochemical conversion for clean energy production: Process design and economic analysis. J. Environ. Chem. Eng. 2019, 7, 103093. [Google Scholar] [CrossRef]
- Xin, C.; Addy, M.M.; Zhao, J.; Cheng, Y.; Ma, Y.; Liu, S.; Mu, D.; Liu, Y.; Chen, P.; Ruan, R. Waste-to-biofuel integrated system and its comprehensive techno-economic assessment in wastewater treatment plants. Bioresour. Technol. 2018, 250, 523–531. [Google Scholar] [CrossRef] [PubMed]
- Sorunmu, Y.E.; Billen, P.; Elkasabi, Y.; Mullen, C.A.; Macken, N.A.; Boateng, A.A.; Spatari, S. Fuels and Chemicals from Equine-Waste-Derived Tail Gas Reactive Pyrolysis Oil: Technoeconomic Analysis, Environmental and Exergetic Life Cycle Assessment. ACS Sustain. Chem. Eng. 2017, 5, 8804–8814. [Google Scholar] [CrossRef]
- Winjobi, O.; Zhou, W.; Kulas, D.; Nowicki, J.; Shonnard, D.R. Production of Hydrocarbon Fuel Using Two-Step Torrefaction and Fast Pyrolysis of Pine. Part 2: Life-Cycle Carbon Footprint. ACS Sustain. Chem. Eng. 2017, 5, 4541–4551. [Google Scholar] [CrossRef]
- Li, W.; Dang, Q.; Brown, R.C.; Laird, D.; Wright, M.M. The impacts of biomass properties on pyrolysis yields, economic and environmental performance of the pyrolysis-bioenergy-biochar platform to carbon negative energy. Bioresour. Technol. 2017, 241, 959–968. [Google Scholar] [CrossRef]
- Vasalos, I.A.; Lappas, A.A.; Kopalidou, E.P.; Kalogiannis, K.G. Biomass catalytic pyrolysis: Process design and economic analysis. WIREs Energy Environ. 2016, 5, 370–383. [Google Scholar] [CrossRef]
- Hu, W.; Dang, Q.; Rover, M.; Brown, R.C.; Wright, M.M. Comparative techno-economic analysis of advanced biofuels, biochemicals, and hydrocarbon chemicals via the fast pyrolysis platform. Biofuels 2016, 7, 57–67. [Google Scholar] [CrossRef]
- Thilakaratne, R.; Wright, M.M.; Brown, R.C. A techno-economic analysis of microalgae remnant catalytic pyrolysis and upgrading to fuels. Fuel 2014, 128, 104–112. [Google Scholar] [CrossRef]
- Anex, R.P.; Aden, A.; Kazi, F.K.; Fortman, J.; Swanson, R.M.; Wright, M.M.; Satrio, J.A.; Brown, R.C.; Daugaard, D.E.; Platon, A.; et al. Techno-economic comparison of biomass-to-transportation fuels via pyrolysis, gasification, and biochemical pathways. Fuel 2010, 89, S29–S35. [Google Scholar] [CrossRef]
- Ou, L.; Brown, T.R.; Thilakaratne, R.; Hu, G.; Brown, R.C. Techno-economic analysis of co-located corn grain and corn stover ethanol plants. Biofuels Bioprod. Biorefining 2014, 8, 412–422. [Google Scholar] [CrossRef]
- Zhao, X.; Brown, T.R.; Tyner, W.E. Stochastic techno-economic evaluation of cellulosic biofuel pathways. Bioresour. Technol. 2015, 198, 755–763. [Google Scholar] [CrossRef]
- LUX. Uncovering the Cost of Cellulosic Ethanol Production—State of the Market Report; LUX Research: Boston, MA, USA, 2016. [Google Scholar]
- OpenEI. Transparent Cost Database|Open Energy Information 2015. Available online: https://openei.org/wiki/Transparent_Cost_Database (accessed on 7 September 2025).
- De Jong, S.; Hoefnagels, R.; Wetterlund, E.; Pettersson, K.; Faaij, A.; Junginger, M. Cost optimization of biofuel production—The impact of scale, integration, transport and supply chain configurations. Appl. Energy 2017, 195, 1055–1070. [Google Scholar] [CrossRef]
- Brown, T.R.; Thilakaratne, R.; Brown, R.C.; Hu, G. Techno-economic analysis of biomass to transportation fuels and electricity via fast pyrolysis and hydroprocessing. Fuel 2013, 106, 463–469. [Google Scholar] [CrossRef]
- Hamelinck, C.N.; Faaij, A.P.C. Outlook for advanced biofuels. Energy Policy 2006, 34, 3268–3283. [Google Scholar] [CrossRef]
- Witcover, J.; Williams, R.B. Comparison of “Advanced” biofuel cost estimates: Trends during rollout of low carbon fuel policies. Transp. Res. Part Transp. Environ. 2020, 79, 102211. [Google Scholar] [CrossRef]
- US EIA. Cushing, OK WTI Spot Price; U.S. Energy Information Administration: Washington, DC, USA, 2019.
- Morrison, G.M.; Witcover, J.; Parker, N.C.; Fulton, L. Three routes forward for biofuels: Incremental, leapfrog, and transitional. Energy Policy 2016, 88, 64–73. [Google Scholar] [CrossRef]
- Makepa, D.C.; Chihobo, C.H.; Musademba, D. Techno-economic analysis and environmental impact assessment of biodiesel production from bio-oil derived from microwave-assisted pyrolysis of pine sawdust. Heliyon 2023, 9, e22261. [Google Scholar] [CrossRef] [PubMed]
- Li, S.; Tan, E.C.D.; Dutta, A.; Snowden-Swan, L.J.; Thorson, M.R.; Ramasamy, K.K.; Bartling, A.W.; Brasington, R.; Kass, M.D.; Zaimes, G.G.; et al. Techno-economic Analysis of Sustainable Biofuels for Marine Transportation. Environ. Sci. Technol. 2022, 56, 17206–17214. [Google Scholar] [CrossRef] [PubMed]
- LA/Long Beach Bunker Prices. Ship Bunker. Available online: https://shipandbunker.com/prices/am/nampac/us-lax-la-long-beach (accessed on 5 November 2024).
- Tan, E.C.D.; Hawkins, T.R.; Lee, U.; Tao, L.; Meyer, P.A.; Wang, M.; Thompson, T. Biofuel Options for Marine Applications: Technoeconomic and Life-Cycle Analyses. Environ. Sci. Technol. 2021, 55, 7561–7570. [Google Scholar] [CrossRef]
- Carvalho, F.; Portugal-Pereira, J.; Junginger, M.; Szklo, A. Biofuels for Maritime Transportation: A Spatial, Techno-Economic, and Logistic Analysis in Brazil, Europe, South Africa, and the USA. Energies 2021, 14, 4980. [Google Scholar] [CrossRef]
- Tanzer, S.E.; Posada, J.; Geraedts, S.; Ramírez, A. Lignocellulosic marine biofuel: Technoeconomic and environmental assessment for production in Brazil and Sweden. J. Clean. Prod. 2019, 239, 117845. [Google Scholar] [CrossRef]
- The Top 10 Biomass Companies in the World|NES Fircroft. Available online: https://www.nesfircroft.com/resources/blog/the-top-10-biomass-companies-in-the-world/ (accessed on 29 December 2024).
- Largest, U.S. Biodiesel Producers 2024|Statista. Available online: https://www.statista.com/statistics/829958/largest-us-biodiesel-producer/ (accessed on 29 December 2024).
- POET-DSM Makes Major Technology, Process Purchase for Commercial Cellulosic Bio-Ethanol—POET. Available online: https://poet.com/pr/poet-dsm-makes-major-technology-process-purchase-for-cellulosic-bio-ethanol (accessed on 29 December 2024).
- Green Plains Inc. Green Plains Unveils New Specialty Feed Ingredient Brand. Available online: https://investor.gpreinc.com/news/news-details/2024/Green-Plains-Unveils-New-Specialty-Feed-Ingredient-Brand-c5dfcfa63/default.aspx (accessed on 29 December 2024).
- Shell and Raízen Sign Large Cellulosic Ethanol Deal|Shell Global. Available online: https://www.shell.com/business-customers/trading-and-supply/trading/news-and-media-releases/shell-and-raizen-sign-large-cellulosic-ethanol-deal.html (accessed on 29 December 2024).
- Enviva Kicks off Construction on Wood Pellet Plant in Sumter County—Made in Alabama. Available online: https://www.madeinalabama.com/2023/06/enviva-kicks-off-construction-on-wood-pellet-plant-in-sumter-county/ (accessed on 29 December 2024).
- Technology—VERBIO North America. Available online: https://www.verbio-north-america.com/technology (accessed on 29 December 2024).
- Company|Learn More About Our Story|Enerkem. Available online: https://enerkem.com/company/story (accessed on 29 December 2024).
- Biomethane & Gas Upgrading Plants|EnviTec Biogas. Available online: https://www.envitec-biogas.com/plant-construction/biomethane# (accessed on 29 December 2024).
- Syclus Choses Axens to Provide Atol® Technology for Europe’s First Ethanol-Based Renewable Ethylene Production Plant—Renewable Carbon News. Available online: https://renewable-carbon.eu/news/syclus-choses-axens-to-provide-atol-technology-for-europes-first-ethanol-based-renewable-ethylene-production-plant-2/ (accessed on 29 December 2024).
- Seah, C.C.; Tan, C.H.; Arifin, N.A.; Hafriz, R.S.R.M.; Salmiaton, A.; Nomanbhay, S.; Shamsuddin, A.H. Co-pyrolysis of biomass and plastic: Circularity of wastes and comprehensive review of synergistic mechanism. Results Eng. 2023, 17, 100989. [Google Scholar] [CrossRef]




| Slow Pyrolysis | Intermediate Pyrolysis | Fast Pyrolysis | Flash Pyrolysis | Hydro-Pyrolysis | |
|---|---|---|---|---|---|
| Temperature (T) | Up to 500 °C (typically around 400 °C) | 300–600 °C | Around 500 °C | Around 1000 °C | Similar to fast pyrolysis (around 500 °C) |
| Reactor Type | Fixed-bed reactors, batch reactors, or kilns | Various reactor types (e.g., auger reactors) | Reactors utilizing either bubbling or circulating fluidized bed technologies | Fluidized bed reactors | Similar to fast pyrolysis reactors |
| Heating Rate | 0.1 to 2 °C per second | 0.1–10 °C/min | >10–200 °C per second | Very high heating rates | Similar to fast pyrolysis |
| Residence Time | Hours to several days | Moderate residence time | 0.5–10 s (typically < 2 s) | Very short residence times (<0.5 s) | Similar to fast pyrolysis |
| Major Products | Char (charcoal) and tar, minimal gas | 15–25% biochar, 40–60% bio-oil, and 20–30% gas | Bio-oil and biogas | Bio-oil, gases, and minimal char | High-quality bio-oil, with fewer unsaturated hydrocarbons |
| Parameter | Auger Reactor [54] | Fluidized Bed [55] | Fixed Bed Reactor [56] | Rotating Cone Reactor [57] | Microwave Reactor [31] | Free-Fall Reactor [58] |
|---|---|---|---|---|---|---|
| Feedstock Type | Pinewood | Softwood | Empty fruit bunches | Pinewood chips | Wood chips | Palm shell |
| Temperature (°C) | 450 | N/A | 500 | 550 | 350–500 | 600 |
| Particle Size (mm) | 2–4 | N/A | 1–2 | 0.5 | 25 | 0.18 |
| Feed Rate (kg/h) | 1 | 0.1–5 | N/A | 4 | N/A | 0.036 |
| Bio-oil Yield (%) | 48.7–55.2 | 75 | 45.75 | 54.83 | 57 | 55 |
| Biochar Yield (%) | 17.5–19.8 | 10 | 29.05 | N/A | 14 | 23 |
| Gas Yield (%) | N/A | 8–15 | 25.02 | N/A | 14.3 | 13 |
| Water Content (%) | 16 | 20 | 41 | 50 | 27 | 51 |
| Solid Content (%) | 0.19 | N/A | N/A | 0.09 | N/A | N/A |
| pH | 3.1 | 2.3 | 3.1 | 3.1–4.5 | N/A | 2.67 |
| Total Acid Number | 90 | N/A | N/A | N/A | 56–190 | N/A |
| Viscosity (cP) | 60.9 at 50 °C | 40–200 at 40 °C | 1.7 at 40 °C | 47–115 | N/A | 3.5 at 40 °C |
| Density (g/cm3) | 1.19 | 1.2 | 1.03 | N/A | N/A | 1.16 |
| Higher Heating Value (MJ/kg) | 21.9 | 20 | 10.49–14.78 | 16.93–24.31 | N/A | 5.8 |
| Upgrading Method | Process Conditions/ Requirement | Reaction/Process Description | Technical Feasibility |
|---|---|---|---|
| Solvent Addition | Mild conditions; polar solvents like ethanol are required. | Increases HHV and reduces oil viscosity | Pros: Simple. |
| Cons: There is no chemical reaction to convert or eliminate unwanted compounds within bio-oil. | |||
| Emulsification/Emulsions | Mild conditions; surfactant is required. | Emulsification of bio-oil with diesel or biodiesel by using surfactant | Pros: Simple. |
| Cons: It requires high energy consumption and lacks chemical reactions to convert or remove undesired compounds in bio-oil. | |||
| Esterification/Alcoholysis | Mild conditions; alcohol is needed. | Esterification and acetalization reactions occur during the upgrading process | Pros: The method is relatively simple and operates under mild conditions, and the cost of alcohol is low if methanol is utilized. |
| Cons: It is ineffective at removing nitrogen-containing compounds. | |||
| Supercritical Fluids (SCFs) | Relatively high pressure and heat, along with organic solvents such as alcohol or acetone, are necessary. | SCFs’ unique properties, such as liquid-like density, gas-like diffusivity, and viscosity, enhance reaction rates | Pros: This technique effectively increases HHV and decreases viscosity. |
| Cons: It requires high-pressure equipment, and some solvents are costly. | |||
| Hydrotreating/Hydro-Processing/ Hydro-Refining/Hydrodeoxygenation | Relatively elevated pressure and heat, a catalyst (e.g., CoMo, NiMo, and zeolite), and high-pressure hydrogen are required for this process. | Hydrodeoxygenation, hydrogenation without simultaneous cracking or with partial cracking | Pros: The process removes nitrogen, oxygen, and sulfur as ammonia (NH3), water (H2O), and hydrogen sulfide (H2S) while increasing HHV and is already commercialized. |
| Cons: It requires high-pressure equipment and faces challenges with high coking and catalyst deactivation. | |||
| Hydro-Cracking/Catalytic Cracking | Relatively elevated pressure and temperature conditions are required, along with a catalyst such as nickel (Ni), and high-pressure hydrogen is necessary. | Hydrogenation with simultaneous cracking | Pros: It generates large quantities of light products. |
| Cons: It needs high-pressure equipment, leading to catalyst deactivation. | |||
| Zeolite Cracking | A relatively high temperature is needed, but the process can occur at atmospheric pressure with a catalyst like zeolite. | Cracking heavy molecules to light components | Pros: Produces significant amounts of light products. |
| Cons: Experiences very rapid catalyst deactivation due to carbon deposition, has a low hydrogen-to-carbon (H/C) ratio, and results in low-quality upgraded bio-oil. | |||
| Steam Reforming | High-temperature conditions are essential, and a catalyst such as nickel (Ni) is required. | Catalytic steam reforming + water–gas shift reaction | Pros: Creates H2 as a clean energy resource. |
| Cons: Needs high-temperature equipment. | |||
| Extraction of Chemicals from Bio-Oil | The process operates under mild conditions, and a solvent might be necessary. | Solvent extraction, distillation, or absorption | Pros: Extracts valuable chemicals from bio-oil. |
| Cons: Low-cost separation and refining techniques are still necessary. |
| Sample | Plant Size or Feed Rate | Process | Software | Economic Analysis Findings | References |
|---|---|---|---|---|---|
| Pine, tulip poplar, hybrid poplar, switchgrass, corn stover, and oriented strand board | 2000 tons per day | Bubbling fluidized bed reactor; pyrolysis oil upgrading | CHAMCAD | Capital cost: 30–40% Feedstock cost: 30% Hydrotreating catalyst cost: 13–18% Labor cost: 12–15% | [116] |
| Forest residue | 5 kg/h | Continuous rotatory kiln reactor | Aspen Plus | The minimum selling price for upgraded bio-oil is more than twice that of crude bio-oil. | [119] |
| Corn cob | 96.5 tons per hour | Fluidized bed reactor and hydrotreating | PYROL, HYSYS | The lowest acceptable product price for the economic viability of the pyrolysis route is USD 1.47 per gasoline-equivalent bio-oil. | [120] |
| Sugarcane bagasse | 10 tons per hour | Pyrolysis reactor and hydrotreating | Aspen Plus | Fluctuations in tax charges and capital costs do not affect the minimum selling price as significantly as conversion ratios do. | [121] |
| Eucalyptus | 2000 metric ton per day | Tail gas reactive pyrolysis (TGRP) and electricity generation plant | Pro/II simulator | The findings indicate that using eucalyptus for power generation in a single facility is not economically viable at the current electricity prices. | [122] |
| Rice husk | 1000 tons per day | Fluidized bed fast pyrolysis | Aspen Plus | The target minimum selling price for bio-oil was set at USD 0.55 per liter. | [123] |
| Wheat straw, corn cob, and sawdust | 100 kg/h | Internally interconnected fluidized bed reactor and pretreatment unit | Aspen Plus | A mobile pyrolysis system offers better long-term economic prospects than a fixed plant due to its higher turnover rate. | [124] |
| Pinewood | 72 tons per day | Pyrolysis reactor with catalytic cracking | Aspen Plus | The findings suggest that producing biofuels through the process of zeolite cracking of bio-oil obtained from pyrolysis is economically viable. | [125] |
| Rice husk | 4000 kg per hour | Pretreatment pyrolysis reactor | Aspen Plus | The production cost of liquid fuel is lower than the anticipated selling price of pyrolysis liquid, with a payback period of six years. | [126] |
| Sugarcane bagasse | 1000 tons per hour | Fast pyrolysis and hydrotreating | Financial and risk analysis simulator | Fischer–Tropsch synthesis is considered more efficient than the fast pyrolysis method. | [127] |
| Forest residue | 2000 dry metric tons per day | Pyrolysis reactor hydrothermal treating | Lab experiment and Aspen Plus | For a project with a 30-year lifespan, the minimum fuel selling price was calculated to be USD 6.25 per gallon. | [128] |
| Empty fruit bunch | 400 tons per day | Fast pyrolysis reactor and upgrading unit | A four-level economic potential approach | The bio-oil plant is deemed most economical because it has highest potential for interest and return rates. | [129] |
| Pathways | MFSP Range (USD/HFOGE) | Feedstocks | Reference |
|---|---|---|---|
| Fischer–Tropsch | 4.58 | biomass and coal | |
| Fischer–Tropsch | 3.62 | biomass | |
| Fischer–Tropsch | 2.87 | biomass and natural gas | |
| Fischer–Tropsch | 2.36 | natural gas | [158] |
| Biodiesel via hydrotreating | 4.23 | yellow grease | |
| Biodiesel via hydrotreating | 3.57 | yellow grease + heavy fuel oil | |
| Fast pyrolysis | 2.36 | low-ash woody feedstock | |
| Decentralized Fischer–Tropsch | 8.88 | biomass | |
| Centralized Fischer–Tropsch | 3.7 | biomass | |
| Fermentation | 6.22 | biomass | [159] |
| Pyrolysis | 4.59 | biomass | |
| Gasification to liquid | 7.34 | bagasse | |
| Hydrothermal liquefaction | 3.71 | bagasse | [160] |
| Pyrolysis | 4.5 | bagasse |
| Company | Products | Technology Used | Annual Production | Economic Impact/Market Cap | Reference |
|---|---|---|---|---|---|
| Renewable Energy Group (REG) | Biodiesel, biogas, biomethane, and ethanol | Transesterification of oils | 470 million gallons as of 2024 | Raised USD 100 million in private equity | [162] |
| POET | Bioethanol; biomass for food and cosmetics | The ANDRITZ technology | Over 3 billion gallons | Listed in Fortune’s “Change the World” | [163] |
| Green Plains | Low-carbon biofuels | Fermentation, agricultural, and biological technologies | 1 billion gallons of biofuel | USD 1.94 billion market cap | [164] |
| Cosan | Sugar, ethanol, and bioenergy | Second-generation ethanol (E2G) technology (sugarcane processing) | 56 million tons of sugarcane | USD 5.67 billion market cap as of April 2023 | [165] |
| Enviva | Sustainable wood pellets | Drying, compressing, and cooling technologies | 6.2 million metric tons wood pellets per year | Expects to invest USD 375 million for the nest plant | [166] |
| VERBIO | Biodiesel, biogas, biomethane, and ethanol | Transesterification and fermentation | 660,000 tons of biodiesel, 300,000 tons of bioethanol, and 1300 gigawatt-hours of biomethane | USD 2.55 billion market cap | [167] |
| Enerkem | Biofuels (ethanol and methanol) from wase | Gasification of waste materials and syngas conditioning | 36 million liters/10 million gallons | USD 255 million funding (2022) | [168] |
| EnviTec | Biogas and biomethane | SEPURAN® Green modules (membrane separation) | Over 600 plants worldwide | USD 609 million market cap | [169] |
| CropEnergies | Ethanol; biomass for food and cosmetics | Atol (dehydrating ethanol to produce ethyl acetate) | 1.3 million m3 of ethanol | USD 1 billion market cap | [170] |
Disclaimer/Publisher’s Note: The statements, opinions and data contained in all publications are solely those of the individual author(s) and contributor(s) and not of MDPI and/or the editor(s). MDPI and/or the editor(s) disclaim responsibility for any injury to people or property resulting from any ideas, methods, instructions or products referred to in the content. |
© 2025 by the authors. Licensee MDPI, Basel, Switzerland. This article is an open access article distributed under the terms and conditions of the Creative Commons Attribution (CC BY) license (https://creativecommons.org/licenses/by/4.0/).
Share and Cite
Parvari, E.; Mahajan, D.; Hewitt, E.L. A Review of Biomass Pyrolysis for Production of Fuels: Chemistry, Processing, and Techno-Economic Analysis. Biomass 2025, 5, 54. https://doi.org/10.3390/biomass5030054
Parvari E, Mahajan D, Hewitt EL. A Review of Biomass Pyrolysis for Production of Fuels: Chemistry, Processing, and Techno-Economic Analysis. Biomass. 2025; 5(3):54. https://doi.org/10.3390/biomass5030054
Chicago/Turabian StyleParvari, Elahe, Devinder Mahajan, and Elizabeth L. Hewitt. 2025. "A Review of Biomass Pyrolysis for Production of Fuels: Chemistry, Processing, and Techno-Economic Analysis" Biomass 5, no. 3: 54. https://doi.org/10.3390/biomass5030054
APA StyleParvari, E., Mahajan, D., & Hewitt, E. L. (2025). A Review of Biomass Pyrolysis for Production of Fuels: Chemistry, Processing, and Techno-Economic Analysis. Biomass, 5(3), 54. https://doi.org/10.3390/biomass5030054

