Next Article in Journal
Prospects for Biomass Heat Energy in Kosovo: Environmental Considerations and Usage Limitations
Previous Article in Journal
Morphologic Features and Thermal Characteristics of Nine Cotton Biomass Byproducts
 
 
Font Type:
Arial Georgia Verdana
Font Size:
Aa Aa Aa
Line Spacing:
Column Width:
Background:
Review

Clean and Efficient Thermochemical Conversion Technologies for Biomass in Green Methanol Production

1
Department of Engineering Mathematics, University of Bristol, Bristol BS8 1QU, UK
2
Department of Energy and Power Engineering, Tsinghua University, Beijing 100084, China
3
School of Energy Science and Engineering, Harbin Institute of Technology, Harbin 150001, China
4
Harbin Boiler Company Limited, Harbin 150001, China
5
Ordos Laboratory, Ordos 545002, China
*
Author to whom correspondence should be addressed.
Biomass 2025, 5(1), 13; https://doi.org/10.3390/biomass5010013
Submission received: 18 December 2024 / Revised: 17 February 2025 / Accepted: 20 February 2025 / Published: 1 March 2025

Abstract

China has abundant biomass and renewable energy resources suitable for producing green methanol via biomass thermochemical conversion. Given China’s increasing demand for sustainable fuel alternatives and the urgency to reduce carbon emissions, optimizing biomass utilization through gasification is critical. Research has highlighted the potential of integrating biomass gasification with water electrolysis to enhance efficiency in green methanol production, leveraging China’s vast biomass reserves to establish a cleaner energy pathway. Four main biomass gasification technologies—fixed-bed, fluidized-bed, pressurized fluidized-bed, and entrained-flow—have been investigated. Fixed-bed and bubbling fluidized-bed gasification face low gas yield and scaling issues; whereas, circulating fluidized-bed gasification (CFB) offers better gas yield, carbon efficiency, and scalability, though it exhibits high tar and methane in syngas. Pressurized fluidized-bed gasification improves gasification intensity, reaction rate, and equipment footprint, yet stable feedstock delivery under pressure remains challenging. Entrained-flow gasification achieves high carbon conversion and low tar but requires finely crushed biomass, restricted by biomass’ low combustion temperature and fibrous nature. Current industrially promising routes include oxygen-enriched and steam-based CFB gasification with tar cracking, which reduces tar but requires significant energy and investment; oxygen-enriched combustion to produce CO2 for methanol synthesis, though oxygen in flue gas can poison catalysts; and a new high oxygen equivalence ratio CFB gasification technology proposed here, which lowers tar formation and effectively removes oxygen from syngas, thereby enabling efficient green methanol production. Overcoming feedstock challenges, optimizing operating conditions, and controlling tar and catalyst poisoning remain key hurdles for large-scale commercialization.

1. Introduction

Biomass resources are organic materials accumulated through photosynthesis, including agricultural residues, forestry residues, municipal solid waste, and livestock manure [1]. According to recent studies, the global annual production potential of biomass is estimated to be approximately 1 to 1.4 billion tons of oil equivalent (toe) [2], with agricultural biomass accounting for over 50% [3]. Due to its vast agricultural sector, China is one of the richest countries in biomass resources, producing approximately 900 million tons annually [4]. China’s biomass reserves are a crucial component in addressing global climate challenges, as they serve as a carbon storage carrier. Biomass growth is the most efficient and natural method for capturing and storing CO2 from the atmosphere, making it an essential tool for CO2 mitigation.
Furthermore, the development of high-energy biomass chains should focus exclusively on utilizing surplus biomass to prevent competition with food, feed, and fiber resources, while ensuring sustainability in energy production [5]. Surplus biomass, defined as biomass beyond the requirements for food, feed, and fiber, is estimated to account for 300–400 million tons annually, offering substantial opportunities for energy conversion and fossil fuel replacement [6]. This surplus biomass has the potential to offset approximately 10–15% of China’s annual fossil fuel consumption [7]. The geographical distribution of surplus biomass resources is primarily concentrated in key agricultural provinces such as Heilongjiang, Henan, and Shandong, where collection systems and supply chain networks are being developed to support its integration into the energy system [8]. Biomass resources are not only widely available but also exhibit significant carbon reduction potential. Life cycle assessments (LCA) indicate that biomass fuels can reduce carbon emissions by approximately 70–90% compared to conventional fossil fuels [9]. Therefore, utilizing these resources for energy conversion can not only alleviate the depletion of fossil fuels but also reduce greenhouse gas emissions. As a result, biomass resources are indeed a crucial pillar for achieving a sustainable energy transition [10].
In addition, China possesses abundant green electricity resources, particularly in wind and solar energy. According to data from the National Energy Administration of China, by the end of 2022, China’s installed capacity for wind and solar power generation reached approximately 340 GW and 320 GW, respectively, ranking among the highest globally [11]. These green electricity resources provide sustainable power support for the efficient conversion of biomass energy, further reducing carbon emissions and improving energy utilization efficiency [12]. As China vigorously advances its carbon peaking and carbon neutrality goals, leveraging the synergistic effects of biomass and green electricity resources will become a critical direction for future energy transition [13].
With the adoption of the 2023 IMO Greenhouse Gas Reduction Strategy by the International Maritime Organization and the inclusion of the shipping industry in the EU Emissions Trading System, along with a series of international policies, green methanol has become the core choice for decarbonizing the shipping industry [14]. At the same time, international shipping giants, led by Maersk, have successively implemented strategies for fuel greening, making methanol-fueled ships the mainstream alternative for fuel-powered vessels, which has greatly driven the demand and development of green methanol [15].
In summary, China has unique advantages in its endowment of green electricity and biomass resources. The production of green methanol via biomass syngas not only addresses the challenge of the large-scale consumption of fluctuating green electricity but also realizes the resource utilization of biomass. A schematic diagram of this process is shown in Figure 1 [16]. Syngas produced by thermochemical conversion is hydrogenated and reformed to synthesize green methanol [17].
However, hydrogen storage and transportation pose significant safety risks. Hydrogen is highly flammable, and its low density requires storage at high pressures or cryogenic temperatures, which increases technical challenges and hazards. To mitigate these issues, on-site hydrogen production through water electrolysis powered by abundant green electricity is proposed as an alternative. This approach eliminates the need for large-scale hydrogen storage and transportation, while directly supplying the hydrogen required for green methanol synthesis. The availability of renewable electricity in China supports this strategy, ensuring that hydrogen is produced and utilized locally, improving system safety and efficiency [18].
At present, the preparation of green methanol has not been industrialized due to various technical barriers. Thermochemical conversion processes, including gasification and oxygen-enriched combustion, face critical challenges, such as high syngas cleaning costs, tar formation, and inconsistent feedstock supply, which hinder large-scale implementation [19]. Summarizing the existing research, the main technological paths of biomass-based thermal conversion are as follows: 1. Biomass gasification technology, which converts biomass into syngas with CO/H2/CO2 as the main component and synthesizes methanol with hydrogen produced by green power. 2. Oxygen-enriched combustion technology, which uses pure oxygen and flue gas recirculation instead of air as the combustion medium, and the main component of flue gas is changed from N2 to CO2/CO, which can be synthesized with hydrogen produced by green electricity. 3. This paper innovatively proposes a new process of “methanol syngas preparation by the thermal conversion of biomass with a high oxygen–equivalent ratio”, which realizes that the original content of syngas tar can meet the requirements of the methanol synthesis process in the latter sequence. One of the major barriers is the production of high-quality syngas, as existing thermochemical processes struggle with effective tar removal and catalytic poisoning, necessitating advanced gas cleaning and reactor optimization [20].
Currently, nearly 30 projects for green methanol production through biomass thermochemical conversion have been approved in China [21]. However, there is still a lack of comparative studies on biomass gasification, oxygen-enriched combustion, and high oxygen equivalence ratio conversion, limiting the ability to identify the optimal industrial pathway. To expedite the industrial application of biomass thermochemical conversion technologies necessary for green methanol production, this study categorizes these technologies into three major types: biomass gasification, oxygen-enriched biomass combustion, and biomass thermochemical conversion under high oxygen equivalence ratio conditions—a technology that lies between combustion and gasification. This paper provides a detailed review of the current research status of each technology, analyzes their technical bottlenecks, and highlights the outstanding advantages of “biomass thermochemical conversion under high oxygen equivalence ratio conditions” in controlling tar. The findings aim to inform the selection of industrial application pathways and serve as a reference for related research.

2. Biomass Gasification

2.1. Principles of Biomass Gasification

The biomass gasification process is an efficient thermochemical processing technology, the core of which is to convert the combustible components of biomass into combustible gases through a series of chemical reactions under high-temperature conditions. In the biomass gasification process, oxygen (in the form of air, enriched oxygen, or industrial-grade pure oxygen) or steam is typically used as the gasifying agent [22], enabling the conversion of biomass into syngas under high-temperature or high-pressure conditions. The gasification process consists of four main steps, as shown in Figure 2. First, the moisture in the biomass evaporates upon heating (drying); subsequently, the biomass undergoes thermal decomposition reactions, producing large amounts of volatile matter and char (pyrolysis) [23]. These volatile substances and char are then further combusted in the gasifier (oxidation) [24]. Finally, the residual char reacts with the gasifying agent to produce crude syngas primarily composed of carbon monoxide (CO), hydrogen (H2), and methane (CH4) (reduction) [25]. This sequence of processes not only enables the efficient conversion of biomass energy into combustible gases but also allows these gases to be further converted into high-value-added chemical products, such as methanol, through subsequent synthesis reactions [26].

2.2. Classification of Gasifiers

Biomass gasification is a key method for the energy utilization of biomass, with the process taking place within a gasifier. Therefore, the choice of gasification technology significantly affects the quality of the produced syngas [27]. Based on the type of bed configuration or fuel movement within the gasifier, gasifiers can be classified into the following categories: Fixed-bed gasifiers, which are highly suitable for uniform biomass feedstocks and feature simpler designs, though they may have limited throughput [28]. Entrained-flow gasifiers, which guide gas through the combustion zone to produce cleaner gas [29]. Fluidized-bed gasifiers, which offer higher efficiency and greater fuel flexibility but require more complex designs [30].

2.2.1. Fixed-Bed Gasifiers

Fixed-bed gasifiers are one of the most traditional and mature types of gasification technology. The reactions proceed sequentially in a relatively stationary bed, encompassing four key processes: drying, pyrolysis, oxidation, and reduction, thereby converting solid biomass feedstock into combustible gas [30]. Based on the position of the gasifying agent input and the direction of fuel layer penetration, fixed-bed gasifiers can be categorized into three main structural types: updraft, downdraft, and cross-draft gasifiers, as shown in Figure 3 [31]. In updraft gasifiers, the gasifying agent is introduced from the bottom of the reactor, and the gas flows upward through the fuel bed. The bed is stratified from top to bottom into distinct layers: the drying layer (A), pyrolysis layer (B), reduction layer (C), and oxidation layer (D). Gasification reactions are completed progressively within these layers, and the resulting combustible gas exits from the top. Since the combustion zone is located at the bottom of the reactor, with biomass fed from the top, this design features good fuel adaptability, thorough reactions, and a low syngas outlet temperature (200–300 °C), effectively enhancing thermal efficiency. However, the close proximity of the biomass feed points, and syngas outlet results in high dust content in the syngas, as well as the carryover of moisture generated in the drying zone, which does not fully react before being discharged. Additionally, the relatively low outlet temperature leads to a high tar content in the syngas [32]. In downdraft gasifiers, the gasifying agent is introduced downward, and the corresponding combustion zone is located in the middle of the reactor, while the syngas outlet is situated at the bottom. Due to its proximity to the combustion zone, the gas outlet temperature is higher, typically ranging from 900 to 1000 °C. This effectively reduces the tar content in the syngas, but the higher syngas outlet temperature also decreases the thermal efficiency of the gasification system [33]. In cross-draft gasifiers, the gasifying agent enters from one side of the reactor and flows horizontally through the fuel bed, with the syngas exiting from the opposite side. Since the combustion zone is close to the syngas outlet, the syngas temperature is relatively high (800–900 °C), which helps reduce the tar content [34]. However, the proximity of the gasifying agent inlet to the syngas outlet results in a shorter biomass residence time within the reactor, leading to a lower carbon conversion efficiency, thereby limiting its industrial application potential.
Overall, the structural design of different types of fixed-bed gasifiers directly influences the carbon conversion efficiency, tar and dust content, and the quality of syngas, each presenting specific advantages and disadvantages. However, for fixed-bed gasifiers, maintaining a relatively stationary bed layer constrains the flow rate of the gasifying agent, thereby limiting industrial scalability. Additionally, the relatively stationary bed leads to slow gas–solid reaction rates and low gas production rates. These drawbacks restrict the large-scale application of fixed-bed biomass gasification technology [35].

2.2.2. Entrained-Flow Gasifiers

The entrained-flow gasifier employs pneumatic conveying to carry powdered solid fuel (particle size of 0.1–1 mm) and gasifying agents into the gasifier in a co-current manner, as illustrated in Figure 4. Under high-temperature (1300–1500 °C) and high-pressure (25–30 bar) conditions, rapid gasification reactions occur within the entrained-flow gasifier, converting fuel and gasifying agents into syngas, which is discharged through the side outlet, while residual materials, such as slag, are removed from the bottom of the reactor [36].
Due to the high reaction temperatures, the entrained-flow gasifier exhibits significant advantages, including high carbon conversion efficiency and extremely low tar concentrations in the syngas. As a result, this technology has been widely adopted in the coal gasification sector [37]. However, for biomass, particularly agricultural straw containing a large proportion of fibers, it is challenging to mill the material to meet the particle size requirements for entrained-flow gasifiers [38].
Moreover, since the theoretical combustion temperature of biomass is significantly lower than that of coal, entrained-flow gasifiers cannot achieve the melting temperature required for ash vitrification [32]. These issues represent the core bottlenecks for the application of biomass entrained-flow gasification technology [39].
Figure 4. Schematic diagram of entrained-flow gasifiers [40].
Figure 4. Schematic diagram of entrained-flow gasifiers [40].
Biomass 05 00013 g004

2.2.3. Fluidized-Bed Gasifiers

The fluidized-bed gasifier, as an important gasification technology, introduces gasifying agents into the reactor from the bottom through a distributor using a blower. This creates a “bubbling” state for combustion and gasification reactions, resulting in rapid reaction rates [34]. Based on the reactor structure and gasification process, typical fluidized-bed gasifiers are categorized into bubbling fluidized beds (Figure 5) and circulating fluidized beds (Figure 6). Fluidized-bed gasifiers are widely recognized for their excellent mass and heat transfer capabilities, achieving significantly higher gas production rates compared to bubbling beds. For the same biomass processing capacity, the gas production rate of bubbling fluidized-bed gasifiers is four times that of fixed-bed gasifiers, while circulating fluidized beds achieve ten times the gas production of fixed beds. This notable advantage has garnered extensive attention for fluidized-bed gasification technology in the biomass gasification sector.
However, bubbling fluidized-bed gasifiers are constrained by low fluidization velocities, and similar to fixed-bed gasifiers, they exhibit disadvantages during industrial-scale syngas production. In contrast, circulating fluidized-bed gasifiers, with their intense gas–solid heat and mass transfer and higher fluidization velocities, demonstrate outstanding advantages in terms of carbon conversion efficiency and scalability, making them a focus of academic and industrial research in recent years [41].
Nevertheless, due to the relatively low reaction temperatures in fluidized-bed gasifiers, the high tar content in syngas remains a critical bottleneck for the application of this gasification technology [42].

2.2.4. Pressurized Fluidized-Bed Gasification

Building on the advantages of fluidized beds in biomass gasification and drawing inspiration from entrained-flow gasifiers in coal gasification, some researchers have proposed the concept of pressurized fluidized-bed gasification, primarily based on the following considerations: (1) One of the key performance indicators for evaluating the economic feasibility of gasification is gasification intensity, defined as the gas production rate per unit cross-sectional area of the gasifier. Increasing the pressure of the gasification process enhances gasification intensity, enabling a more compact equipment layout, better industrial scalability, and improved economic viability. (2) The thermal conversion of biomass needs to be aligned with the methanol synthesis process, which operates under high pressure. Pressurizing the gasification process can reduce system energy losses. (3) Under pressurized conditions, the gas concentration on the surface of biomass particles increases, improving the microscale contact between gases and the biomass surface, thereby promoting the gasification reaction.
The primary challenge of pressurized fluidized-bed gasification is the alteration of gas–solid flow characteristics within the reactor, which significantly impacts the gasification reactions. Wang Haigang and colleagues conducted studies on the gas–solid flow properties in pressurized fluidized beds [35]. They found that, as reactor pressure increased, gas density and gas–solid interphase forces were significantly enhanced, which affected particle movement, the distribution within the bed, and the dynamic behavior of agglomerates. With increasing operational pressure, bubble fragmentation intensifies, bubble size decreases, but their number increases, leading to the improved uniformity of the gas–solid flow and a certain degree of enhancement in particle mixing rates.
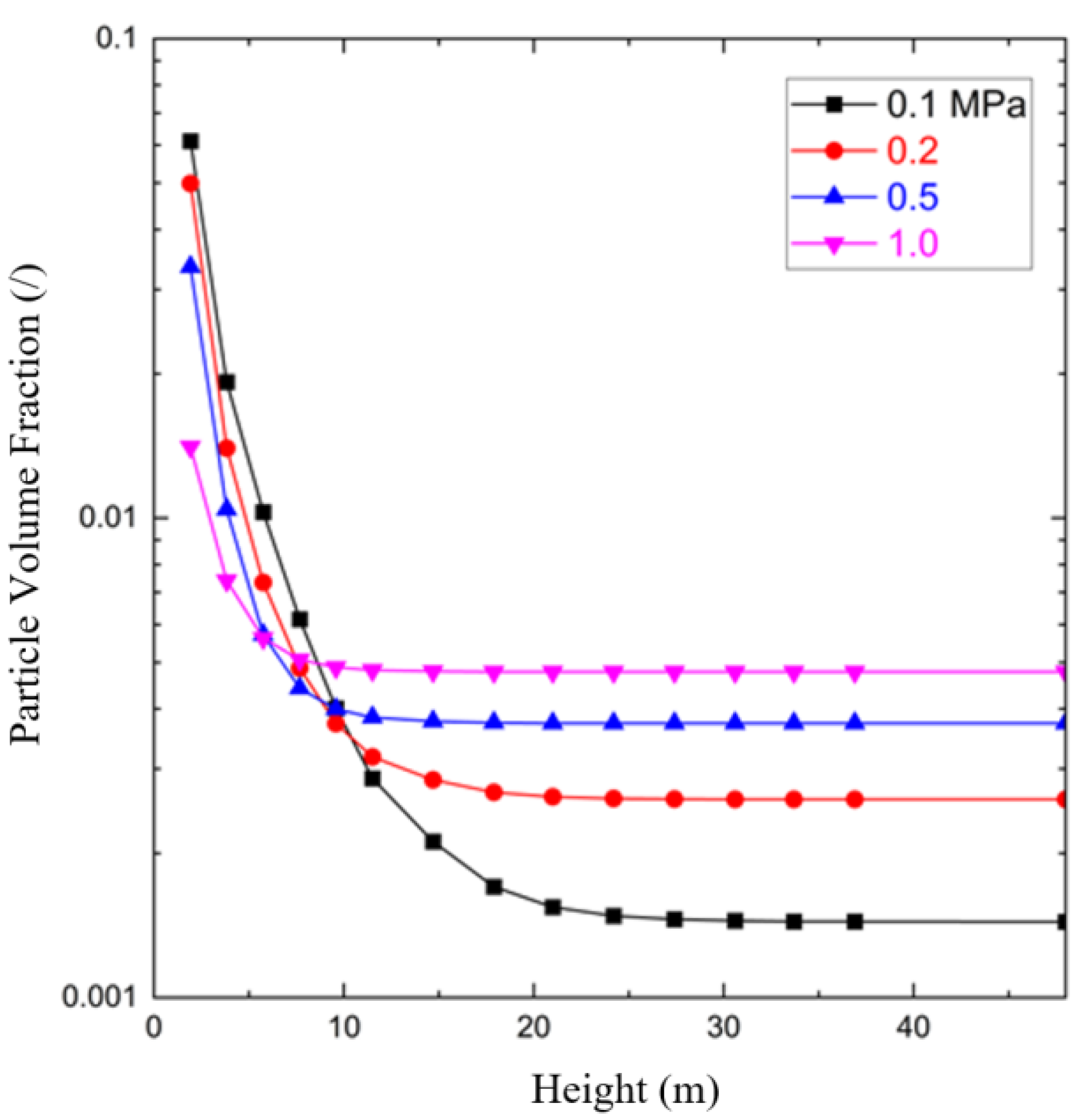
In pressurized circulating fluidized beds, particle concentration exhibits axial and radial non-uniform distributions, characterized by higher concentrations at the bottom and near the walls and lower concentrations at the top and center (Figure 7 and Figure 8). It is found that particle circulation flux increases with the pressure increase, which means more entrained particles participate into the circulation, and therefore, the fluidization process is enhanced. (Figure 9).
Although researchers have revealed the gas–solid flow characteristics of pressurized circulating fluidized beds, providing targeted insights for the development of biomass gasification technologies, significant challenges remain. Pressurized biomass gasification systems must be equipped with pressurized fuel feeding systems, which represent the greatest hurdle for pressurized gasification. Additionally, the lack of design experience with pressurized fluidized beds is a major bottleneck for industrial applications.
In Europe, due to its resource endowment characteristics, research on biomass pressurized gasification began in the 1980s. However, to date, large-scale application has yet to be achieved. One of the core bottlenecks remains the challenge of fuel feeding under pressurized conditions.

2.2.5. Biomass Pure Oxygen Circulating Fluidized-Bed Gasification

Tsinghua University, in collaboration with Harbin Boiler Company Limited, has developed a biomass pure oxygen gasification technology using O2 + H2O + CO2 as the gasifying agents and fluidizing media. Compared to air gasification, this approach significantly reduces the nitrogen content in the gasification products, enabling the flexible adjustment of syngas composition through water–gas shift technology, making it one of the main directions for the advancement of biomass gasification technology. The system process in conjunction with the subsequent methanol synthesis procedure is illustrated in Figure 10.
Biomass undergoes gasification reactions in a circulating fluidized bed, with the gasifying agents consisting of O2 produced via water electrolysis powered by green electricity, steam, and CO2 separated from syngas reforming and shift reactions. Since the fluidized bed gasification temperature is relatively low (approximately 800 °C), the syngas contains tar. To ensure the longevity of the subsequent methanol synthesis catalyst, the syngas undergoes partial oxidation at 1200 °C to achieve thermal cracking of the tar. After removing the tar and methane, the syngas is subjected to waste heat recovery to reduce its temperature to below 180 °C, followed by flue gas purification and further cooling to 40 °C. The syngas then undergoes reforming and water–gas shift reactions, with the effective gas components directed toward methanol synthesis.
Harbin Boiler Company Limited developed the pure oxygen gasification scheme, as illustrated in Figure 11. In the gasifier layout, the partial oxidation reactor and waste heat boiler are arranged in series, supported by a single steel structure, and equipped with a cyclone dust collector (dual cyclones) to reduce particulate content. A micro-positive-pressure auxiliary system (including bed material addition, bottom ash cooling, and dust collector ash cooling systems) is also included.
Due to the high alkali metal content in biomass ash, the flue gas carries molten ash particles, which can accumulate on the heating surfaces of the waste heat boiler. To prevent this issue, the high-temperature section of the waste heat boiler adopts a screen-type heating surface design to avoid transverse flue gas scouring of the heating surface. Additionally, the vertical heating surface facilitates ash accumulation on the heating surface, providing an effective measure to prevent ash deposition.

3. Biomass Oxy-Combustion Technology

To address the high tar content issue in biomass fluidized-bed gasification, researchers have proposed the use of circulating fluidized-bed oxy-combustion technology. Considering the demand for effective gas components for subsequent methanol synthesis and the utilization of oxygen produced during water electrolysis, this technology has emerged as a promising pathway for the efficient thermochemical conversion of biomass to green methanol (Figure 12). Green electricity is used to electrolyze water, with the oxygen generated being supplied to the biomass circulating fluidized-bed boiler. The fluidizing medium for the biomass fluidized bed consists of oxygen combined with recirculated flue gas from combustion. The flue gas exiting the boiler primarily comprises CO2, which is subsequently used in the CO2-to-methanol process. The oxy-combustion process also generates superheated steam for grid power generation by heating boiler feedwater.
Tsinghua University, in collaboration with Harbin Boiler Company Limited, developed a 65 t/h biomass circulating fluidized-bed boiler (Figure 13). The boiler mainly comprises a furnace, separator, return valve, and tail convection flue. Feedwater is preheated by an economizer located at the lower section of the tail convection flue before entering the steam drum. From the steam drum, water flows down through the downcomers to the water walls, where it is heated. The resulting water–steam mixture re-enters the steam drum, where steam and water are separated. Saturated steam is then directed to the low-temperature superheater in the tail convection flue, followed by the medium-temperature and high-temperature superheaters located in the furnace. Once the steam reaches the turbine operation parameters, it drives a turbine to generate electricity.
Given the ash deposition characteristics under biomass oxy-combustion conditions, an ash deposition model for the tail heat transfer surfaces was developed, elucidating the ash deposition mechanisms, including thermophoresis, condensation, and inertial impaction. Among these, inertial impaction dominates. Figure 14a illustrates the schematic diagram of ash particle deposition on tail heat transfer surfaces via these mechanisms, while Figure 14b presents the time-dependent variation of the relative sediment mass ratio for each deposition pathway, confirming inertial impaction as the most significant contributor. Based on this model, the influence of design parameters on ash deposition behavior was analyzed. Recommendations were made to mitigate ash deposition by improving separator efficiency to reduce the fly ash particle size and decreasing the flue gas velocity in the tail flue to minimize ash accumulation caused by inertial impaction [33].
Despite its technological promise, several barriers limit the scalability and widespread application of gasification and oxy-combustion technologies for methanol production. Challenges, such as tar formation, biomass feeding system inefficiencies, and low technical scalability, must be addressed to achieve viable industrial-scale deployment. Nevertheless, the effective contribution of biomass to China’s energy demand remains substantial, offering the potential to meet approximately 10–15% of China’s annual energy needs, if surplus biomass resources are fully utilized and efficiently integrated into energy system [43]. This highlights the critical importance of continuing technological advancements to maximize biomass’ role in the nation’s energy transition.
After biomass oxy combustion, the flue gas has an oxygen concentration of approximately 3.5%, which can lead to catalyst poisoning in subsequent methanol synthesis. However, the removal of oxygen from flue gas is technically complex and costly, representing one of the key bottlenecks of the oxy-combustion methanol synthesis process.

4. High Oxygen Equivalence Ratio Biomass Thermochemical Conversion Technology

Based on the concept of oxy-combustion coupled with CO2-to-methanol synthesis, in this paper, an innovative technology for thermochemical conversion of biomass with high oxygen equivalence ratio in the fluidized-bed system is proposed. This technology adjusts the oxygen-to-biomass equivalence ratio to a range between combustion and gasification, effectively addressing two key challenges: the high tar content in syngas from conventional fluidized-bed gasification and the high oxygen concentration in syngas from oxy-combustion (Figure 15). By overcoming these problems, the process eliminates the bottleneck in the methanol synthesis stage. It has become the most promising technology for the thermal conversion of biomass to prepare green methanol syngas for industrial applications.
When the oxygen equivalence ratio is less than 0.4, the dominant chemical reactions in the biomass thermochemical conversion unit are gasification reactions. The resulting syngas primarily consists of H2, CO, CO2, CH4, and H2O. While the composition meets the requirements of the methanol synthesis system, the high tar content in syngas at this equivalence ratio hinders the continuous operation of methanol synthesis units. Conversely, when the oxygen equivalence ratio exceeds 1, combustion reactions dominate in the biomass thermochemical conversion unit. The flue gas primarily consists of CO, CO2, H2O, and O2, with the residual O2 adversely affecting the methanol synthesis system.
The core principle of the high oxygen equivalence ratio biomass thermochemical conversion technology is to maintain the oxygen equivalence ratio within the range of 0.4 to 1. As the oxygen equivalence ratio increases, the tar content decreases, and the oxygen content of the syngas increases, and the process for the subsequent preparation of methanol requires a tar content of less than 5 g/m3, for a particular biomass, to ensure that the tar and oxygen content meets the requirements. This ensures that the tar and oxygen content in syngas simultaneously satisfy the requirements of the methanol synthesis system. It is important to note that an optimal oxygen equivalence ratio control range exists, which is influenced by factors such as biomass type, fluidized-bed reactor temperature, and fluidization velocity.

5. Future Trends

As this article reviews emerging pathways for green methanol production from biomass, several focal points for future research have become evident. First, there is a pressing need to address the technical and economic barriers that currently limit the large-scale application of biomass thermochemical conversion technologies. This includes advancing reactor designs, optimizing syngas purification, and integrating renewable power sources to enhance overall conversion efficiency and cost-effectiveness. Moreover, selecting the optimal thermochemical route depends on specific biomass feedstock properties: fluidized-bed gasification is often favored for agricultural residues with high ash content, entrained-flow gasification performs better for woody biomass requiring fine pulverization and thorough pyrolysis, while oxy-combustion can be particularly advantageous for high-moisture or heterogeneous materials, such as municipal solid waste. The proposed high oxygen equivalence ratio technology further offers a promising middle ground, balancing the strengths of both gasification and combustion.
Through a comprehensive review of existing studies, the following findings and prospective areas for research have been identified:
1. Biomass thermochemical conversion technologies for green methanol production mainly include biomass gasification, biomass oxy-combustion, and high oxygen equivalence ratio thermochemical conversion technologies. These technologies are currently concentrated at the laboratory research stage. Due to various technical barriers and limited technological maturity, none of them have yet achieved large-scale application.
2. Gasification encompasses fixed-bed, fluidized-bed (bubbling and circulating), pressurized fluidized-bed, and entrained-flow processes. Fixed-bed and bubbling fluidized-bed designs exhibit lower gas yields and scaling issues. Circulating fluidized-bed gasification provides higher gas production, carbon conversion, and scalability, yet its relatively low reaction temperature leads to elevated tar and methane levels. Pressurized fluidized-bed gasification increases gasification intensity, shortens residence time, and enhances scalability, though feeding low-density biomass under pressure remains problematic. Studies indicate that pressurization alters gas–solid flow patterns, necessitating more complex reactor designs. Entrained-flow gasification achieves high carbon conversion and reduced tar content, but biomass’ low theoretical combustion temperature and fibrous structure hinder the fine pulverization needed for efficient operation.
3. To increase the effective fraction of syngas, Tsinghua University, in conjunction with Harbin Boiler Works Co., Ltd. (Harbin, China), proposed a circulating fluidized bed gasification process with pure oxygen + water vapor + CO2 as the gasification medium, in which a large proportion of N2 in the syngas is removed compared to air gasification, and developed a gasification engineering scheme for treating 40 t/h of biomass, which removes the tar in the syngas through the installation of additional partially oxidizing equipment, consuming part of the effective gas, and increases the initial investment and operation and maintenance cost of the equipment.
4. To mitigate the complexity and syngas losses from standalone tar and methane removal in circulating fluidized-bed gasification, Tsinghua University and Harbin Boiler Company Limited developed a 65 t/h biomass oxy-combustion boiler. Pure O2 and recirculated flue gas are used as gasifying and fluidizing agents, yielding flue gas largely composed of CO2 for methanol synthesis. Unlike fluidized-bed gasification, tar and methane are inherently eliminated; however, approximately 3.5% residual oxygen remains, posing challenges for downstream catalysts and methanol production.
5. Based on the strong adaptability of fluidized-bed gasification to biomass and the tar-removal advantages of oxygen-rich combustion, this paper proposes a high oxygen equivalence ratio biomass thermal conversion technology. Positioned between combustion and gasification, it yields tar-free syngas with significantly reduced oxygen content, improving downstream alcohol production. By avoiding many of the technical challenges found in existing biomass conversion routes, this new process emerges as one of the most competitive options for future green alcohol production.

6. Conclusions

Green methanol production from biomass is an attractive strategy for meeting strict environmental regulations and the growing demand for renewable fuels. This review highlights three main thermochemical pathways—gasification, oxy-combustion, and high oxygen equivalence ratio processes—each with distinct advantages but hindered by technical and economic challenges that limit large-scale adoption. Among these pathways, high oxygen equivalence ratio technology stands out for its efficient tar removal, reduced syngas oxygen content, and straightforward integration with downstream synthesis.
Moving forward, pilot-scale demonstrations, refined reactor designs, and supportive policies are needed to overcome existing barriers. By harnessing China’s abundant green electricity resources, these thermochemical processes could become a viable, low-carbon alternative in high-energy sectors, such as maritime shipping. If effectively scaled, they may help reduce reliance on fossil fuels, curb greenhouse gas emissions, and advance global efforts toward a more sustainable energy future.

Author Contributions

N.L.: writing—original draft, Z.L.: literature review, Y.W.: biomass oxygen + steam gasification system design, M.Z.: paper review and editing, H.Y.: supervision, T.Z.: supervision and paper review and editing. All authors have read and agreed to the published version of the manuscript.

Funding

This research was funded by the National Natural Science Foundation of China (No. 52276124) and Huaneng Group science and technology research project (HNKJ23-H71).

Conflicts of Interest

The authors declare no conflicts of interest. The funders had no role in the design of the study; in the collection, analyses, or interpretation of data; in the writing of the manuscript; or in the decision to publish the results.

References

  1. Pei, Y.; Wang, S.; Chen, X.; Lu, F. Evaluation of a Green Methanol Production System Using the Integration of Water Electrolysis and Biomass Gasification. Therm. Sci. 2024, 28, 4685–4694. [Google Scholar] [CrossRef]
  2. Makul, N.; Fediuk, R.; Amran, M.; Al-Akwaa, M.S.; Pralat, K.; Nemova, D.; Petropavlovskii, K.; Novichenkova, T.; Petropavlovskaya, V.; Sulman, M. Utilization of Biomass to Ash: An Overview of the Potential Resources for Alternative Energy. Materials 2021, 14, 6482. [Google Scholar] [CrossRef]
  3. Kovalyshyn, S.; Kaygusuz, O. Global Energy Demand and Woody Biomass. J. Energy Res. Appl. 2019, 8, 1119–1126. [Google Scholar]
  4. Zeinali, E. Complementary Cooling, Heating, and Power Generation System Based on Sustainable Improvement of Solar Energy and Biomass Energy. Renew. Energy 2022, 185, 1235–1245. [Google Scholar]
  5. Yang, Q.; Zhou, H.; Bartocci, P.; Fantozzi, F.; Mašek, O.; Agblevor, F.A.; Wei, Z.; Yang, H.; Chen, H.; Lu, X.; et al. Prospective contributions of biomass pyrolysis to China’s 2050 carbon reduction and renewable energy goals. Nat. Commun. 2021, 12, 1698. [Google Scholar] [CrossRef]
  6. Cuong, T.T.; Le, H.A.; Khai, N.M.; Hung, P.A.; Linh, L.T.; Thanh, N.V.; Tri, N.D.; Huan, N.X. Renewable energy from biomass surplus resource: Potential of power generation from rice straw in Vietnam. Nature 2021, 11, 792. [Google Scholar] [CrossRef] [PubMed]
  7. Zhao, G. Assessment of Potential Biomass Energy Production in China towards 2030 and 2050. Int. J. Sustain. Energy 2018, 37, 47–66. [Google Scholar] [CrossRef]
  8. Ma, C.; Zhang, Y.; Ma, K. The effect of biomass raw material collection distance on energy surplus factor. J. Environ. Manag. 2022, 317, 115461. [Google Scholar] [CrossRef]
  9. Bose, A.; Saini, D.K. Biomass Fired Thermal Power Generation Technology—A Route to Meet Growing Energy Demand and Sustainable Development. Nat. Environ. Pollut. Technol. 2022, 21, 1307–1315. [Google Scholar] [CrossRef]
  10. Zheng, Y.; Liu, C.; Zhu, J.; Sang, Y.; Wang, J.; Zhao, W.; Zhuang, M. Carbon Footprint Analysis for Biomass-Fueled Combined Heat and Power Station: A Case Study. Agriculture 2022, 12, 1146. [Google Scholar] [CrossRef]
  11. Li, D. A Study for Development Suitability of Biomass Power Generation Technology Based on GHG Emission Reduction Benefits and Growth Potential. Comput. Intell. Neurosci. 2022, 2022, 7961573. [Google Scholar] [CrossRef] [PubMed]
  12. Parker, M.A. A Plan for Biomass Power Generation with Negative Carbon Emissions. In Proceedings of the ASME Power Conference, Virtually, 20–22 July 2021; American Society of Mechanical Engineers: New York City, NY, USA, 2021. [Google Scholar]
  13. Sasongko, N.A.; Putra, N.G.; Wardani, M.L.D. Review of Types of Biomasses as a Fuel-Combustion Feedstock and Their Characteristics. Adv. Food Sci. Sustain. Agric. Agroind. Eng. 2023, 6, 170–184. [Google Scholar]
  14. Akay, M. Sustainable Use of Biomass to Assist the Development of Türkiye’s Economy Towards Green Growth. In Proceedings of the 3rd International Congress on Engineering and Life Science, Trabzom, Türkiye, 20–22 September 2023. [Google Scholar]
  15. Sollai, S.; Porcu, A.; Tola, V.; Ferrara, F.; Pettinau, A. Renewable Methanol Production from Green Hydrogen and Captured CO2: A Techno-Economic Assessment. J. CO2 Util. 2023, 68, 102345. [Google Scholar] [CrossRef]
  16. Yao, F.; Liu, S.; Wang, G.; Jia, C.; Chen, H.; Chen, H. Zero Carbon New Energy Consumption System Based on Electrolytic Water to Hydrogen, Biomass Combustion, and Methanol Synthesis/Reforming. In Proceedings of the 8th Asia Conference on Power and Electrical Engineering (ACPEE), Tianjin, China, 14–16 April 2023; IEEE: Piscataway, NJ, USA, 2023; pp. 783–787. [Google Scholar]
  17. Hennig, M.; Haase, M. Techno-Economic Analysis of Hydrogen Enhanced Methanol to Gasoline Process from Biomass-Derived Synthesis Gas. Fuel Process. Technol. 2021, 216, 106776. [Google Scholar] [CrossRef]
  18. Reddy, V.J.; Hariram, N.P.; Maity, R.; Ghazali, M.F.; Kumarasamy, S. Sustainable E-Fuels: Green Hydrogen, Methanol, and Ammonia for Carbon-Neutral Transportation. World Electr. Veh. J. 2023, 14, 349. [Google Scholar] [CrossRef]
  19. Asadullah, M. Barriers of Commercial Power Generation Using Biomass Gasification Gas: A Review. Renew. Sustain. Energy Rev. 2014, 29, 201–215. [Google Scholar] [CrossRef]
  20. Tanger, P.; Field, J.L.; Jahn, C.E.; DeFoort, M.W.; Leach, J.E. Biomass for Thermochemical Conversion: Targets and Challenges. Front. Plant Sci. 2013, 4, 218. [Google Scholar] [CrossRef]
  21. Wang, T.; Zhou, T.; Li, C.; Song, Q.; Zhang, M.; Yang, H. Development Status and Prospects of Biomass Energy in China. Energies 2024, 17, 4484. [Google Scholar] [CrossRef]
  22. Ferlin, F.; Valentini, F.; Marrocchi, A.; Vaccaro, L. Catalytic Biomass Upgrading Exploiting Liquid Organic Hydrogen Carriers (LOHCs). ACS Sustain. Chem. Eng. 2021, 9, 9604–9624. [Google Scholar] [CrossRef]
  23. Sasidhar, N. Carbon Neutral Fuels and Chemicals from Standalone Biomass Refineries. Indian J. Environ. Eng. 2023, 3, 1–8. [Google Scholar] [CrossRef]
  24. Jasinskas, A.; Kukharets, S.; Sukmaniuk, O.; Kovalchuk, V. Experimental Study of Gasification Rate of Fast-Growing Willow Biomass. In Proceedings of the 22nd International Scientific Conference: Engineering for Rural Development, Jelgava, Latvia, 24–26 May 2023; pp. 138–144. [Google Scholar]
  25. Meher, L.C.; Bora, M.; Joshi, P.; Bala, M. Hydrogen Rich Syngas by Steam Gasification of Waste Lignocellulosic Biomass. Def. Life Sci. J. 2021, 7, 163–168. [Google Scholar] [CrossRef]
  26. Panopoulos, K.D.; Christodoulou, C.; Koytsoumpa, E.I. Biomass Gasification: Gas Production and Cleaning for Diverse Applications—CHP and Chemical Syntheses. In Biorefinery: From Biomass to Chemicals and Fuels; Aresta, M., Dibenedetto, A., Dumeignil, F., Eds.; De Gruyter: Berlin, Germany, 2012; pp. 302–305. [Google Scholar]
  27. Hu, Y.; Cheng, Q.; Wang, Y.; Guo, P.; Wang, Z.; Liu, H.; Akbari, A. Investigation of Biomass Gasification Potential in Syngas Production: Characteristics of Dried Biomass Gasification Using Steam as the Gasification Agent. Energy Fuels 2019, 34, 1033–1040. [Google Scholar] [CrossRef]
  28. Susastriawan, A.A.P. Development of an Air-Stage Downdraft Gasifier and Performance Evaluation on Feedstock of Rice Husk. J. Adv. Res. Fluid Mech. Therm. Sci. 2021, 84, 20–32. [Google Scholar] [CrossRef]
  29. Hoque, M.E.; Rashid, F. Gasification Process Using Downdraft Fixed-Bed Gasifier for Different Feedstock. In Gasification; IntechOpen: London, UK, 2021. [Google Scholar]
  30. Yu, J.; Wang, S.; Luo, K.; Li, D.; Fan, J. Study of Biomass Gasification in an Industrial-Scale Dual Circulating Fluidized Bed (DCFB) Using the Eulerian-Lagrangian Method. Particuology 2023, 83, 156–168. [Google Scholar] [CrossRef]
  31. Gao, Y.; Wang, M.; Raheem, A.; Wang, F.; Wei, J.; Xu, D.; Song, X.; Bao, W.; Huang, A.; Zhang, S.; et al. Syngas Production from Biomass Gasification: Influences of Feedstock Properties, Reactor Type, and Reaction Parameters. ACS Omega 2023, 8, 31620–31631. [Google Scholar] [CrossRef] [PubMed]
  32. Akhator, P.; Obanor, A.; Sadjere, G. Experimental Studies on Synthesis Gas Production from Wood Wastes in a Pilot Downdraft Gasifier. Int. J. Eng. Res. Afr. 2022, 61, 115–128. [Google Scholar] [CrossRef]
  33. Havilah, P.R.; Sharma, A.K.; Govindasamy, G.; Matsakas, L.; Patel, A. Biomass Gasification in Downdraft Gasifiers: A Technical Review on Production, Upgradation, and Application of Synthesis Gas. Energies 2022, 15, 3938. [Google Scholar] [CrossRef]
  34. Zhang, D.; Deng, B.; Zhou, T.; Huang, Z.; Yang, H.; Zhang, M.; Li, S. Ash Deposition Characteristics on Heating Surface in Biomass Circulating Fluidized Bed Boiler. Energy Sources Part A Recovery Util. Environ. Eff. 2022, 44, 8077–8095. [Google Scholar] [CrossRef]
  35. Zhu, X. Numerical and Experimental Investigation of Gas-Solids Flow Characteristics in Pressurized Fluidized Bed; University of Chinese Academy of Sciences: Beijing, China, 2020. [Google Scholar]
  36. Peng, M.; Bi, D.; Shao, R. Research Progress and Future Challenges of Biomass Gasifier in China. Energy Chem. Ind. 2020, 41, 1–6. [Google Scholar]
  37. Vyas, D.K.; Sravankumar, J.; Chavda, J.J. Performance Evaluation of Throat Type Updraft Biomass Gasifier Using Different Biomass Fuels. Agric. Eng. Today 2021, 45, 6–12. [Google Scholar] [CrossRef]
  38. Wu, H.; Yang, C.; Zhang, Z.; Zhang, Q. Simulation of Two-Phase Flow and Syngas Generation in Biomass Gasifier Based on Two-Fluid Model. Energies 2022, 15, 4800. [Google Scholar] [CrossRef]
  39. Maryudi, M.; Aktawan, A.; Amelia, S. Water Scrubber and Zeolite Catalyst for Clean Syngas Production on Biomass Gasification of Bagasse in a Downdraft System. J. Bahan Alam Terbarukan 2022, 11, 92–99. [Google Scholar] [CrossRef]
  40. Molino, A.; Chianese, S.; Musmarra, D. Biomass Gasification Technology: The State of the Art Overview. J. Energy Chem. 2016, 25, 10–25. [Google Scholar] [CrossRef]
  41. Kurkela, E.; Kurkela, M.; Hiltunen, I. Production of Synthesis Gas from Biomass Residues by Staged Fixed-Bed Gasification—Results from Pilot Test Campaigns. Chem. Eng. Trans. 2021, 86, 7–12. [Google Scholar]
  42. Jakobsen, K. Computational Modeling of Fluidized Bed Behavior with Agglomerates; University of South-Eastern Norway: Notodden, Norway, 2020. [Google Scholar]
  43. Zhao, H.; Tian, X.; Ma, J.; Chen, X.; Su, M.; Zheng, C. Chemical Looping Combustion of Coal in China: Comprehensive Progress, Remaining Challenges, and Potential Opportunities. ACS Energy Fuels 2020, 34, 10579–10595. [Google Scholar] [CrossRef]
Figure 1. Schematic diagram of the biomass-to-green methanol production process.
Figure 1. Schematic diagram of the biomass-to-green methanol production process.
Biomass 05 00013 g001
Figure 2. Diagram of biomass gasification principles.
Figure 2. Diagram of biomass gasification principles.
Biomass 05 00013 g002
Figure 3. Structural diagram of fixed-bed gasifiers [35].
Figure 3. Structural diagram of fixed-bed gasifiers [35].
Biomass 05 00013 g003
Figure 5. Schematic diagram of bubbling fluidized-bed gasifiers.
Figure 5. Schematic diagram of bubbling fluidized-bed gasifiers.
Biomass 05 00013 g005
Figure 6. Schematic diagram of fluidized-bed gasification.
Figure 6. Schematic diagram of fluidized-bed gasification.
Biomass 05 00013 g006
Figure 7. Axial distribution of particle volume fraction in the riser.
Figure 7. Axial distribution of particle volume fraction in the riser.
Biomass 05 00013 g007
Figure 8. Time-averaged PVF distribution in the riser dense region for different operating conditions [35].
Figure 8. Time-averaged PVF distribution in the riser dense region for different operating conditions [35].
Biomass 05 00013 g008
Figure 9. Particle circulation flux for different operating conditions [35].
Figure 9. Particle circulation flux for different operating conditions [35].
Biomass 05 00013 g009
Figure 10. Simplified diagram of the biomass pure oxygen gasification-to-methanol process.
Figure 10. Simplified diagram of the biomass pure oxygen gasification-to-methanol process.
Biomass 05 00013 g010
Figure 11. Layout diagram of the pure oxygen biomass gasifier 40 t/h.
Figure 11. Layout diagram of the pure oxygen biomass gasifier 40 t/h.
Biomass 05 00013 g011
Figure 12. Schematic diagram of the biomass oxy-combustion process for green methanol production.
Figure 12. Schematic diagram of the biomass oxy-combustion process for green methanol production.
Biomass 05 00013 g012
Figure 13. Schematic diagram of the 65 t/h biomass oxy-combustion circulating fluidized-bed boiler.
Figure 13. Schematic diagram of the 65 t/h biomass oxy-combustion circulating fluidized-bed boiler.
Biomass 05 00013 g013
Figure 14. Ash deposition mechanism on tail-end heat transfer surfaces of biomass oxy-combustion boilers [34]. (a) Schematic of deposition processes: inertial collision, thermophoresis, and condensation. (b) Relative sediment mass ratio over time for different mechanisms.
Figure 14. Ash deposition mechanism on tail-end heat transfer surfaces of biomass oxy-combustion boilers [34]. (a) Schematic of deposition processes: inertial collision, thermophoresis, and condensation. (b) Relative sediment mass ratio over time for different mechanisms.
Biomass 05 00013 g014
Figure 15. Oxygen equivalence ratio.
Figure 15. Oxygen equivalence ratio.
Biomass 05 00013 g015
Disclaimer/Publisher’s Note: The statements, opinions and data contained in all publications are solely those of the individual author(s) and contributor(s) and not of MDPI and/or the editor(s). MDPI and/or the editor(s) disclaim responsibility for any injury to people or property resulting from any ideas, methods, instructions or products referred to in the content.

Share and Cite

MDPI and ACS Style

Liu, N.; Liu, Z.; Wang, Y.; Zhou, T.; Zhang, M.; Yang, H. Clean and Efficient Thermochemical Conversion Technologies for Biomass in Green Methanol Production. Biomass 2025, 5, 13. https://doi.org/10.3390/biomass5010013

AMA Style

Liu N, Liu Z, Wang Y, Zhou T, Zhang M, Yang H. Clean and Efficient Thermochemical Conversion Technologies for Biomass in Green Methanol Production. Biomass. 2025; 5(1):13. https://doi.org/10.3390/biomass5010013

Chicago/Turabian Style

Liu, Niannian, Zhihong Liu, Yu Wang, Tuo Zhou, Man Zhang, and Hairui Yang. 2025. "Clean and Efficient Thermochemical Conversion Technologies for Biomass in Green Methanol Production" Biomass 5, no. 1: 13. https://doi.org/10.3390/biomass5010013

APA Style

Liu, N., Liu, Z., Wang, Y., Zhou, T., Zhang, M., & Yang, H. (2025). Clean and Efficient Thermochemical Conversion Technologies for Biomass in Green Methanol Production. Biomass, 5(1), 13. https://doi.org/10.3390/biomass5010013

Article Metrics

Back to TopTop