Investigation of the Features of a Superconducting Spin Valve Fe1/Cu/Fe2/Cu/Pb on a Piezoelectric PMN–PT Substrate
Abstract
1. Introduction
2. Materials and Methods
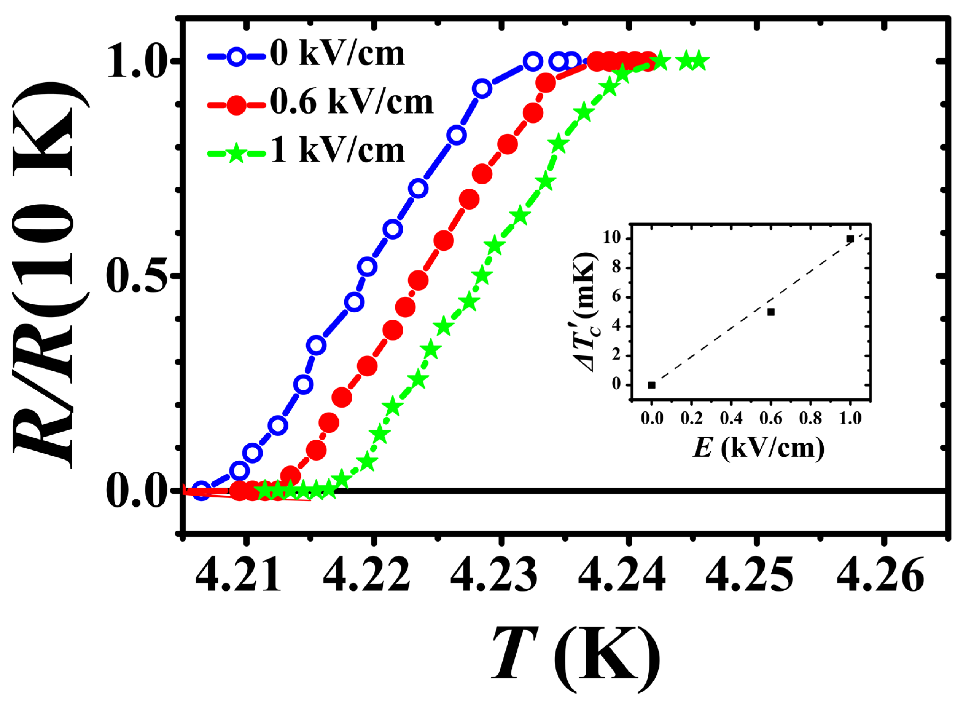
3. Results
4. Discussion
5. Conclusions
Author Contributions
Funding
Acknowledgments
Conflicts of Interest
References
- Fischer, O.; Peter, M. Magnetism: Magnetic Properties of Metallic Alloys. Recent Work on Ferromagnetic Superconductors; Academic Press Inc.: New York, NY, USA, 1973. [Google Scholar]
- Rehmann, S.; Herrmannsdörfer, T.; Pobell, F. Interplay of Nuclear Magnetism and Superconductivity in AuIn2. Phys. Rev. Lett. 1997, 78, 1122. [Google Scholar] [CrossRef]
- Bulaevskii, L.N.; Buzdin, A.I.; Kulić, M.L.; Panjukov, S.V. Coexistence of superconductivity and magnetism theoretical predictions and experimental results. Adv. Phys. 1985, 34, 175–261. [Google Scholar] [CrossRef]
- Chien, C.L.; Jiang, J.S.; Xiao, J.Q.; Davidovic, D.; Reich, D.H. Proximity and coupling effects in superconductor/ferromagnet multilayers. J. Appl. Phys. 1997, 81, 5358–5363. [Google Scholar] [CrossRef]
- Chien, C.L.; Reich, D.H. Proximity effects in superconducting/magnetic multilayers. J. Mag. Mag. Mat. 1999, 200, 83–94. [Google Scholar] [CrossRef]
- Garifullin, I.A. Proximity effects in ferromagnet/superconductor heterostructures. J. Mag. Mag. Mat. 2002, 240, 571–576. [Google Scholar] [CrossRef]
- Izyumov, Y.; Proshin, Y.; Khusainov, M. Competition between superconductivity and magnetism in ferromagnet/superconductor heterostructures. UFN 2002, 172, 113–154. [Google Scholar] [CrossRef]
- Golubov, A.A.; Kupriyanov, M.Y.; Il’ichev, E. The current-phase relation in Josephson junctions. Rev. Mod. Phys. 2004, 76, 411. [Google Scholar] [CrossRef]
- Buzdin, A.I. Proximity effects in superconductor-ferromagnet. Rev. Mod. Phys. 2005, 77, 935. [Google Scholar] [CrossRef]
- Bergeret, F.S.; Volkov, A.F.; Efetov, K.B. Odd triplet superconductivity and related phenomena in superconductor-ferromagnet structures. Rev. Mod. Phys. 2005, 77, 1321. [Google Scholar] [CrossRef]
- Efetov, K.B.; Garifullin, I.A.; Volkov, A.F.; Westerholt, K. Magnetic Heterostructures: Advances and Perspectives in Spinstructures and Spintransport; Series Springer Tracts in Modern Physics; Springer: Berlin, Germany, 2007; p. 252. [Google Scholar]
- Oh, S.; Youm, D.; Beasley, M.R. A superconductive magnetoresistive memory element using controlled exchange interaction. Appl. Phys. Lett. 1997, 71, 2376. [Google Scholar] [CrossRef]
- Tagirov, L.R. Low-field superconducting spin switch based on a superconductor/ferromagnet multilayer. Phys. Rev. Lett. 1999, 83, 2058. [Google Scholar] [CrossRef]
- Buzdin, A.I.; Vedyayev, A.V.; Ryzhanova, N.V. Spin-orientation–dependent superconductivity in F/S/F structures. EPL 1999, 48, 686. [Google Scholar] [CrossRef]
- Gu, J.Y.; You, C.Y.; Jiang, J.S.; Pearson, J.; Bazaliy, Y.a.B.; Bader, S.D. Magnetization-Orientation Dependence of the Superconducting Transition Temperature in the Ferromagnet-Superconductor-Ferromagnet System: CuNi/Nb/CuNi. Phys. Rev. Lett. 2002, 89, 267001. [Google Scholar] [CrossRef] [PubMed]
- Potenza, A.; Marrows, C.H. Superconductor-ferromagnet CuNi/Nb/CuNi trilayers as superconducting spin-valve core structures. Phys. Rev. B 2005, 71, 180503. [Google Scholar] [CrossRef]
- Moraru, I.C.; Pratt, J.r.W.P.; Birge, N.O. Magnetization-Dependent Tc Shift in Ferromagnet/Superconductor/Ferromagnet Trilayers with a Strong Ferromagnet. Phys. Rev. Lett. 2006, 96, 037004. [Google Scholar] [CrossRef]
- Miao, G.-X.; Ramos, A.V.; Moodera, J. Infinite Magnetoresistance from the Spin Dependent Proximity Effect in Symmetry Driven bcc−Fe/V/Fe Heteroepitaxial Superconducting Spin Valves. Phys. Rev. Lett. 2008, 101, 137001. [Google Scholar] [CrossRef] [PubMed]
- Leksin, P.V.; Garif’yanov, N.N.; Garifullin, I.A.; Schumann, J.; Vinzelberg, H.; Kataev, V.; Klingeler, R.; Schmidt, O.G.; Büchner, B. Full spin switch effect for the superconducting current in a superconductor/ferromagnet thin film heterostructure. Appl. Phys. Lett. 2010, 97, 102505. [Google Scholar] [CrossRef]
- Blamire, M.G.; Robinson, J.W.A. The interface between superconductivity and magnetism: Understanding and device prospects. J. Phys. Condens. Matter 2014, 26, 453201. [Google Scholar] [CrossRef] [PubMed]
- Eschrig, M. Spin-polarized supercurrents for spintronics: A review of current progress. Rep. Prog. Phys. 2015, 78, 104501. [Google Scholar] [CrossRef] [PubMed]
- Grein, R.; Löfwander, T.; Eschrig, M. Inverse proximity effect and influence of disorder on triplet supercurrents in strongly spin-polarized ferromagnets. Phys. Rev. B 2013, 88, 054502. [Google Scholar] [CrossRef]
- Flokstra, M.G.; Cunningham, T.C.; Kim, J.; Satchell, N.; Burnell, G.; Curran, P.J.; Bending, S.J.; Kinane, C.J.; Cooper, J.F.K.; Langridge, S.; et al. Controlled suppression of superconductivity by the generation of polarized Cooper pairs in spin-valve structures. Phys. Rev. B 2015, 91, 060501. [Google Scholar] [CrossRef]
- Montiel, X.; Eschrig, M. Generation of pure superconducting spin current in magnetic heterostructures via nonlocally induced magnetism due to landau fermi liquid effects. Phys. Rev. B 2018, 98, 104513. [Google Scholar] [CrossRef]
- Banerjee, N.; Ouassou, J.A.; Zhu, Y.; Stelmashenko, N.A.; Linder, J.; Blamire, M.G. Controlling the superconducting transition by spin-orbit coupling. Phys. Rev. B 2018, 97, 184521. [Google Scholar] [CrossRef]
- Pugach, N.; Safonchik, M.; Belotelov, V.; Ziman, T.; Champel, T. Superconducting Spin Valves Based on a Single Spiral Magnetic Layer. Phys. Rev. Appl. 2022, 18, 054002. [Google Scholar] [CrossRef]
- Leksin, P.V.; Garif’yanov, N.N.; Garifullin, I.A.; Fominov, Y.V.; Schumann, J.; Krupskaya, Y.; Kataev, V.; Schmidt, O.G.; Büchner, B. Evidence for Triplet Superconductivity in a Superconductor-Ferromagnet Spin Valve. Phys. Rev. Lett. 2012, 109, 057005. [Google Scholar] [CrossRef]
- Leksin, P.V.; Garif’Yanov, N.N.; Kamashev, A.A.; Validov, A.A.; Fominov, Y.V.; Schumann, J.; Kataev, V.; Thomas, J.; Büchner, B.; Garifullin, I.A. Isolation of proximity-induced triplet pairing channel in a superconductor/ferromagnet spin valve. Phys. Rev. B 2016, 93, 100502. [Google Scholar] [CrossRef]
- Leksin, P.V.; Garif’yanov, N.N.; Kamashev, A.A.; Fominov, Y.V.; Schumann, J.; Hess, C.; Kataev, V.; Büchner, B.; Garifullin, I.A. Superconducting spin-valve effect and triplet superconductivity in CoOx/Fe1/Cu/Fe2/Cu/Pb. Phys. Rev. B 2015, 91, 214508. [Google Scholar] [CrossRef]
- Bergeret, F.S.; Volkov, A.F.; Efetov, K.B. Long-Range Proximity Effects in Superconductor-Ferromagnet Structures. Phys. Rev. Lett. 2001, 86, 4096. [Google Scholar] [CrossRef]
- Volkov, A.F.; Bergeret, F.S.; Efetov, K.B. Odd Triplet Superconductivity in Superconductor-Ferromagnet Multilayered Structures. Phys. Rev. Lett. 2003, 90, 117006. [Google Scholar] [CrossRef] [PubMed]
- Mel’nikov, A.S.; Samokhvalov, A.V.; Kuznetsova, S.M.; Buzdin, A.I. Interference Phenomena and Long-Range Proximity Effect in Clean Superconductor-Ferromagnet Systems. Phys. Rev. Lett. 2012, 109, 237006. [Google Scholar] [CrossRef] [PubMed]
- Efetov, K.B.; Garifullin, I.A.; Volkov, A.F.; Westerholt, K. Magnetic Nanostructures. Spin Dynamic and Spin Transport; Series Springer Tracts in Modern Physics; Springer: Berlin, Germany, 2013; pp. 85–118. [Google Scholar]
- Singh, A.; Voltan, S.; Lahabi, K.; Aarts, J. Colossal proximity effect in a superconducting triplet spin valve based on the half-metallic ferromagnet CrO2. Phys. Rev. X 2015, 5, 021019. [Google Scholar]
- Kamashev, A.A.; Garif’yanov, N.N.; Validov, A.A.; Schumann, J.; Kataev, V.; Büchner, B.; Fominov, Y.V.; Garifullin, I.A. Superconducting switching due to a triplet component in the Pb/Cu/Ni/Cu/Co2Cr1−xFexAly spin-valve structure. Beilstein J. Nanotechnol. 2019, 10, 1458. [Google Scholar] [CrossRef]
- Kamashev, A.A.; Garif’yanov, N.N.; Validov, A.A.; Schumann, J.; Kataev, V.; Büchner, B.; Fominov, Y.V.; Garifullin, I.A. Superconducting spin-valve effect in heterostructures with ferromagnetic Heusler alloy layers. Phys. Rev. B 2019, 100, 134511. [Google Scholar] [CrossRef]
- Kamashev, A.A.; Leontyev, A.V.; Mamin, R.F.; Garifullin, I.A. Features of the direction of the magnetization vector in a two-layer Fe/LiNbO3 system. Ferroelectrics 2023, 605, 54–59. [Google Scholar] [CrossRef]
- Zhang, W.; Wang, Z.; Yang, X.; Long, X.; He, C. Composition uniformity of Pb(In1/2Nb1/2)O3-Pb(Mg1/3Nb2/3)O3-PbTiO3 single crystals grown in <001> direction. J. Cryst. Growth 2021, 560–561, 126061. [Google Scholar]
- Zhanga, Z.; Xua, J.; Yanga, L.; Liua, S.; Xiaoa, J.; Lia, X.; Wanga, X.; Luoa, H. Design and comparison of PMN-PT single crystals and PZT ceramics based medical phased array ultrasonic transducer. Sens. Actuator A Phys. 2018, 283, 273–281. [Google Scholar] [CrossRef]
- Song, H.-C.; Kang, C.-Y.; Yoon, S.-Y.; Jeong, D.-Y. Engineered Domain Configuration and Piezoelectric Energy Harvesting in 0.7Pb(Mg1/3Nb2/3)O3-0.3PbTiO3 Single Crystals. Met. Mater. Int. 2012, 18, 499–503. [Google Scholar] [CrossRef]
- Fominov, Y.V.; Golubov, A.A.; Karminskaya, T.Y.; Kupriyanov, M.Y.; Deminov, R.G.; Tagirov, L.R. Superconducting triplet spin valve. JETP Lett. 2010, 91, 308. [Google Scholar] [CrossRef]





Disclaimer/Publisher’s Note: The statements, opinions and data contained in all publications are solely those of the individual author(s) and contributor(s) and not of MDPI and/or the editor(s). MDPI and/or the editor(s) disclaim responsibility for any injury to people or property resulting from any ideas, methods, instructions or products referred to in the content. |
© 2023 by the authors. Licensee MDPI, Basel, Switzerland. This article is an open access article distributed under the terms and conditions of the Creative Commons Attribution (CC BY) license (https://creativecommons.org/licenses/by/4.0/).
Share and Cite
Kamashev, A.; Garif’yanov, N.; Validov, A.; Jagličić, Z.; Kabanov, V.; Mamin, R.; Garifullin, I. Investigation of the Features of a Superconducting Spin Valve Fe1/Cu/Fe2/Cu/Pb on a Piezoelectric PMN–PT Substrate. Magnetism 2023, 3, 204-214. https://doi.org/10.3390/magnetism3030016
Kamashev A, Garif’yanov N, Validov A, Jagličić Z, Kabanov V, Mamin R, Garifullin I. Investigation of the Features of a Superconducting Spin Valve Fe1/Cu/Fe2/Cu/Pb on a Piezoelectric PMN–PT Substrate. Magnetism. 2023; 3(3):204-214. https://doi.org/10.3390/magnetism3030016
Chicago/Turabian StyleKamashev, Andrey, Nadir Garif’yanov, Aidar Validov, Zvonko Jagličić, Viktor Kabanov, Rinat Mamin, and Ilgiz Garifullin. 2023. "Investigation of the Features of a Superconducting Spin Valve Fe1/Cu/Fe2/Cu/Pb on a Piezoelectric PMN–PT Substrate" Magnetism 3, no. 3: 204-214. https://doi.org/10.3390/magnetism3030016
APA StyleKamashev, A., Garif’yanov, N., Validov, A., Jagličić, Z., Kabanov, V., Mamin, R., & Garifullin, I. (2023). Investigation of the Features of a Superconducting Spin Valve Fe1/Cu/Fe2/Cu/Pb on a Piezoelectric PMN–PT Substrate. Magnetism, 3(3), 204-214. https://doi.org/10.3390/magnetism3030016

