Abstract
The primary ingredients in poultry feed, cereals, are among the most widely used crops in worldwide agriculture, with principal staples being wheat, rice, corn (maize), sorghum, barley, oat and millet. The scope of this review is to provide a detailed comparative analysis of the nutritive values of cereal crops, and the antinutrients they contain, with reference specifically to their use for feeding poultry. These cereal crops range in biological value from 55 to 77.7%, in protein digestibility from 77 to 99.7%, and in net protein utilization from 50 to 73.8%. Most essential amino acids, including lysine, are found in cereal grains, whereas the nutritional value of cereals is impacted by antinutritional elements. These include non-starch polysaccharides (NSPs), such as pentosans (arabinoxylans) and β-glucan, as well as alkylresorcinols. Around 100 g/kg of pentosans are found in rye, 50–80 g/kg in wheat and 68–92 g/kg in triticale. There are strategies to reduce NSPs and other antinutrients and maximize the effectiveness of utilizing grains in compound feed for poultry. These include the application of enzyme preparations, along with dry and wet extrusion methods, for processing grains. By restricting our narrative to a direct comparison of all major staples for poultry feed, we conclude that further research is required specifically in the area of determining how economically viable it is to feed adult and young chickens with compound feeds containing various cereal crops. Furthermore, we speculate on the utility of employing enzyme preparations and extrudates to maximize feed efficiency.
Keywords:
cereal crops; poultry feeding; feeds; nutritive value; amino acids; antinutrients; enzymes; extrudates 1. Introduction
Cereal crops from the monocotyledon family Poaceae (also known as Gramineae) [1,2], have evolved from wild grasses to cultivated plants via roughly the same pathways. Additionally, there are many similarities between the domestication of seed crops in general and that of cereals in particular [3]. Larger countries are expected to benefit more from crop diversification, including diversity of cereals, and farmland area, which stabilize food production just as much as irrigation. In the effort to provide reliable food supply, this link can direct the creation of national-specific management plans and policies [4]. Wheat, rice, corn (maize), sorghum, barley, oat, and millet are the principal crops used to make staple cereals [1]. These plants have adapted to survive in conditions where they are frequently subjected to a variety of abiotic stressors, including lack of water, high temperatures, salt and mineral toxicity [1,5,6]. In terms of chemical composition [2], most cereal crops are predominantly starch, with the next most common ingredient amylose, followed by protein, then fat (see Table 1).
Table 1.
Approximate chemical content of unprocessed grain 1 (adapted from ref. [7]).
Major energy and nutritional sources such as proteins, carbohydrates, minerals, amino acids, fiber, and micronutrients like zinc, magnesium and vitamins can all be found in cereals [1,8,9,10,11]. Cereals are one of the most commonly used crops in the world’s agriculture, with over 2.5 billion tons harvested worldwide annually, with projection of 3 billion tons by 2050 [1,12]. Eighty percent of the cereal grains produced worldwide are grown in Asia, America and Europe [1]. Both industrialized and developing nations rely heavily on cereals as a source of nutrients [2], but their approaches to using these grains vary. Whereas 68–98% of the cereal produced in developing nations is used for human sustenance, over 70% of the cereal produced in developed nations is fed to animals [1,12,13,14].
Being used in livestock feeding, cereals are the main components of poultry feed [14,15,16,17,18]. Traditionally, corn and wheat are most widely implemented for this purpose, while barley is used to a lesser extent; rye and oat in smaller quantities. Among compound feed for poultry in developed nations, the proportion of traditional cereals has dropped recently, from 69–70% to 40–50% [19]. This is caused by both secondary substances from industrial processing and non-traditional feeds, have emerged to supplement the conventional ingredients in poultry feed [19,20]. These include novel grains, such as sorghum and triticale, that show promise and, when used rationally, can be valuable components of compound feed, effectively replacing some of the typical grains [21,22,23,24,25,26,27,28]. Another example of such cereals is black (or brown) rice that is a regular poultry feed ingredient sold on the India market [29] for utilizing it in this and other countries where similar poultry feeding practices are engaged. There are also the respective published researches showing that brown rice is a potential and effective feedstuff for poultry as established studies, e.g., in Malaysia [30] and Japan [31]. The increasing proportion of cereals being used to produce biofuels like ethanol, biodiesel, and solid fuel pellets is also considered crucial (e.g., [32,33,34,35]).
The purpose of this review is to elucidate comparative nutritive values of cereal crops, and antinutrients they contain, in relation to their use for feeding poultry.
2. Fodder Value of Different Varieties of Cereals
In addition to being high in carbohydrates (primarily starch), all cereals are made up of proteins, fat (lipids), minerals and other substances that are biologically active [36,37,38,39,40,41,42] (Table 1).
When compared to legumes and oilseeds, cereal grains have lower protein content [1,43], with corn and rice having the lowest [1]. In various cereal diets provided to growing rats, the biological value varies from 55–77.7%, protein digestibility from 77 to 99.7%, and net protein utilization from 50–73.8% [1]. Based on information summarized by Jeyasri et al. [1], significant cereal crops along with a comparison of their nutritional content are listed in Table 2.
Table 2.
The nutritional value of cereal grains in comparison (adapted from ref. [1]).
The fodder value of cereals can be largely determined by their type (e.g., barley, rye, or triticale), variety and growing conditions [44]. With the improvement of poultry productivity, these differences are becoming more and more noticeable and important, with increasing attention paid to this issue. Studies of recent years have showed that the influence of specific varieties of corn and wheat on the productivity of poultry is significantly different [45,46,47,48,49]. In a number of studies, it has been established that the intensity of growth in broilers varies significantly depending on the variety of corn, wheat and rye [50,51] found that starch digestibility ranged from 84–90% in 93 varieties of corn and concluded that the cell wall matrix, which includes non-starch polysaccharides (NSPs) and protein, may be a key factor in determining the different intensity of broiler growth when using different varieties of corn.
As previously established by Fernandez et al. [52], the comparative nutritional value of different cereal grains as protein sources can also be assessed in a modified chick bioassay using the protein efficiency ratio method. Hossan et al. [49] suggested that the nutritional value of corn can vary significantly depending on the content of starch, fat, protein and antinutrients such as phytates and enzyme inhibitors. The conditions for growing cereals are also no less important. In particular, it has been established that the lipid content in the liver of chickens fed corn from the state of Washington was significantly higher (15.4–19.6%) than when using corn from the state of Georgia (5.4–7.2%) [45]. The influence of the variety and growing conditions on poultry productivity is even more pronounced in such cereals as rye, triticale and wheat that have a high content of antinutritive factors. Lázaro et al. [50] demonstrated that, when using three varieties of rye for feeding broiler chickens, the Petkus variety provided better feed intake and the best body weight gains, which can be associated with the level of NSPs, in particular, the soluble fractions. When comparing two varieties of wheat, it has been established that the digestibility of soft wheat starch was 6% higher than that of hard wheat starch [51]. McCracken and Quintin [53] found that wheat quality is best assessed by its starch content than by its specific weight.
Differences in the growth of chickens are observed in relation to feed intake [54] and, when applying even the same diets, are associated with different characteristics of cereal varieties used. Pirgozliev et al. [55] established a higher weight increase in the broilers who were fed wheat from the Abbott variety vs. the Equinox cultivar. Scott et al. [56] noted a greater body weight of chickens and a lower feed consumption efficiency (measured as feed to gain ratio, or feed conversion ratio) when the Hard Red Spring wheat was included in their diet compared to the Canadian Prairie Spring wheat. Among diets of broilers using three rye varieties, the Petkus cultivar yielded the lowest intestinal viscosity and the highest feed intake and weight increase [50]. Out of four wheat varieties tested, only the Consort variety provided a higher ratio of body weight gain to feed consumed (i.e., an inverse of feed conversion ratio, also known as feed efficiency) [57]. In studies on broilers [58,59], it was found that, when triticale with a low content of pentosans was used, the performance of chickens was the same as on a wheat diet, and lower when triticale with a high level of NSPs was included.
Research pertaining to the influence of NSPs on the metabolic processes in the bird’s body has been somewhat limited and contradictory. That is, when feed with a high NSP content, in particular rye, is included in the poultry diet, changes in metabolism are observed, i.e., the assimilation of fats and fat-soluble vitamins deteriorates [53,55,60], mineral metabolism is disturbed [50,60,61,62,63], and the increase in the level of blood glucose after feeding slows down [64]. Feeding rye-based mixed feed to chickens, on the other hand, led to a decrease in bone ash content compared to wheat-based diets. An increase in the level of inorganic phosphorus in a rye diet contributed to the increase in egg production, although it did not affect the content of bone ash and the level of phosphorus and calcium in the blood [65,66]. Overall, more research needs to be performed to resolve these apparent paradoxes.
The lipid content in the liver is higher in chickens fed triticale feed compared to wheat [45]; however, when triticale is used in the diet of laying hens as the only grain component, the lipid content in the liver is lower than when corn is used [67]. The use of triticale in chicken diets causes changes in the composition of eggs, i.e., the discoloration of the egg yolk was noted in hens fed triticale [67]. Studies show that, overall, the intensity of the egg yolk coloring decreased with an increase in the triticale content in the diet. The linolenic acid content was higher, and the ratio of oleic and linoleic acids was lower compared to wheat, while no difference in cholesterol content was found [68,69]. Thus, despite significant changes in poultry performance and metabolism under the influence of triticale, such data are quite limited and there is a need for more research, which is a prerequisite for the stable and successful use of triticale [28].
3. Levels of Amino Acids in Compound Feed from Cereals
Protein consumption and dietary amino acids (the basic structural components of proteins) play significant roles in animal immunity, growth, and performance [70]. A greater variety of animals, including companion animals and poultry, now benefit from improvements in their amino acid diet [71].
Like many other organic substances, the 20 amino acids [72,73,74,75,76] occur in the form of optically active compounds. The L-forms are usually found in nature, although D- or DL-forms are more often obtained by chemical means. Experiments have shown that animals absorb the L-form of valine, leucine, isoleucine, lysine and threonine well, while tryptophan, histidine, phenylalanine and methionine are used in both forms [77,78,79]. In comparison to corn, the grains of rye, barley, and triticale have a higher crude protein content and a superior amino acid profile, with higher levels of such essential amino acids as lysine, methionine, threonine, and tryptophan [44,73,80,81,82,83,84,85] (Table 3).
Table 3.
The amino acid profile of cereal grains in comparison (adapted from ref. [1]).
In the process of metabolism within the birds’ bodies [86], many amino acids are synthesized from other amino acids or compounds. Accordingly, they are termed dispensable (non-essential) amino acids. There are, however, amino acids that cannot be synthesized in the body or are formed in insufficient quantities in vivo and are therefore called essential amino acids [11,38,87] (Table 4). Of all the essential amino acids, lysine, methionine, cysteine [88], tryptophan and threonine, which are the most deficient in compound feed, are of primary importance [73,83,89,90].
Table 4.
Comparison of essential amino acids content (mg/g protein) of cereal flours (according to the data provided in refs. [11,91]).
The presence of amino acids in the diet of animals, including poultry, is vital and necessary for the normal functioning of the body [92,93,94]. In the process of protein synthesis, different amounts of amino acids are consumed [93]. The absence of at least one important amino acid limits the possibility of synthesis and thereby the growth and development of the bird. Limiting amino acids can enter the body of animals as part of feeds produced by microbiological fermentation methods, or in the form of protein-rich compound feed [95].
The grain of cereal crops contains the most important essential amino acid lysine. Therefore, the content of lysine in grain can serve as one of the indicators of the overall quality of protein [96]. There is also a close relationship between amino acids and other biologically active substances. Thus, when supplying poultry with compound feed that has a shortage of certain essential amino acids, these birds often develop associated diseases. Importantly, the main and most obvious effect of an imbalance or lack in essential amino acids is a reduction in poultry productive performance, which shows itself as slower growth rates, inferior feed conversion, and decreased egg output. The first and most important effect is on production traits, even though declining physiological resilience may eventually make birds more susceptible to disease. In order to prevent a deficit of some essential amino acids in compound feed, the necessity to maintain optimal synthesis through amino acid balance is prioritized. Synthetic amino acids are used in feed specifically to solve these performance-related inadequacies, guaranteeing both economic efficiency and animal wellbeing. Compound feed should therefore be balanced in terms of all essential amino acids, which is why synthetic amino acids are introduced [97,98].
For efficient feed use, diets should be implemented in which both the required amount of amino acids and their correct ratio are observed. Since a bird cannot store amino acids, it should get them all at once, continuously and in the proper quantities. Excess of consumed amino acids are deaminated, with nitrogen being removed in the form of uric acid, urea and ammonium compounds; the remaining acid is deposited as fat and serves as a source of energy [18,97,99]. Poultry’s feed utilization efficiency is greatly influenced by the extent to which amino acids from different feeds are assimilated. As a result, the more absorption level, the greater the amount of amino acids from a given feed that are available. Poultry performance, health, and the quality of their amino acid exposure are all directly correlated [15,17,100,101,102].
4. Vitamins and Microelements
Vitamins and microelements play a big role in the quality of feed, despite the fact that they are present in small quantities (Table 5) [1,103]. A lack, just like an excess, of these components affects animal health, resulting in decreased productivity [104,105]. The main biological role of vitamins and microelements is that they take part in enzyme systems, which are specific regulators of biochemical reactions occurring in the bird’s body, and reagents of photochemical processes occurring in living cells [106,107,108]. One of the relevant research areas can be exploring content of vitamins and microelements deposited from the feed into the eggs (e.g., [24,109,110]) depending on the type and variety of cereal crops used in the poultry diets.
Table 5.
Major vitamins of cereal grains in comparison (adapted from ref. [1]).
5. Nutritional Value as Affected by Antinutritional Factors in Cereals
A prevalent antinutritional ingredient in a variety of plant-based feeds is phytic acid. Being a reactive anion, it produces insoluble salts and chelates with essential minerals that animals with monogastric digestion are unable to ingest. The digestibility of proteins and carbohydrates is inversely connected with the phytic acid presence in feeds. In particular, it can attach to proteins and proteolytic enzymes, such as trypsin and pepsin, in wheat, maize, rice, and sorghum. Because domestic hens lack the indigenous phytase enzymes necessary to break down phytic acid, there is less phosphorus, calcium, protein, and other related nutrients available. Adding commercially available microbial phytase to poultry feeds is essential for environmental sustainability and nutritional improvement. Thus, microbial phytase is a multipurpose enzyme that helps the environment, animals, and the agriculture sector overall [111,112].
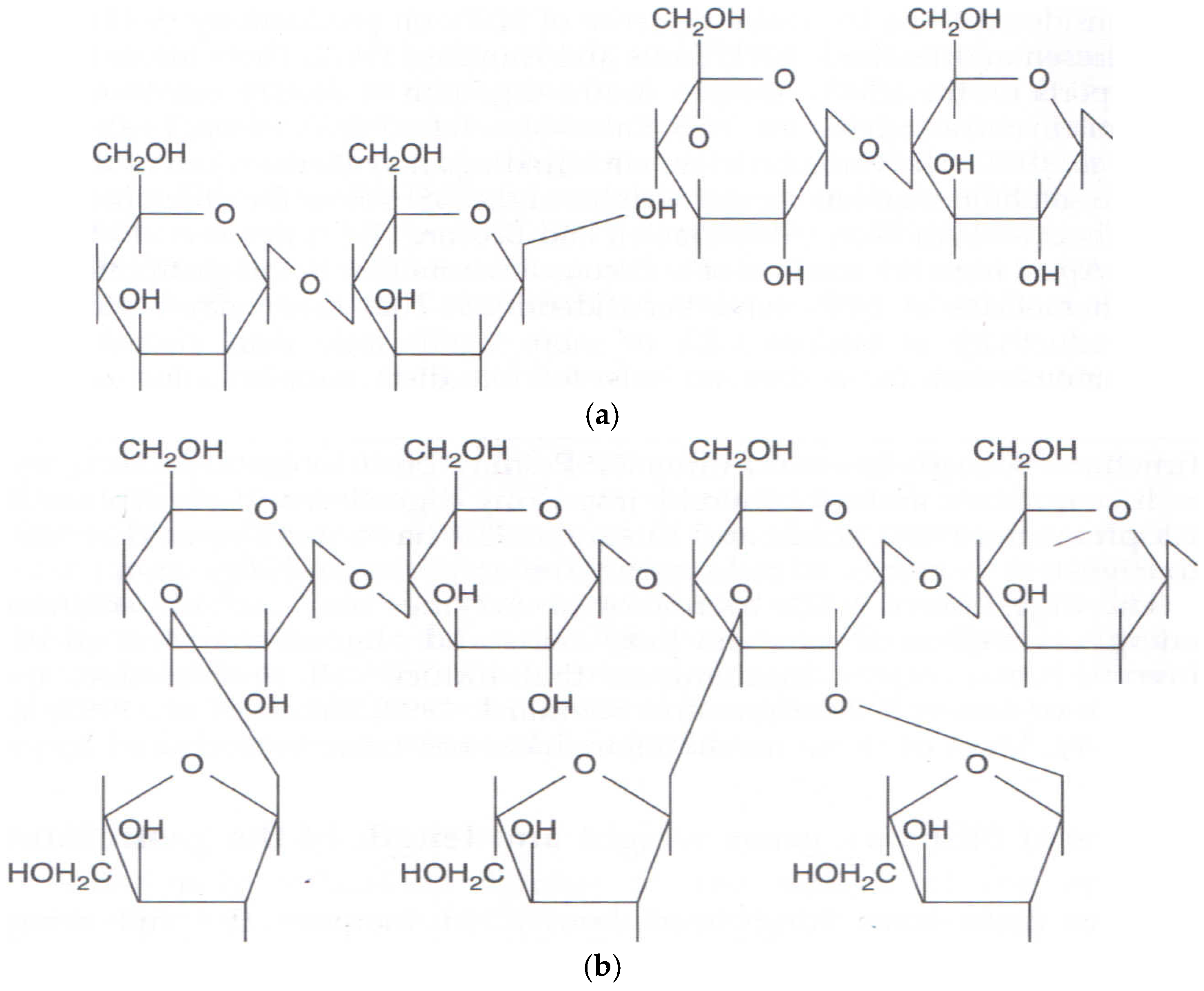
Plant fodder, in addition to trophic compounds, also contains other substances that are not used by animals either for assimilation or energy purposes [113]. Moreover, such components can negatively affect the assimilation of nutrients, i.e., have antinutritional properties [114]. In most cereals (rye, barley, oat, wheat, and triticale), these antinutrients are primarily NSPs, including pentosans and β-glucan. NSPs can have a negative impact on the development of birds; thus, recently, increasing attention has been paid to them [115,116]. NSPs differ widely in their chemical structure and can consist mainly of pentoses (arabinoxylans) or hexoses, i.e., β-glucans (Figure 1) [114]. Fructans, mannans, uronic acids, and pectins are found in cereal grains in small quantities [117].
Figure 1.
The main NSPs of cereals: β-glucans (a) and arabinoxylans (b). Reprinted from [19].
NSPs of wheat, rye and triticale are mainly pentosans and their structure in these cereals is similar [118,119,120]. Pentosans are polysaccharides that consist of pentoses, i.e., xylose and arabinose, and also include hexose residues. Chromatography of pentosan preparations showed that their molecules contain a protein bound to carbon chains [121].
According to Choct and Annison [114], NSPs reveal their antinutritional activity already at a level below 50 g/kg. At the same time, the content of pentosans in rye is about 100 g/kg [121], and in wheat 50–80 g/kg [119]. Triticale occupies an intermediate position and the content of pentosans in it ranges from 68 to 92 g/kg depending on the variety [122]. There is not too much data on the content of pentosans in cereals of different type, variety and selection. Since they significantly affect the fodder value of cereals, for their successful use in feed, it is necessary to conduct more appropriate research. In recent years, the usage of NSP enzymes has increased significantly, especially in the market sector that uses non-viscous diets. Additionally, the chicken feed industry currently offers a variety of product options, such as single enzymes, multi-enzyme combinations, and “complex” enzymes that provide multiple non-targeted functions in addition to their primary role. An enzyme solution should be evaluated based on more than just the sheer number of substrates available in a given diet. NSP enzymes can be categorized according to fermentation profiles, gut microbiota and its metabolites, nutritional or energy digestibility, gut morphology evaluations, or the degree of substrate hydrolysis. However, poultry performance data continues to be the gold standard for determining the effectiveness of a feed enzyme [123].
Beta-glucans are a characteristic component of barley and oat, whereas pentosans predominate in wheat, rye, and triticale [124]. Being linear polymers, β-glucans are made of homoglucose and present in the endosperm and sub-aleurone layer of cereal grains [125]. Common in these particular NSPs is the presence of β (1–4) and, occasionally, β (1–3) bonds, which determine their resistance to the action of digestive enzymes. This is because enzymes capable of cleaving β (1–4; 1–3) bonds are not synthesized in the body of monogastrics. Because of their physiological function, β-glucans are categorized as biological response modifiers. Purified β-glucans from barley and oats have been shown in studies to improve gastrointestinal health, boost immunity, and help cure inflammatory conditions in animals. Cereal β-glucans have been shown in cattle studies to improve gastrointestinal health and increase immunity, mainly through their interactions with the immune system and prebiotic effects. The health advantages of barley and oat β-glucans should be taken into account when creating diets for farm animals like hens. Even though glucans primarily have good pharmacological effects, it is important to be aware of their potentially harmful side effects [126,127].
NSPs are included in the structure of plant cell walls and, thus, serve as a physical barrier to the access of digestive enzymes to feed nutrients. NSPs can also bind certain nutrients and some digestive enzymes, reducing their activity. However, the main negative effect of NSPs is related to their ability, due to their structure, to retain a significant amount of water and form highly viscous solutions. According to one classification, cereals are divided into two categories: viscous and non-viscous, depending on the content of soluble NSPs in them. Viscous cereals include rye, barley, triticale, wheat and oat that have a high content of soluble NSPs, whereas non-viscous cereals include corn, sorghum, millet and rice, which contain a small amount of soluble NSPs [128,129]. At the same time, some authors associate the negative effect of NSPs on the body of monogastrics only with their soluble fraction, while according to others, insoluble NSPs have the same negative effect.
Viscosity depends on a number of factors, including molecular size, linear branching, presence of charged groups, environment, structure and, of course, concentration. Polysaccharides at low concentrations increase viscosity by directly interacting with water molecules. When the concentration increases, polysaccharide molecules interact and turn into tangled networks. Studies by Okolelova et al. [129] revealed a clear correlation between the viscosity of wheat and the increase in body weight of broilers. The higher the wheat viscosity, the lower the body weight gain in broilers and the lower the feed conversion.
Due, in significant part, to its chemical structure, arabinoxylan is a complex fiber found in a variety of grains (e.g., wheat, barley, and maize) with several health benefits. These include the synthesis of short-chain fatty acids, microbiota regulation, antioxidant qualities, and blood glucose response control. The effectiveness of arabinoxylan in food/feed systems is strongly correlated with its structural characteristics, including its molecular weight, solubility, and degree of branching. In fact, the food/feed matrix may influence how arabinoxylans function in the gastrointestinal system and aid in determining which particular arabinoxylans can be added to cereal and non-cereal food products or fodder without sacrificing quality [130]. Importantly, arabinoxylans can form cross-covalent and intermolecular hydrogen bonds, and such a network structure becomes the reason for the formation of a gel-like mass. Arabinoxylans can absorb about ten times their weight in water [124]. As a result, the viscosity of chyme in the gastrointestinal tract increases, whereas the access of digestive enzymes to nutrients, the diffusion of digested substances to the mucous membrane and, accordingly, their absorption deteriorate. The volume of chyme increases and its passage through the digestive tract slows down, which, in combination with an increase in the content of undigested nutrients that enter the lower intestine, promotes the reproduction of microflora, including pathogenic ones [131]. This leads to stickiness of droppings, increased contamination of equipment and eggs, and the deteriorated microclimate in poultry houses.
An increased concentration of NSPs has a negative effect on the morphological structure of the mucous membrane of the digestive tract. Hereby, goblet cells secrete a large amount of mucus and the number of villi decreases. That is, the area of absorption, and, accordingly, the absorption of nutrients deteriorates and cases of enteritis may be observed [114,129].
Alkylresorcinols are another antinutritive component of cereals. Alkylresorcinols (1,3-dihydrooxy-5-alkylbenzene derivatives) are long-chain phenolic lipids (Figure 2). They are found in rye, wheat and triticale [132].
Figure 2.
Structure of cereal alkylresorcinols. Reprinted from [19].
Concentrated mainly in the upper layers of grain, alkylresorcinols are biologically active substances that can affect the structure of cell membranes [133]. They are characterized by trypsin-inhibiting activity, reduce appetite in animals and have a laxative effect. In general, the content of alkylresorcinols, for example, in triticale is 30–50% lower than in rye, and, accordingly, their toxicity is lower. The number of these antimetabolites decreases during technological processing and preparation of feed mixtures (by heat treatment, grain grinding, etc.) [132]. On the other hand, alkylresorcinols available in whole grain are considered bioactive substances. This is because they can limit enzyme activity, stop bacterial and fungal infections, lower cholesterol absorption, lower the risk of cancer, and withstand oxidation. Alkylresorcinol research has therefore gained attention over time. Having lipophilic polyphenolic structures and a variety of biological characteristics, alkylresorcinols have the potential to be bioregulators of immunological and metabolic processes as well as adjuvant therapeutic agents for antibacterial and cancer treatment applications. Understanding the effects of processing on cereal phytochemicals can help create better processing techniques for cereal products, which will increase the amount of these beneficial substances retained [134,135]. Research on the effect of NSPs on metabolic processes in the bird’s body is quite limited and contradictory.
The issue of using freshly harvested grain of viscous cereals deserves special attention. In most cases, such grain has a negative effect on the bird, which is associated with a high content of the soluble fraction of NSPs in it. In the process of grain ripening, the structure of some NSP fractions undergoes changes, as a result of which they lose their solubility and redistribution between soluble and insoluble polysaccharides occurs towards the latter. Ripening is mostly completed after three months; by that time, grain viscosity decreases by 5–10 times [120] and its fodder quality improves. Because data on the viscosity of cereal grains grown in one or another country were not found in the literature available to us, this issue deserves further attention and needs more research.
6. Cereal Feeding Effect in Various Poultry Breeds
Despite the presence of antinutritional factors, cereals are a valuable forage crop and can be used quite successfully for fodder purposes, but its effectiveness depends on the level of input, type, variety and application conditions [21,40,136,137,138]. When studying the fodder value of different feed types and additives, their effect on different breeds should be compared [24,110]. It has been established that, when chickens of different breeds were fed diets containing barley, the digestibility of amino acids was higher in Leghorn roosters than in male broilers of the Ross 308 cross [139]. At the same time, pretreatment of barley also had a different effect on the digestibility of nutrients in roosters of different breeds. The replacement of corn with wheat in compound feed led to an increase in feed consumption in Dekalb cross layers, in contrast to Hisex cross chickens [140]. The inclusion of enzyme preparations in compound feed with soft wheat increased the protein feed digestibility in Dekalb cross chickens and had no effect in Hisex Brown cross birds. The efficiency of assimilation of metabolizable energy from diets based on corn or rice was 81.6 and 79.6% for Leghorn hens, respectively, while it was 74.2 and 76.0% for Rhode Island Red hens [140,141]. Poultry scientists have established that the difference between breeds in the efficiency of feed digestion was manifested to a greater extent in wheat-based diets compared to corn rations [139,141]. When laying hens were fed wheat, triticale, and rye, there were notable changes observed between breeds in their body weight gain, feed intake, egg weight, and cholesterol content in the eggs (e.g., [65,142,143,144]). A more pronounced effect on the productivity of poultry can have peculiarities in different types of cereals and agrotechnical conditions of their cultivation. Therefore, the study of certain varieties of cereals on various poultry breeds deserves further attention.
7. Ways to Increase the Efficiency of Using Cereals in Compound Feed for Poultry
The presence of antinutrients in cereals, such as NSPs, alkylresorcinols and trypsin inhibitors, significantly reduce the biological value of the cereal crops [19,83,145], preventing the full use of these cultures in poultry feeding. However, the influence of antinutritional variables can be mitigated with the use of a variety of technological approaches [41,95].
7.1. Enzyme Preparations
Using enzyme preparations is one of the more promising ways to cleave NSPs [140,146,147]. The primary adverse impact of cereal NSPs is associated with its ability to increase chyme viscosity, which is attributed to its polymer structure. Therefore, breaking down these polysaccharides into smaller pieces should inhibit the formation of a mesh structure and jelly-like chyme, while also considerably diminishing their antinutritive characteristics. It is difficult to overestimate the impact of additives like enzyme preparations [148] when utilizing hard-to-hydrolyze components in compound feed (barley, rye, millet, sorghum, triticale, peas, sunflower, rapeseed, flax, etc.), as the latter used in large quantities negatively impacts feed assimilation and poultry productivity [149,150,151,152,153,154].
Enzymes, nature’s biological catalysts, unlike hormones and biostimulants, work on the constituents of compound feed in the gastrointestinal track of birds and do not build up in organs, tissues, or poultry products [19,155,156]. Proteases, for instance, catalyze the degradation of proteins into amino acids, while cellulases catalyze the hydrolysis of the cellulose macromolecule into dextrins and glucose [157]. Adding enzyme preparations including a combination of amylolytic, pectolytic, cellulolytic, and proteolytic enzymes to compound feed with low consuming ability (barley–wheat) is advised in order to boost the digestibility and availability of nutrients in the feed [158,159].
Fodder enzyme preparations consisting of enzymes and a complex of associated organic and mineral substances are widely used in poultry farming [149,153,154]. These consist of the remains from the microbial nutrient medium, different stabilizers and fillers, preservatives, and byproducts of the microorganisms’ essential activity (amino acids, vitamins, organic acids, etc.). Nonetheless, the primary constituents of enzyme supplements consist of hydrolytic enzymes (such as cellulases, xylanases, β-glucanase, α-amylases, proteases, pectinases, phytase, etc.), which are crucial for the assimilation of nutrients in feed [93,151,160,161,162,163]. Feed enzymes are mainly obtained by microbial synthesis using fungi and bacteria [164].
The inefficient utilization of nutrients in feed mixes is caused by the high concentration of hard-to-hydrolyze carbohydrate components of the feed. Therefore, when using compound feed with a higher level of such components (barley, sorghum, triticale, and others), it is advisable to introduce into the compound feed appropriate enzyme preparations, as well as their composite complexes available in the market [165,166].
Collectively, prescribed enzyme preparations are meant to break down the walls of plant cells, the gastrointestinal tract’s enzymes may more easily access the carbohydrates, protein, and fat that are part of their makeup [19]. They boost absorption of nutrients in the small intestine, increasing their digestibility [167]. Enzyme preparations help reduce or eliminate the detrimental effects of antinutritional elements that interfere with nutrient absorption and utilization [41]. By decreasing viscosity and raising the amounts of monosaccharides, they enhance the microbial environment of the intestines [155,162].
Several investigations have demonstrated that adding xylanase-active enzyme preparations to compound feed made of wheat, rye and triticale improved the development of the chickens as well as their ability to digest protein, fat, and dry matter [93,163,167,168,169,170,171,172], as well as crude fiber [158]. The application of enzyme preparations with xylanase and β-glucanase activity in compound feed containing barley, according to García et al. [173], resulted in lower chyme viscosity, enhanced nutrient assimilation and average daily body weight gain, and decreased feed consumption. At the same time, some authors found a positive effect on the average daily growth of chickens, but did not see any increase in feed conversion. However, the usage of enzyme preparations in other research did not yield favorable outcomes. The use of wheat and rye, however, does not yield any favorable effect of enzymes on the performance of chickens [151].
It was discovered in several investigations that xylanase worked best with whole, or coarsely milled, wheat [93,151,161,162,174]. When the 7% rye diet was supplemented with the enzyme preparation, the body weight grew by 21%, but only by 11% when hens were subject to a limited feeding [175]. Cereal varieties and their growing environments are also very important. In particular, according to Partridge [176], the effect of enzyme preparations on certain varieties of wheat is much more notable than for other varieties. The increase in body weight of chickens under the influence of the enzyme preparation increased from 2 to 41%, depending on the barley variety. Also, the difference in average daily growth of piglets when using an enzyme preparation in a diet with wheat from Denmark was 18%, and when using the same wheat varieties grown in Australia, it reached 30% [176,177].
Pettersson and Åman [58] reported that the effect of the enzyme preparation was almost nonexistent at lower pentosan contents and maximum at higher pentosan concentrations when broiler feed contained triticale with low, medium, and high pentosan levels (5, 6, and 7%, respectively). Furthermore, the structure of NSP-degrading enzymes might vary [147] depending on where they originate from (bacteria, microscopic fungi, and their particular species and strains), and this affects their utilization [161,178]. Additionally, depending on their source, enzymes break down NSPs in various ways that might even make the solution more viscous, which amplifies the detrimental effects of NSPs [161,178,179].
Currently, various companies offer a wide range of enzyme preparations, but the effect of their use can differ significantly. At the same time, it is obvious that the correct choice of the enzyme preparation for the respective substrate determines the final economic effect of its inclusion [158,173,176,180,181,182].
7.2. Grain Processing
The application of different processing techniques is another viable strategy to raise the feed value of grains [2,183]. For example, Preston et al. [184] discovered that pelleting wheat-based feed enhanced the performance of chickens, and that the chyme viscosity increased with hot, as opposed to cold, pelleting. Following its passage through rollers, barley was found to have improved feed characteristics [185]. In contrast, barley ensiling improved metabolizable energy and dry matter digestibility for broiler more successfully than putting it through rollers [167]. When comparing barley to both native and micronized forms, the expansion of the grain resulted in a reduction of chyme viscosity, and in an enhancement of body weight gain and feed conversion [173].
Extrusion is a cost-effective and efficient technological solution for making grain feed for chickens that maximizes nutritional absorption [19,186,187]. These processes include the homogenization, when the product is already in a viscous state [19,188]. The extrusion (explosion) zone, where the heated viscous mass is forced through the spinnerets (short exit holes) and suddenly moved from the high-pressure zone to the atmospheric one, is where the primary and most significant changes in nutrients occur. Simultaneously, the product releases energy at a speed roughly equivalent to the explosion’s speed [141]. This causes the product to explode, creating a new (extruded) feed with a microporous structure that increases its accessibility to the action of digestive enzymes [19,189,190,191].
Grain biopolymer complexes undergo modifications throughout the extrusion process. Hydrolysis of starch results in a rise in its solubility, a change in the amount of sugars and an increase in the content of dextrins and amylose [19,192]. These processes operate differently in different cereals, which is related to the inherent characteristics of each culture’s grain structure. Some authors [193,194,195] compared the changes in the carbohydrate complex in corn and barley groats as a result of extrusion and found that the mass fraction of dextrins increased by 105 times in corn and 40 times in barley after extrusion, while amylose in corn extrudate increased by 43 times and 79 times in barley. According to other authors [196], as a result of extrusion of a mixture of barley with bran, the content of dextrins in the finished product increased from 2 to 10.6%, due to which the degree of starch digestibility (in vitro) increased twofold.
The structure of protein molecules is broken down during the extrusion process, which also results in an increase in peptides and free amino acids and an improvement in digestibility [19]. Simultaneously, antinutrients are also rendered inactive; the majority of these are protein-based substances such as inhibitors of proteases, hemagglutinins, lipoxidase and lipoxygenase, etc. A significant drop in the percentage of water-soluble proteins in the extrudate can be a sign of decreased amino acid availability caused by excessive or prolonged warming intended to inactivate antinutrients [87].
The structure of fat cells Is broken down and Intercellular membranes are ripped as they move through the extruder’s body and explode, increasing the amount of liberated (available) oil. As a result, extrudates of oil crops and extrudates that combine oil and cereal crops have higher energy values [186]. Because oxidizing enzymes (lipases and lipoxygenases) are inactivated during extrusion, lipids maintain their characteristics and prolong product oxidation and storage [19]. Ushkalova [197] found that at high extrusion temperatures, the number of microorganisms decreases sharply and the quality of the obtained extrudates increases to a large extent; that is, the product is sterilized due to a decrease in the number of microorganisms in the extrudate compared to the raw material.
There are two types of extrusion technologies: dry and wet (which involves heating raw materials beforehand) [19]. For corn and peas, the mass of the same volume of ground grain or grain mixture should be greater than the mass of the extruded product by a factor of four or more. For wheat, barley, and other crops, this ratio should be two, three or more [198,199,200]. The raw material’s composition, humidity, initial preparation technique, temperature, length and strength of mechanical impact on the raw material, screw design, and other parameters all affect the quality of extrudates [199]. In addition to being lighter in color than the raw material, grain feed extrudates offer a delightful bread-like flavor and aroma. Following grinding, they have minimal dust-like fraction, excellent flowability, and are simple to combine with other compound feed ingredients [200,201].
Extruded grains have not yet gained the same ubiquity in poultry diets for all age groups as they have in animal husbandry. Probably this is because the majority of the ingredients in poultry feed are easily digested grains like corn and wheat, which typically do not need to be processed further. The use of other ingredients like barley, triticale, rye, peas, etc. is restricted because of their high concentrations of cellulose, β-glucans, pentosans, trypsin inhibitors, and other antinutrients [19]. Due to the porous structure of the extrudates, the extrusion of these cereals permits the partial neutralization of available antinutritional factors and results in products with improved availability of proteins and polysaccharides for digestive enzymes. This enhances the nutritional value of feed, even during the feed preparation process, thereby expanding its use in poultry diets [187]. Further studies of this issue are important and relevant.
7.3. CRISPR-Edited Cereal Varieties
The development of novel CRISPR-edited grain cultivars with lower phytate content or improved amino acid profiles is essential to contemporary feed science [202,203,204,205]. In the last 50 years or so it has become apparent that, despite increased cereal crop yields contributing positively to worldwide food security, they have been more or less developed for ideal environmental conditions [205]. With increasing environmental change and population growth, however, stress resistant varieties need to be developed. The CRISPR/Cas9 system is a hugely powerful and versatile tool for genome editing with the potential to introduce desirable traits quickly. Such traits include high-yielding, stress-tolerant, disease-resistant, transgene-free cultivars [205]. Using CRISPR/Cas9 genome editing however, has a number of hurdles to overcome, not least of which is funding and time taken to develop elite new lines as well as the legislative barriers imposed by many countries in the light of the genetically modified organism-related lobby. The last ten years or so demonstrated the accuracy, fidelity, paucity of off-target effects, and high efficacy of CRISPR technology. Such application can induce targeted mutagenesis and thereby improve the cereal crops mentioned in this review. Given that the genomic databases of all these cereal crops are readily accessible, numerous modifications have been achieved, obtaining the most desirable of outcomes [206].
One of the key applications in this regard is the development of cereals with reduced phytate content and/or improved amino acid profiles. Phytate can be detrimental in animal feed as it is poorly digestible for monogastric animals such as poultry. CRISPR/Cas9 can be used to edit genes responsible for phytate synthesis, thereby creating varieties that allow for better phosphorus availability and absorption. The result is improving feed efficiency and reduced environmental impacts related to phosphorus runoff. Enhancing the amino acid profiles of cereal crops using CRISPR/Cas9 could be crucial for meeting the nutritional needs of poultry. Targeting specific genes involved in amino acid synthesis, leads to the development of cereal crops richer in essential amino acids, thereby promoting better growth and health. This has the added advantage of reducing the need for synthetic amino acid supplements, leading to more sustainable farming practices [206,207].
8. Conclusions
The overall scope of this article was to provide a detailed comparative analysis of the biological value, protein digestibility and net protein utilization of cereal crops. By lining up the properties of each against one another, we demonstrate that, collectively, they provide most essential amino acids, including lysine. We also demonstrate the presence of, and complete the quantities of, contributing antinutritional components such as NSPs (including pentosans (arabinoxylans) and β-glucan) and alkylresorcinols. In focusing on the comparative properties of staples for poultry feed, we can arrive at the conclusion that there are, and will increasingly be, ways to optimize the use of grains in compound feed for chicken while lowering NSPs and other antinutrients. We further conclude that using enzyme preparations is one promising way to cleave NSP. Indeed, research on the efficiency of enzyme preparations in cereal feed for adult and young animals is crucial to further this promising area. Using both wet and dry extrusion techniques to treat grains is another strategy that can be employed and, according to Bratyshko et al. [208], cereal extrudates including soybean and sunflower are particularly deserving of attention. This is because they provide valuable raw materials for compound feed being higher in calories and protein. Through this detailed comparative analysis, this review underlines the fact that further research is required to determine how economically viable it is to feed adult and young chickens with compound feed that contains a variety of cereal crops. Importantly here however we highlight the additional use of enzyme preparations and extrudates to achieve maximum economic, health and welfare benefit [197,209].
Author Contributions
Conceptualization, O.V.G., O.O.K. and M.N.R.; investigation, O.V.G. and O.O.K.; resources, O.V.G. and O.O.K.; data curation, O.V.G., O.O.K. and I.A.I.; writing—original draft preparation, O.V.G., O.O.K., I.A.I. and M.N.R.; writing—review and editing, O.V.G., O.O.K., I.A.I., D.K.G. and M.N.R.; visualization, O.V.G. and M.N.R.; supervision, O.O.K., I.A.I., O.O.D. and D.K.G.; project administration, O.O.K. and M.N.R.; funding acquisition, O.O.K. and M.N.R. All authors have read and agreed to the published version of the manuscript.
Funding
This research received external funding from the National Academy of Agrarian Sciences (NAAS) of Ukraine as part of the State Poultry Research Station project entitled “43.00.02.05.F. Study of Physiological and Biochemical Mechanisms of Regulation of Metabolic Processes and Increase in Bioavailability of Nutrients Using Alternative Feed Resources in Poultry Feeding” (0121U100426) and was approved by the decision of the NAAS Presidium (Protocol No. 18, dated 16 December 2020).
Institutional Review Board Statement
Not applicable.
Informed Consent Statement
Not applicable.
Data Availability Statement
No new data were created or analyzed in this study. Data sharing is not applicable to this article.
Conflicts of Interest
The authors declare no conflicts of interest.
References
- Jeyasri, R.; Muthuramalingam, P.; Satish, L.; Pandian, S.K.; Chen, J.-T.; Ahmar, S.; Wang, X.; Mora-Poblete, F.; Ramesh, M. An overview of abiotic stress in cereal crops: Negative impacts, regulation, biotechnology and integrated omics. Plants 2021, 10, 1472. [Google Scholar] [CrossRef]
- Nayik, G.A.; Tufail, T.; Anjum, F.M.; Javed Ansari, M. (Eds.) Cereal Grains: Composition, Nutritional Attributes, and Potential Applications, 1st ed.; CRC Press: Boca Raton, FL, USA, 2023. [Google Scholar] [CrossRef]
- Harlan, J.R.; de Wet, J.M.; Price, E.G. Comparative evolution of cereals. Evolution 1973, 27, 311–325. [Google Scholar] [CrossRef]
- Jin, Z.; Tilman, D. Crop diversity benefits increase with nation size. Nat. Food 2024, 5, 463–464. [Google Scholar] [CrossRef]
- Giordano, M.; Petropoulos, S.; Rouphael, Y. Response and defence mechanisms of vegetable crops against drought, heat and salinity stress. Agriculture 2021, 11, 463. [Google Scholar] [CrossRef]
- Kumari, V.V.; Roy, A.; Vijayan, R.; Banerjee, P.; Verma, V.C.; Nalia, A.; Pramanik, M.; Mukherjee, B.; Ghosh, A.; Reja, H.; et al. Drought and heat stress in cool-season food legumes in sub-tropical regions: Consequences, adaptation, and mitigation strategies. Plants 2021, 10, 1038. [Google Scholar] [CrossRef]
- Zhang, C.; Zhang, H.; Wang, L.; Qian, H. Physical, functional, and sensory characteristics of cereal extrudates. Int. J. Food Prop. 2014, 17, 1921–1933. [Google Scholar] [CrossRef]
- O’Neil, C.E.; Nicklas, T.A.; Zanovec, M.; Cho, S. Whole-grain consumption is associated with diet quality and nutrient intake in adults: The National Health and Nutrition Examination Survey, 1999–2004. J. Am. Diet. Assoc. 2010, 110, 1461–1468. [Google Scholar] [CrossRef]
- Papanikolaou, Y.; Fulgoni, V.L. Certain grain foods can be meaningful contributors to nutrient density in the diets of US children and adolescents: Data from the National Health and Nutrition Examination Survey, 2009–2012. Nutrients 2017, 9, 160. [Google Scholar] [CrossRef]
- Rajkumar, G.; Selvakulasingam, B. Comparative study of nutrient composition of selected cereal grains available in Jaffna, Sri Lanka. Ann. Biol. Res. 2019, 10, 21–24. Available online: https://www.researchgate.net/publication/335712795 (accessed on 18 April 2025).
- Torbica, A.; Belović, M.; Popović, L.; Čakarević, J.; Jovičić, M.; Pavličević, J. Comparative study of nutritional and technological quality aspects of minor cereals. J. Food Sci. Technol. 2021, 58, 311–322. [Google Scholar] [CrossRef]
- Alexandratos, N.; Bruinsma, J. World Agriculture Towards 2030/2050: The 2012 Revision. ESA Working Paper No. 12-03; FAO: Rome, Italy, 2012; Available online: https://www.fao.org/4/ap106e/ap106e.pdf (accessed on 18 April 2025).
- Olugbire, O.O.; Olorunfemi, S.; Oke, D.O. Global utilisation of cereals: Sustainability and environmental issues. Agro-Science 2021, 20, 9–14. [Google Scholar] [CrossRef]
- Kchaou, R.; Benyoussef, S.; Jebari, S.; Harbaoui, K.; Berndtsson, R. Forage potential of cereal–legume mixtures as an adaptive climate change strategy under low input systems. Sustainability 2023, 15, 338. [Google Scholar] [CrossRef]
- Bessarabova, R.F.; Toporova, L.B.; Egorov, I.A. Feed and Feeding of Poultry; Kolos: Moscow, Russia, 1992; Available online: https://elibrary.ru/item.asp?id=21391195 (accessed on 18 April 2025). (In Russian)
- Lemesheva, M.M. Poultry Feeding; Slobozhanshchyna: Sumy, Ukraine, 2003. (In Ukrainian) [Google Scholar]
- Egorov, I.A.; Imangulov, S.A. Results and prospects of research on feeding highly productive cross-breed poultry. Sb. Nauch. tr. VNITIP [Collect. Sci. Pap. All-Russ. Res. Tech. Poult. Inst.] 2005, 80, 98–103. Available online: https://www.elibrary.ru/item.asp?id=21185755 (accessed on 18 April 2025). (In Russian).
- Svezhentsov, A.I.; Urdzik, R.M.; Egorov, I.A. Feed and Feeding of Poultry; Art Press: Dnepropetrovsk, Ukraine, 2006; Available online: https://elibrary.ru/item.asp?id=21391203 (accessed on 18 April 2025). (In Russian)
- Gaviley, O.V. Efficiency of the Use of Triticale in Fodder for Breeding Chickens. Ph.D. Thesis, State Poultry Research Station of NAAS, Kharkov State Zooveterinary Academy, Kharkiv, Ukraine, 2018. [Google Scholar]
- Kyrychenko, V.V.; Maklyak, K.M.; Varenyk, B.F.; Kutishcheva, N.M.; Trotsenko, V.I. The practical characteristics expressing of three-linear sunflower hybrids in different agro-climatic zones of Ukraine. Vìsn. Sumsʹkogo Nac. Agrar. Unìv. Ser. Agron. Bìol. [Bull. Sumy Natl. Agrar. Univ. Ser. Agron. Biol.] 2016, 9, 129–133. Available online: https://web.archive.org/web/20220325181928/http://repo.snau.edu.ua/bitstream/123456789/5660/1/32.pdf (accessed on 18 April 2025). (In Ukrainian).
- Smith, R.L.; Jensen, L.S.; Hoveland, C.S.; Hanna, W.W. Use of pearl millet, sorghum, and triticale grain in broiler diets. J. Prod. Agric. 1989, 2, 78–82. [Google Scholar] [CrossRef]
- Bratishko, N.; Gaviley, E.; Pritulenko, O.; Tereshchenko, A. Triticale in compound feed for chicken breeders. Pticevod. [Poult. Farm.] 2008, 9, 30–32. Available online: https://www.elibrary.ru/item.asp?id=11566990 (accessed on 18 April 2025). (In Russian).
- Bratishko, N.I.; Gaviley, E.V.; Pritulenko, O.V.; Tereshchenko, A.V. Triticale in feeding meat-egg chickens. Pticevod. [Poult. Farm.] 2012, 4, 41–43. Available online: https://www.elibrary.ru/item.asp?id=17668326 (accessed on 18 April 2025). (In Russian).
- Bratyshko, N.I.; Gaviley, O.V.; Tereshchenko, O.V.; Prytulenko, O.V. Effect of triticale on the vitamin content of eggs of different chicken breeds. Ptahìvnictvo [Poult. Farm.] 2010, 65, 93–100. Available online: http://avianua.com/archiv/ptahivnictvo/65/10.pdf (accessed on 18 April 2025). (In Ukrainian).
- Zhukorskyi, O.; Prytulenko, O.; Tereshchenko, O.; Bratyshko, N. The presence of soybean, triticale and sorghum in compound feed for poultry is fully justified. Zerno i khlib [Grain Bread] 2012, 2, 14–16. Available online: https://www.researchgate.net/publication/342832208 (accessed on 18 April 2025). (In Ukrainian).
- Różewicz, M. Production, use and efficiency of utilising grains of various cereal species as feed resources for poultry production. Pol. J. Agron. 2019, 38, 66–74. [Google Scholar] [CrossRef]
- Farahat, M.; Badawi, M.; Hussein, A.; Attia, G. Effect of replacing dietary corn by sorghum on the growth performance, shank skin pigmentation, carcass traits, caecal microflora and nutrient digestibility of broiler chickens. Int. J. Poult. Sci. 2020, 19, 424–431. [Google Scholar] [CrossRef]
- Gaviley, O.V.; Katerynych, O.O.; Ionov, I.A.; Dekhtiarova, O.O.; Griffin, D.K.; Romanov, M.N. Triticale: A general overview of its use in poultry production. Encyclopedia 2024, 4, 395–414. [Google Scholar] [CrossRef]
- IndiaMART. Poultry Feed Black Rice, Sree Karpagavinayagar Stores. 2017. Available online: https://www.indiamart.com/proddetail/poultry-feed-black-rice-22989634233.html (accessed on 18 April 2025).
- Asyifah, M.N.; Abd-Aziz, S.; Phang, L.Y.; Azlian, M.N. Brown rice as a potential feedstuff for poultry. J. Appl. Poult. Res. 2012, 21, 103–110. [Google Scholar] [CrossRef]
- Nanto-Hara, F.; Ohtsu, H.; Yamazaki, M.; Hirakawa, T.; Sato, K.; Murakami, H. Effects of dietary brown rice on the growth performance, systemic oxidative status, and splenic inflammatory responses of broiler chickens under chronic heat stress. J. Poult. Sci. 2021, 58, 154–162. [Google Scholar] [CrossRef]
- Gradziuk, P.; Jończyk, K.; Gradziuk, B.; Wojciechowska, A.; Trocewicz, A.; Wysokiński, M. An economic assessment of the impact on agriculture of the proposed changes in EU biofuel policy mechanisms. Energies 2021, 14, 6982. [Google Scholar] [CrossRef]
- Liu, X.; Unaegbunam, E.; Stuart, D.T. Co-production of isobutanol and ethanol from prairie grain starch using engineered Saccharomyces cerevisiae. Fermentation 2021, 7, 150. [Google Scholar] [CrossRef]
- Wilczyński, D.; Talaśka, K.; Wałęsa, K.; Wojtkowiak, D.; Bembenek, M. Experimental study on the cutting process of single triticale straws. Materials 2023, 16, 3943. [Google Scholar] [CrossRef]
- Obidziński, S.; Cwalina, P.; Kowczyk-Sadowy, M.; Krasowska, M.; Sienkiewicz, A.; Faszczewski, D.; Szyszlak-Bargłowicz, J. The use of bread bakery waste as a binder additive in the production of fuel pellets from straw. Energies 2023, 16, 7313. [Google Scholar] [CrossRef]
- Aaman, P.; Hesselman, K. Analysis of starch and other main constituents of cereal grains. Swed. J. Agric. Res. 1984, 14, 135–139. Available online: https://agris.fao.org/search/en/records/6471ba8c77fd37171a6d7ad1 (accessed on 18 April 2025).
- Erickson, J.P. Triticale—A review of its nutritional value. Millg. Feed Fertil. 1984, 167, 13–15. Available online: https://www.cabidigitallibrary.org/doi/full/10.5555/19841460877 (accessed on 18 April 2025).
- Al-Athari, A.K.; Guenter, W. Nutritional value of triticale (Carman) for broiler diets. Anim. Feed Sci. Technol. 1988, 22, 119–130. [Google Scholar] [CrossRef]
- Al-Athari, A.K.; Guenter, W. The effect of fat level and type on the utilization of triticale (cultivar Carman) by broiler chicks. Anim. Feed Sci. Technol. 1989, 22, 273–284. [Google Scholar] [CrossRef]
- Flores, M.P.; Castaño, J.I.R.; McNab, J.M. Effect of enzyme supplementation of wheat and triticale based diets for broilers. Anim. Feed Sci. Technol. 1994, 49, 237–243. [Google Scholar] [CrossRef]
- Samtiya, M.; Aluko, R.E.; Dhewa, T. Plant food anti-nutritional factors and their reduction strategies: An overview. Food Prod. Process. Nutr. 2020, 2, 6. [Google Scholar] [CrossRef]
- Xu, X.; Tao, J.; Wang, Q.; Ge, J.; Li, J.; Gao, F.; Gao, S.; Yang, Q.; Feng, B.; Gao, J. A comparative study: Functional, thermal and digestive properties of cereal and leguminous proteins in ten crop varieties. LWT 2023, 187, 115288. [Google Scholar] [CrossRef]
- Tarasewicz, Z.; Gardzielewska, J.; Szczerbińska, D.; Ligocki, M.; Jakubowska, M.; Majewska, D. The effect of feeding with low-protein feed mixes on the growth and slaughter value of young male Pharaoh quails. Arch. Anim. Breed. 2007, 50, 520–530. [Google Scholar] [CrossRef]
- Grela, E.R.; Kowalczuk-Vasilev, E.; Świątkiewicz, M.; Skiba, G. Barley, triticale, or rye? The type of grain can affect the growth performance and meat quality of sustainable raised pigs. Animals 2023, 13, 1331. [Google Scholar] [CrossRef]
- Jensen, L.S.; Chang, C.H.; Wyatt, R.D. Influence of carbohydrate source on liver fat accumulation in hens. Poult. Sci. 1976, 55, 700–709. [Google Scholar] [CrossRef]
- Campbell, G.L.; Classen, H.L.; Goldsmith, K.A. Effect of fat retention on the rachitogenic effect of rye fed to broiler chicks. Poult. Sci. 1983, 62, 2218–2223. [Google Scholar] [CrossRef]
- D’Alfonso, T.N.; Corbett, J.L. Factors affecting ileal digestible energy of corn in poultry diets. Rec. Adv. Anim. Nutr. Aust. 2003, 14, 151–156. [Google Scholar]
- Panin, I. The corn as an ingredient of compound feeds. Kombikorma [Compound Feeds] 2006, 6, 67–68. Available online: https://elibrary.ru/item.asp?id=9282026 (accessed on 18 April 2025). (In Russian with English description).
- Hossan, M.S.; Kruk, Z.A.; Lee, B.D. Nutritive value of corn distillers died grains with solubles as an ingredient of poultry diets: A review. Worlds Poult. Sci. J. 2010, 66, 411–432. [Google Scholar] [CrossRef]
- Lázaro, R.; Garcia, M.; Medel, P.; Mateos, G.G. Influence of enzymes on performance and digestive parameters of broilers fed rye-based diets. Poult. Sci. 2003, 82, 132–140. [Google Scholar] [CrossRef]
- Péron, A.; Gomez, J.; Mignon-Grasteau, S.; Sellier, N.; Besnard, J.; Derouet, M.; Juin, H.; Carré, B. Effects of wheat quality on digestion differ between the D+ and D- chicken lines selected for divergent digestion capacity. Poult. Sci. 2006, 85, 462–469. [Google Scholar] [CrossRef]
- Fernandez, R.; Lucas, E.; McGinnis, J. Comparative nutritional value of different cereal grains as protein sources in a modified chick bioassay. Poult. Sci. 1974, 53, 39–46. [Google Scholar] [CrossRef]
- McCracken, K.J.; Quintin, G. Metabolisable energy content of diets and broiler performance as affected by wheat specific weight and enzyme supplementation. Br. Poult. Sci. 2000, 41, 332–342. [Google Scholar] [CrossRef]
- Volyanskaya, A.R.; Akberdin, I.R.; Kulyashov, M.A.; Yevshin, I.S.; Romanov, M.N.; Shagimardanova, E.I.; Gusev, O.A.; Kolpakov, F.A. A bird’s-eye overview of molecular mechanisms regulating feed intake in chickens—With mammalian comparisons. Anim. Nutr. 2024, 17, 61–74. [Google Scholar] [CrossRef]
- Pirgozliev, V.R.; Rose, S.P.; Kettlewell, P.S. Effect of ambient storage of wheat samples on their nutritive value for chickens. Br. Poult. Sci. 2006, 47, 342–349. [Google Scholar] [CrossRef]
- Scott, T.A.; Silversides, F.G.; Classen, H.L.; Swift, M.L.; Bedford, M.R.; Hall, J.W. A broiler chick bioassay for measuring the feeding value of wheat and barley in complete diets. Poult. Sci. 1998, 77, 449–455. [Google Scholar] [CrossRef]
- McCracken, K.J.; Preston, C.M.; Butler, C. Effects of wheat variety and specific weight on dietary apparent metabolisable energy concentration and performance of broiler chicks. Br. Poult. Sci. 2002, 43, 253–260. [Google Scholar] [CrossRef]
- Pettersson, D.; Åman, P. Effects of enzyme supplementation of diets based on wheat, rye or triticale on their productive value for broiler chickens. Anim. Feed Sci. Technol. 1988, 20, 313–324. [Google Scholar] [CrossRef]
- Barneveld, R.J.; Cooper, K.V. Nutritional Quality of Triticale for Pigs and Poultry. In Proceedings of the 5th International Triticale Symposium, Radzików, Poland, 30 June–5 July 2002; Plant Breeding and Acclimatization Institute: Radzików, Poland, 2002; Volume I, pp. 277–282. Available online: https://www.cabidigitallibrary.org/doi/full/10.5555/20123096537 (accessed on 18 April 2025).
- MacAuliffe, T.; McGinnis, J. Effect of ultraviolet light and oral vitamin D3 on rachitic chicks fed diets containing either corn or rye. Poult. Sci. 1976, 55, 2305–2309. [Google Scholar] [CrossRef]
- Odetallah, N.H.; Parks, C.W.; Ferket, P.R. Effect of wheat enzyme preparation on the performance characteristics of tom turkeys fed wheat-based rations. Poult. Sci. 2002, 81, 987–994. [Google Scholar] [CrossRef]
- Kuznetsova, T. The effect of the enzyme and acidifier on the egg quality. Kombikorma [Compound Feeds] 2007, 2, 78–80. Available online: https://elibrary.ru/item.asp?id=9474339 (accessed on 18 April 2025). (In Russian with English description).
- Jiang, Z.; Zhou, Y.; Lu, F.; Han, Z.; Wang, T. Effects of different levels of supplementary alpha-amylase on digestive enzyme activities and pancreatic amylase mRNA expression of young broilers. Asian-Australas. J. Anim. Sci. 2008, 21, 97–102. [Google Scholar] [CrossRef]
- Lázaro, R.; Latorre, M.A.; Medel, P.; Gracia, M.; Mateos, G.G. Feeding regimen and enzyme supplementation to rye-based diets for broilers. Poult. Sci. 2004, 83, 152–160. [Google Scholar] [CrossRef]
- Shafey, T.M.; Dingle, J.G.; McDonald, M.W. Comparison between wheat, triticale, rye, soyabean oil and strain of laying bird on the production, and cholesterol and fatty acid contents of eggs. Br. Poult. Sci. 1992, 33, 339–346. [Google Scholar] [CrossRef] [PubMed]
- Pan, C.F.; Igbasan, F.A.; Guenter, W.; Marquardt, R.R. The effects of enzyme and inorganic phosphorus supplements in wheat- and rye-based diets on laying hen performance, energy, and phosphorus availability. Poult. Sci. 1998, 77, 83–109. [Google Scholar] [CrossRef]
- Kim, S.M.; Patel, M.B.; Reddy, S.J. Effects of different cereal grains in diets for laying hens on production parameters and liver fat content. Poult. Sci. 1976, 55, 520–530. [Google Scholar] [CrossRef]
- Richter, G.; Lemser, A. The use of native triticale in poultry. 3. Use in laying hens. Arch. Tierernahr. 1993, 43, 237–244. [Google Scholar] [CrossRef]
- Çiftci, I.; Yenise, E.; Eleroglu, H. Use of triticale alone and in combination with wheat or maize: Effects of diet type and enzyme supplementation on hen performance, egg quality, organ weights, intestinal viscosity and digestive system characteristics. Anim. Feed Sci. Technol. 2003, 105, 149–161. [Google Scholar] [CrossRef]
- Wu, G. Amino Acids: Biochemistry and Nutrition, 2nd ed.; CRC Press: Boca Raton, FL, USA, 2021. [Google Scholar] [CrossRef]
- D’Mello, J.P.F. (Ed.) Amino Acids in Animal Nutrition, 2nd ed.; CABI Publishing: Wallingford, UK, 2003. [Google Scholar] [CrossRef]
- Lukht, G.V. The influence of heat treatment on the nutritional value of compound feeds. Kombikorma [Compd. Feeds] 1999, 8, 43–45. (In Russian) [Google Scholar]
- De Lange, L.; Rombouts, C.; Elferink, G.O. Practical application and advantages of using total digestible amino acids and undigestible crude protein to formulate broiler diets. Worlds Poult. Sci. J. 2003, 59, 447–457. [Google Scholar] [CrossRef]
- Serova, O.; Red, E.; Sadovnikova, N. Optimization and reduction in cost of rations for industrial poultry. Pticevod. [Poult. Farm.] 2005, 10, 23–26. Available online: https://elibrary.ru/item.asp?id=16711218 (accessed on 18 April 2025). (In Russian).
- Lenkova, T.N. Multienzyme compositions in compound feeds containing non-traditional components. Ptica i pticeprodukty [Poult. Chicken Products] 2007, 2, 46–49. Available online: https://elibrary.ru/item.asp?id=15489799 (accessed on 18 April 2025). (In Russian).
- Okolelova, T.M.; Savchenko, V.S. Determination of the effectiveness of dietary supplements Livamin and Fitoliv in feed for broilers. In Materials of the VI International Poultry Veterinary Congress, Moscow, Russia, 26–29 April 2010; Smolensky, V.I., Ed.; ZAO Znak Corporation: Moscow, Russia, 2010; pp. 244–246. Available online: https://elibrary.ru/item.asp?id=27133771 (accessed on 18 April 2025). (In Russian)
- Petrukhin, I.V.; Poloz, D.D. Feed and Feed Additives; Rosagropromizdat: Moscow, Russia, 1989; Available online: https://www.studmed.ru/petruhin-i-v-korma-i-kormovye-dobavki_1506641238b.html (accessed on 18 April 2025). (In Russian)
- Sharshunov, V.A.; Popkov, N.A.; Ponomarenko, Y.A.; Chervyakov, A.V.; Bortnik, S.A.; Kandaurov, S.N.; Koshkin, S.D.; Ponomarenko, V.S. Compound Feeds and Feed Additives; Ekoperspektiva: Minsk, Belarus, 2002; Available online: https://elibrary.ru/item.asp?id=47111223 (accessed on 18 April 2025). (In Russian)
- Ponomarenko, Y.A.; Fisinin, V.I.; Egorov, I.A. Feed, Feed Additives, Biologically Active Substances for Poultry; VNITIP: Sergiev Posad, Russia, 2009; Available online: https://elibrary.ru/item.asp?id=19514172 (accessed on 18 April 2025). (In Russian)
- National Research Council. Nutrient Requirements of Swine, 11th ed.; National Research Council of the National Academies, The National Academies Press: Washington, DC, USA, 2012; Available online: https://nap.nationalacademies.org/catalog/13298/nutrient-requirements-of-swine-eleventh-revised-edition (accessed on 18 April 2025)ISBN 0309224233.
- Ibatullin, I.I.; Kryvenok, M.Y.; Ilchuk, I.I.; Yastrebov, K.Y.; Yanchevskyi, O.S. Digestibility of feed nutrients and methionine balance in the body of chickens of the parent flock at different levels of methionine in the diets. Sučasne Ptahìvnictvo [Mod. Poult. Farm.] 2013, 5, 2–5. Available online: https://lib.dsau.dp.ua/book/105660?lang=en (accessed on 18 April 2025). (In Ukrainian).
- Otchenashko, V.V. Productivity of meat quails fed compound feeds with different levels of crude protein. Sb. Nauč. Tr. SWorld [Collect. Sci. Pap. SWorld] 2013, 4, 79–87. Available online: https://elibrary.ru/item.asp?id=21110040 (accessed on 18 April 2025). (In Ukrainian).
- Emtseva, M.V. The use of Vrn genes for creation of triticale forms with different length of vegetation period. Sel’Skokhozyaistvennaya Biol. [Agric. Biol.] 2019, 55, 3–14. [Google Scholar] [CrossRef]
- Fagundes, N.S.; Milfort, M.C.; Williams, S.M.; Da Costa, M.J.; Fuller, A.L.; Menten, J.F.; Rekaya, R.; Aggrey, S.E. Dietary methionine level alters growth, digestibility, and gene expression of amino acid transporters in meat-type chickens. Poult. Sci. 2020, 99, 67–75. [Google Scholar] [CrossRef]
- Rani, M.; Singh, G.; Siddiqi, R.A.; Gill, B.S.; Sogi, D.S.; Bhat, M.A. Comparative quality evaluation of physicochemical, technological, and protein profiling of wheat, rye, and barley cereals. Front. Nutr. 2021, 8, 694679. [Google Scholar] [CrossRef]
- Narushin, V.G.; Volkova, N.A.; Vetokh, A.N.; Dzhagaev, A.Y.; Volkova, L.A.; Griffin, D.K.; Romanov, M.N.; Zinovieva, N.A. Metabolic rate and egg production in Japanese quails can be predicted by assessing growth parameters of laying hens. Animals 2024, 14, 258. [Google Scholar] [CrossRef]
- Chen, C.H.; Bushuk, W. Nature of proteins in Triticale and its parental species: I. Solubility characteristics and amino acid composition of endosperm proteins. Can. J. Plant Sci. 1970, 50, 9–14. [Google Scholar] [CrossRef]
- Nte, I.J.; Gunn, H.H. Cysteine in broiler poultry nutrition. In Bioactive Compounds—Biosynthesis, Characterization and Applications; Queiroz Zepka, L., Nascimento, T.C.d., Jacob-Lopes, E., Eds.; IntechOpen: London, UK, 2021. [Google Scholar] [CrossRef]
- Egorov, B.V.; Makarinskaya, A.V.; Sitko, A.N. Problem of providing feed products with lysine. Efektyvni kormy ta hodivlya [Eff. Feeds Feeding] 2006, 3, 46–50. Available online: https://lib.dsau.dp.ua/book/27778 (accessed on 18 April 2025). (In Russian).
- Egorov, B.V.; Makarinskaya, A.V.; Sitko, A.N. The problem of providing lysine to feed products. Hran. i pererab. zerna [Grain Storage Process.] 2006, 6, 40–43. Available online: https://lib.dsau.dp.ua/book/28240 (accessed on 18 April 2025). (In Russian).
- WHO/FAO/UNU. Protein and Amino Acid Requirements in Human Nutrition; Report of a Joint WHO/FAO/UNU Expert Consultation, Geneva, Switzerland, 9–16 April 2002; WHO Technical Report Series No. 935.; WHO: Geneva, Switzerland, 2007. [Google Scholar]
- Pesti, G.M. Impact of dietary amino acid and crude protein levels in broiler feeds on biological performance. J. Appl. Poult. Res. 2009, 18, 477–486. [Google Scholar] [CrossRef]
- Wu, Y.B.; Ravindran, V.; Thomas, D.G.; Birtles, M.J.; Hendriks, W.H. Influence of method of whole wheat inclusion and xylanase supplementation on the performance, apparent metabolisable energy, digestive tract measurements and gut morphology of broilers. Br. Poult. Sci. 2004, 45, 385–394. [Google Scholar] [CrossRef]
- He, W.; Li, P.; Wu, G. Amino acid nutrition and metabolism in chickens. Adv. Exp. Med. Biol. 2021, 1285, 109–131. [Google Scholar] [CrossRef]
- Arkhipov, A.V. Ways to improve the efficiency of feed use. Pticevod. [Poult. Farm.] 1989, 3, 14–17. (In Russian) [Google Scholar]
- Myer, R.O.; Brendemuhl, J.H.; Barnett, R.D. Crystalline lysine and threonine supplementation of soft red winter wheat or triticale, low-protein diets for growing-finishing swine. J. Anim. Sci. 1996, 74, 577–583. [Google Scholar] [CrossRef] [PubMed]
- Lagodyuk, P.; Slabitskyi, Y.; Ratych, I.; Kyryliv, Y. Synthetic Amino Acids and Sulfur—Stimulators of Animal and Poultry Productivity: Methodical Recommendations; n.p.: Lviv, Ukraine, 1987. (In Ukrainian) [Google Scholar]
- Popkov, N.A.; Fisinin, V.I.; Egorov, I.A.; Ponomarenko, Y.A.; Sharshunov, V.A.; Ponomarenko, V.S. Feed and Biologically Active Substances; Беларуская навука: Minsk, Belarus, 2005; Available online: https://elibrary.ru/item.asp?id=23202572 (accessed on 18 April 2025). (In Russian)
- Alagawany, M.; El-Hindawy, M.M.; Ali, A.A.; Soliman, M.M. Protein and total sulfur amino acids relationship effect on performance and some blood parameters of laying hens. Egypt. J. Nutr. Feed. 2011, 14, 477–487. Available online: https://www.researchgate.net/publication/258763293 (accessed on 18 April 2025).
- Yegorov, I.A.; Imangulov, S.A. Improving normalyzed nutrition system of poultry of high-productive crosses under modern conditions. Dokl. Ross. Akad. S.-kh. Nauk [Dokl. Russ. Acad. Agric. Sci.] 2005, 5, 36–38. Available online: https://www.elibrary.ru/item.asp?id=18215028 (accessed on 18 April 2025). (In Russian).
- Podobed, L.I. Comparative effectiveness of lysine feed preparations in mixed feed for farm animals and poultry. Efektyvne tvarynnytstvo [Eff. Anim. Husb.] 2006, 7, 22–27. Available online: https://lib.dsau.dp.ua/book/37046?lang=en (accessed on 18 April 2025). (In Russian).
- Manni, K.; Lötjönen, T.; Huuskonen, A. Comparing spring triticale varieties to barley and wheat varieties when harvested as whole crop. Agric. Food Sci. 2021, 30, 24–35. [Google Scholar] [CrossRef]
- Surai, P.F.; Fisinin, V.I. Antioxidant Systems of the Body: From Vitamin E to Polyphenols and Beyond. In Proceedings of the 35th Western Nutrition Conference, Edmonton, AB, Canada, 24–25 September 2014; pp. 265–277. Available online: https://www.cabidigitallibrary.org/doi/pdf/10.5555/20163076348 (accessed on 18 April 2025).
- Waldman, A.R.; Surai, P.F.; Ionov, I.A.; Sakhatsky, N.I. Vitamins in Animal Nutrition (Metabolism and Requirements); RIP Original: Kharkov, Ukraine, 1993. (In Russian) [Google Scholar]
- Surai, P.F.; Kochish, I.I.; Romanov, M.N.; Griffin, D.K. Nutritional modulation of the antioxidant capacities in poultry: The case of vitamin E. Poult. Sci. 2019, 98, 4030–4041. [Google Scholar] [CrossRef]
- Surai, P.F.; Fisinin, V.I.; Grozina, A.A.; Kochish, I.I.; Nikonov, I.N.; Romanov, M.N. From Regulation of Vitagens to Optimization of Microbiota: New Approaches to Maintaining Intestinal Health in Poultry. In World and Russian Trends in Development of Poultry Industry: Realities and Challenges of Future. In Proceedings of the 19th International Conference, Sergiyev Posad, Russia, 15–17 May 2018; Fisinin, V.I., Ed.; World’s Poultry Science Association, Russian Branch. All-Russian Research and Technological Poultry Institute: Sergiyev Posad, Russia, 2018; pp. 80–81. Available online: https://elibrary.ru/item.asp?id=32796640 (accessed on 18 April 2025). (In Russian).
- Surai, P.F.; Kochish, I.I.; Fisinin, V.I.; Nikonov, I.N.; Romanov, M.N. Polyphenolic Compounds in Poultry Nutrition: Microbiota, Redox Balance and Vitagenes in the Gut. In Materials of the 2nd International Scientific and Practical Conference on Molecular Genetic Technologies for Analysis of Gene Expression Related to Animal Productivity and Disease Resistance; Sel’skokhozyaistvennye tekhnologii: Moscow, Russia, 2020; pp. 100–114. (In Russian with English summary). [Google Scholar] [CrossRef]
- Ionov, I.A.; Katerinich, O.O.; Kuchmistov, V.O.; Anisimova, O.V.; Griffin, D.K.; Romanov, M.N.; Zhukova, I.O. Vitamin E and A availability in goose embryos and goslings and improvement of reproduction traits depending on the starting temperature regime of egg incubation. Poultry 2023, 2, 305–319. [Google Scholar] [CrossRef]
- Surai, P.F.; Ionov, I.A.; Bondarenko, Y.V. The content of carotenoids and vitamin A in the yolk of poultry eggs. Naučno-teh. Bûll. Inst. Pticevod. [Poult. Res. Inst. Ukr. Acad. Agrar. Sci. Kharkiv Ukr.] 1992, 33, 28–33. (In Russian) [Google Scholar]
- Khvostik, V.P.; Bondarenko, Y.V. Yakisni pokaznyky yayets’ m’yaso-yayechnykh kurey riznoho henezysu [Qualitative indicators of eggs of meat and egg chickens of different genesis]. Vìsn. Sumsʹkogo Nac. Agrar. Unìv. Ser. Tvarynnytstvo [Bull. Sumy Natl. Agrar. Univ. Ser. Livest.] 2020, 4, 82–87. Available online: https://snaubulletin.com.ua/index.php/ls/article/download/262/227 (accessed on 18 April 2025). (In Ukrainian).
- Singh, P.K. Significance of phytic acid and supplemental phytase in chicken nutrition: A review. Worlds Poult. Sci. J. 2008, 64, 553–580. [Google Scholar] [CrossRef]
- Prajapati, M.; Shah, H. Impacts and industrial applications of phytic acid and phytase. J. Pure Appl. Microbiol. 2022, 16, 2292–2302. [Google Scholar] [CrossRef]
- Bresler, V.M. Biological basis for the formation of nutrition type. In Production and Use of Feed Microbial Protein; n.p.: Moscow, Russia, 1989; pp. 63–72. (In Russian) [Google Scholar]
- Choct, M.; Annison, G. The inhibition of nutrient digestion by wheat pentosans. Br. J. Nutr. 1992, 67, 123–132. [Google Scholar] [CrossRef]
- Annison, G. Determination of the AME of wheat using gnotobiotic chickens. In Recent Advances in Animal Nutrition in Australia; University of New England: Armidale, Australia, 1989; p. 2A. Available online: https://www.cabidigitallibrary.org/doi/full/10.5555/19891422072 (accessed on 18 April 2025).
- Mathlouthi, N.; Lalles, J.P.; Lepercq, P.; Juste, C.; Larbier, M. Xylanase and β-glucanase supplementation improve conjugated bile acid fraction in intestinal contents and increase villus size of small intestine wall in broiler chickens fed a rye-based diet. J. Anim. Sc. 2002, 80, 2773–2779. [Google Scholar] [CrossRef]
- Kozmina, N.P. Biochemistry of Grain and Products of Its Processing; Kolos: Moscow, Russia, 1976; Available online: https://www.studmed.ru/kozmina-n-p-biohimiya-zerna-i-produktov-ego-pererabotki_3e96aa3e455.html (accessed on 18 April 2025). (In Russian)
- Fincher, G.B.; Stone, B.A. Cell walls and their components in cereal grain technology. Adv. Cereal Sci. Technol. 1986, 8, 207–295. Available online: https://pascal-francis.inist.fr/vibad/index.php?action=getRecordDetail&idt=7415418 (accessed on 18 April 2025).
- Annison, G. Polysaccharide composition of Australian wheats and the digestibility of their starches in broiler chicken diets. Aust. J. Exp. Agric. 1990, 30, 183–186. [Google Scholar] [CrossRef]
- Knudsen, K.E. Fiber and nonstarch polysaccharide content and variation in common crops used in broiler diets. Poult. Sci. 2014, 93, 2380–2393. [Google Scholar] [CrossRef]
- Antoniou, T.; Marquardt, R.R. Influence of rye pentosans on the growth of chicks. Poult. Sci. 1981, 60, 1898–1904. [Google Scholar] [CrossRef]
- Okolelova, T.M.; Kulakov, A.V.; Moloskin, S.A.; Grachev, D.M. Current Problems in the Use of Biologically Active Substances and the Production of Premixes; n.p.: Sergiev Posad, Russia, 2002; Available online: https://elibrary.ru/item.asp?id=22397504 (accessed on 18 April 2025). (In Russian)
- Aftab, U.; Bedford, M.R. The use of NSP enzymes in poultry nutrition: Myths and realities. Worlds Poult. Sci. J. 2018, 74, 277–286. [Google Scholar] [CrossRef]
- Iji, P.A. The impact of cereal non starch polysaccharides on intestinal development and function in broiler chickens. Worlds Poult. Sci. J. 1999, 55, 375–387. [Google Scholar] [CrossRef]
- Suchecka, D.; Gromadzka-Ostrowska, J.; Żyła, E.; Harasym, J.; Oczkowski, M. Selected physiological activities and health promoting properties of cereal beta-glucans. A review. J. Anim. Feed Sci. 2017, 26, 183–191. [Google Scholar] [CrossRef]
- Novak, M.; Vetvicka, V. β-glucans, history, and the present: Immunomodulatory aspects and mechanisms of action. J. Immunotoxicol. 2008, 5, 47–57. [Google Scholar] [CrossRef]
- Choct, M. Enzymes for the feed industry: Past, present and future. Worlds Poult. Sci. J. 2006, 62, 5–16. [Google Scholar] [CrossRef]
- Masenya, T.I.; Mlambo, V.; Mnisi, C.M. Complete replacement of maize grain with sorghum and pearl millet grains in Jumbo quail diets: Feed intake, physiological parameters, and meat quality traits. PLoS ONE 2021, 16, e0249371. [Google Scholar] [CrossRef]
- Okolelova, T.M.; Kulakov, A.V.; Moloskin, S.A.; Grachev, D.M. Antinutrient feed factors and enzymes. Efektyvni Kormy ta Hodivlya [Eff. Feeds Feeding] 2005, 3, 33–41. (In Russian) [Google Scholar]
- Zannini, E.; Bravo Núñez, Á.; Sahin, A.W.; Arendt, E.K. Arabinoxylans as functional food ingredients: A review. Foods 2022, 11, 1026. [Google Scholar] [CrossRef]
- Ragaee, S.M.; Campbell, G.L.; Scoles, G.J.; McLeod, J.G.; Tyler, R.T. Studies on rye (Secale cereale L.) lines exhibiting a range of extract viscosities. 1. Composition, molecular weight distribution of water extracts, and biochemical characteristics of purified water-extractable arabinoxylan. J. Agric. Food Chem. 2001, 49, 2437–2445. [Google Scholar] [CrossRef]
- Ross, A.B.; Shepherd, M.J.; Knudsen, K.E.B.; Glitsø, L.V.; Bowey, E.; Phillips, J.; Rowland, I.; Guo, Z.X.; Massy, D.J.R.; Åman, P.; et al. Absorption of dietary alkylresorcinols in ileal-cannulated pigs and rats. Br. J. Nutr. 2003, 90, 787–794. [Google Scholar] [CrossRef]
- Annison, G. Relationship between the levels of non-starch polysaccharides and the apparent metabolisable energy of wheat assayed in broiler chickens. J. Agric. Food Chem. 1991, 39, 1252–1256. [Google Scholar] [CrossRef]
- Zabolotneva, A.A.; Shatova, O.P.; Sadova, A.A.; Shestopalov, A.V.; Roumiantsev, S.A. An overview of alkylresorcinols biological properties and effects. J. Nutr. Metab. 2022, 2022, 4667607. [Google Scholar] [CrossRef]
- Tian, S.; Sun, Y.; Chen, Z.; Zhao, R. Bioavailability and bioactivity of alkylresorcinols from different cereal products. J. Food Qual. 2020, 2020, 5781356. [Google Scholar] [CrossRef]
- Wilson, B.J.; McNab, J.M. The nutritive value of triticale and rye in broiler diets containing field beans (Vicia faba L.). Br. Poult. Sci. 1975, 16, 17–22. [Google Scholar] [CrossRef]
- Landfried, K.E. Die Eignung von Triticale als Futter für Geflügel [The suitability of Triticale as feed for poultry]. Osterr. Geflugelwirtsch. [Austrian Poult. Farm.] 1989, 28, 310–314. (In German) [Google Scholar]
- Tletzeruk, I.; Chikov, A. The use of triticale in diets of chickens. Pticevod. [Poult. Farm.] 2009, 4, 14–17. Available online: https://elibrary.ru/item.asp?id=16897376 (accessed on 18 April 2025). (In Russian with English summary).
- Nuriev, G.G.; Borovik, E.S. Results of studies on replacing wheat with triticale grain in the diet of broiler chickens. Vestn. Brânskoj GSHA [Vestn. Bryansk State Agric. Acad.] 2012, 6, 20–24. Available online: https://www.bgsha.com/download/education/library/vestnik/vestnik-6-2012.pdf (accessed on 18 April 2025). (In Russian).
- Jaroni, D.; Scheideler, S.E.; Beck, M.; Wyatt, C. The effect of dietary wheat middlings and enzyme supplementation. 1. Late egg production efficiency, egg yields, and egg composition in two strains of Leghorn hens. Poult. Sci. 1999, 78, 841–847. [Google Scholar] [CrossRef]
- Jadhao, S.B.; Chandramoni; Tiwari, C.M.; Khan, M.Y. Efficiency of utilization of energy from maize- and broken rice-based diets in old White Leghorn and Rhode Island Red laying hens. Br. Poult. Sci. 1999, 40, 275–283. [Google Scholar] [CrossRef]
- Moiseeva, I.G. Cholesterol in hen’s eggs. Pticevod. [Poult. Farm.] 1964, 7, 29. Available online: https://www.cabidigitallibrary.org/doi/full/10.5555/19651400243 (accessed on 18 April 2025). (In Russian).
- Moiseeva, I.G. Soderzhanie lipidov i kholesterina v iatsakh kur russkoĭ beloĭ porody v sviazi s produktivnost’iu [The lipid and cholesterin contents of hen’s eggs of the Russian white breed in relation to productiveness]. Tr. Akad. Nauk SSSR Inst. Genet. 1965, 33, 119–128. Available online: https://www.cabidigitallibrary.org/doi/full/10.5555/19660103382 (accessed on 18 April 2025). (In Russian).
- Moiseeva, I.G. Content of lipids and cholesterol in eggs of Russian White chickens. Collect. Work. Young Sci. All-Union Res. Tech. Poult. Inst. 1966, 8, 225–235. (In Russian) [Google Scholar]
- Nadeem, M.; Anjum, F.M.; Amir, R.M.; Khan, M.R.; Hussain, S.; Javed, M.S. An overview of anti-nutritional factors in cereal grains with special reference to wheat—A review. Pak. J. Food Sci. 2010, 20, 54–61. Available online: https://www.researchgate.net/publication/233816063 (accessed on 18 April 2025).
- Egorov, I.; Egorova, A. The role of enzyme preparations in increasing the efficiency of compound feeds containing difficult-to-hydrolyze components. Ptitsefabrika [Poult. Farm] 2008, 12, 16–36. Available online: https://www.elibrary.ru/item.asp?id=26305913 (accessed on 18 April 2025). (In Russian).
- Coppedge, J.R.; Oden, L.A.; Ratliff, B.; Brown, B.; Ruch, F.; Lee, J.T. Evaluation of nonstarch polysaccharide-degrading enzymes in broiler diets varying in nutrient and energy levels as measured by broiler performance and processing parameters. J. Appl. Poult. Res. 2012, 21, 226–234. [Google Scholar] [CrossRef]
- Ma, J.; Dai, H.; Liu, H.; Du, W. Effects of cutting stages and additives on the fermentation quality of triticale, rye and oat silage in Qinghai-Tibet Plateau. Agronomy 2022, 12, 3113. [Google Scholar] [CrossRef]
- Bedford, M.R.; Morgan, A.J. The use of enzymes in poultry diets. Worlds Poult. Sci. J. 1996, 52, 61–68. [Google Scholar] [CrossRef]
- Okolelova, T.M.; Fisinin, V.I.; Dogadaev, D.A. Enzymes in Poultry Feeding: Guidelines; VNITIP: Sergiev Posad, Russia, 2005. (In Russian) [Google Scholar]
- Brenes, A.; Centeno, C.; Viveros, A.; Arija, I. Effect of enzyme addition on the nutritive value of high oleic acid sunflower seeds in chicken diets. Poult. Sci. 2008, 87, 2300–2310. [Google Scholar] [CrossRef]
- Svezhentsov, A.I.; Gorlach, S.A.; Martynyak, S.V. Compound Feeds, Premixes, BMVD for Animals and Poultry; Art Press: Dnepropetrovsk, Ukraine, 2008. (In Russian) [Google Scholar]
- Bouyeh, M.; Gevorgian, O.X. Influence of different levels of lysine, methionine and protein on the performance of laying hens after peak. J. Anim. Vet. Adv. 2011, 10, 532–537. [Google Scholar] [CrossRef]
- Datsyuk, I.; Bondarenko, V. Slaughter indicators of young pigs when feeding BVMD “Activities” and premix “Intremix”. Sci. Eur. 2021, 3, 10–23. [Google Scholar] [CrossRef]
- Kislukhina, O.V. Enzymes in Food and Feed Production; DeLi Print: Moscow, Russia, 2002; Available online: https://www.livelib.ru/book/1000022283-fermenty-v-proizvodstve-pischi-i-kormov-o-v-kisluhina (accessed on 18 April 2025). (In Russian)
- Zarghi, H.; Golian, A. Effect of triticale replacement and enzyme supplementation on performance and blood chemistry of broiler chickens. J. Anim. Vet. Adv. 2009, 8, 1316–1321. Available online: https://www.researchgate.net/publication/202542972 (accessed on 18 April 2025).
- Okolelova, T.M.; Kulakov, A.V.; Moloskin, S.A. Vitamin and Mineral Nutrition of Poultry; n.p.: Moscow, Russia, 2000; Available online: https://elibrary.ru/item.asp?id=22397498 (accessed on 18 April 2025). (In Russian)
- Scholtyssek, S.; Knorr, R. The effect of a cellulolytic enzyme mixture in the broiler feed with triticale and rye. Arch. Geflugelk. 1987, 51, 10–15. Available online: https://agris.fao.org/search/en/providers/122438/records/64775177a3fd11e430392767 (accessed on 18 April 2025).
- Kononenko, S.I. Efficiency of using enzymatic preparations in concentrates for swine. Probl. Biol. Produkt. Zivotn. [Probl. Prod. Anim. Biol.] 2009, 1, 86–91, (In Russian with English summary). [Google Scholar]
- Agrawal, P.K. Changes in amylase, starch and reducing sugars during grain development in triticale and their relation to grain shrivelling. Cereal Res. Commun. 1977, 5, 225–233. Available online: https://www.jstor.org/stable/23778562 (accessed on 18 April 2025).
- Fontes, C.M.G.A.; Ponte, P.I.P.; Reis, T.C.; Soares, M.C.; Gama, L.T.; Dias, F.M.V.; Ferreira, L.M.A. A family 6 carbohydrate-binding module potentiates the efficiency of a recombinant xylanase used to supplement cereal-based diets for poultry. Br. Poult. Sci. 2004, 45, 648–656. [Google Scholar] [CrossRef]
- Gao, F.; Jiang, Y.; Zhou, G.H.; Han, Z.K. The effects of xylanase supplementation on growth, digestion, circulating hormone and metabolite levels, immunity and gut microflora in cockerels fed on wheat-based diets. Br. Poult. Sci. 2007, 48, 480–488. [Google Scholar] [CrossRef] [PubMed]
- Kalmendal, R.; Tauson, R. Effects of a xylanase and protease, individually or in combination, and an ionophore coccidiostat on performance, nutrient utilization, and intestinal morphology in broiler chickens fed a wheat-soybean meal-based diet. Poult. Sci. 2012, 91, 1387–1393. [Google Scholar] [CrossRef] [PubMed]
- Gracheva, I.M.; Krivova, A.Y. Technology of Enzyme Preparations, 3rd ed.; Elevar: Moscow, Russia, 2000; Available online: https://www.elibrary.ru/item.asp?id=28410320 (accessed on 18 April 2025). (In Russian)
- Tumene, M. Who needs enzymes and why. Zivotnovod. Rossii [Anim. Husb. Russ.] 2004, 8, 36–37. (In Russian) [Google Scholar]
- Kononenko, S.I.; Paksyutov, N.S. Enzyme preparation Ronozyme WX in compound feed with triticale for young pigs. Tr. Kubanskogo Gos. Agrar. Un-ta [Works Kuban State Agrar. Univ.] 2009, 1, 169–171. Available online: https://www.elibrary.ru/item.asp?id=12861304 (accessed on 18 April 2025). (In Russian with English summary).
- Perttilä, S.; Valaja, J.; Partanen, K.; Jalava, T.; Kiiskinen, T.; Palander, S. Effects of preservation method and β-glucanase supplementation on ileal amino acid digestibility and feeding value of barley for poultry. Br. Poult. Sci. 2001, 42, 218–229. [Google Scholar] [CrossRef]
- Wang, Z.R.; Qiao, S.Y.; Lu, W.Q.; Li, D.F. Effects of enzyme supplementation on performance, nutrient digestibility, gastrointestinal morphology, and volatile fatty acid profiles in the hindgut of broilers fed wheat-based diets. Poult. Sci. 2005, 84, 875–881. [Google Scholar] [CrossRef]
- Korolev, A.; Sobolev, M. Preparations of the Fermentol group. Pticevod. [Poult. Farm.] 2007, 12, 36. Available online: https://www.elibrary.ru/item.asp?id=9916037 (accessed on 18 April 2025). (In Russian).
- Kuznetsova, T. Enzymes and acidifiers in rye-based feeds. Pticevod. [Poult. Farm.] 2007, 7, 15. (In Russian) [Google Scholar]
- Lazareva, N. Enzyme Wheat ZV 200 in broiler diets. Pticevod. [Poult. Farm.] 2007, 5, 41–42. (In Russian) [Google Scholar]
- Olukosi, O.A.; Cowieson, A.J.; Adeola, O. Influence of enzyme supplementation of maize–soyabean meal diets on carcase composition, whole-body nutrient accretion and total tract nutrient retention of broilers. Br. Poult. Sci. 2008, 49, 436–445. [Google Scholar] [CrossRef]
- García, M.; Lázaro, R.; Latorre, M.A.; Gracia, M.I.; Mateos, G.G. Influence of enzyme supplementation and heat processing of barley on digestive traits and productive performance of broilers. Poult. Sci. 2008, 87, 940–948. [Google Scholar] [CrossRef]
- Lakomyy, A.A. The influence of biologically active additives on the productivity of broiler chickens. Obrazovanie, nauka i proizvodstvo [Educ. Sci. Prod.] 2016, 1, 20–22. Available online: https://elibrary.ru/item.asp?id=25917747 (accessed on 18 April 2025). (In Russian).
- Kryukov, V.; Bevzyuk, V. Sunflower meal and feed enzymes. Pticevod. [Poult. Farm.] 1997, 4, 19–20. (In Russian) [Google Scholar]
- Partridge, G. Feed enzyme technology aims to reduce feed costs. Food Int. 2008, 4, 36–38. Available online: https://www.cabidigitallibrary.org/doi/full/10.5555/20083114283 (accessed on 18 April 2025).
- Kurkiev, U.K.; Kurkiev, K.U. Triticale Resistance to Yellow Rust. In Scientific Support for the Production of Triticale Grain and Its Processing Products; Abstracts of Reports of the Scientific Practical Conference, Kharkiv, Ukraine, 6–8 July 2005; V.Ya. Yuriev Institute of Plant Production: Kharkiv, Ukraine, 2005; pp. 3–15. (In Ukrainian) [Google Scholar]
- Guerreiro, C.I.P.D.; Ribeiro, T.; Ponte, P.I.P.; Lordelo, M.M.S.; Falcao, L.; Freire, J.P.B.; Ferreira, L.M.A.; Prates, J.A.M.; Fontes, C.M.G.A. Role of a family 11 carbohydrate-binding module in the function of a recombinant cellulase used to supplement a barley-based diet for broiler chickens. Br. Poult. Sci. 2008, 49, 446–454. [Google Scholar] [CrossRef]
- Romero, L. Effect of feed enzymes on poultry intestinal health. Tsenovik [Pricer] 2015, 4, 78–83. Available online: https://web.archive.org/web/20230224050139/https://issuu.com/annapimenova/docs/cenovik_04_2015_web_d47d6cec1fe80f (accessed on 18 April 2025). (In Russian).
- Rotter, B.A.; Marquardt, R.R.; Guenter, W.; Biliaderis, C.; Newman, C.W. In vitro viscosity measurements of barley extracts as predictors of growth responses in chicks fed barley-based diets supplemented with a fungal enzyme preparation. Can. J. Anim. Sci. 1989, 69, 431–439. [Google Scholar] [CrossRef]
- Parsaie, S.; Shariatmadari, F.; Zamiri, M.J.; Khajeh, K. Influence of wheat-based diets supplemented with xylanase, bile acid and antibiotics on performance, digestive tract measurements and gut morphology of broilers compared with a maize-based diet. Br. Poult. Sci. 2007, 48, 594–600. [Google Scholar] [CrossRef]
- Rutherfurd, S.M.; Chung, T.K.; Moughan, P.J. The effect of a commercial enzyme preparation on apparent metabolizable energy, the true ileal amino acid digestibility, and endogenous ileal lysine losses in broiler chickens. Poult. Sci. 2007, 86, 665–672. [Google Scholar] [CrossRef]
- Pan, L.; Huang, K.H.; Middlebrook, T.; Zhang, D.; Bryden, W.L.; Li, X. Rumen degradability of barley, oats, sorghum, triticale, and wheat in situ and the effect of pelleting. Agriculture 2021, 11, 647. [Google Scholar] [CrossRef]
- Preston, C.M.; McCracken, K.J.; McAllister, A. Effect of diet form and enzyme supplementation on growth, efficiency and energy utilisation of wheat-based diets for broilers. Br. Poult. Sci. 2000, 41, 324–331. [Google Scholar] [CrossRef]
- Venäläinen, E.; Valkonen, E.; Jalava, T.; Valaja, J. Effect of Crimped Barley on the Performance of Broiler Chickens. In Proceedings of the 16th European Symposium on Poultry Nutrition, Strasbourg, France, 26–30 August 2007; European Federation of WPSA Branches, Working Group No. 2 Nutrition: Strasbourg, France, 2007; pp. 79–82. Available online: https://wpsa.fr/images/publications/espn_2007_proceedings.pdf (accessed on 18 April 2025).
- Karabulya, B.V. Extrusion Technology Is a Promising Way to Create New Food Products; MoldNIINTI: Chisinau, Moldova, 1989. (In Russian) [Google Scholar]
- Hrytsenko, R.B.; Prytulenko, O.V.; Tereshchenko, O.V.; Gaviley, O.V. Economic efficiency of using triticale extrudates in feeding poultry breeders. Ptahìvnictvo [Poult. Farm.] 2009, 63, 54–61. Available online: https://www.researchgate.net/publication/342883188 (accessed on 18 April 2025). (In Ukrainian).
- Dryga, N.M.; Zverev, F.I.; Chumakov, N.Y. Extrusion is an effective way to process plant feed. Nauk.-Teh. Bûl.—Livest. Farm. Inst. For.-Steppe Poles. Ukr. SSR 1979, 26, 41–45. (In Russian) [Google Scholar]
- Trunova, L.; Boyko, L.; Zotkin, V. Production of full-fat soybeans using modern extruders. Kombikorma [Compound Feeds] 2003, 8, 31–32. (In Russian) [Google Scholar]
- Sharan, A.V.; Shapovelenko, O.I. Research on the technology of extruding sprouted wheat grains. Hran. i Pererab. Zerna [Grain Storage Process.] 2004, 9, 40–41. Available online: https://dspace.nuft.edu.ua/items/5d1f0b4d-c0d4-4b10-95a4-33eb5de6cd29 (accessed on 18 April 2025). (In Ukrainian).
- Toporova, L.V.; Troshkin, A.N.; Todorova, I.V. Rational ways to increase the nutritional value of full-fat soybeans and prospects for use in animal feeding. Efektyvni Kormy ta Hodivlya [Eff. Feeds Feeding] 2006, 6, 22–25. Available online: https://lib.dsau.dp.ua/book/37019 (accessed on 18 April 2025). (In Russian).
- Zhushman, A.I.; Koptelova, E.K.; Karpov, V.G. Modern Advances in Technology of Extruded Starch Products; AgroNIITEIPP: Moscow, Russia, 1989. (In Russian) [Google Scholar]
- Kovbasa, V.M.; Myronova, N.G.; Shapoval, S.V. Changes in the carbohydrate complex of cereals during extrusion. Vìsn. agrar. nauki [Bull. Agric. Sci.] 1997, 3, 55–57. (In Ukrainian) [Google Scholar]
- Makowska, A.; Baranowska, H.M.; Michniewicz, J.; Chudy, S.; Kowalczewski, P.Ł. Triticale extrudates—Changes of macrostructure, mechanical properties and molecular water dynamics during hydration. J. Cereal Sci. 2017, 74, 250–255. [Google Scholar] [CrossRef]
- Gulati, P.; Brahma, S.; Rose, D.J. Chapter 13–Impacts of extrusion processing on nutritional components in cereals and legumes: Carbohydrates, proteins, lipids, vitamins, and minerals. In Extrusion Cooking, 2nd ed.; Ganjyal, G.M., Ed.; Elsevier Inc.: Amsterdam, The Netherlands; Woodhead Publ., Cereals & Grains Association: Duxford, UK, 2020; pp. 415–443. [Google Scholar] [CrossRef]
- Kokin, V.K.; Orlov, A.I.; Vorobyova, A.S. The influence of extrusion of components on the quality of compound feeds. In Production, Storage and Use of Compound Feeds, Proceedings of the All-Union Research Institute of Feed Industry; All-Union Research Institute of Feed Industry: Moscow, Russia, 1979; pp. 74–76. [Google Scholar]
- Ushkalova, V.N. Food Lipid Stability; Kolos: Moscow, Russia, 1973; Available online: https://books.google.com/books?id=HEKLAAAACAAJ (accessed on 18 April 2025). (In Russian)
- Bogdanov, G.A.; Zverev, A.I.; Prokopenko, L.S.; Privalo, O.E. Handbook of Feed and Feed Additives; Bogdanov, G.A., Ed.; Urozhay: Kiev, Ukraine, 1984. (In Russian) [Google Scholar]
- Escalante-Aburto, A.; Figueroa-Cárdenas, J.d.D.; Dominguez-Lopez, A.; García-Lara, S.; Ponce-García, N. Multivariate analysis on the properties of intact cereal kernels and their association with viscoelasticity at different moisture contents. Foods 2023, 12, 808. [Google Scholar] [CrossRef]
- Dziki, D.; Hassoon, W.H.; Kramek, A.; Krajewska, A. Grinding characteristics of new varieties of winter triticale grain. Processes 2023, 11, 1477. [Google Scholar] [CrossRef]
- Diependaete, J. Aliment flocon: Digestion facile, lactation tranguelle [Cereal food: Easy digestion, easy lactation]. Agrusert 1985, 1051, 27. (In French) [Google Scholar]
- Shahzad, R.; Jamil, S.; Ahmad, S.; Nisar, A.; Khan, S.; Amina, Z.; Kanwal, S.; Aslam, H.M.U.; Gill, R.A.; Zhou, W. Biofortification of cereals and pulses using new breeding techniques: Current and future perspectives. Front. Nutr. 2021, 8, 721728. [Google Scholar] [CrossRef] [PubMed]
- Monisha, M.; Swetha, L.; Shai Prasanna, G.S. Enhancing nutritional quality through genomic tools. In Advances in Genomics for Crop Improvement; Thange, V.B., Vishwakarma, S.K., Shamkuwar, S.G., Vishwakarma, S.K., Shekhawat, P.K., Eds.; Golden Leaf Publishers: Lucknow, Uttar Pradesh, India, 2025; pp. 313–344. [Google Scholar]
- Dellino, M.; de Giovanni, C.; Miazzi, M.M.; Montemurro, C.; Nigro, D. Genome editing technologies to improve health-related phytocompounds in crops. Food Front. 2025. [Google Scholar] [CrossRef]
- Ijaz, S.; Iqbal, J.; Abbasi, B.A.; Ullah, Z.; Yaseen, T.; Murtaza, G.; Iqbal, R.; Hyder, S.; Harsonowati, W.; Kanwal, S.; et al. Biofortification of cereals and pulses using new breeding techniques. In Crop Biofortification: Biotechnological Approaches for Achieving Nutritional Security Under Changing Climate; Shah, A.N., Faiz, S., Aslam, M., Iqbal, J., Qayyum, A., Eds.; John Wiley & Sons Ltd.: Hoboken, NJ, USA, 2025; pp. 33–50. [Google Scholar] [CrossRef]
- Ahmar, S.; Hensel, G.; Gruszka, D. CRISPR/Cas9-mediated genome editing techniques and new breeding strategies in cereals—Current status, improvements, and perspectives. Biotechnol. Adv. 2023, 69, 108248. [Google Scholar] [CrossRef]
- Basu, U.; Riaz Ahmed, S.; Bhat, B.A.; Anwar, Z.; Ali, A.; Ijaz, A.; Gulzar, A.; Bibi, A.; Tyagi, A.; Nebapure, S.M.; et al. A CRISPR way for accelerating cereal crop improvement: Progress and challenges. Front. Genet. 2023, 13, 866976. [Google Scholar] [CrossRef]
- Bratyshko, N.I.; Gaviley, O.V.; Prytulenko, O.V.; Tereshchenko, O.V.; Polyakova, L.L.; Hrytsenko, R.B. A method of increasing the efficiency of using triticale in feeding laying hens. Ptahìvnictvo [Poult. Farm.] 2009, 63, 101–109. Available online: https://www.researchgate.net/publication/342782229 (accessed on 18 April 2025).
- Bratyshko, N.I.; Prytulenko, O.V.; Tereshchenko, O.V.; Gaviley, O.V.; Hrytsenko, R.B. The Economic Efficiency of Using Triticale Extrudates in Breeding Poultry. In Proceedings of the V International Conference “Poultry Industry-2009”, Sudak, Ukraine, 21–24 September 2009; pp. 36–40. Available online: https://www.researchgate.net/publication/342781962 (accessed on 18 April 2025). (In Ukrainian).
Disclaimer/Publisher’s Note: The statements, opinions and data contained in all publications are solely those of the individual author(s) and contributor(s) and not of MDPI and/or the editor(s). MDPI and/or the editor(s) disclaim responsibility for any injury to people or property resulting from any ideas, methods, instructions or products referred to in the content. |
© 2025 by the authors. Licensee MDPI, Basel, Switzerland. This article is an open access article distributed under the terms and conditions of the Creative Commons Attribution (CC BY) license (https://creativecommons.org/licenses/by/4.0/).

