Next Article in Journal
Molecular Filters in Medicinal Chemistry
Next Article in Special Issue
Saccharomyces cerevisiae: Multifaceted Applications in One Health and the Achievement of Sustainable Development Goals
Previous Article in Journal
Reference Electrodes
Previous Article in Special Issue
The Mysteries of the White Truffle: Its Biology, Ecology and Cultivation
 
 
Font Type:
Arial Georgia Verdana
Font Size:
Aa Aa Aa
Line Spacing:
Column Width:
Background:
Entry

Oleaginous Red Yeasts: Concomitant Producers of Triacylglycerides and Carotenoids

Department of Biosystems Engineering, University of Manitoba, Winnipeg, MB R3T 2N2, Canada
*
Author to whom correspondence should be addressed.
Encyclopedia 2023, 3(2), 490-500; https://doi.org/10.3390/encyclopedia3020034
Submission received: 28 February 2023 / Revised: 31 March 2023 / Accepted: 12 April 2023 / Published: 17 April 2023
(This article belongs to the Collection Encyclopedia of Fungi)

Definition

Oleaginous red yeast species are colourful (usually having orange-pink-red hues) single cell microorganisms capable of producing valuable bioproducts including triacylglycerides (TAGs) for biodiesel and carotenoids for nutraceuticals. The name “oleaginous yeasts” is conferred based on their ability to synthesize and accumulate TAGs to over 20% of their dry cell weight. Their colours are indicative of the presence of the major carotenoids present in them.

1. Introduction

A goal of global net zero carbon emissions has been set for the year 2050, and continued research into renewable energy, such as biodiesel obtained from transesterification of triacylglycerols (TAGs), is important to achieving this goal. Oleaginous microorganisms are a viable source of TAGs. In addition to the production of neutral lipids (triacylglycerides, TAGs), some oleaginous microorganisms are brightly coloured, possessing the ability to concomitantly produce useful carotenoids.
Oleaginous red yeasts are capable of synthesizing and accumulating TAGs in excess of 20% of their dry cell weight [1]. In addition to production of biodiesel from the TAGs synthesized by oleaginous red yeasts, they can be used in the production of cocoa butter equivalent material [2] and polyunsaturated fatty acids (PUFAs), which are useful for nutritional and medical purposes [3]. Oleaginous red yeasts are classified in the subphylum Pucciniomycotina, and have orange to red to pink colorations due to the presence of various carotenoids, which are synthesized by the cells to prevent oxidation of the TAGs, and are important bioproducts in the nutraceutical and food industries.
Some genera under this group include Sporobolomyces, Sporidiobolus, Rhodotorula and Xanthophyllomyces [4]. These yeasts have several advantages over other sources, including their ease of culturing, high growth rate, the fast rate at which they synthesize and accumulate lipids and the low cost of the media needed for their growth [5], as well as their potential to grow on a plethora of substrates [6,7] and thrive under varied culture conditions [8]. The multi-functional application of these yeasts compels investigations into their molecular biology and metabolic pathways. Here, we examine the fatty acid biosynthesis and carotenoid pathways, their synchronization and gaps with emphasis on multi-omic studies.

2. Generation of Acetyl-CoA for the Biosynthesis of Fatty Acids and Carotenoids

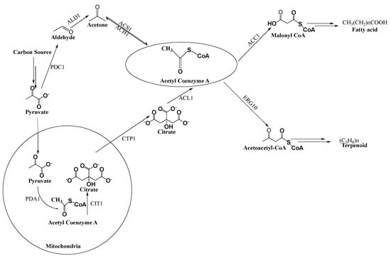
Both the fatty acid de novo biosynthesis pathway and carotenoid biosynthesis pathway in oleaginous red yeast share a common precussor: Acetyl-CoA [9]. Despite Acetyl-CoA being compartmentalized in the mitochondria, cytosol, peroxisome and nucleus [10], cytosolic and mitochondrial Acetyl-CoA are the most relevant to carotenoid and fatty acid biosynthesis [11]. This is because oleaginous yeasts possess a transport system that is capable of shuttling Acetyl-CoA from the mitochondria to the cytosol, where it is needed for fatty acid and carotenoid biosynthesis. This is achieved via the Citrate shuttle system [12], which is responsible for the transport of Citrate from the Tricarboxylic Acid (TCA) cycle to the cytosol, where the enzyme ATP-Citrate lyase (ACL1) converts it to Acetyl-CoA [13] (Figure 1). It is therefore imperative that the generation of cytosolic Acetyl-CoA in oleaginous yeast is upregulated to ensure a corresponding increased production of fatty acids and carotenoids.
Generation of Acetyl-CoA via carbohydrate metabolism and the impact of different carbon sources, including glucose, sucrose, fructose, xylose, glycerol, etc., on the growth and synthesis of TAGs and carotenoids by oleaginous yeasts has also been well studied [7,14,15,16], with the most preferred carbon source being glucose. These carbon sources employ different pathways which then integrate into the synthesis of Pyruvate via the Glycolysis pathway [16,17]. A number of enzymes are involved in the synthesis of Acetyl-CoA from Pyruvate (Figure 1), including Aldehyde dehydrogenase (ALD1), Pyruvate dehydrogenase (PDA), Pyruvate decarboxylase (PDC), Acetyl-CoA synthethase (ACS), and ATP-Citrate lyase (ACL1). Non-oleaginous yeast such as Saccharomyces cerevisiae are missing the ACL1 gene.
In addition to the carbohydrate metabolism pathways for synthesizing Acetyl-CoA, Vorapreeda et al. [18] outlined three additional metabollic routes for Acetyl-CoA synthesis: fatty acid β-oxidation, leucine metabolism, and lysine degradation. In their study of oleaginous and non oleaginous microbes, they identified orthologous sequences within the oleaginous strains (Yarrowia lipolytica, Rhizous oryzae, Aspergillus oryzae and Mucor circinelloides) that pointed to a relationship between lipid, amino acid, and carbohydrate metabolism in the synthesis of Acetyl-CoA.

2.1. Carotenoid Biosynthesis

Goodwin [19] reviewed carotenoid biosynthetic pathways in a number of different species and outlined three steps involved in the synthesis of carotenoids from Acetyl-CoA. The initial steps result in the formation of Isopentenyl pyrophosphate (IPP), which is the precursor for terpenoid synthesis [20]. This is followed by a series of biochemical reactions comprising the second step.
In the second step, Isopentenyl pyrophosphate isomerase (IPPI) converts IPP into its more reactive electrophilic isomer, Dimethylallyl pyrophosphate (DMAPP). Adding three IPP sequentially to DMAPP molecules yields Geranylgeranyl pyrophosphate (GGPP), a precursor to carotenoids. Two molecules of GGPP then undergo condensation to form Phytoene, the first C40 carotene in the pathway, which subsequently undergoes desaturation to produce Lycopene.
In the final step, Lycopene serves as a precursor for cyclic carotenoids and undergoes various metabolic reactions, including cyclization, to produce β-carotene, γ-carotene, Torulene, Torularhodin and Astaxanthin.
Rhodotorula glutinis can employ either Lycopene or Neurosporense as a precusor of cyclic carotenoids [21]. Frengova and Beshkova [22] outlined the pathways from γ-carotene to astaxanthin through Echinenone, 3-OH-echinenone and Phoenicoxanthin in Phaffia rhodozyma (also known as Xanthophyllomyces dendrorhous). An alternate pathway for astaxanthin synthesis is from Torulene through 4-keto-torulene, 3,3′-dihydroxy-β,φ-carotene-4-one (HCDO) and 3,3′-dihydroxy-β, γ-carotene-4,4′dione (DCD). While the most abundant carotenoids in many oleaginous red yeasts are β-carotene, γ-carotene, Torulene and Torularhodin, Astaxanthin is the most abundant carotenoid biosynthesized in Phaffia rhodozyma [23].
The amount of total carotenoids produced has been reported to be influenced by several factors including carbon/nitrogen ratio, aeration, pH, temperature, light, presence of metal ions and type of sugar [24,25,26,27,28]. Culture conditions and cell growth phase also impact the type of carotenoid synthesized by oleaginous red yeasts. Carotenoid synthesis has been linked to the exponential phase of growth in Rhodosporidium diobovatum [14], also known as Rhodotorula diobovata [29,30], while Schneider et al. [31] reported a link between carotenoid synthesis and the stationary phase of growth in Rhodotorula glutinis. Asthaxanthin concentrations have also been linked to the late-log to stationary phase in P. rhodozyma [32].
Under normal growth conditions, Hayman et al. [21] alluded to the increased activity of Neurosporene-cyclizing enzymes compared to Neurosporene-dehydrogenating enzymes, suggesting that growth conditions influenced the concentrations of β-carotene, Torulene, and Torularhodin. During the fermentation of Sporidiobolus pararoseus, concentrations of γ-carotene and β-carotene gradually declined as Torulene concentrations increased. Since γ-carotene is a precussor to both β-carotene and Torulene, the research revealed that Torulene flux was favoured as cell growth proceeded into the stationary phase and lipid concentrations were increased [33].
Torulene and Torulahordin have been reported to be powerful antioxidants that are more potent at quenching peroxyl-radicals than β-carotene [4]. To protect themselves from oxidative damage caused by increased lipid concentrations, Han et al. [33] concluded that the flux of γ-carotene in oleaginous red yeast cells transitioned towards Torulene, which is a more potent antioxidant. However, Ghilardi et al. [34] reported that Torulene and Torularhodin concentrations increased in Rhodotorula mucilaginosa while β-carotene concentrations remained constant under increasing stress conditions. Differences in genome organization of these oleaginous red yeasts may account for different carbon and electron flux under different growth conditions, favouring Torulene and Torularhodin production over β-carotene, or vice versa. More work is however required to ascertain this hypothesis.
Analysis of the R. mucilaginosa genome revealed that the carotenoid biosynthsis genes Phytoene synthase (crtB), Bifunctional lycopene cyclase/phytoene synthase (crtY), and Phytoene desaturase (crtI) are in close proximity on the same contig, while Geranylgeranyl pyrophosphate synthase (bts1) was located on a separate contig. The general carotenoid biosynthetic cluster of R. mucilaginosa is only 27% similar to that of R. toruloides CECT1137 [35]. The crtB and crtY genes coding for Phytoene synthase and Lycopene cyclase are fused together [36], and an overexpression of crtYB gene in Xanthophyllomyces dendrorhous resulted in increased synthesis of β-carotene [37]. β-carotene concentrations have also been increased in R. glutinis by the overexpression of the hmg1, crtI, crtE and crtYB genes [38] and exposure to light with sodium acetate as substrate [39]. Homologues of the Phytoene synthase gene products, CAR1 and CAR2, were identified in the R. toruloides genome. These genes showed increased transcription levels with exposure to light and consequently, increased carotenoid biosynthesis [40].

2.2. De Novo Fatty Acid Biosynthesis

Culture conditions including carbon/nitrogen ratio, carbon source, nitrogen source, temperature, pH, dissolved oxygen and aeration rate, and presence/absence of mineral elements and/or inhibitors influence fatty acid biosynthesis in oleaginous yeasts [8,14,41,42]. Accumulation of TAGs could either be on hydrophilic substrates (de novo synthesis) or hydrophobic substrates (ex novo synthesis) [43]. Here, we discuss the de novo biosynthesis of fatty acids for TAG accumulation in red oleaginous yeasts. The first step to accumulating TAGs in oleaginous yeasts is an exhaustion of nutrients in the culture within 24–48 h, while assimilation of carbon continues and is converted to TAGs via a number of biochemical steps. Despite nitrogen limitation been established as a trigger for de novo fatty acid biosynthesis [44], limitation of phosphorus, zinc and iron has also been found to enhance fatty acid synthesis [45].
After nitrogen is exhausted from the system, adenosine monophosphate (AMP) deaminase is activated. This is described as a short-term measure to alleviate the effect of the nitrogen limitation [12]. The AMP concentration rapidly declines thereafter due to the action of AMP deaminase. When AMP concentrations are low, Isocitrate dehydrogenase (IDH) activity in the mitochondria decreases, accumulating Isocitrate. As a result, Isocitrate equilibrates with Citrate, causing an increase in intracellular Citrate concentrations. The excess Citrate then exits the mitochondrion and undergoes ATP-Citrate lyase (ACL1) cleavage in the cytosol, yielding Acetyl-CoA and Oxaloacetate, respectively, which serves as the starting point for fatty acid synthesis (as shown in Figure 2). In addition, the Oxaloacetate is converted to Malate, which is subsequently transformed into Pyruvate by the Malic enzyme (ME1), thereby generating NADPH to reduce the acetyl group needed for fatty acid biosynthesis [46].
In biochemical terms, a microorganism’s “oleaginicity” is determined by specific vital enzymes: IDH, ACL1, ME1 and Fatty acid synthase (FAS) [46]. While all oleaginous microorganisms possessed the gene that encodes ACL1, its presence does not confirm oleaginicity in all microorganisms. Fakankun et al. [47] revealed that the number of genes encoding the ACL1 enzyme varied in different oleaginous microorganisms: Rhodotorula species contained one acl gene; oleaginous ascomycetes encode two acl genes, which encode a heterodimeric ACL with two (heterologous) subunits; there are six acl genes encoded in the Aspergillus oryzae genome, and seven acl genes in the Rhodococcus opacus genome [48]. A direct link between lipogenesis and the expression of acl genes should ideally result in an upregulation of ACL during the lipid accumulation phase, which is usually the stationary phase of growth, but this is not always the case. Gene expression analyses showed an upregulation of acl gene expression in the lipogenic phase in R. toruloides [49], but a downregulation in expression of the acl gene in Y. lipolytica [50]. Genome-scale modelling has linked ACL activity in lipogenic conditions with the C/N ratio and the carbon source utilized [42].
Malic enzyme had previously been identified as the major supplier of NADPH, which is important in the reduction of acetyl units used as the backbone of fatty acids. Its activity in certain oleaginous species (non-carotenoid producing), including Y. lipolytica, L. starkeyi, and some Candidda sp., however, remains unclear [46,51]. This concern has been extensively reviewed by Ratledge [52], who concluded that an alternative route for the generation of NADPH could be via the pentose phosphate pathway (PPP) (Figure 3) or cytosolic isocitrate dehydrogenase. These alternative pathways are at best speculative because Y. lipolytica, for example, possesses only mitochondrial NADP+ Isocitrate dehydrogenase, and NADPH from the PPP alone does not fulfil the total requirement for NADPH in the fatty acid biosynthesis de novo pathway. The pentose phosphate pathway has also being linked to NADPH supply in other oleaginous microorganisms including Chlamdomonas reinhardtii, Mucor circinelloides and Rhizopus oryzae [53]. Fakankun et al. [47] showed a difference between the NADP+ conserved domain site in oleaginous ascomycete species versus oleaginous pucciniomycota species. The NADP-ME conserved region sequence in ascomycete Y. lipolytica has been linked to its preference for NAD+ over NADP+ [51]. An inactivation of the malic enzyme gene in Y. lipolytica had no significant influence on fatty acid synthesis [54]. This makes sense because NADPH is required for fatty acid synthesis and not NADH. Therefore, an inactivation of NAD+-associated ME enzyme should not impact fatty acid synthesis. This does not, however, invalidate the link between malic enzyme and fatty acid biosynthesis in other oleaginous Rhodotorula species [55].

3. Genetic Manipulations and Its Effects on the Fatty Acid and Carotenoid Biosynthesis

Genetic manipulations are useful for improving synthesis of important bioproducts and researching oleaginous red yeast. To ascertain the importance of Phytoene synthase, the crtI gene encoding Phytoene synthase in R. toruloides was inactivated, resulting in white transformants. These transformants turned red again after a crtI-expressing casette was introduced [56]. R. toruloides has been engineered for increased lipid production by overexpressing Acetyl-CoA carboxylase (ACC) and Diacylglycerol acyltransferase [55], over-expressing Stearoyl-CoA desaturase [57], and an over-expression of the ME1 gene [58].
DNA insertional mutagenesis by Agrobacterium-mediated transformation (AMT) is a popular genetic tool used in red oleaginous yeast [59] and a clustered regularly interspaced short palindromic repeats (CRISPR)/CRISPR-associated gene (Cas9) system has been recently developed for gene editing in R. toruloides [60]. Tran et al. [61] discovered that a newly isolated R. toruloides (the authors failed to include a strain number) obtained from the Department of Biochemistry, University of Science, Vietnam National University (Ho Chi Minh City, Vietnam) was capable of producing small quantities of the high-value carotenoid, Astaxanthin. Tran et al. [62] then enhanced the astaxanthin-producing capability of this yeast by mutagenesis using UV light and gamma irradiation.
Induction and repression of genes linking Acetyl-coA to fatty acid and carotenoid biosynthesis has been examined. Chaturvedi et al. [63] overexpressed Acetyl-CoA carboxylase (ACC1) and repressed 3-hydroxy 3-methylglutaryl reductase (HMG-CoA reductase) in R. mucilaginosa. Their results showed an increase in lipid production by 62% when HMG-CoA reductase was repressed, and a 57% increase when a combination of repression and induction of ACC1 was employed. This raises another question as to the effect of induction of ACC1 in the lipid biosynthesis pathway in these oleaginous red yeasts. Non-oleaginous yeasts have experienced an increase in lipid production when ACC1 from oleaginous yeasts were overexpressed in them. This is observed in the 40% increase in the non-oleaginous yeast Hansenula polymorpha [64], three-fold increase in E. coli [65], and a six-fold increase in Esherichia coli [66].
Due to the controversy surrounding the actual biosynthesis pathway of oleaginous yeasts, various genomic, transcriptomic and proteomic investigations have been carried out in an attempt to understand the concept of oleaginicity. It has been found that not all oleaginous microorganisms follow a specific lipid biosynthesis route [52] and the differences between the pathways could be attributed to evolutionary and structural changes in some of the enzymes [18]. Since oleaginous yeasts vary in their mechanism, it is important to study on a molecular level how a particular yeast of interest is able to synthesize and accumulate lipids.

3.1. Genomic and Transcriptomic Investigations of Oleaginicity

Several ‘omics’ analyses of oleaginous yeasts have been carried out, ranging from genomics to transcriptomics to proteomics studies [46,49,67,68,69]. An essential key to understanding the concept of oleaginicity in a microorganism is the knowledge of its genome. The genome provides the basic information about the complete set of genes inside the cell and serves as a basis for studies of functional genomics and comparative genomics [18,67]. Many oleaginous yeasts are yet to have their genome sequenced, however, there appears to be ongoing work in this regard. Next-generation Illumina sequencing platform is a commonly used method for de novo genome sequencing which has been used to sequence the genome of a number of oleaginous species [49]. The knowledge of the genome also gives rise to improved research in DNA manipulation and recombination. For example, Y. lipolytica has been modified to produced carotenoids, [70] and Lin et al. [71] was able to develop new methods which allow for functional integration of multiple genes into R.toruloides.
During the time course of a typical fermentation experiment of an oleaginous yeast, certain changes occur in the gene transcripts which result in the phenotypic response of lipid accumulation. To study these expression profile changes, transcriptomic analyses across the oleaginous microorganism are necessary. Transcriptomics is able to quantify change in expression levels, map out and annotate the transcriptome, and determine the structural function of each gene. There are two commonly used methods for transcriptomics: microarrays [72] and high-throughput RNA-sequencing [49]. Both methods are able to identify the genes involved in lipid metabolism at a transcriptomic level. RNA-seq is a more modern method which is free from many of the limitations of the other methods [73].

3.2. Proteomics Approach

Genomics alone cannot answer all questions about microbial metabolism, as the ‘genetic blueprint’ has limitations [74]. The major limitation is the inability of the gene sequence alone to ascertain the behavior of the gene products, because the expression of a transcribed gene may be regulated at the level of translation, or even post-translation, of protein products [75]. For example, Zhu et al. [49], conducted a multi-omic investigation of lipid-producing R. toruloides and found no transcriptional regulation of some key genes responsible for lipogenesis. However, proteomic analyses suggested that these genes were regulated post-transcriptionally. In particular, the expression levels of the cytosolic NADP+-dependent ME transcript were down-regulated in this research. This may suggest that the ME did not play an important role in lipid accumulation. A proteomic investigation, however, proved otherwise, as the expression levels of this protein were significantly increased. This result suggested that the regulation of ME can be complicated, and also underscores that the relationship between transcription and translation of a gene may not be linear. Proteins are largely the molecules that perform biological functions, therefore, the study of proteomics is essential to bridge the gap between genome and phenotype.
Proteomic analysis is relevant as proteins are the main functional output of genes and post-translational modifications of proteins such as glycosylation and phosphorylation often determine protein function. However, due to the complexity of proteomes, which include issues relating to the type of cell being analyzed, protein stability, transient protein associations, post-translational modifications and dynamic-ranges of the proteins being very wide, no single proteomic approach is sufficiently capable of providing data on all the analytes present in a cell [76]. There are two main strategies used in mass spectrometric-based profiling of complex protein samples: the top-down approach, which analyses intact proteins; and the bottom-up approach, which analyses peptides in proteolytic digests [77].
Only a few proteomic analyses of oleaginous yeasts have been reported in the literature, and generally their preferred method of analysis has been the bottom-up approach. The specific methods used were varied, and included the use of: isobaric tags for relative and absolute quantification coupled with two-dimensional liquid chromatography–tandem mass spectrometry (iTRAQ-coupled 2D LC–MS/MS) [78]; a 2D-LC-MS/MS approach [79]; a one-dimensional nanoflow-reverse phase liquid chromatography method, coupled with tandem mass spectrometry (1D μRPLC/MS/MS) [80]; and a direct LC–MS/MS approach [49]. Sample preparation of oleaginous yeasts for proteomic analysis is more cumbersome than non-oleaginous samples due to the high number of lipid–lipid and lipid–protein interactions in the cell membrane, coupled with their rigid cell wall [78].

4. Conclusions

Oleaginous red yeasts have the potential to become biotechnological workhorses. To maximize the potential of these yeasts as TAG and carotenoid producers, more work needs to be done on multi-omic investigations, and creating genetic engineering tools to enhance their nataural capability as producers of useful bioproducts. The two-way approach mechanism which was employed by Chaturvedi et al. [63], where one pathway is repressed to favour the other, should be explored even further to enhance production of lipids or carotenoids.

Author Contributions

Conceptualization, I.F.; Writing, original draft preparation, I.F.; Writing, review and editing, D.B.L. All authors have read and agreed to the published version of the manuscript.

Funding

This research was funded by the Natural Sciences and Engineering Research Council (NSERC) of Canada through NSERC Discovery Grants (RGPIN-04945-2017 and RGPIN-05669-2020), Agriculture and Agri-Food Canada AgriScience BioProducts Cluster Grant (ASC-03; D Levin).

Data Availability Statement

Data sharing not applicable to this entry. No new data were created or analyzed in this study.

Conflicts of Interest

The authors declare no conflict of interest.

References

  1. Beopoulos, A.; Nicaud, J.-M.; Gaillardin, C. An Overview of Lipid Metabolism in Yeasts and Its Impact on Biotechnological Processes. Appl. Microbiol. Biotechnol. 2011, 90, 1193–1206. [Google Scholar] [CrossRef]
  2. Donot, F.; Fontana, A.; Baccou, J.C.; Strub, C.; Schorr-Galindo, S. Single Cell Oils (SCOs) from Oleaginous Yeasts and Moulds: Production and Genetics. Biomass Bioenergy 2014, 68, 135–150. [Google Scholar] [CrossRef]
  3. Cohen, Z.; Ratledge, C. Single Cell Oils; Elsevier: Amsterdam, The Netherlands, 2015; pp. 6–25. [Google Scholar]
  4. Buzzini, P.; Innocenti, M.; Turchetti, B.; Libkind, D.; van Broock, M.; Mulinacci, N. Carotenoid Profiles of Yeasts Belonging to the Genera Rhodotorula, Rhodosporidium, Sporobolomyces, and Sporidiobolus. Can. J. Microbiol. 2007, 53, 1024–1031. [Google Scholar] [CrossRef] [PubMed]
  5. Li, Y.; Zhao, Z.; Bai, F. High-Density Cultivation of Oleaginous Yeast Rhodosporidium toruloides Y4 in Fed-Batch Culture. Enzym. Microb. Technol. 2007, 41, 312–317. [Google Scholar] [CrossRef]
  6. Papanikolaou, S. Oleaginous Yeasts: Biochemical Events Related with Lipid Synthesis and Potential Biotechnological Applications. Ferment. Technol. 2012, 1, e103. [Google Scholar] [CrossRef]
  7. Munch, G.; Sestric, R.; Sparling, R.; Levin, D.B.; Cicek, N. Lipid Production in the Under-Characterized Oleaginous Yeasts, Rhodosporidium Babjevae and Rhodosporidium Diobovatum, from Biodiesel-Derived Waste Glycerol. Bioresour. Technol. 2015, 185, 49–55. [Google Scholar] [CrossRef]
  8. Fakankun, I.; Mirzaie, M.; Levin, D.B. Impact of Culture Conditions on Neutral Lipid Production by Oleaginous Yeast. In Microbial Lipid Production; Springer: New York, NY, USA, 2019; pp. 311–325. [Google Scholar]
  9. Zhu, C.; Chen, B.; Fang, B. Pretreatment of Raw Glycerol with Activated Carbon for 1,3-Propanediol Production by Clostridium Butyricum. Eng. Life Sci. 2013, 13, 376–384. [Google Scholar] [CrossRef]
  10. Nielsen, J. Synthetic Biology for Engineering Acetyl Coenzyme a Metabolism in Yeast. mBio 2014, 5, e02153-14. [Google Scholar] [CrossRef]
  11. van Rossum, H.M.; Kozak, B.U.; Pronk, J.T.; van Maris, A.J.A. Engineering Cytosolic Acetyl-Coenzyme a Supply in Saccharomyces Cerevisiae: Pathway Stoichiometry, Free-Energy Conservation and Redox-Cofactor Balancing. Metab. Eng. 2016, 36, 99–115. [Google Scholar] [CrossRef]
  12. Ratledge, C. Regulation of Lipid Accumulation in Oleaginous Micro-Organisms. Biochem. Soc. 2002, 30, 1047–1050. [Google Scholar] [CrossRef]
  13. Rodriguez, S.; Denby, C.M.; Van Vu, T.; Baidoo, E.E.K.; Wang, G.; Keasling, J.D. ATP Citrate Lyase Mediated Cytosolic Acetyl-CoA Biosynthesis Increases Mevalonate Production in Saccharomyces Cerevisiae. Microb. Cell Factories 2016, 15, 48. [Google Scholar] [CrossRef]
  14. Nasirian, N.; Mirzaie, M.; Cicek, N.; Levin, D.B. Lipid and Carotenoid Synthesis by Rhodosporidium Diobovatum, Grown on Glucose versus Glycerol, and Its Biodiesel Properties. Can. J. Microbiol. 2018, 64, 277–289. [Google Scholar] [CrossRef] [PubMed]
  15. Enshaeieh, M.; Abdoli, A.; Nahvi, I.; Madani, M. Bioconversion of Different Carbon Sources into Microbial Oil and Biodiesel Using Oleaginous Yeasts. J. Biol. Today’s World 2012, 1, 82–92. [Google Scholar] [CrossRef]
  16. Xu, J.; Liu, D. Exploitation of Genus Rhodosporidium for Microbial Lipid Production. World J. Microbiol. Biotechnol. 2017, 33, 54. [Google Scholar] [CrossRef]
  17. Park, Y.-K.; Nicaud, J.-M.; Ledesma-Amaro, R. The Engineering Potential of Rhodosporidium Toruloides as a Workhorse for Biotechnological Applications. Trends Biotechnol. 2018, 36, 304–317. [Google Scholar] [CrossRef] [PubMed]
  18. Vorapreeda, T.; Thammarongtham, C.; Cheevadhanarak, S.; Laoteng, K. Alternative Routes of Acetyl-CoA Synthesis Identified by Comparative Genomic Analysis: Involvement in the Lipid Production of Oleaginous Yeast and Fungi. Microbiology 2012, 158, 217–228. [Google Scholar] [CrossRef]
  19. Goodwin, T.W. Biosynthesis of Carotenoids: An Overview. In Methods in Enzymology; Academic Press: Cambridge, MA, USA, 1993; pp. 330–340. [Google Scholar]
  20. Sandmann, G. Carotenoid Biosynthesis and Biotechnological Application. Arch. Biochem. Biophys. 2001, 385, 4–12. [Google Scholar] [CrossRef]
  21. Hayman, E.P.; Yokoyama, H.; Chichester, C.O.; Simpson, K.L. Carotenoid Biosynthesis in Rhodotorula Glutinis. J. Bacteriol. 1974, 120, 1339–1343. [Google Scholar] [CrossRef]
  22. Frengova, G.I.; Beshkova, D.M. Carotenoids from Rhodotorula and Phaffia: Yeasts of Biotechnological Importance. J. Ind. Microbiol. Biotechnol. 2008, 36, 163–180. [Google Scholar] [CrossRef]
  23. Andrewes, A.G.; Phaff, H.J.; Starr, M.P. Carotenoids of Phaffia Rhodozyma, a Red-Pigmented Fermenting Yeast. Phytochemistry 1976, 15, 1003–1007. [Google Scholar] [CrossRef]
  24. Aksu, Z.; Eren, A.T. Carotenoids Production by the Yeast Rhodotorula Mucilaginosa: Use of Agricultural Wastes as a Carbon Source. Process Biochem. 2005, 40, 2985–2991. [Google Scholar] [CrossRef]
  25. Aksu, Z.; Eren, A.T. Production of Carotenoids by the Isolated Yeast of Rhodotorula Glutinis. Biochem. Eng. J. 2007, 35, 107–113. [Google Scholar] [CrossRef]
  26. Saenge, C.; Cheirsilp, B.; Suksaroge, T.T.; Bourtoom, T. Potential Use of Oleaginous Red Yeast Rhodotorula Glutinis for the Bioconversion of Crude Glycerol from Biodiesel Plant to Lipids and Carotenoids. Process Biochem. 2011, 46, 210–218. [Google Scholar] [CrossRef]
  27. Tang, W.; Wang, Y.; Zhang, J.; Cai, Y.; He, Z. Biosynthetic Pathway of Carotenoids in Rhodotorula and Strategies for Enhanced Their Production. J. Microbiol. Biotechnol. 2019, 29, 507–517. [Google Scholar] [CrossRef]
  28. Pinheiro, M.J.; Bonturi, N.; Belouah, I.; Miranda, E.A.; Lahtvee, P.-J. Xylose Metabolism and the Effect of Oxidative Stress on Lipid and Carotenoid Production in Rhodotorula Toruloides: Insights for Future Biorefinery. Front. Bioeng. Biotechnol. 2020, 8, 1008. [Google Scholar] [CrossRef] [PubMed]
  29. Newell, S.Y.; Hunter, I.L. Rhodosporidium Diobovatum Sp. N., the Perfect Form of an Asporogenous Yeast (Rhodotorula Sp.)1. J. Bacteriol. 1970, 104, 503–508. [Google Scholar] [CrossRef]
  30. Lyman, M.; Urbin, S.; Strout, C.; Rubinfeld, B. The Oleaginous Red Yeast Rodotorula/Rhodosporidium: A Factory for Industrial Bioproducts. In Yeast in Biotechnology; Basso, T.P., Ed.; Intechopen: London, UK, 2019. [Google Scholar]
  31. Schneider, T.; Graeff-Hönninger, S.; French, W.T.; Hernandez, R.; Merkt, N.; Claupein, W.; Hetrick, M.; Pham, P. Lipid and Carotenoid Production by Oleaginous Red Yeast Rhodotorula Glutinis Cultivated on Brewery Effluents. Energy 2013, 61, 34–43. [Google Scholar] [CrossRef]
  32. Zhang, J.; Li, Q.; Liu, J.; Lu, Y.; Wang, Y.; Wang, Y. Astaxanthin Overproduction and Proteomic Analysis of Phaffia Rhodozyma under the Oxidative Stress Induced by TiO2. Bioresour. Technol. 2020, 311, 123525. [Google Scholar] [CrossRef]
  33. Han, M.; Xu, Z.; Du, C.; Qian, H.; Zhang, W.-G. Effects of Nitrogen on the Lipid and Carotenoid Accumulation of Oleaginous Yeast Sporidiobolus Pararoseus. Bioprocess Biosyst. Eng. 2016, 39, 1425–1433. [Google Scholar] [CrossRef]
  34. Ghilardi, C.; Sanmartin Negrete, P.; Carelli, A.A.; Borroni, V. Evaluation of olive mill waste as substrate for carotenoid production by Rhodotorula mucilaginosa. Bioresour. Bioprocess. 2020, 7, 1–11. [Google Scholar] [CrossRef]
  35. Tang, W.; Wang, Y.; Cai, Y.; Liu, S.; Zhang, J.; He, Z. Genome Sequence of a Marine Carotenoid Producing Yeast Rhodotorula Mucilaginosa CYJ03. J. Ocean. Univ. China 2020, 19, 466–472. [Google Scholar] [CrossRef]
  36. Gan, H.M.; Thomas, B.N.; Cavanaugh, N.T.; Morales, G.H.; Mayers, A.N.; Savka, M.A.; Hudson, A.O. Whole Genome Sequencing of Rhodotorula Mucilaginosa Isolated from the Chewing Stick (Distemonanthus Benthamianus): Insights into Rhodotorula Phylogeny, Mitogenome Dynamics and Carotenoid Biosynthesis. PeerJ 2017, 5, e4030. [Google Scholar] [CrossRef]
  37. Verdoes, J.C.; Sandmann, G.; Visser, H.; Diaz, M.; van Mossel, M.; van Ooyen, A.J.J. Metabolic Engineering of the Carotenoid Biosynthetic Pathway in the Yeast Xanthophyllomyces Dendrorhous (Phaffia Rhodozyma). Appl. Environ. Microbiol. 2003, 69, 3728–3738. [Google Scholar] [CrossRef] [PubMed]
  38. Pi, H.-W.; Anandharaj, M.; Kao, Y.-Y.; Lin, Y.-J.; Chang, J.-J.; Li, W.-H. Engineering the Oleaginous Red Yeast Rhodotorula Glutinis for Simultaneous β-Carotene and Cellulase Production. Sci. Rep. 2018, 8, 10850. [Google Scholar] [CrossRef]
  39. Gong, G.; Zhang, X.; Tan, T. Simultaneously Enhanced Intracellular Lipogenesis and β-Carotene Biosynthesis of Rhodotorula Glutinis by Light Exposure with Sodium Acetate as the Substrate. Bioresour. Technol. 2020, 295, 122274. [Google Scholar] [CrossRef]
  40. Pham, K.D.; Shida, Y.; Miyata, A.; Takamizawa, T.; Suzuki, Y.; Ara, S.; Yamazaki, H.; Masaki, K.; Mori, K.; Aburatani, S.; et al. Effect of Light on Carotenoid and Lipid Production in the Oleaginous Yeast Rhodosporidium Toruloides. Biosci. Biotechnol. Biochem. 2020, 84, 1501–1512. [Google Scholar] [CrossRef] [PubMed]
  41. Evans, C.T.; Ratledge, C. Effect of Nitrogen Source on Lipid Accumulation in Oleaginous Yeasts. Microbiology 1984, 130, 1693–1704. [Google Scholar] [CrossRef]
  42. Lopes, H.J.S.; Bonturi, N.; Kerkhoven, E.J.; Miranda, E.A.; Lahtvee, P.-J. C/N Ratio and Carbon Source-Dependent Lipid Production Profiling in Rhodotorula Toruloides. Appl. Microbiol. Biotechnol. 2020, 104, 2639–2649. [Google Scholar] [CrossRef]
  43. Papanikolaou, S.; Aggelis, G. Lipids of Oleaginous Yeasts. Part I: Biochemistry of Single Cell Oil Production. Eur. J. Lipid Sci. Technol. 2011, 113, 1031–1051. [Google Scholar] [CrossRef]
  44. Sitepu, I.R.; Sestric, R.; Ignatia, L.; Levin, D.; German, J.B.; Gillies, L.A.; Almada, L.A.G.; Boundy-Mills, K.L. Manipulation of Culture Conditions Alters Lipid Content and Fatty Acid Profiles of a Wide Variety of Known and New Oleaginous Yeast Species. Bioresour. Technol. 2013, 144, 360–369. [Google Scholar] [CrossRef]
  45. Granger, L.-M.; Perlot, P.; Goma, G.; Pareilleux, A. Effect of Various Nutrient Limitations on Fatty Acid Production by Rhodotorula Glutinis. Appl. Microbiol. Biotechnol. 1993, 38, 784–789. [Google Scholar] [CrossRef]
  46. Ratledge, C. Microbial Lipids: Commercial Realities or Academic Curiosities. In Industrial Applications of Single Cell Oil; Kyle, D.J., Ed.; American Oil Chemists’ Society: Champaign, IL, USA, 1992; pp. 1–15. [Google Scholar]
  47. Fakankun, I.; Fristensky, B.; Levin, D.B. Genome Sequence Analysis of the Oleaginous Yeast, Rhodotorula Diobovata, and Comparison of the Carotenogenic and Oleaginous Pathway Genes and Gene Products with Other Oleaginous Yeasts. J. Fungi 2021, 7, 320. [Google Scholar] [CrossRef]
  48. Shen, Q.; Chen, Y.; Jin, D.; Lin, H.; Wang, Q.; Zhao, Y.-H. Comparative Genome Analysis of the Oleaginous Yeast Trichosporon Fermentans Reveals Its Potential Applications in Lipid Accumulation. Microbiol. Res. 2016, 192, 203–210. [Google Scholar] [CrossRef] [PubMed]
  49. Zhu, Z.; Zhang, S.; Liu, H.; Shen, H.; Lin, X.; Yang, F.; Zhou, Y.J.; Jin, G.; Ye, M.; Zou, H.; et al. A Multi-Omic Map of the Lipid-Producing Yeast Rhodosporidium Toruloides. Nat. Commun. 2012, 3, 1112. [Google Scholar] [CrossRef] [PubMed]
  50. Fabiszewska, A.; Misiukiewicz-Stępień, P.; Paplińska-Goryca, M.; Zieniuk, B.; Białecka-Florjańczyk, E. An Insight into Storage Lipid Synthesis by Yarrowia Lipolytica Yeast Relating to Lipid and Sugar Substrates Metabolism. Biomolecules 2019, 9, 685. [Google Scholar] [CrossRef] [PubMed]
  51. Zhang, H.; Zhang, L.; Chen, H.; Chen, Y.Q.; Ratledge, C.; Song, Y.; Chen, W. Regulatory Properties of Malic Enzyme in the Oleaginous Yeast, Yarrowia Lipolytica, and Its Non-Involvement in Lipid Accumulation. Biotechnol. Lett. 2013, 35, 2091–2098. [Google Scholar] [CrossRef]
  52. Ratledge, C. The Role of Malic Enzyme as the Provider of NADPH in Oleaginous Microorganisms: A Reappraisal and Unsolved Problems. Biotechnol. Lett. 2014, 36, 1557–1568. [Google Scholar] [CrossRef]
  53. Chen, H.; Hao, G.; Wang, L.; Wang, H.; Gu, Z.; Liu, L.; Zhang, H.; Chen, W.; Chen, Y.Q. Identification of a Critical Determinant That Enables Efficient Fatty Acid Synthesis in Oleaginous Fungi. Sci. Rep. 2015, 5, 11247. [Google Scholar] [CrossRef]
  54. Dulermo, T.; Lazar, Z.; Dulermo, R.; Rakicka, M.; Haddouche, R.; Nicaud, J.-M. Analysis of ATP-Citrate Lyase and Malic Enzyme Mutants of Yarrowia Lipolytica Points out the Importance of Mannitol Metabolism in Fatty Acid Synthesis. Biochim. Biophys. Acta (BBA) Mol. Cell Biol. Lipids 2015, 1851, 1107–1117. [Google Scholar] [CrossRef]
  55. Zhang, S.; Skerker, J.M.; Rutter, C.D.; Maurer, M.J.; Arkin, A.P.; Rao, C.V. Engineering Rhodosporidium Toruloides for Increased Lipid Production. Biotechnol. Bioeng. 2015, 113, 1056–1066. [Google Scholar] [CrossRef]
  56. Sun, T.; Hayakawa, K.; Bateman, K.S.; Fraser, M.E. Identification of the Citrate-Binding Site of Human ATP-Citrate Lyase Using X-Ray Crystallography. J. Biol. Chem. 2010, 285, 27418–27428. [Google Scholar] [CrossRef] [PubMed]
  57. Zhang, S.; Ito, M.; Skerker, J.M.; Arkin, A.P.; Rao, C.V. Metabolic Engineering of the Oleaginous Yeast Rhodosporidium Toruloides IFO0880 for Lipid Overproduction during High-Density Fermentation. Appl. Microbiol. Biotechnol. 2016, 100, 9393–9405. [Google Scholar] [CrossRef] [PubMed]
  58. Wang, Y.; Zhang, S.; Zhu, Z.; Shen, H.; Lin, X.; Jin, X.; Jiao, X.; Zhao, Z.K. Systems Analysis of Phosphate-Limitation-Induced Lipid Accumulation by the Oleaginous Yeast Rhodosporidium Toruloides. Biotechnol. Biofuels 2018, 11, 1–15. [Google Scholar] [CrossRef] [PubMed]
  59. Liu, Y.; Koh CM, J.; Yap, S.A.; Du, M.; Hlaing, M.M.; Ji, L. Identification of Novel Genes in the Carotenogenic and Oleaginous Yeast Rhodotorula Toruloides through Genome-Wide Insertional Mutagenesis. BMC Microbiol. 2018, 18, 14. [Google Scholar] [CrossRef]
  60. Jiao, X.; Lyu, L.; Zhang, Y.; Huang, Q.; Zhou, R.; Wang, S.; Wang, S.; Zhang, S.; Zhao, Z.K. Reduction of Lipid-Accumulation of Oleaginous Yeast Rhodosporidium Toruloides through CRISPR/Cas9-Mediated Inactivation of Lipid Droplet Structural Proteins. FEMS Microbiol. Lett. 2021, 368, fnab111. [Google Scholar] [CrossRef]
  61. Tran, T.N.; Tran, Q.-V.; Huynh, H.T.; Hoang, N.-S.; Nguyen, H.C.; Ngo, D.-N. Astaxanthin Production by Newly Isolated Rhodosporidium Toruloides: Optimization of Medium Compositions by Response Surface Methodology. Not. Bot. Horti Agrobot. Cluj-Napoca 2018, 47, 320–327. [Google Scholar] [CrossRef]
  62. Tran, T.N.; Ngo, D.-H.; Tran, Q.T.; Nguyen, H.C.; Su, C.-H.; Ngo, D.-N. Enhancing Astaxanthin Biosynthesis by Rhodosporidium Toruloides Mutants and Optimization of Medium Compositions Using Response Surface Methodology. Processes 2020, 8, 497. [Google Scholar] [CrossRef]
  63. Chaturvedi, S.; Gupta, A.K.; Bhattacharya, A.; Dutta, T.; Nain, L.; Khare, S.K. Overexpression and Repression of Key Rate-Limiting Enzymes (Acetyl CoA Carboxylase and HMG Reductase) to Enhance Fatty Acid Production from Rhodotorula Mucilaginosa. J. Basic Microbiol. 2020, 61, 4–14. [Google Scholar] [CrossRef]
  64. Ruenwai, R.; Cheevadhanarak, S.; Laoteng, K. Overexpression of Acetyl-CoA Carboxylase Gene of Mucor Rouxii Enhanced Fatty Acid Content in Hansenula Polymorpha. Mol. Biotechnol. 2009, 42, 327–332. [Google Scholar] [CrossRef]
  65. Meng, X.; Yang, J.; Cao, Y.; Li, L.; Jiang, X.; Xu, X.; Liu, W.; Xian, M.; Zhang, Y. Increasing Fatty Acid Production in E. Coli by Simulating the Lipid Accumulation of Oleaginous Microorganisms. J. Ind. Microbiol. Biotechnol. 2010, 38, 919–925. [Google Scholar] [CrossRef]
  66. Davis, M.S.; Solbiati, J.; Cronan, J.E. Overproduction of Acetyl-CoA Carboxylase Activity Increases the Rate of Fatty Acid Biosynthesis in Escherichia Coli. J. Biol. Chem. 2000, 275, 28593–28598. [Google Scholar] [CrossRef] [PubMed]
  67. Kourist, R.; Bracharz, F.; Lorenzen, J.; Kracht, O.N.; Chovatia, M.; Daum, C.; Deshpande, S.; Lipzen, A.; Nolan, M.; Ohm, R.A.; et al. Genomics and Transcriptomics Analyses of the Oil-Accumulating Basidiomycete Yeast Trichosporon Oleaginosus: Insights into Substrate Utilization and Alternative Evolutionary Trajectories of Fungal Mating Systems. mBio 2015, 6, e00918-15. [Google Scholar] [CrossRef] [PubMed]
  68. Sestric, R.; Spicer, V.V.; Krokhin, O.; Sparling, R.B.; Levin, D. Analysis of the Yarrowia Lipolytica Proteome Reveals Subtle Variations in Expression Levels between Lipogenic and Non-Lipogenic Conditions. FEMS Yeast Res. 2021, 21, foab007. [Google Scholar] [CrossRef] [PubMed]
  69. Fakankun, I.; Spicer, V.; Levin, D.B. Proteomic Analyses of the Oleaginous and Carotenogenic Yeast Rhodotorula Diobovata across Growth Phases under Nitrogen- and Oxygen-Limited Conditions. J. Biotechnol. 2021, 332, 11–19. [Google Scholar] [CrossRef]
  70. Gao, S.; Han, L.; Zhu, L.; Ge, M.; Yang, S.; Jiang, Y.; Chen, D. One-Step Integration of Multiple Genes into the Oleaginous Yeast Yarrowia Lipolytica. Biotechnol. Lett. 2014, 36, 2523–2528. [Google Scholar] [CrossRef]
  71. Lin, X.; Wang, Y.; Zhang, S.; Zhu, Z.; Zhou, Y.J.; Yang, F.; Sun, W.; Wang, X.; Zhao, Z.K. Functional Integration of Multiple Genes into the Genome of the Oleaginous Yeast Rhodosporidium Toruloides. FEMS Yeast Res. 2014, 14, 547–555. [Google Scholar] [CrossRef]
  72. Morin, N.; Cescut, J.; Beopoulos, A.; Lelandais, G.; Le Berre, V.; Uribelarrea, J.-L.; Molina-Jouve, C.; Nicaud, J.-M. Transcriptomic Analyses during the Transition from Biomass Production to Lipid Accumulation in the Oleaginous Yeast Yarrowia Lipolytica. PLoS ONE 2011, 6, e27966. [Google Scholar] [CrossRef]
  73. Qian, X.; Ba, Y.; Zhuang, Q.; Zhong, G. RNA-Seq Technology and Its Application in Fish Transcriptomics. OMICS J. Integr. Biol. 2014, 18, 98–110. [Google Scholar] [CrossRef]
  74. Martin, D.B.; Nelson, P.S. From Genomics to Proteomics: Techniques and Applications in Cancer Research. Trends Cell Biol. 2001, 11, S60–S65. [Google Scholar] [CrossRef]
  75. Dove, A. Proteomics: Translating Genomics into Products? Nat. Biotechnol. 1999, 17, 233–236. [Google Scholar] [CrossRef]
  76. Aebersold, R.; Mann, M. Mass Spectrometry-Based Proteomics. Nature 2003, 422, 198–207. [Google Scholar] [CrossRef] [PubMed]
  77. Resing, K.A.; Ahn, N.G. Proteomics Strategies for Protein Identification. FEBS Lett. 2004, 579, 885–889. [Google Scholar] [CrossRef] [PubMed]
  78. Shi, J.; Feng, H.; Lee, J.; Ning Chen, W. Comparative Proteomics Profile of Lipid-Cumulating Oleaginous Yeast: An ITRAQ-Coupled 2-D LC-MS/MS Analysis. PLoS ONE 2013, 8, e85532. [Google Scholar] [CrossRef] [PubMed]
  79. Liu, H.; Zhao, X.; Wang, F.; Li, Y.; Jiang, X.; Ye, M.; Zhao, Z.K.; Zou, H. Comparative Proteomic Analysis of Rhodosporidium Toruloides during Lipid Accumulation. Yeast 2009, 26, 553–566. [Google Scholar] [CrossRef]
  80. Liu, H.; Zhao, X.; Wang, F.; Jiang, X.; Zhang, S.; Ye, M.; Zhao, Z.K.; Zou, H. The Proteome Analysis of Oleaginous Yeast Lipomyces Starkeyi. FEMS Yeast Res. 2010, 11, 42–51. [Google Scholar] [CrossRef]
Figure 1. Cytosolic Acetyl—CoA synthesis via carbohydrate metabolism. ACC, Acetyl—CoA carboxylase; ACH, Acetyl—CoA hydrolase; ACL1, ATP—Citrate lyase; ACS, Acetyl—CoA synthethase; ALD1, Aldehyde dehydrogenase; CIT1, Citrate synthase; CTP, Citrate transporter; ERG10, Acetyl—CoA acetyltransferase; PDA, Pyruvate dehydrogenase; PDC, Pyruvate decarboxylase.
Figure 1. Cytosolic Acetyl—CoA synthesis via carbohydrate metabolism. ACC, Acetyl—CoA carboxylase; ACH, Acetyl—CoA hydrolase; ACL1, ATP—Citrate lyase; ACS, Acetyl—CoA synthethase; ALD1, Aldehyde dehydrogenase; CIT1, Citrate synthase; CTP, Citrate transporter; ERG10, Acetyl—CoA acetyltransferase; PDA, Pyruvate dehydrogenase; PDC, Pyruvate decarboxylase.
Encyclopedia 03 00034 g001
Figure 2. Biosynthesis of triacylglycerols. ACL, ATP—Citrate lyase; CIT1, Citrate synthase; CTP1, Citrate transporter; IDH—Isocitrate dehydrogenase; MAE1, Malic enzyme (mitochondrial); ME1, Malic enzyme (cytosolic);MDH, Malate dehydrogenase; NADPH, Nicotinamide Adenine Dinucleotide Phosphate (reduced); NADP+, Nicotinamide Adenine Dinucleotide Phosphate (oxidized); OAA, Oxaloacetate; PDA, Pyruvate dehydrogenase.
Figure 2. Biosynthesis of triacylglycerols. ACL, ATP—Citrate lyase; CIT1, Citrate synthase; CTP1, Citrate transporter; IDH—Isocitrate dehydrogenase; MAE1, Malic enzyme (mitochondrial); ME1, Malic enzyme (cytosolic);MDH, Malate dehydrogenase; NADPH, Nicotinamide Adenine Dinucleotide Phosphate (reduced); NADP+, Nicotinamide Adenine Dinucleotide Phosphate (oxidized); OAA, Oxaloacetate; PDA, Pyruvate dehydrogenase.
Encyclopedia 03 00034 g002
Figure 3. Pentose Phosphate Pathway. E—4—P, Erythrose 4—phosphate; F—6—P, Fructose 6—phosphate; G—1—P, Glucose 1—phosphate; G—3—P, Glyceraldehyde 3—phosphate; G—6—P, Glucose 6—phosphate; GND2, 6—phosphogluconate dehydrogenase; HXK, Hexokinase; PGLS, phosphoglucolactonase; 6—PG, 6—phosphogluconic acid; 6—PGL, 6—phosphoglucolactonate; RBKS, Ribokinase; RKI, Ribulose—5—phosphate isomerase; Ru—5—P, Ribose—5—phosphate; Ri—5—P, Ribulose—5—phosphate; S—7—P, Sedoheptulose 7—phosphate; ZWF1, Glucose—6—phosphate dehydrogenase.
Figure 3. Pentose Phosphate Pathway. E—4—P, Erythrose 4—phosphate; F—6—P, Fructose 6—phosphate; G—1—P, Glucose 1—phosphate; G—3—P, Glyceraldehyde 3—phosphate; G—6—P, Glucose 6—phosphate; GND2, 6—phosphogluconate dehydrogenase; HXK, Hexokinase; PGLS, phosphoglucolactonase; 6—PG, 6—phosphogluconic acid; 6—PGL, 6—phosphoglucolactonate; RBKS, Ribokinase; RKI, Ribulose—5—phosphate isomerase; Ru—5—P, Ribose—5—phosphate; Ri—5—P, Ribulose—5—phosphate; S—7—P, Sedoheptulose 7—phosphate; ZWF1, Glucose—6—phosphate dehydrogenase.
Encyclopedia 03 00034 g003
Disclaimer/Publisher’s Note: The statements, opinions and data contained in all publications are solely those of the individual author(s) and contributor(s) and not of MDPI and/or the editor(s). MDPI and/or the editor(s) disclaim responsibility for any injury to people or property resulting from any ideas, methods, instructions or products referred to in the content.

Share and Cite

MDPI and ACS Style

Fakankun, I.; Levin, D.B. Oleaginous Red Yeasts: Concomitant Producers of Triacylglycerides and Carotenoids. Encyclopedia 2023, 3, 490-500. https://doi.org/10.3390/encyclopedia3020034

AMA Style

Fakankun I, Levin DB. Oleaginous Red Yeasts: Concomitant Producers of Triacylglycerides and Carotenoids. Encyclopedia. 2023; 3(2):490-500. https://doi.org/10.3390/encyclopedia3020034

Chicago/Turabian Style

Fakankun, Irene, and David B. Levin. 2023. "Oleaginous Red Yeasts: Concomitant Producers of Triacylglycerides and Carotenoids" Encyclopedia 3, no. 2: 490-500. https://doi.org/10.3390/encyclopedia3020034

APA Style

Fakankun, I., & Levin, D. B. (2023). Oleaginous Red Yeasts: Concomitant Producers of Triacylglycerides and Carotenoids. Encyclopedia, 3(2), 490-500. https://doi.org/10.3390/encyclopedia3020034

Article Metrics

Back to TopTop