Gallium Nitride High-Electron-Mobility Transistor-Based High-Energy Particle-Detection Preamplifier
Abstract
1. Introduction
1.1. High-Electron-Mobility Transistor
1.2. Operating Frequency
2. Materials and Methods
- 2N4416
- Si N-channel JFET high-frequency wide-bandwidth transistor. The transistor is designed to provide high performance and gain at high frequencies. It is supplied by Vishay Siliconix. For the full data sheet, please see reference [20].
- 2N3904
- Si General purpose transistor. The transistor is a Si NPN bipolar junction transistor featuring high gain and low saturation voltage. It is supplied by multiple manufacturers, including OnSemi, NXP, and ST. For the full data sheet, please see reference [21].
- 2N7000
- Small-signal MOSFET. The N-channel enhancement-mode field-effect transistor is designed with low on-state resistance, high frequency, and fast switching times. It is supplied by multiple manufacturers, including OnSemi, NXP, and ST. For the full data sheet, please see reference [22].
- EPC2038
- Enhancement-mode high-frequency GaN FET. This specific GaN transistor provides exceptionally low on-state resistance due to its structure featuring very high switching frequency and very low switching times. It is manufactured by the Efficient Power Conversion Corporation and, among its offerings, is one of the smallest structures and fastest switching times. For the full data sheet, please see reference [23].
GaN HEMT and Silicon JFET Detection Circuits (Preamplifiers)
3. Results
3.1. Preamplifier Simulations
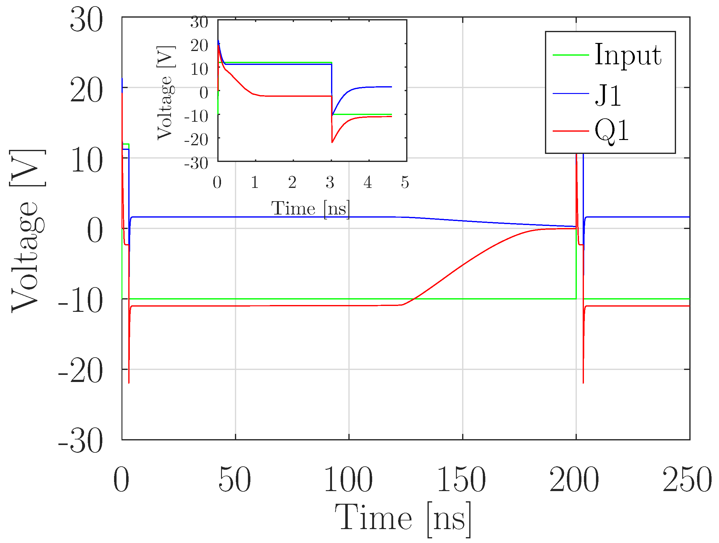
3.1.1. JFET Input and Bipolar Transistor at the Output
3.1.2. JFET Input and NMOS Output
3.1.3. GaN HEMT Preamplifier
3.2. Practical Amplifier Circuits
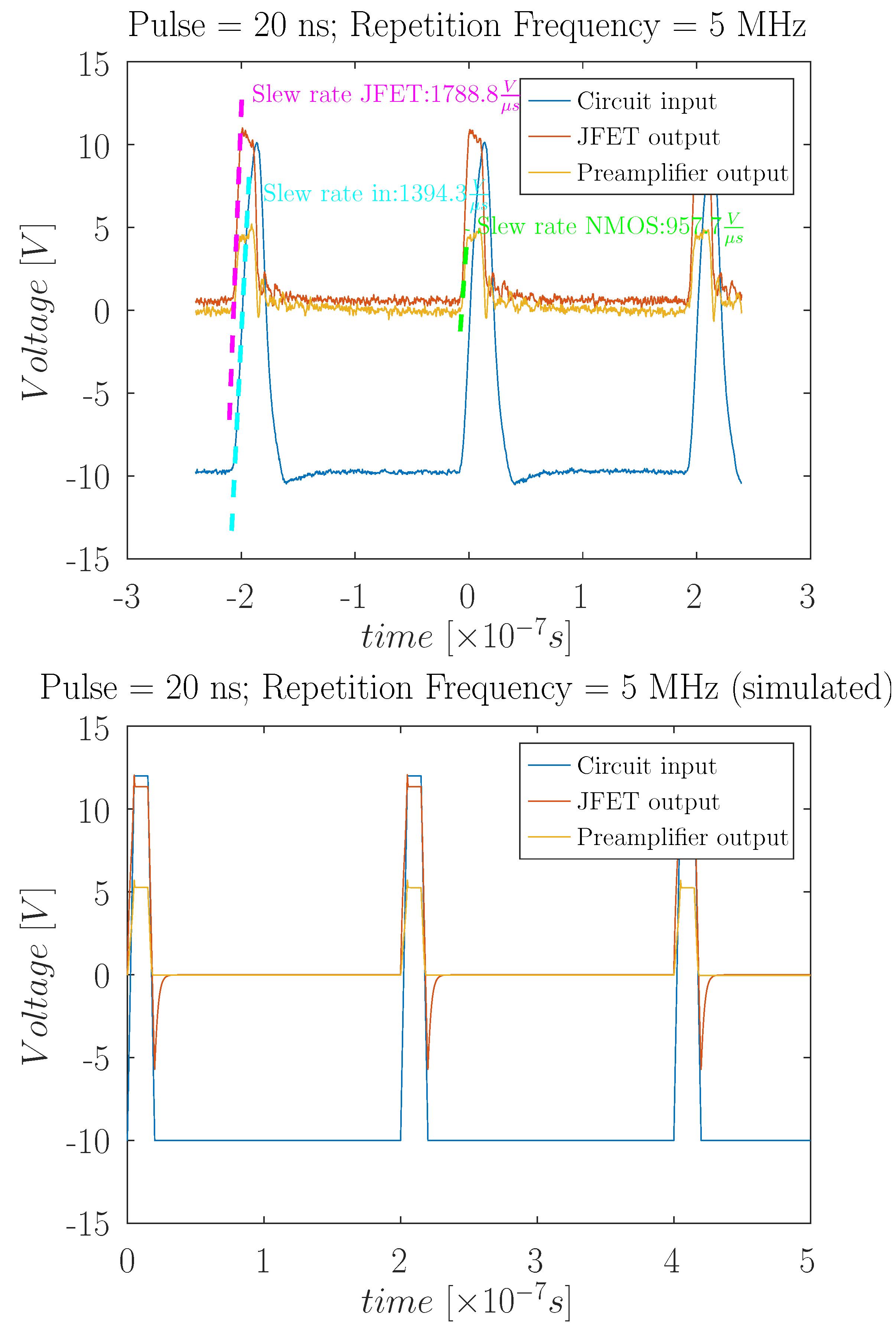
3.2.1. JFET Input with a Bipolar Transistor at the Output
3.2.2. JFET Input and NMOS Output
3.2.3. GaN HEMT Single Stage
3.2.4. Result Summary
4. Discussion
Author Contributions
Funding
Institutional Review Board Statement
Informed Consent Statement
Data Availability Statement
Conflicts of Interest
References
- Busch, M.; Hausotte, T. Practical Approaches for Determining the Structural Resolution Capability of X-ray Computed Tomography Measurement Tasks. Metrology 2024, 4, 457–468. [Google Scholar] [CrossRef]
- De Andrade, V.; Nikitin, V.; Wojcik, M.; Deriy, A.; Bean, S.; Shu, D.; Mooney, T.; Peterson, K.; Kc, P.; Li, K.; et al. Fast X-ray Nanotomography with Sub-10 nm Resolution as a Powerful Imaging Tool for Nanotechnology and Energy Storage Applications. Adv. Mater. 2021, 33, 2008653. [Google Scholar] [CrossRef] [PubMed]
- Matsuyama, S.; Nakamori, H.; Goto, T.; Kimura, T.; Khakurel, K.P.; Kohmura, Y.; Sano, Y.; Yabashi, M.; Ishikawa, T.; Nishino, Y.; et al. Nearly diffraction-limited X-ray focusing with variable-numerical-aperture focusing optical system based on four deformable mirrors. Sci. Rep. 2016, 6, 24801. [Google Scholar] [CrossRef] [PubMed]
- Grunwaldt, J.D.; Schroer, C.G. Hard and soft X-ray microscopy and tomography in catalysis: Bridging the different time and length scales. Chem. Soc. Rev. 2010, 39, 4741–4753. [Google Scholar] [CrossRef] [PubMed]
- Hawrami, R.; Matei, L.; Ariesanti, E.; Buliga, V.; Parkhe, H.; Burger, A.; Stewart, J.; Piro, A.; De Figueiredo, F.; Kargar, A.; et al. Growth and Performance of Perovskite Semiconductor CsPbX3 (X= Cl, Br, I, or Mixed Halide) for Detection and Imaging Applications. Materials 2024, 17, 5360. [Google Scholar] [CrossRef] [PubMed]
- Wellmann, P.J. Power electronic semiconductor materials for automotive and energy saving applications–SiC, GaN, Ga2O3, and diamond. Z. Fur Anorg. Und Allg. Chem. 2017, 643, 1312–1322. [Google Scholar] [CrossRef] [PubMed]
- Microsemi, P. Gallium nitride (GaN) versus silicon carbide (SiC) In the High Frequency (RF) and power switching applications. Digi-key 2014, 82, 2014. [Google Scholar]
- Ren, F.; Zolper, J.C. Wide Energy Bandgap Electronic Devices; World Scientific: Singapore, 2003. [Google Scholar]
- Ayzenshtat, G.; Bozhkov, V.; Yushchenko, A.Y. Measurement of the electron saturation velocity in an AlGaAs/InGaAs quantum well. Russ. Phys. J. 2011, 53, 914–920. [Google Scholar]
- Pierron, E.D.; Parker, D.L.; McNeely, J.B. Coefficient of Expansion of GaAs, GaP, and Ga(As, P) Compounds from −62 °C to 200 °C. J. Appl. Phys. 1967, 38, 4669–4671. [Google Scholar] [CrossRef]
- Guo, B.; Yu, G.; Zhang, L.; Zhou, J.; Wang, Z.; Xing, R.; Yang, A.; Li, Y.; Liu, B.; Zeng, X.; et al. High-Performance N-Polar GaN/AlGaN Metal–Insulator–Semiconductor High-Electron-Mobility Transistors with Low Surface Roughness Enabled by Chemical–Mechanical-Polishing-Incorporated Layer Transfer Technology. Crystals 2024, 14, 253. [Google Scholar] [CrossRef]
- Meneghini, M.; Hilt, O.; Wuerfl, J.; Meneghesso, G. Technology and Reliability of Normally-Off GaN HEMTs with p-Type Gate. Energies 2017, 10, 153. [Google Scholar] [CrossRef]
- Haziq, M.; Falina, S.; Manaf, A.A.; Kawarada, H.; Syamsul, M. Challenges and Opportunities for High-Power and High-Frequency AlGaN/GaN High-Electron-Mobility Transistor (HEMT) Applications: A Review. Micromachines 2022, 13, 2133. [Google Scholar] [CrossRef] [PubMed]
- Pengelly, R.S.; Wood, S.M.; Milligan, J.W.; Sheppard, S.T.; Pribble, W.L. A review of GaN on SiC high electron-mobility power transistors and MMICs. IEEE Trans. Microw. Theory Tech. 2012, 60, 1764–1783. [Google Scholar] [CrossRef]
- Harris, C.; Pengelly, R.; Sheppard, S.; Smith, T.; Pribble, B.; Wood, S.; Platis, C. Commercial gan devices for switching and low noise applications. In Proceedings of the CS MANTECH Conference, Palm Springs, CA, USA, 16–19 May 2011. [Google Scholar]
- Kabouche, R.; Pecheux, R.; Harrouche, K.; Okada, E.; Medjdoub, F.; Derluyn, J.; Degroote, S.; Germain, M.; Gucmann, F.; Middleton, C.; et al. High efficiency AlN/GaN HEMTs for Q-band applications with an improved thermal dissipation. Int. J. High Speed Electron. Syst. 2019, 28, 1940003. [Google Scholar]
- Li, L.; Nomoto, K.; Pan, M.; Li, W.; Hickman, A.; Miller, J.; Lee, K.; Hu, Z.; Bader, S.J.; Lee, S.M.; et al. GaN HEMTs on Si with regrown contacts and cutoff/maximum oscillation frequencies of 250/204 GHz. IEEE Electron Device Lett. 2020, 41, 689–692. [Google Scholar] [CrossRef]
- Kim, H.S.; Kang, M.J.; Kim, J.J.; Seo, K.S.; Cha, H.Y. Effects of Recessed-Gate Structure on AlGaN/GaN-on-SiC MIS-HEMTs with Thin AlOxNy MIS Gate. Materials 2020, 13, 1538. [Google Scholar] [CrossRef] [PubMed]
- Kumar, A.; Gupta, N.; Goyal, A.K.; Massoud, Y. Comprehensive power gain assessment of GaN-SOI-FinFET for improved RF/wireless performance using TCAD. Micromachines 2022, 13, 1418. [Google Scholar] [CrossRef] [PubMed]
- Vishay. 2N4416-N-Channel JFETs. 2025. Available online: https://mm.digikey.com/Volume0/opasdata/d220001/medias/docus/412/2N4416%2C2N4416A.SST4416.pdf (accessed on 2 March 2025).
- onsemi. 2N3904-General Purpose Transistors. 2025. Available online: https://www.onsemi.com/download/data-sheet/pdf/2n3903-d.pdf (accessed on 2 March 2025).
- onsemi. 2N7000-Small Signal MOSFETs. 2025. Available online: https://www.onsemi.com/products/discrete-power-modules/mosfets/small-signal-mosfets/2n7000 (accessed on 2 March 2025).
- Efficient Power Conversion. EPC2038-Enhancement Mode Power Transistor. 2025. Available online: https://epc-co.com/epc/products/gan-fets-and-ics/epc2038 (accessed on 2 March 2025).
- TDK. CC45 Series-High Voltage Ceramic Capacitors, Commercial Grade, Low Dissipation at High Frequency. 2025. Available online: https://product.tdk.com/system/files/dam/doc/product/capacitor/ceramic/lead-disc/catalog/leaddisc_commercial_cc45_en.pdf (accessed on 2 March 2025).
- Zuck, A.; Schieber, M.; Khakhan, O.; Gilboa, H.; Burshtein, Z. Microstructure and energy resolution of 59.6 keV 241Am gamma absorption in polycrystalline HgI2 detectors. IEEE Trans. Nucl. Sci. 2004, 51, 1250–1255. [Google Scholar]
- Orr, G.; Matei, L.; Zuck, A.; Zinigrad, M.; Ariesanti, E.; Hawrami, R.; Burger, A. Cesium Lead Bromide Crystal Growth: An investigation guided by lessons learned from the family of heavy metal compounds for radiation detection. In Proceedings of the Semiconductors Session at the ICCGE Conference, Naples, Italy, 30 July–4 August 2023. [Google Scholar]





















| Property | Si | GaAs | SiC | GaN | |
|---|---|---|---|---|---|
| Band gap | [eV] [6] | 1.1 | 1.42 | 2.3~3.3 | 3.44 |
| Critical field strength | V/cm] [6] | 0.4 | 0.5 | 4 | 6 |
| Mobility | [7,8] | 1450 | 5000 | 900 | 2000 |
| Thermal conductivity | [6] | 1.5 | 0.5 | 3~5 | 1.3 |
| Electron saturation velocity | [7,8,9] | 1 | 1.4 | 2.2 | 3 |
| Lattice Constant | [6,7] | 5.43 | 5.65 | 3.08 | 3.19 |
| Coefficient of Thermal Expansion | [7,10] | 2.6 | 6.86 | 4.2 | 5.6 |
| Material | [14] |
|---|---|
| GaAs | 12.5 |
| InP | 12.4 |
| Si | 11.9 |
| SiC | 10.0 |
| GaN | 9.5 |
| Diamond | 5.5 |
| Pulse Width [ns] | JFET/BJT [V/μs] | JFET/NMOS [V/μs] | GaN [V/μs] |
|---|---|---|---|
| 60 | 1510/821 | 1715/991 | 2940 |
| 20 | 1453/798 | 1789/957 | 2982 |
| 8 | 1707/96 | 1739/1035 | 2896 |
Disclaimer/Publisher’s Note: The statements, opinions and data contained in all publications are solely those of the individual author(s) and contributor(s) and not of MDPI and/or the editor(s). MDPI and/or the editor(s) disclaim responsibility for any injury to people or property resulting from any ideas, methods, instructions or products referred to in the content. |
© 2025 by the authors. Licensee MDPI, Basel, Switzerland. This article is an open access article distributed under the terms and conditions of the Creative Commons Attribution (CC BY) license (https://creativecommons.org/licenses/by/4.0/).
Share and Cite
Orr, G.; Azoulay, M.; Golan, G.; Burger, A. Gallium Nitride High-Electron-Mobility Transistor-Based High-Energy Particle-Detection Preamplifier. Metrology 2025, 5, 21. https://doi.org/10.3390/metrology5020021
Orr G, Azoulay M, Golan G, Burger A. Gallium Nitride High-Electron-Mobility Transistor-Based High-Energy Particle-Detection Preamplifier. Metrology. 2025; 5(2):21. https://doi.org/10.3390/metrology5020021
Chicago/Turabian StyleOrr, Gilad, Moshe Azoulay, Gady Golan, and Arnold Burger. 2025. "Gallium Nitride High-Electron-Mobility Transistor-Based High-Energy Particle-Detection Preamplifier" Metrology 5, no. 2: 21. https://doi.org/10.3390/metrology5020021
APA StyleOrr, G., Azoulay, M., Golan, G., & Burger, A. (2025). Gallium Nitride High-Electron-Mobility Transistor-Based High-Energy Particle-Detection Preamplifier. Metrology, 5(2), 21. https://doi.org/10.3390/metrology5020021

