Methodology to Create Reproducible Validation/Reference Materials for Comparison of Filter-Based Measurements of Carbonaceous Aerosols That Measure BC, BrC, EC, OC, and TC
Abstract
1. Introduction
2. Experimental
2.1. Printed Filter Material—Inkjet Printers
2.2. Other Substrates
2.3. Round Robin
2.4. Quartz-Fiber Filters (QFF)
3. Results and Discussion
3.1. Inkjet Printers
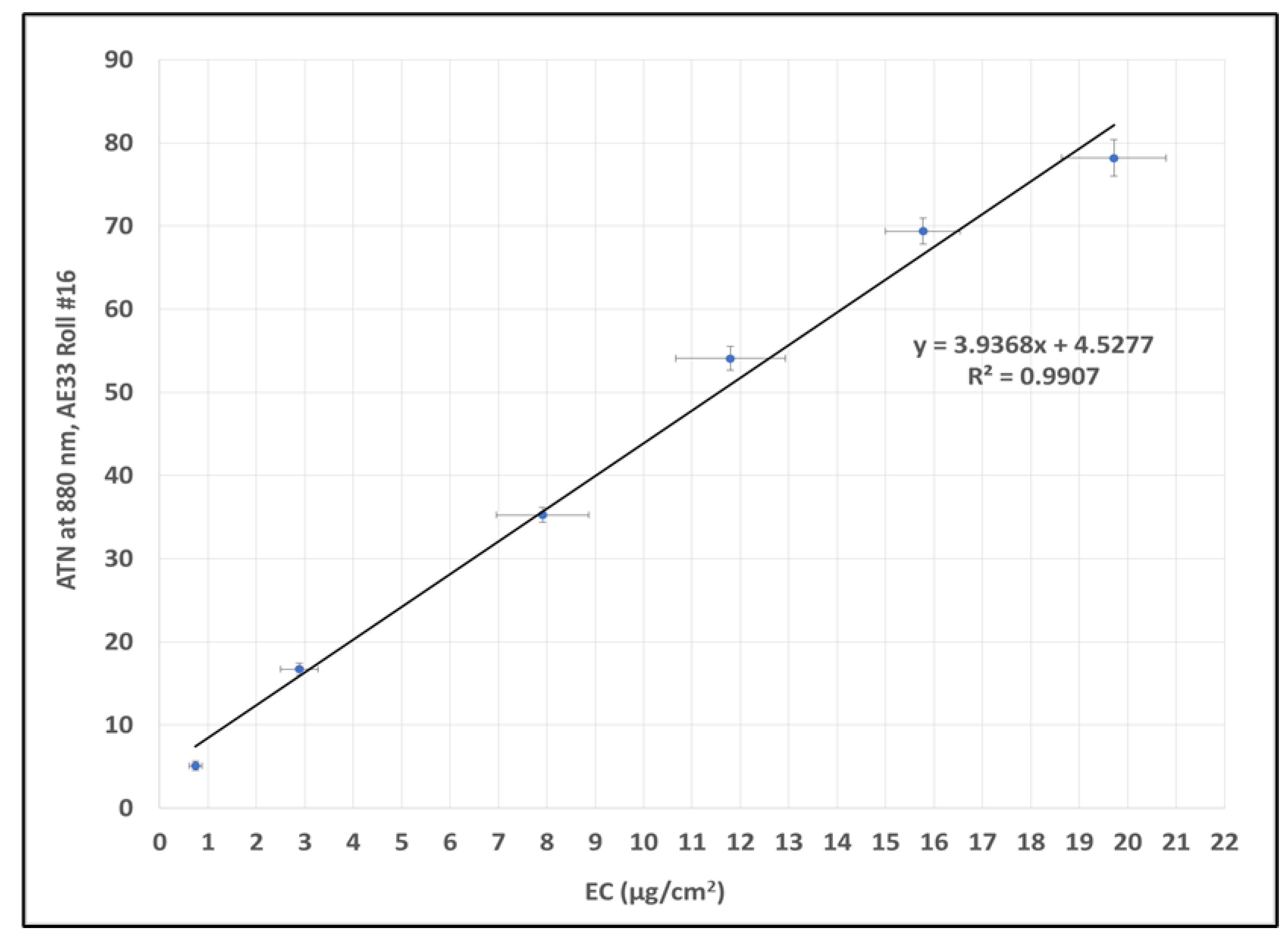
3.2. Quantifying Carbonaceous Content of Ink Deposited onto Filters as Mass (µg/cm2) of Inorganic (EC) and Organic (OC) Carbon
3.3. Other Substrates
3.4. Round Robin
3.5. Quality Assurance for Round Robin
3.6. Long-Term Storage Study
3.7. Chemical Analysis of the Inkjet Printer #VI Ink
4. Conclusions
Supplementary Materials
Author Contributions
Funding
Institutional Review Board Statement
Informed Consent Statement
Data Availability Statement
Acknowledgments
Conflicts of Interest
References
- Bond, T.C.; Sun, H. Can reducing black carbon emissions counteract global warming? Environ. Sci. Technol. 2005, 39, 5921–5926. [Google Scholar] [CrossRef]
- Bond, T.C.; Bergstrom, R.W. Light absorption by carbonaceous particles: An investigative review. Aerosol Sci. Technol. 2006, 40, 27–67. [Google Scholar] [CrossRef]
- Bond, T.C.; Zarzycki, C.; Flanner, M.G.; Koch, D.M. Quantifying immediate radiative forcing by black carbon and organic matter with the specific forcing pulse. Atmos. Chem. Phys. 2011, 11, 1505–1525. [Google Scholar] [CrossRef]
- Bond, T.C.; Doherty, S.J.; Fahey, D.W.; Forster, P.M.; Berntsen, T.; DeAngelo, B.J.; Flanner, M.G.; Ghan, S.; Kärcher, B.; Koch, D.; et al. Bounding the role of black carbon in the climate system: A scientific assessment. J. Geophys. Res. Atmos. 2013, 118, 5380–5552. [Google Scholar] [CrossRef]
- Chung, S.H.; Seinfeld, J.H. Climate response of direct radiative forcing of anthropogenic black carbon. J. Geophys. Res. 2005, 110, 1–25. [Google Scholar] [CrossRef]
- EPA. Report to Congress on Black Carbon; External Peer Review Draft. U.S. Environmental Protection Agency Office of Air Quality Planning and Standards Research Triangle Park, North Carolina. 2011. Available online: https://yosemite.epa.gov/sab/sabproduct.nsf/fedrgstr_activites/05011472499C2FB28525774A0074DADE/$File/BC+RTC+External+Peer+Review+Draft-opt.pdf (accessed on 6 November 2021).
- ICPP. Technical Summary. In Climate Change 2007: The Physical Science Basis. Contribution of Working Group I to the Fourth Assessment Report of the Intergovernmental Panel on Climate Change; Solomon, S., Qin, D., Manning, M., Alley, R.B., Berntsen, T., Bindoff, N.L., Chen, Z., Chidthaisong, A., Gregory, J.M., Hegerl, G.C., et al., Eds.; Cambridge University Press: Cambridge, UK; New York, NY, USA, 2007; Available online: https://www.ipcc.ch/report/ar4/wg1/ (accessed on 6 November 2021).
- IPCC. Climate Change 2013. In The Physical Science Basis. Contribution of Working Group I to the Fifth Assessment Report of the Intergovernmental Panel on Climate Change; Stocker, F.T., Qin, D., Plattner, G.-K., Tignor, M., Allen, S.K., Boschung, J., Nauels, A., Xia, Y., Bex, V., Midgley, P.M., Eds.; Cambridge University Press: Cambridge, UK; New York, NY, USA, 2013; p. 1535. Available online: https://www.ipcc.ch/report/ar5/wg1/ (accessed on 6 November 2021).
- Ramanathan, V.; Carmichael, G. Global and regional climate changes due to black carbon. Nat. Geosci. 2008, 1, 221–227. Available online: https://www.nature.com/articles/ngeo156 (accessed on 6 November 2021). [CrossRef]
- Solomon, P.A.; Gehr, P.; Bennett, D.; Phalen, R.; Loyda, B.; Rothen-Rutishauser, B.M.; Clift, M.; Brandenberger, C.; Mühlfeld, C. Macroscopic to microscopic scales of particle dosimetry: From source to fate in the body. Air Qual. Atmos. Health 2012, 5, 169–187. Available online: https://link.springer.com/content/pdf/10.1007%2Fs11869-011-0167-y.pdf (accessed on 6 November 2021). [CrossRef]
- Janssen, N.; Girlofs-Nijland, M.; Lanki, T.; Salonen, R.; Cassee, F.; Hoek, G.; Fischer, P.; Brunekreef, B.; Krzyzanowski, M. Health Effects of Black Carbon. The WHO European Centre for Environment and Health, Bonn; WHO Regional Office for Europe: Copenhagen, Denmark, 2012; Available online: https://stg-wedocs.unep.org/bitstream/handle/20.500.11822/8699/Health_effects_black_carbon.pdf?sequence=3&isAllowed=y (accessed on 6 November 2021).
- Li, Y.; Henze, D.K.; Jack, D.; Henderson, B.H.; Kinney, P.L. Assessing public health burden associated with exposure to ambient black carbon in the United States. Sci. Total Environ. 2016, 539, 515–525. Available online: https://www.ncbi.nlm.nih.gov/pmc/articles/PMC4761114/ (accessed on 6 November 2021). [CrossRef] [PubMed]
- Luben, T.J.; Nichols, J.L.; Dutton, S.J.; Kirrane, E.; Owens, E.O.; Datko-Williams, L.; Madden, M.; Sacks, J.D. A systematic review of cardiovascular emergency department visits, hospital admissions and mortality associated with ambient black carbon. Environ. Int. 2017, 107, 154–162. Available online: https://www.ncbi.nlm.nih.gov/pmc/articles/PMC6193259/ (accessed on 6 November 2021). [CrossRef]
- Kirrane, E.F.; Luben, T.J.; Benson, A.; Owens, E.O.; Sacks, J.D.; Dutton, S.J.; Madden, M.; Nichols, J.L. A systematic review of cardiovascular responses associated with ambient black carbon and fine particulate matter. Environ. Int. 2019, 127, 305–316. [Google Scholar] [CrossRef]
- Redaelli, M.; Sanchez, M.; Fuertes, E.; Blanchard, M.; Mullot, J.; Baeza-Squiban, A.; Garçon, G.; Léger, C.; Jacquemin, B. Health effects of ambient black carbon and ultrafine particles: Review and integration of the epidemiological evidence. Environ. Epidemiol. 2019, 3, 347–348. Available online: https://journals.lww.com/environepidem/fulltext/2019/10001/health_effects_of_ambient_black_carbon_and.1061.aspx (accessed on 6 November 2021).
- Cassee, F.R.; Héroux, M.-E.; Gerlofs-Nijland, M.; Kelly, F. Particulate matter beyond mass: Recent health evidence on the role of fractions, chemical constituents and sources of emission. Inhal. Toxicol. 2013, 25, 802–812. [Google Scholar] [CrossRef]
- Baumgardner, D.; Popovicheva, O.; Allan, J.; Bernardoni, V.; Cao, J.; Cavalli, F.; Cozic, J.; Diapouli, E.; Eleftheriadis, K.; Genberg, P.J.; et al. Soot reference materials for instrument calibration and intercomparisons: A workshop summary with recommendations. Atmos. Meas. Tech. 2012, 5, 1869–1887. [Google Scholar] [CrossRef]
- Müller, T.; Henzing, J.S.; de Leeuw, G.; Wiedensohler, A.; Alastuey, A.; Angelov, H.; Bizjak, M.; Coen, M.C.; Engström, J.E.; Gruening, C.; et al. Characterization and intercomparison of aerosol absorption photometers: Result of two intercomparison workshops. Atmos. Meas. Tech. 2011, 4, 245–268. Available online: https://amt.copernicus.org/articles/4/245/2011/amt-4-245-2011.pdf (accessed on 6 November 2021). [CrossRef]
- Bond, T.C.; Anderson, T.L.; Campbell, D. Calibration and intercomparison of filter-based measurements of visible light absorption by aerosols. Aerosol Sci. Technol. 1999, 30, 582–600. [Google Scholar] [CrossRef]
- Kondo, Y.; Sahu, L.; Kuwata, M.; Miyazaki, Y.; Takegawa, N.; Moteki, N.; Imaru, J.; Han, S.; Nakayama, T.; Oanh, K.N.T.; et al. Stabilization of the filter-based absorption photometry by the use of a heated inlet. Aerosol Sci. Technol. 2009, 43, 741–756. [Google Scholar] [CrossRef]
- Lack, D.A.; Lovejoy, E.; Baynard, T.; Pettersson, A.; Ravishankara, A.R. Aerosol absorption measurement using photoacoustic spectroscopy: Sensitivity, calibration, and uncertainty developments. Aerosol Sci. Technol. 2006, 40, 697–708. [Google Scholar] [CrossRef]
- Nakayama, T.; Kondo, Y.; Moteki, N.; Sahu, L.K.; Kinase, T.; Kita, K.; Matsumi, Y. Size-dependent correction factors for absorption measurements using filter-based photometers: PSAP and COSMOS. J. Aerosol Sci. 2010, 41, 333–343. [Google Scholar] [CrossRef]
- Kirchstetter, T.W.; Novakov, T. Controlled generation of black carbon particles from a diffusion flame and applications in evaluating black carbon measurement methods. Atmos. Environ. 2007, 41, 1874–1888. [Google Scholar] [CrossRef]
- Slowik, J.G.; Cross, E.S.; Han, J.-H.; Davidovits, P.; Onasch, T.B.; Jayne, J.T.; Williams, L.R.; Canagaratna, M.R.; Worsnop, D.R.; Chakrabarty, R.K.; et al. An inter-comparison of instruments measuring black carbon content of soot particles. Aerosol Sci. Technol. 2007, 41, 295–314. [Google Scholar] [CrossRef]
- Chai, M.; Birch, M.E.; Deye, G. Organic and elemental carbon filter sets: Preparation method and interlaboratory results. Ann. Occup. Hyg. 2012, 56, 959–967. Available online: https://www.ncbi.nlm.nih.gov/pmc/articles/PMC3577040/ (accessed on 6 November 2021). [PubMed]
- Currie, L.A.; Benner, B.A., Jr.; Kessler, J.D.; Klinedinst, D.B.; Klouda, G.A.; Marolf, J.V.; Slater, J.F.; Wise, S.A.; Cachier, H.; Cary, R.; et al. A critical evaluation of interlaboratory data on total, elemental, and isotopic carbon in the carbonaceous particle reference material, NIST SRM 1649a. J. Res. Natl. Inst. Stand. Technol. 2002, 107, 279–298. [Google Scholar] [CrossRef] [PubMed]
- Lee, H.M.; Okuyama, K.; Mizohata, A.; Kim, T.O.; Koyama, H. Fabrication of reference filter for measurements of EC (elemental carbon) and OC (organic carbon) in aerosol particles. Aerosol Sci. Technol. 2007, 41, 284–294. [Google Scholar] [CrossRef]
- Bae, M.-S.; Schauer, J.J.; Turner, J.R.; Hopke, P.K. Seasonal variations of elemental carbon in urban aerosols as measured by two common thermal-optical carbon methods. Sci. Total Environ. 2009, 407, 5176–5183. [Google Scholar] [CrossRef]
- Chow, J.C.; Watson, J.G.; Crow, D.; Lowenthal, D.H.; Merrifield, T. Comparison of IMPROVE and NIOSH carbon measurements. Aerosol Sci. Technol. 2001, 34, 23–34. Available online: https://www.tandfonline.com/doi/abs/10.1080/02786820119073 (accessed on 6 November 2021). [CrossRef]
- Chow, J.C.; Watson, J.G.; Chen, L.-W.A.; Arnott, W.P.; Moosmuller, H.; Fung, K.K. Equivalence of elemental carbon by Thermal/Optical Reflectance and Transmittance with different temperature protocols. Environ. Sci. Technol. 2004, 38, 4414–4422. [Google Scholar] [CrossRef]
- ten Brink, H.; Maenhaut, W.; Hitzenberger, R.; Gnauk, T.; Spindler, G.; Even, A.; Chi, X.; Bauer, H.; Puxbaum, H.; Putaud, J.-P.; et al. INTERCOMP2000: The comparability of methods in use in Europe for measuring the carbon content of aerosol. Atmos. Environ. 2004, 38, 6459–6466. [Google Scholar] [CrossRef]
- Watson, J.G.; Chow, J.C.; Chen, L.-W.A. Summary of organic and elemental carbon/black carbon analysis methods and intercomparisons. Aerosol Air Qual. Res. 2005, 5, 65–102. Available online: https://aaqr.org/articles/aaqr-05-06-oa-0006.pdf (accessed on 6 November 2021). [CrossRef]
- Cheng, Y.; Zheng, M.; He, K.; Chen, Y.; Yan, B.; Russell, A.G.; Shi, W.; Jiao, Z.; Sheng, G.; Fu, J.; et al. Comparison of two thermal-optical methods for the determination of organic carbon and elemental carbon: Results from the south-eastern United States. Atmos. Environ. 2011, 45, 1913–1918. [Google Scholar] [CrossRef]
- Giannoni, M.; Calzolai, G.; Chiari, M.; Cincinelli, A.; Lucarelli, F.; Martellini, T.; Nava, S. A comparison between thermal-optical transmittance elemental carbon measured by different protocols in PM2.5 samples. Sci. Total Environ. 2016, 571, 195–205. [Google Scholar] [CrossRef]
- Gundel, L.A.; Dod, R.L.; Rosen, H.; Novakov, T. The relationship between optical attenuation and black carbon concentration for ambient and source particles. Sci. Total Environ. 1983, 36, 197–202. [Google Scholar] [CrossRef]
- Snyder, D.C.; Schauer, J.J. An inter-comparison of two black carbon aerosol instruments and a semi-continuous elemental carbon instrument in the urban environment. Aerosol Sci. Technol. 2007, 41, 463–474. [Google Scholar] [CrossRef]
- Solomon, P.A.; Hansen, A.D.A.; Hyatt, A.-M. Reproducible Reference Standards for Filter-Based Measurements of Carbonaceous Aerosols Found in Environmental Samples. United States Patent Application, Pub. No. US 2019/0113431 A1, 18 April 2019. Assigned to the United States Government, Washington, DC. Available online: https://patentimages.storage.googleapis.com/35/88/3f/25c12bad60d383/US20190113431A1.pdf (accessed on 6 November 2021).
- Solomon., P.A.; Hopke, P.K.; Froines, J.; Scheffe, R. Key scientific and policy- and health-relevant findings from EPA’s Particulate Matter Supersites Program and related studies: An integration and synthesis of results. J. Air Waste Manag. Assoc. 2008, 58, S1–S92. Available online: https://www.proquest.com/docview/214375417?pq-origsite=gscholar&fromopenview=true (accessed on 6 November 2021). [CrossRef] [PubMed][Green Version]
- Solomon, P.A.; Lantz, J.J.; Crumpler, D.; Flanagan, J.B.; Jayanty, R.K.M.; Rickman, E.E.; McDade, C.; Ashbaugh, L. United States national PM2.5 chemical speciation monitoring Networks–CSN and IMPROVE: Description of networks. J. Air Waste Manag. Assoc. 2014, 64, 1410–1438. [Google Scholar] [CrossRef] [PubMed]
- Kirchstetter, T.W.; Novakov, T.; Hobbs, P.V. Evidence that the spectral dependence of light absorption by aerosols is affected by organic carbon. J. Geophys. Res. Atmos. 2004, 109. [Google Scholar] [CrossRef]
- Andreae, M.O.; Gelencsér, A. Black carbon or brown carbon? The nature of light-absorbing carbonaceous aerosols. Atmos. Chem. Phys. 2006, 6, 3131–3148. [Google Scholar] [CrossRef]
- Sreekanth, V.; Tonne, C.; Salmon, M.; Arulselvan, S.; Marshal, D.J. The role of blank filter mass in attenuation measurements using an off-line transmissometer. J. Aerosol Sci. 2019, 131, 41–47. [Google Scholar] [CrossRef]
- Johnson, M.M. Evaluation of a Multiwavelength Characterization of Brown and Black Carbon from Filter Samples. Master’s Thesis, University of Nevada, Reno, NV, USA, 2015. Available online: https://scholarworks.unr.edu/bitstream/handle/11714/2666/Johnson_unr_0139M_11943.pdf?sequence=1 (accessed on 6 November 2021).
- Panteliadis, P.; Hafkenscheid, T.; Cary, B.; Diapouli, E.; Fischer, A.; Favez, O.; Quincey, P.; Viana, M.; Hitzenberger, R.; Vecchi, R.; et al. ECOC comparison exercise with identical thermal protocols after temperature offset correction–Instrument diagnostics by in-depth evaluation of operational parameters. Atmos. Meas. Tech. 2015, 8, 779–792. Available online: https://amt.copernicus.org/articles/8/779/2015/amt-8-779-2015.pdf (accessed on 6 November 2021). [CrossRef]
- Dutkiewicz, V.A.; DeJulio, A.M.; Ahmed, T.; Laing, J.; Hopke, P.K.; Skeie, R.B.; Viisanen, Y.; Paatero, J.; Husain, L. Forty-seven years of weekly atmospheric black carbon measurements in the Finnish Arctic: Decrease in black carbon with declining emissions. J. Geophys. Res. Atmos. 2014, 119, 7667–7683. [Google Scholar] [CrossRef]
- Chow, C.; Watson, J.G.; Green, M.C.; Wang, X.; Chen, L.-W.A.; Trimble, D.L.; Cropper, P.M.; Kohl, S.D.; Gronstal, S.B. Separation of brown carbon from black carbon for IMPROVE and Chemical Speciation Network PM2.5 samples. J. Air Waste Manag. Assoc. 2018, 68, 494–510. [Google Scholar] [CrossRef]
- Matsushita, Y. Ink Composition. United States Patent Application, Pub. No. US 2012/0236068 A1, 20 September 2012. Assigned to Fujifilm Corporation, Tokyo. Available online: https://patentimages.storage.googleapis.com/bb/f1/2f/bfffdf65023529/US20120236068A1.pdf (accessed on 6 November 2021).
- Bello, D.; Martin, J.; Santeufemio, C.; Sun, Q.; Bunker, K.L.; Shafer, M.; Demokritou, P. Physicochemical and morphological characterisation of nanoparticles from photocopiers: Implications for environmental health. Nanotoxicology 2013, 7, 989–1003. [Google Scholar] [CrossRef]
- Pirela, S.V.; Sotiriou, G.A.; Bello, D.; Shafer, M.; Bunker, K.L.; Castranova, V.; Thomas, T.; Demokritou, P. Consumer exposures to laser printer-emitted engineered nanoparticles: A case study of life-cycle implications from nano-enabled products. Nanotoxicology 2015, 9, 760–768. [Google Scholar] [CrossRef]
- Shara, S.I.; Moustafay, Y.M.; Bakr, A.A.; Aboul El Magd, A.A.; Abd El-Aziz, I.M. Application of some physical techniques for forensic discrimination of printer toner. Egypt J. Chem. 2018, 61, 131–142. Available online: https://ejchem.journals.ekb.eg/article_4495.html (accessed on 6 November 2021). [CrossRef]
- Chow, J.C.; Watson, J.G.; Chen, L.-W.A.; Paredes-Miranda, G.; Chang, M.-C.O.; Trimble, D.; Fung, K.; Zhang, H.; Yu, J.Z. Refining temperature measures in thermal/optical carbon analysis. Atmos. Chem. Phys. 2005, 5, 4477–4505. [Google Scholar] [CrossRef]
- Wang, Y.; Chung, A.; Paulson, S.E. The effect of metal salts on quantification of elemental and organic carbon in diesel exhaust particles using thermal-optical evolved gas analysis. Atmos. Chem. Phys. 2010, 10, 11447–11457. Available online: https://acp.copernicus.org/articles/10/11447/2010/acp-10-11447-2010.pdf (accessed on 6 November 2021). [CrossRef]
- Bauer, S.W.; Zeying, M. Pigment-based Inks for Ink-jet Printing. European Patent Specification, Pub. No. EP1589081B1, 13 August 2013. Assigned to Hewlett-Packard Development Company, L.P. San Diego, CA. Available online: https://patentimages.storage.googleapis.com/e6/cc/e7/a2c529f5e1b1de/EP1589081B1.pdf (accessed on 6 November 2021).
- Katsen, B.J.R.; Himmelwright, S.; Schwartz, N.R.; Stewart, B.J. Black Ink Jet Ink Composition. United States Patent, US5803958A, 8 September 1998. Assigned to Rexam Graphics, Inc. South Hadley, MA. Available online: https://patentimages.storage.googleapis.com/24/4c/8a/45d6fbf12e07d8/US5803958.pdf (accessed on 6 November 2021).
- Chow, C.; Watson, J.G.; Green, M.C.; Frank, N.H. Filter light attenuation as a surrogate for elemental carbon. J. Air Waste Manag. Assoc. 2010, 60, 1365–1375. [Google Scholar] [CrossRef] [PubMed][Green Version]
- White, H.W.; Krystyna, T.; Nicole, P.; Schichtel, H.; Schichtel, B.A. A critical review of filter transmittance measurements for aerosol light absorption, and de novo calibration for a decade of monitoring on PTFE membranes. Aerosol Sci. Technol. 2016, 50, 984–1002. [Google Scholar] [CrossRef]
- Presler-Jur, P.; Doraiswamy, P.; Hammond, O.; Rice, J. An evaluation of mass absorption cross-section for optical carbon analysis on Teflon filter media. J. Air Waste Manag. Assoc. 2017, 67, 1213–1228. [Google Scholar] [CrossRef] [PubMed]
- Dillner, A.M.; Takahama, S. Predicting ambient aerosol thermal-optical reflectance (TOR) measurements from infrared spectra: Organic carbon. Atmos. Meas. Tech. 2015, 8, 1097–1109. [Google Scholar] [CrossRef]
- Dillner, A.M.; Takahama, S. Predicting ambient aerosol thermal-optical reflectance measurements from infrared spectra: Elemental carbon. Atmos. Meas. Tech. 2015, 8, 4013–4023. [Google Scholar] [CrossRef]
- Weakley, W.T.; Takahama, S.; Dillner, A.M. Thermal/optical reflectance equivalent organic and elemental carbon determined from federal reference and equivalent method fine particulate matter samples using Fourier transform infrared spectrometry. Aerosol Sci. Technol. 2018, 52, 1048–1058. [Google Scholar] [CrossRef]
- Sun, H.; Biedermann, L.; Bond, T.C. Color of brown carbon: A model for ultraviolet and visible light absorption by organic carbon aerosol. Geophys. Res. Lett. 2007, 34. [Google Scholar] [CrossRef]
- Forrister, H.; Liu, J.; Scheuer, E.; Dibb, J.; Ziemba, L.; Thornhill, K.L.; Anderson, B.; Diskin, G.; Perring, A.E.; Schwarz, J.P.; et al. Evolution of brown carbon in wildfire plumes. Geophys. Res. Lett. 2015, 42, 4623–4640. [Google Scholar] [CrossRef]
- Healy, R.M.; Wang, J.M.; Jeong, C.-H.; Lee, A.K.Y.; Willis, M.D.; Jaroudi, E.; Zimmerman, N.; Hilker, N.; Murphy, M.; Eckhardt, S.; et al. Light-absorbing properties of ambient black carbon and brown carbon from fossil fuel and biomass burning sources. J. Geophys. Res. Atmos. 2015, 120, 6619–6633. [Google Scholar] [CrossRef]
- Washenfelder, R.A.; Attwood, A.R.; Brock, C.A.; Guo, H.; Xu, L.; Weber, R.J.; Ng, N.L.; Allen, H.M.; Ayres, B.R.; Baumann, K.; et al. Biomass burning dominates brown carbon absorption in the rural southeastern United States. Geophys. Res. Lett. 2015, 42, 653–664. [Google Scholar] [CrossRef]
- EPA. Wildland Fire Research to Protect Health and the Environment. US EPA, Research Triangle Park, NC. 2019. Available online: https://www.epa.gov/air-research/wildland-fire-research-protect-health-and-environment (accessed on 6 November 2021).
- Kitto, M.E.; Anderson, D.L. The use of Whatman-41 filters for particle collection. Atmos. Environ. 1988, 22, 2629–2630. [Google Scholar] [CrossRef]
- Pekney, N.J.; Davidson, C.I. Determination of trace elements in ambient aerosol samples. Anal. Chim. Acta 2005, 540, 269–277. [Google Scholar] [CrossRef]
- Upadhyay, N.; Majestic, B.J.; Prapaipong, P.; Herckes, P. Evaluation of polyurethane foam, polypropylene, quartz-fiber, and cellulose substrates for multi-element analysis of atmospheric particulate matter by ICP-MS. Anal. Bioanal. Chem. 2009, 394, 255–266. Available online: https://link.springer.com/article/10.1007%2Fs00216-009-2671-6 (accessed on 6 November 2021). [CrossRef]
- Schauer, J.J.; Mader, B.T.; DeMinter, J.T.; Heidemann, G.; Bae, M.S.; Seinfeld, J.H.; Flagan, R.C.; Cary, R.A.; Smith, D.; Huebert, B.J.; et al. ACE-Asia intercomparison of a thermal-optical method for the determination of particle-phase organic and elemental carbon. Environ. Sci. Technol. 2003, 37, 993–1001. [Google Scholar] [CrossRef]
- Ikoshi, M.; Tojo, K. Inkjet Recording Liquid. United States Patent Application, Pub. No. US 2010/0168322 A1, 1 July 2010. Assigned to Fujifilm Corporation, Falls Church, VA. Available online: https://patentimages.storage.googleapis.com/f4/b3/02/03208ca53a5932/US20100168322A1.pdf (accessed on 6 November 2021).
- Long, C.M.; Nascarella, A.M.; Valberg, A.P. Carbon black vs. black carbon and other airborne materials containing elemental carbon: Physical and chemical distinctions. Environ. Pollut. 2013, 181, 271–286. [Google Scholar] [CrossRef]
- Jackson, C. Inkjet Ink. International Patent Application. International Pub. No. WO 2008/130625 Al, Published 30 October 2008. Wilmington, DE. Available online: https://patentimages.storage.googleapis.com/9b/78/d1/aa057f06352125/WO2008130625A1.pdf (accessed on 6 November 2021).
- Yau, H.-L.; Krzemien, W.; Flood, E. Preferred Materials for Publication Classification Pigmented Inkjet Ink. United States Patent Application, Pub. No. US 2004/0085418A1, 6 May 2004. Assigned to Eastman Kodak Company, Rochester, NY. Available online: https://patentimages.storage.googleapis.com/86/23/50/c6de4cbf7d6055/US20040085418A1.pdf (accessed on 6 November 2021).







| 880 nm | ||||||||||
| Field Blank | G223 | G173 | G127 | G100 | G83 | G70 | G40 a | n b | ||
| Roll 15 | Mean | −0.10 | 6.71 | 21.37 | 46.15 | 69.38 | 88.35 | 101.09 | 15 | |
| SD c | 0.37 | 0.92 | 0.88 | 1.42 | 1.55 | 1.48 | 2.27 | |||
| Range d | 1.24 | 3.61 | 3.16 | 4.54 | 5.41 | 5.31 | 6.58 | |||
| Roll 16 | Mean | −0.07 | 5.09 | 16.72 | 35.26 | 54.09 | 69.38 | 78.20 | 23 | |
| SD | 0.39 | 0.54 | 0.70 | 0.87 | 1.43 | 1.54 | 2.22 | |||
| Range | 1.59 | 1.97 | 3.15 | 3.13 | 5.63 | 6.01 | 8.74 | |||
| Roll 17 | Mean | 0.18 | 5.95 | 18.82 | 39.76 | 57.22 | 74.09 | 84.38 | 130.3 | 19 |
| SD | 0.60 | 0.57 | 0.69 | 0.95 | 1.27 | 1.37 | 1.89 | 4.20 | ||
| Range | 2.87 | 1.98 | 2.76 | 3.76 | 4.24 | 5.32 | 6.48 | 16.31 | ||
| Roll 18 | Mean | −0.01 | 6.32 | 19.77 | 42.32 | 61.91 | 79.89 | 90.67 | 137.6 | 19 |
| SD | 0.70 | 0.79 | 0.68 | 1.16 | 2.23 | 2.43 | 3.39 | 4.27 | ||
| Range | 2.57 | 3.14 | 2.32 | 4.66 | 9.36 | 8.74 | 11.62 | 17.51 | ||
| 370 nm | ||||||||||
| Field Blank | G223 | G173 | G127 | G100 | G83 | G70 | G40 a | n b | ||
| Roll 15 | Mean | 0.20 | 4.86 | 16.96 | 37.10 | 57.95 | 75.26 | 84.67 | 15 | |
| SD c | 0.27 | 0.54 | 0.75 | 0.79 | 1.56 | 1.64 | 2.51 | |||
| Range d | 1.01 | 2.09 | 3.57 | 3.01 | 5.79 | 5.88 | 9.40 | |||
| Roll 16 | Mean | 0.20 | 4.86 | 16.96 | 37.10 | 57.95 | 75.26 | 84.67 | 23 | |
| SD | 0.27 | 0.54 | 0.75 | 0.79 | 1.56 | 1.64 | 2.51 | |||
| Range | 1.01 | 2.09 | 3.57 | 3.01 | 5.79 | 5.88 | 9.40 | |||
| Roll 17 | Mean | 0.09 | 5.85 | 19.33 | 42.03 | 61.78 | 81.41 | 93.0 | 144.1 | 19 |
| SD | 0.59 | 0.42 | 0.77 | 1.08 | 1.33 | 1.52 | 1.99 | 5.66 | ||
| Range | 2.28 | 1.27 | 3.23 | 4.37 | 5.05 | 5.33 | 6.36 | 22.17 | ||
| Roll 18 | Mean | −0.80 | 6.43 | 21.18 | 46.89 | 69.62 | 91.13 | 102.8 | 157.1 | 19 |
| SD | 0.91 | 0.84 | 0.83 | 1.63 | 2.71 | 3.31 | 4.14 | 4.28 | ||
| Range | 3.37 | 3.38 | 3.12 | 6.39 | 10.51 | 12.70 | 13.96 | 12.85 | ||
| IR | ABS% Rel. Diff | Slope | Intercept | R2 |
| Printer #VI-C, G123–G00, Three Sheets, Ink Lots Y and Z, Same tape roll | 6.10 | 1.04 | 0.50 | 0.9999 |
| Printer #VI-B and #VI-C, G223, G173, G127, Four Sheets, Ink Lots X and Z, Three Rolls as described in the text | 4.40 | 1.03 | 0.23 | 0.9999 |
| UV | ABS% Rel. Diff | Slope | Intercept | R2 |
| Printer #VI-C, G123–G00, Three Sheets, Ink Lots Y and Z, Same tape roll | 6.40 | 1.05 | 0.70 | 0.9999 |
| Printer #VI-B and #VI-C, G223, G173, G127, Four Sheet, Ink Lots X and Z, Three Rolls as described in the text | 7.10 | 1.06 | 0.27 | 0.9998 |
| Substrate | Mean | SD a | Range | n b | Blank, Mean ± SD (Range) |
|---|---|---|---|---|---|
| − 880 nm − | |||||
| AE33 c (Roll 16 d) | 101.1 | 2.27 | 6.58 | 23 | −0.07 ± 0.39 (1.59) |
| QFF e | 110.3 | 10.9 | 32.5 | 11 | 2.15 ± 2.42 (8.79) |
| PTFE with support ring f | 38.4 | 0.43 | 1.02 | 4 | −0.14 ± 1.05 (2.43) |
| Zefluor g | 43.9 | 5.71 | 13.4 | 4 | −0.02 ± 0.19 (0.46) |
| Teflon (TF-1000) h | 51.5 | 4.84 | 10.2 | 4 | 0.10 ± 0.13 (0.30) |
| Polypropylene i | 64.8 | 3.16 | 4.46 | 2 | 0.16 ± 0.27 (0.38) |
| Cellulose j | 121.8 | 0.48 | 0.68 | 2 | 0.70 ± 0.31 (0.44) |
| − 370 nm − | |||||
| AE33 c (Roll 16 d) | 84. 7 | 2.51 | 9.40 | 23 | 0.20 ± 0.27 (1.01) |
| QFF e | 118.3 | 14.4 | 40.9 | 10 | 4.34 ± 2.76 (8.87) |
| PTFE with support ring f | 38.4 | 0.54 | 1.22 | 4 | −0.44 ± 1.06 (2.49) |
| Zefluor g | 45.2 | 6.13 | 14.4 | 4 | 0.52 ± 0.56 (1.20) |
| Teflon (TF-1000) h | 55.7 | 6.01 | 12.9 | 4 | 0.46 ± 1.38 (3.05) |
| Polypropylene i | 71.3 | 6.02 | 8.51 | 2 | 0.22 ± 0.04 (0.06) |
| Cellulose j | 147.9 | 1.22 | 1.72 | 2 | 0.60 ± 0.49 (0.69) |
Publisher’s Note: MDPI stays neutral with regard to jurisdictional claims in published maps and institutional affiliations. |
© 2021 by the authors. Licensee MDPI, Basel, Switzerland. This article is an open access article distributed under the terms and conditions of the Creative Commons Attribution (CC BY) license (https://creativecommons.org/licenses/by/4.0/).
Share and Cite
Solomon, P.A.; Hyatt, A.-M.; Hansen, A.D.A.; Schauer, J.J.; Hyslop, N.P.; Watson, J.G.; Doraiswamy, P.; Presler-Jur, P. Methodology to Create Reproducible Validation/Reference Materials for Comparison of Filter-Based Measurements of Carbonaceous Aerosols That Measure BC, BrC, EC, OC, and TC. Metrology 2021, 1, 142-165. https://doi.org/10.3390/metrology1020010
Solomon PA, Hyatt A-M, Hansen ADA, Schauer JJ, Hyslop NP, Watson JG, Doraiswamy P, Presler-Jur P. Methodology to Create Reproducible Validation/Reference Materials for Comparison of Filter-Based Measurements of Carbonaceous Aerosols That Measure BC, BrC, EC, OC, and TC. Metrology. 2021; 1(2):142-165. https://doi.org/10.3390/metrology1020010
Chicago/Turabian StyleSolomon, Paul A., Anna-Marie Hyatt, Anthony D. A. Hansen, James J. Schauer, Nicole P. Hyslop, John G. Watson, Prakash Doraiswamy, and Paige Presler-Jur. 2021. "Methodology to Create Reproducible Validation/Reference Materials for Comparison of Filter-Based Measurements of Carbonaceous Aerosols That Measure BC, BrC, EC, OC, and TC" Metrology 1, no. 2: 142-165. https://doi.org/10.3390/metrology1020010
APA StyleSolomon, P. A., Hyatt, A.-M., Hansen, A. D. A., Schauer, J. J., Hyslop, N. P., Watson, J. G., Doraiswamy, P., & Presler-Jur, P. (2021). Methodology to Create Reproducible Validation/Reference Materials for Comparison of Filter-Based Measurements of Carbonaceous Aerosols That Measure BC, BrC, EC, OC, and TC. Metrology, 1(2), 142-165. https://doi.org/10.3390/metrology1020010

