Next Article in Journal
Ethical Issues Among Medical Professionals During the COVID-19 Pandemic: An Indian Cross-Sectional Study
Previous Article in Journal
Interleukin-6 Gene Polymorphisms (rs1800796, rs1800797, and rs2069845) and Susceptibility to Severe COVID-19 in Southern Brazil
 
 
Due to scheduled maintenance work on our servers, there may be short service disruptions on this website between 11:00 and 12:00 CEST on March 28th.
Font Type:
Arial Georgia Verdana
Font Size:
Aa Aa Aa
Line Spacing:
Column Width:
Background:
Article

Glucocorticoid Resistance in COVID-19: Endocrine–Inflammatory Associations in a Cross-Sectional Study

1
Clinic of Endocrinology and Metabolic Diseases, University Hospital “Dr G. Stranski”, 5800 Pleven, Bulgaria
2
Department of Cardiology, Pulmonology, Endocrinology and Rheumatology, Medical University, 5800 Pleven, Bulgaria
3
Biology Division, Department of Anatomy, Histology, Cytology and Biology, Medical University, 5800 Pleven, Bulgaria
4
Clinical Laboratory Division, Allergology and Clinical Laboratory, Department of Clinical Immunology, Medical University, 5800 Pleven, Bulgaria
*
Author to whom correspondence should be addressed.
COVID 2026, 6(3), 47; https://doi.org/10.3390/covid6030047
Submission received: 1 February 2026 / Revised: 8 March 2026 / Accepted: 11 March 2026 / Published: 13 March 2026
(This article belongs to the Section COVID Clinical Manifestations and Management)

Abstract

Coronavirus disease 2019 (COVID-19) is associated with systemic inflammation and immune dysregulation, potentially affecting hypothalamic–pituitary–adrenal (HPA) axis function and glucocorticoid signaling. However, the dynamics and clinical relevance of these alterations across different disease phases remain insufficiently defined. In this cross-sectional observational study, 101 participants were divided into three groups: patients with active COVID-19 (n = 33), individuals ≥ 6 months post-COVID-19 (n = 35), and a reference group of healthy individuals (n = 33). Serum cortisol, circulating glucocorticoid receptor alpha (GRα), and selected cytokines were measured. Statistical analysis included parametric and non-parametric tests, multivariable generalized linear models adjusted for age and sex, correlation analysis, and receiver operating characteristic (ROC) analysis. Lower serum cortisol levels were observed in approximately two-thirds of patients during the acute phase. Circulating GRα concentrations demonstrated a significant gradient across groups, with the lowest levels in active infection and partial restoration post-COVID. Active COVID-19 status remained independently associated with reduced GRα levels after adjustment for age and sex. The cytokine profile, including interleukin-17A (IL-17A), tumor necrosis factor-alpha (TNF-α), and interleukin-10 (IL-10), provided a mechanistic context for inflammation-associated modulation of glucocorticoid signaling, most evident during acute infection. Significant correlations between cortisol, GRα, and inflammatory mediators were observed only in this phase. ROC analysis demonstrated a high degree of statistical separation between active COVID-19 and healthy individuals (AUC 0.942; 95% CI: 0.878–1.000). Given the predefined group structure and modest sample size, these findings should be considered exploratory. Overall, the results support the presence of dynamic and potentially reversible immune–endocrine dysregulation during and after SARS-CoV-2 infection. Further validation in larger prospective cohorts is required.

1. Introduction

Coronavirus disease 2019 (COVID-19), caused by Severe Acute Respiratory Syndrome Coronavirus 2 (SARS-CoV-2), has emerged as a complex multisystem disease characterized by profound immune dysregulation and a systemic inflammatory response that extends beyond the classical respiratory manifestations [1].
The clinical severity of the disease is determined by the nature and intensity of the host immune response, including the development of the so-called “cytokine storm.” This phenomenon is characterized by uncontrolled hyperproduction of pro-inflammatory mediators, such as interleukin-6 (IL-6), tumor necrosis factor-alpha (TNF-α), interleukin-17A (IL-17A), and other cytokines, which contribute to systemic inflammation, endothelial dysfunction, and multiorgan injury [2].
While the hyperactivated immune response underlies this pathological cascade, the endocrine system—and particularly the hypothalamic–pituitary–adrenal (HPA) axis—plays a pivotal yet often underappreciated role in regulating inflammation and maintaining homeostasis in critically ill patients [3]. The HPA axis represents the principal neuroendocrine mechanism through which the organism adapts to systemic stress. Under physiological conditions, its activation and the subsequent increase in cortisol secretion limit excessive immune activation, thereby protecting against tissue damage [4].
Glucocorticoids, in turn, exert a broad spectrum of pleiotropic effects on the immune system, including suppression of excessive pro-inflammatory cytokine secretion and maintenance of immune balance [5]. As Paul et al. [6] point out, SARS-CoV-2 may disrupt this regulatory mechanism. Accumulating evidence from experimental and clinical studies indicates that the virus’s positive single-stranded RNA enters cells via angiotensin-converting enzyme 2 (ACE2), which is expressed not only in pulmonary pneumocytes but also in arterial and venous endothelial cells of the adrenal glands, as well as in the kidneys, cardiovascular system, and central nervous system [1,3]. Increased ACE2 expression in the adrenal glands suggests a potential organotropism of the virus toward these structures, which may result in direct structural damage and subsequent disturbances in hormonal secretion [7]. Leyendecker et al. [8] found that the adrenal cortex not only expresses ACE2, but also transmembrane serine protease 2 (TMPRSS2), which also plays a critical role in viral entry into cells. The synergistic action of ACE2 and TMPRSS2 facilitates more efficient cellular entry of SARS-CoV-2 into cortical cells [8]. The expression of both key components has been established in the zona fasciculata and zona reticularis [7,9], as well as in epithelial, mesenchymal, and endothelial cells [10]. These findings identify the HPA axis as one of the most vulnerable endocrine structures during SARS-CoV-2 infection and lay the foundation for subsequent functional impairment [10]. Autopsy data further demonstrate the presence of viral material, inflammatory infiltration, necrosis, adrenal infarction, microthrombosis, and hemorrhagic lesions within the adrenal glands—findings that support the concept of SARS-CoV-2–induced adrenalitis and potential primary adrenal insufficiency. Cases of acute adrenal infarction have also been reported in severe forms of the disease [6]. Moreover, a study by Lax et al. [11] identified pronounced morphological alterations, including cellular hyperplasia in the zona fasciculata of the adrenal cortex in a substantial proportion of cases, suggesting potential impairment of adrenal steroidogenic function.
According to Leow et al. [12], Severe Acute Respiratory Syndrome Coronavirus (SARS-CoV) and SARS-CoV-2 can affect the HPA axis through mechanisms of neuroviral tropism. Autopsy studies in SARS-CoV infection demonstrate the presence of edema and neuronal degeneration in combination with the detection of viral genomic sequences in the hypothalamus. Given the expression of ACE2 in the hypothalamus and pituitary gland, these structures become direct viral targets, with the virus presumably entering via the hematogenous route or through the lamina cribrosa, with the potential development of central hypocortisolism [3].
The combination of direct viral tropism and the systemic inflammatory response of the host may lead to a broad spectrum of functional disturbances, ranging from critical illness–related corticosteroid insufficiency (CIRCI) to states of maladaptive hypercortisolism [13,14].
Clinical data suggest that SARS-CoV-2 infection may be associated with transient or functional disturbances of the HPA axis, particularly in the context of severe systemic inflammatory responses [15].
Another potential pathogenetic mechanism associated with HPA axis dysfunction in COVID-19 is molecular mimicry between structural epitopes of SARS-CoV-2 and adrenocorticotropic hormone (ACTH) [3]. Due to similarities in amino acid sequences, the immune response directed against viral antigens may lead to the generation of antibodies that cross-react with ACTH [16]. Binding of these antibodies to ACTH may reduce its biological activity or accelerate its clearance, resulting in impaired stimulation of the adrenal cortex despite preserved or even increased hormone secretion. In the setting of a severe systemic inflammatory response, this may result in relative or functional cortisol insufficiency, characterized by an inadequate cortisol response relative to the increased metabolic and immunological demands of the organism, even in the presence of normal or elevated serum cortisol levels [17,18]. Although acute systemic stress is physiologically expected to increase cortisol levels, clinical outcomes depend not only on the absolute hormone concentration but also to a significant extent on tissue sensitivity to its action [19]. The anticipated increase in corticosteroid levels is not always associated with an adequate biological effect, pointing to the possibility of glucocorticoid resistance—a phenomenon linked to disturbances in nucleocytoplasmic transport and reduced nuclear translocation of the glucocorticoid receptor (GR), which exists in two main isoforms: glucocorticoid receptor alpha (GRα) and glucocorticoid receptor beta (GRβ) [20,21]. GRα represents the functionally active isoform that mediates the classical genomic and non-genomic anti-inflammatory effects of cortisol and determines the effectiveness of glucocorticoid signaling. In contrast, GRβ does not bind glucocorticoids and acts as a dominant-negative regulator by suppressing the transcriptional activity of the GRα subunit, thereby contributing to the development of glucocorticoid resistance [20].
It is well established that glucocorticoids regulate immune responses through complex genomic and non-genomic mechanisms that synergistically coordinate the suppression of inflammation and the maintenance of immune homeostasis. The genomic effects of glucocorticoids are primarily mediated by the α subunit of the GR, which, upon ligand binding, translocates to the nucleus and regulates the transcription of hundreds of genes. Activated GRα suppresses the expression of numerous pro-inflammatory mediators, including interleukin-1β (IL-1β), IL-6, TNF-α, IL-17A, interferon-γ (IFN-γ), and granulocyte–macrophage colony-stimulating factor (GM-CSF), through both direct and indirect mechanisms of transcriptional repression [22]. Concurrently, GRα is also involved in the induction of anti-inflammatory and immunoregulatory factors, such as interleukin-10 (IL-10) and transforming growth factor-β (TGF-β) [23]. The molecular basis of these genomic effects includes the presence of widely distributed negative glucocorticoid response elements (nGREs) within the promoter regions of multiple cytokine genes, enabling direct repression of their transcription by the ligand-bound glucocorticoid receptor. These processes are time-dependent and require hours to develop, as they are mediated through changes in gene expression and chromatin organization [5]. In contrast, non-genomic effects occur rapidly (within seconds to minutes) and involve interactions with the cell membrane, modulation of ion channels, inhibition of mitogen-activated protein kinase (MAPK) signaling, and alterations in cell migration and adhesion [24]. These rapid mechanisms allow glucocorticoids to suppress the acute inflammatory response before genomic changes take place, and together, both modes of action underpin their complex role in immune regulation [25].
Despite the availability of data suggesting direct involvement of adrenal function during SARS-CoV-2 infection, it remains unclear why elevated cortisol levels in a subset of patients do not result in the expected anti-inflammatory effect. Previous studies have reported the presence of specific cytokines capable of modulating GRα expression and contributing to the development of relative or functional glucocorticoid resistance [19]. In this context, immuno-endocrine interactions are not determined solely by serum cortisol concentrations, but also by the effectiveness of glucocorticoid signaling mediated by GRα. Consequently, the cytokine environment may be regarded as a functional profile reflecting the degree of immuno-endocrine dysregulation [26]. Among cytokines, IL-17A, TNF-α, and IL-10 have a central role as functional markers of inflammation-mediated effects on adrenal and glucocorticoid regulation [5,26]. Their assessment provides valuable insight into the effectiveness of glucocorticoid signaling [26].
One of the key pro-inflammatory mediators reported to be elevated during the acute phase of COVID-19 is TNF-α. Evidence indicates that TNF-α has the capacity to suppress GRα expression [2], which may lead to reduced tissue sensitivity to cortisol, irrespective of its elevated circulating levels [5]. Such a mechanism could contribute to inadequate control of the inflammatory response and may be associated with a more severe clinical course of the disease [27].
IL-17A, as a key effector cytokine of the Th17 axis, is closely associated with persistent and difficult-to-control inflammation [26]. Elevated IL-17A levels have been reported both during the acute phase of SARS-CoV-2 infection and in the post-COVID-19 period, suggesting its potential involvement in the maintenance of prolonged immune activation and subsequent tissue injury [28]. Evidence indicates that IL-17A can stimulate IL-6 production by endothelial cells, including within highly vascularized structures such as the adrenal gland, where it may contribute to the development of local endotheliitis, microthrombosis, and impaired steroidogenesis [29]. In addition, IL-17A has been shown to induce the release of a broad range of cytokines and chemokines, including IL-1, IL-6, TNF-α, macrophage inflammatory protein-2 (MIP-2), interleukin-8 (IL-8), and interferon-induced protein-10 (IP-10), thereby promoting neutrophil chemotaxis and the formation of a sustained neutrophilic infiltrate [30]. In this context, IL-17A, often acting in synergy with TNF-α, emerges as one of the most potent modulators of glucocorticoid sensitivity. Experimental data demonstrate that Th17 cells can mediate steroid-resistant inflammation, manifested as functionally ineffective glucocorticoid signaling despite preserved expression and nuclear translocation of the GR. These findings position IL-17A not only as a marker of inflammation but also as a potential key mediator in the development and maintenance of glucocorticoid insensitivity [26].
It has been reported that IL-10 production is partially regulated by cortisol signaling. Under physiological conditions, IL-10 exerts a strong inhibitory effect on TNF-α and IL-17A, thereby contributing to the restoration of immune homeostasis [5].
On this basis, the aim of the present study was to elucidate the extent to which the inflammatory cytokine profile in COVID-19 is associated with alterations in adrenal function and glucocorticoid sensitivity, through the analysis of serum cortisol levels and circulating GRα levels.

2. Materials and Methods

2.1. Study Design

The present study is an observational study with a cross-sectional analytical approach and included a total of 101 participants. All enrolled individuals were hospitalized at the Clinics of Pulmonology and Phthisiology and Endocrinology and Metabolic Diseases of Dr. Georgi Stranski University Hospital, Pleven, according to their clinical status and disease phase. The diagnosis of COVID-19 was established based on a positive reverse transcription–polymerase chain reaction (RT-PCR) test.

2.2. Studied Population

Based on infection history and clinical status, participants were stratified into three groups. Group 1 (n = 33) included patients with active COVID-19 infection confirmed by a positive RT-PCR test. Group 2 (n = 35) comprised individuals who had recovered from COVID-19, with documented evidence of prior infection, and were enrolled at least 6 months after the acute phase of the disease. The reference Group 3 (n = 33) consisted of individuals without a history of COVID-19, with a negative RT-PCR test and no evidence of prior adrenal pathology.
The immune–inflammatory profile was assessed through the measurement of key cytokines involved in the immune response in COVID-19, including IL-17A, IL-10, and TNF-α. These parameters were analyzed in conjunction with serum cortisol and circulating GRα levels in order to characterize immune–endocrine interactions during the acute and post-infectious phases of COVID-19.

2.2.1. Inclusion Criteria

Group 1 included patients aged ≥18 years with confirmed active COVID-19 infection, established by a positive RT-PCR test, and no history of prior COVID-19 vaccination.
Group 2 comprised patients with a documented previous COVID-19 infection (positive RT-PCR), who were examined at least 6 months after the acute phase of the disease.
Group 3 included individuals without evidence of prior COVID-19 infection, based on both medical history and a negative RT-PCR test at the time of enrollment.

2.2.2. Exclusion Criteria

For all three groups: individuals under 18 years of age, pregnant or breastfeeding women, as well as patients receiving or having received systemic glucocorticoid therapy (oral or parenteral) at doses exceeding 0.5–1.0 mg/kg/day of methylprednisolone (or equivalent) within the last 4–6 weeks prior to study enrollment, irrespective of treatment duration. In addition, individuals receiving immunosuppressive agents, biological therapy, or cytostatic drugs were also excluded.
For Group 2, additional exclusion criteria included individuals in the convalescent phase within less than 6 months after acute SARS-CoV-2 infection, patients with clinical features of Long COVID syndrome, individuals with active autoimmune diseases, type 2 diabetes mellitus, severe decompensated cardiovascular, respiratory, gastrointestinal, or renal diseases, as well as patients with active malignant disease.
For Group 3, an additional exclusion criterion was a documented history of prior COVID-19 infection.

2.3. Methods

In participants with active COVID-19 infection (Group 1), blood samples were collected on the day of hospitalization and before the initiation of any therapy, including antibiotic treatment, corticosteroid therapy, or oxygen supplementation.
In patients in the post-infectious period (Group 2), as well as in individuals without evidence of prior COVID-19 infection (Group 3), venous blood samples were obtained at the time of their initial enrollment in the study.
In all groups, blood was collected by venipuncture of the cubital vein and subsequently distributed into two Vacutainer tubes. Following standard centrifugation, the separated serum and plasma were stored at −80 °C until laboratory analyses were performed. All samples were processed under identical pre-analytical conditions and thawed only once prior to analysis. Repeated freeze–thaw cycles were strictly avoided.
The immune–inflammatory parameters analyzed included IL-17A, IL-10, and TNF-α. Their serum concentrations were determined using enzyme-linked immunosorbent assay (ELISA) with commercially available kits from Elabscience Biotechnology Inc. (Houston, TX, USA). All analyses were performed in the laboratory of the Biology Unit at the Department of Anatomy, Histology, Cytology, and Biology at the Medical University of Pleven, in accordance with the manufacturer’s instructions. Quantitative determination was carried out automatically using calibration curves generated from known standards.
Serum cortisol concentrations were measured using an electrochemiluminescence immunoassay (ECLIA) on an automated Cobas e 411 analyzer (Roche Diagnostics GmbH, Mannheim, Germany) at the Department of Clinical Laboratory, Clinical Immunology, and Allergology, Dr. Georgi Stranski University Hospital. The method is based on a specific antigen–antibody interaction, in which the intensity of the generated signal is proportional to the hormone concentration. Serum cortisol levels were interpreted according to the reference range of the performing laboratory (171–536 nmol/L).
Serum GRα concentrations were quantified using a commercially available sandwich ELISA kit (Human GRα ELISA Kit, Elabscience Biotechnology Co., Ltd., Wuhan, China; Catalog No. E-EL-H1998). The assay detection range was 0.313–20 ng/mL, with a minimum detectable concentration of 0.188 ng/mL. According to the manufacturer, the intra- and inter-assay coefficients of variation were <10%. The assay is based on a sandwich ELISA principle using a microplate pre-coated with a monoclonal antibody specific for human GRα, followed by detection with a biotinylated antibody and HRP conjugate. Optical density was measured at 450 nm using a multimode microplate reader (Mithras LB 943, Berthold Technologies, Bad Wildbad, Germany), and concentrations were calculated from a standard curve generated using recombinant human GRα.
GRα is classically described as an intracellular receptor; therefore, the biological interpretation of circulating (serum) GRα requires caution. The ELISA quantitatively detects circulating immunoreactive GRα protein present in serum. Given the predominantly intracellular localization of GRα, the biological origin and functional relevance of circulating GRα remain incompletely understood. Thus, serum GRα should be interpreted as a circulating research marker rather than a direct measure of intracellular receptor abundance or functional glucocorticoid signaling activity.

2.4. Applied Serum Cortisol Thresholds

CIRCI represents a state of relative or absolute corticosteroid insufficiency that occurs in critically ill patients as a result of impaired regulation of the HPA axis and/or tissue resistance to glucocorticoid action [31]. According to the consensus of the Society of Critical Care Medicine (SCCM) and the European Society of Intensive Care Medicine (ESICM), the diagnosis of CIRCI is established in the presence of one of the following criteria: a random serum cortisol level < 10 μg/dL (<276 nmol/L) or an inadequate cortisol response to an ACTH stimulation test (250 μg), defined as an increase in cortisol of <9 μg/dL (<248 nmol/L) at 60 min. These criteria are applied in the context of critical and life-threatening conditions associated with a severe systemic inflammatory response, including sepsis, septic shock, and acute respiratory distress syndrome (ARDS), in which the physiological demand for cortisol is markedly increased. In patients with COVID-19, CIRCI may manifest with either low cortisol levels or clinical features of an inadequate hormonal response despite normal or even elevated serum cortisol concentrations [32].
In the present study, the assessment was based on single random serum cortisol measurements without dynamic ACTH stimulation testing. Therefore, the applied threshold was used descriptively to characterize cortisol profiles consistent with values reported in the CIRCI literature, rather than to establish a definitive clinical diagnosis of CIRCI.

2.5. Statistical Analysis

Statistical analyses were performed using IBM SPSS Statistics, version 25. Quantitative variables were expressed as mean ± standard deviation (Mean ± SD) for normally distributed data and as median with interquartile range (Me; IQR) for non-normally distributed data. The normality of data distribution for each variable was assessed using the Shapiro–Wilk and Kolmogorov–Smirnov tests. One-way analysis of variance (one-way ANOVA) was applied to compare age and other normally distributed quantitative variables among the three independent groups. For comparisons of non-normally distributed quantitative variables, the Mann–Whitney U test was used for two independent samples, and the Kruskal–Wallis test was applied for comparisons among the three study groups. When statistically significant differences were identified (p ≤ 0.05), post hoc pairwise comparisons were performed using the Mann–Whitney U test with Bonferroni correction, with an adjusted threshold for statistical significance set at p ≤ 0.0167 for three pairwise comparisons.
Effect size (r) for the Mann–Whitney U test was calculated using the formula r = Z/√N, where Z represents the standardized Z value and N denotes the total number of observations in the compared groups. Ninety-five percent confidence intervals (95% CI) for r were estimated using Fisher’s z-transformation, allowing a more accurate assessment of the magnitude and reliability of the observed effect.
Additionally, age-stratified descriptive analyses were performed within clinical groups using a cut-off of 60 years to explore potential age-related differences in the evaluated endocrine and inflammatory parameters.
To account for potential confounding due to baseline differences in age and sex distribution among the study groups, multivariable generalized linear models (GLMs) were constructed. Given the positively skewed distribution of several biological parameters, models were specified using a Gamma distribution with a log link function. Group status (active COVID-19, post-COVID, reference) was included as the primary independent variable, while age and sex were entered as covariates. Adjusted estimates with corresponding p-values were reported.
To evaluate associations between quantitative immunological, inflammatory, and hormonal parameters, Spearman’s rank correlation coefficient was applied, as appropriate for non-normally distributed data. Receiver operating characteristic (ROC) analysis was performed to assess the discriminative and diagnostic value of serum GRα concentrations.

2.6. Ethical Aspects

The study was conducted after obtaining ethical approval from the Ethics Committee for Scientific Research at the Medical University of Pleven (Protocol No. 72/23.06.2023). All procedures were performed in accordance with the ethical principles outlined in the Declaration of Helsinki. Written informed consent was obtained from all participants prior to their inclusion in the study, including consent for the publication of de-identified clinical data. Participation in the study was entirely voluntary, and no form of coercion or psychological pressure was applied.

2.7. Limitations

An important limitation of the study is that for a substantial proportion of participants in the post-COVID-19 group, the acute infection had been managed in the outpatient setting and detailed clinical documentation regarding disease severity was not available. In addition, the relatively small sample size within each group may limit statistical robustness and generalizability. Although age- and sex-adjusted multivariable models were applied, inclusion of additional covariates such as major comorbidities and medication use was restricted by sample size constraints. Fully adjusted models could therefore not be reliably constructed, and residual confounding cannot be entirely excluded when assessing the independent effect of COVID-19 status on endocrine and inflammatory parameters.
Second, due to the cross-sectional design and the absence of dynamic adrenal function testing (e.g., ACTH stimulation), dynamic alterations of HPA axis activity could not be assessed. Serum cortisol was measured at a single time point, and blood sampling was not standardized according to the time of day, which may influence circulating cortisol levels because of their physiological diurnal variation. Although random cortisol values were compared with thresholds reported in the CIRCI literature for analytical purposes, CIRCI represents a clinical syndrome that requires comprehensive clinical and biochemical evaluation. Therefore, the present findings should be interpreted as reflecting relative cortisol patterns across the studied groups rather than definitive evidence of impaired adrenal function.
Third, the biological interpretation of circulating GRα measurements warrants caution. Although ELISAs enable quantitative determination of serum GRα protein concentrations, the receptor is primarily intracellular, and data regarding circulating GRα levels remain limited. Therefore, these findings should be regarded as exploratory and hypothesis-generating.
Fourth, the absence of a hospitalized non-COVID-19 comparison group limits conclusions regarding whether the observed discriminative performance is specific to COVID-19 or reflects broader features of acute illness.
Fifth, vaccinated individuals were excluded from the study population. While this approach allowed evaluation of immune–endocrine responses in a more immunologically homogeneous study population, it may limit the generalizability of the findings to populations with prior SARS-CoV-2 vaccination.
Finally, the study was conducted during the predominance of Omicron sub-variants of SARS-CoV-2. The emergence of new viral lineages may limit extrapolation of these findings to future variants with potentially distinct immunological characteristics.
Despite these limitations, the study provides novel insights into immune–endocrine dysregulation involving the HPA axis during and after SARS-CoV-2 infection and highlights key mechanisms underlying disturbances in immune–endocrine regulation in both acute and post-COVID-19 phases.

3. Results

3.1. Demographic and Clinical Characteristics of the Study Groups

This study analyzes two main demographic characteristics—the age and gender of the study participants. The descriptive characteristics of the participants’ age are presented in Table 1.
As shown in Table 1, the three studied groups differ significantly in terms of age—F (2,91) = 30.407; p = 0.000; η2 = 0.41. In group 1 with active COVID-19 infection, the average age is 69.88 ± 11.89 years (min 48 years and max 87 years). The participants in group 2 with post-COVID-19 are significantly younger, with a mean age of 45.24 ± 14.47 years (min 20 years and max 74 years). The age characteristics of the individuals in the reference group are similar, with an average age of 46.73 ± 13.01 years (min 21 years and max 71 years).
The gender distribution shows a strong predominance of females in reference group 3 (90.9%). In group 1 with active COVID-19 infection, women account for just over 50%, and in post-COVID-19 group 2, they account for over two-thirds (68.6%) (Table 2).
The baseline clinical characteristics of patients in Group 1 (active COVID-19) and Group 2 (post-COVID) are summarized in Table 3.
The severity of COVID-19 infection was classified according to the World Health Organization (WHO) criteria [33] for all patients in Group 1 and, in Group 2, for those individuals with available clinical documentation on disease severity. Among the 33 patients in Group 1, 6 (18.2%) had mild disease, 8 (24.2%) moderate disease, 16 (48.5%) severe disease, and 3 (9.1%) critical disease. The overall case fatality rate in this group was 6.1% (2/33 patients). Regarding comorbidities, arterial hypertension (42.4%) and type 2 diabetes mellitus (39.4%) were the most frequently observed conditions. Ischemic heart disease and chronic lung disease were present in 30.3% of patients, while hematological disorders were documented in 12.1% of cases. Chronic liver disease was rare (3.0%), and no patients had chronic kidney disease. Smoking (21.2%) and regular alcohol consumption (27.3%) were also recorded as relevant risk factors.
Group 2 included 35 individuals who had recovered from COVID-19 infection. Among them, 3 (8.6%) reported a mild course of the disease, 7 (20.0%) a moderate course, and 1 (2.9%) a severe course. For the remaining 24 participants, the infection had been managed in the outpatient setting, and detailed clinical documentation regarding disease severity was not available. The most common comorbidities in this group were arterial hypertension and prediabetes (both 14.3%). Ischemic heart disease and hematological disorders were each present in 1 participant (2.9%). Smoking was reported in 31.4% of individuals, while regular alcohol consumption was recorded in 8.6%.

3.2. Between-Group Differences in Serum Cortisol Levels

Comparative analysis among the three independent groups revealed statistically significant differences in serum cortisol levels (Kruskal–Wallis test: H = 21.299, df = 2, p = 0.000). The lowest values were observed in patients with active COVID-19 infection, with a median of 169.30 nmol/L and IQR = 268.85. Higher values were noted in the post-COVID-19 group (mean ± SD = 297.18 ± 153.31 nmol/L), whereas the highest concentrations were recorded in the reference group of non-infected individuals (mean ± SD = 486.46 ± 194.71 nmol/L).
Subsequent post hoc analysis using the Mann–Whitney test revealed statistically significant differences between Group 1 and Group 3. As presented in Table 4, patients with active infection exhibited lower cortisol levels (p = 0.000; r = 0.51 (95% CI: 0.29–0.68)). A statistically significant difference was also observed between Group 2 and Group 3 (p = 0.000; r = 0.52 (95% CI: 0.30–0.69)). In contrast, the difference between Group 1 and Group 2 did not reach statistical significance after Bonferroni correction (p = 0.114; r = 0.20 (95% CI: 0.05–0.43)), although a trend toward lower cortisol levels during the acute phase of infection was observed.
In addition, age-stratified analysis within Group 1 revealed a difference in cortisol concentrations (Table 5). Patients aged ≤ 60 years exhibited lower cortisol levels (Me = 136.45; IQR = 214.56), whereas those aged > 60 years demonstrated higher values (Me = 274.8; IQR = 236.30), accompanied by greater interindividual variability. Although older patients demonstrated numerically higher cortisol levels, the difference between age subgroups was not statistically significant (p = 0.363).
This observed age-related variation suggested a potential confounding effect of age on cortisol levels. To account for this potential confounding, generalized linear models with a Gamma distribution and log link were applied, additionally adjusting for age and sex imbalance between groups. After adjustment, cortisol levels remained significantly lower in both the active COVID-19 group and the post-COVID-19 group compared with the reference group of healthy individuals. Specifically, active COVID-19 status was associated with a significant reduction in cortisol levels (B = −0.65; 95% CI: −1.11 to −0.20; p = 0.005), corresponding to a 0.52-fold decrease (95% CI: 0.33–0.82). Similarly, post-COVID-19 status was associated with lower cortisol levels (B = −0.49; 95% CI: −0.87 to −0.13; p = 0.008), corresponding to a 0.61-fold decrease (95% CI: 0.42–0.88). Neither age nor sex demonstrated an independent association with cortisol levels in the adjusted model.
Additional intragroup analysis of patients with active COVID-19 infection revealed marked variability in random serum cortisol levels. Reduced cortisol concentrations below the threshold frequently applied in the CIRCI literature (<10 μg/dL [276 nmol/L]), as referenced in SCCM and ESICM recommendations, were observed in 20 patients (60.6%). Elevated cortisol levels were identified in 4 patients (12.1%), while the remaining 9 patients (27.3%) had values within the laboratory reference range (Figure 1).
Given that the present study was based on single random cortisol measurements without dynamic ACTH stimulation testing, these findings do not allow for a definitive diagnosis of CIRCI but rather describe a cortisol profile consistent with thresholds reported in critical care literature. Furthermore, due to the acute clinical setting at hospital admission and the need for prompt diagnostic and therapeutic decision-making, additional dynamic hormonal testing was not feasible.
In the post-COVID-19 group, 17.1% of patients demonstrated decreased cortisol levels, whereas in the majority (74.3%), cortisol concentrations remained within the reference range. The mean cortisol level in Group 2 was 297.18 nmol/L, which was higher than that observed in patients with active infection (269.56 nmol/L) but remained lower than that measured in the healthy reference group (486.46 nmol/L).
Age-stratified analysis showed numerically higher mean cortisol concentrations in participants aged > 60 years (328.00 ± 132.14 nmol/L) compared with those aged ≤ 60 years (288.18 ± 160.40 nmol/L); however, this difference did not reach statistical significance (p = 0.532) (Table 5).

3.3. Between-Group Differences in Serum GRα Concentrations

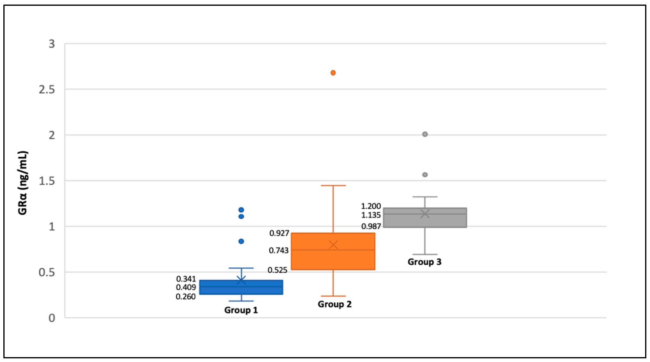
Between-group comparisons demonstrated a statistically significant difference in serum GRα concentrations among the three studied groups (H = 50.452, df = 2, p = 0.000). Significantly lower serum GRα concentrations were observed in patients with active COVID-19 infection (Me = 0.341; IQR = 0.15). In the post-COVID group, higher values were recorded (Me = 0.743; IQR = 0.49), whereas the highest levels were observed in the reference group of healthy individuals (Me = 1.135; IQR = 0.21). These intergroup differences are illustrated in Figure 2.
Between-group comparisons performed using subsequent post hoc analysis with the Mann–Whitney test confirmed statistically significant differences among all examined group pairs (Table 4). Significantly lower serum GRα concentrations were observed in patients with active infection compared with the reference group (Group 1 vs. Group 3: p = 0.000; r = 0.76 (95% CI: 0.62–0.85)). The comparison between Groups 2 and 3 also demonstrated a statistically significant difference (p = 0.000; r = 0.57 (95% CI: 0.37–0.72)), with lower values observed in Group 2. A statistically significant difference was likewise found between Group 1 and Group 2 (p = 0.000; r = 0.58 (95% CI: 0.38–0.72)).
Age-stratified analysis revealed a pattern in circulating GRα concentrations. In the active COVID-19 group (Group 1), patients aged ≤ 60 years exhibited slightly higher median GRα levels (Me = 0.356; IQR = 0.174) compared with those aged > 60 years (Me = 0.341; IQR = 0.150). A similar tendency was observed in the post-COVID-19 group (Group 2), where younger participants demonstrated higher median GRα concentrations (Me = 0.743; IQR = 0.400) relative to older individuals (Me = 0.650; IQR = 0.479). However, these differences did not reach statistical significance in either group (Group 1: p = 0.406; Group 2: p = 0.672).
These age-related differences suggested a potential confounding effect of age on circulating GRα concentrations. Therefore, generalized linear models were applied, adjusting for age and sex, to evaluate the independent association between COVID-19 status and serum GRα levels. Consistent with the findings for cortisol, serum GRα concentrations remained significantly reduced after adjustment. Active COVID-19 was independently associated with lower serum GRα concentrations (B = −1.11; 95% CI: −1.47 to −0.73; p < 0.001), corresponding to a 0.33-fold decrease (95% CI: 0.23 to 0.48). Post-COVID-19 status was also associated with reduced serum GRα levels (B = −0.36; 95% CI: −0.63 to −0.09; p = 0.009), corresponding to a 0.70-fold decrease (95% CI: 0.53 to 0.91).
To evaluate the discriminative value of serum GRα concentrations, ROC curve analysis was performed comparing patients with active COVID-19 infection (n = 31) and healthy reference subjects (n = 32).
In all three groups, serum GRα demonstrated strong discriminative performance with an area under the curve (AUC) of 0.942 (SE = 0.034; 95% CI: 0.878–1.000; p = 0.000). The optimal cut-off value, determined using the Youden index (sensitivity + specificity − 1), was 0.618 ng/mL, corresponding to a sensitivity of 87.9% and specificity of 100% for distinguishing active COVID-19 cases from healthy individuals (Figure 3).
To explore the potential influence of age on model performance, additional age-stratified ROC analyses were conducted. Among participants aged < 60 years, GRα yielded an AUC of 0.857 (SE = 0.131; 95% CI: 0.600–1.000; p = 0.014). In individuals aged ≥ 60 years, the AUC was 0.952 (SE = 0.052; 95% CI: 0.851–1.000; p = 0.038).
However, given the relatively modest sample size, these findings should be interpreted as exploratory. The observed discriminative performance may be overestimated and warrants validation in larger and clinically heterogeneous groups.
Given the marked reduction in serum GRα concentrations observed in patients with active COVID-19 infection compared with both post-COVID-19 individuals and the healthy reference group, additional analyses were performed to examine whether GRα levels varied according to disease severity within Group 1.
Serum GRα concentrations were stratified by clinical severity (mild, moderate, severe, critical). As presented in Table 6, progressive numerical decrease in mean GRα levels was observed with increasing severity (mild: 0.596 ± 0.350; moderate: 0.410 ± 0.286; severe: 0.353 ± 0.218; critical: 0.346 ± 0.049). However, one-way ANOVA did not demonstrate a statistically significant difference across severity categories (F (3,29) = 1.389, p = 0.266) (Table 7). The calculated effect size was modest (η2 = 0.126), indicating that approximately 12.6% of the variance in GRα levels could be attributed to disease severity.
Given the relatively small sample sizes across severity subgroups, particularly in the critical category (n = 3), these findings should be interpreted with caution. Although the overall difference did not reach statistical significance, the lowest mean GRα value was observed in patients with critical disease (Mean ± SD = 0.346 ± 0.049), while the lowest minimum value (0.181 ng/mL) was recorded in the severe subgroup.

3.4. Between-Group Differences in Inflammatory Cytokine Levels

Statistically significant differences were demonstrated in IL-17A and IL-10 levels among the three studied groups (for IL-17A: Kruskal–Wallis H = 20.739, df = 2, p = 0.000; for IL-10: H = 16.059, df = 2, p = 0.000).
In addition to between-group comparisons of the three cytokines, age-stratified analyses were also performed. Age-stratified comparisons (≤60 vs. >60 years) did not demonstrate statistically significant differences in IL-17A, TNF-α, or IL-10 levels within any study group (all p > 0.05) (Table 5).
According to the comparative analysis, marked differences in serum IL-17A levels were identified among the studied groups. The highest values were observed in the reference group (Me = 29.0; IQR = 11.6), with comparable levels noted in patients with active COVID-19 infection (Me = 28.1; IQR = 3.9). Significantly lower concentrations were detected in the post-COVID-19 group (Me = 25.1; IQR = 5.3). Statistically significant differences were found between Group 1 and Group 2 (p = 0.001; r = 0.43 (95% CI: 0.19–0.61)), as well as between Group 2 and Group 3 (p = 0.000; r = 0.49 (95% CI: 0.27–0.66)) (Table 4).
Although unadjusted intergroup differences were observed, after adjustment, no statistically significant differences were identified between groups. Specifically, IL-17A levels did not differ significantly in the active COVID-19 group compared with the reference group (B = −0.20; 95% CI: −0.65–0.25; p = 0.38), corresponding to a 0.82-fold change (95% CI: 0.52–1.29). Similarly, no significant difference was observed between the post-COVID-19 group and healthy individuals (B = −0.26; 95% CI: −0.60–0.10; p = 0.15), corresponding to a 0.77-fold change (95% CI: 0.55–1.10).
TNF-α exhibited the highest levels in Group 1 (Me = 110.3; IQR = 84.0) compared with the post-COVID-19 group (Me = 59.0; IQR = 76.0) and non-infected individuals (Me = 72.6; IQR = 94.7), although these differences did not reach statistical significance (H = 4.767, df = 2, p = 0.092).
For TNF-α, adjusted analysis likewise did not reveal a statistically significant independent association with group status (active vs. reference group: B = 0.32; 95% CI: −0.17–0.82; fold change 1.38; 95% CI: 0.84–2.26; p = 0.21; post-COVID-19 vs. reference group: B = 0.11; 95% CI: −0.27–0.51; fold change 1.12; 95% CI: 0.76–1.66; p = 0.57).
Against this background, the anti-inflammatory cytokine IL-10 exhibited a distinct distribution pattern among the studied groups in the unadjusted analysis. Patients with active COVID-19 infection showed relatively higher IL-10 levels (Me = 3.2; IQR = 3.0). The post-COVID-19 group was characterized by the lowest IL-10 levels (Me = 2.0; IQR = 0.9), with the difference compared to Group 1 reaching statistical significance (p = 0.001; r = 0.36 (95% CI: 0.11–0.56)). In the reference group of healthy individuals, intermediate IL-10 levels were recorded (Me = 3.0; IQR = 0.9), which were significantly higher than those observed in the post-COVID-19 group (p = 0.001; r = 0.42 (95% CI: 0.19–0.60)).
However, no independent group effect was observed after adjustment for age and sex (active vs. reference group: B = 0.12; 95% CI: −0.37–0.62; fold change 1.13; 95% CI: 0.69–1.85; p = 0.62; post-COVID-19 vs. reference group: B = −0.09; 95% CI: −0.48–0.29; fold change 0.91; 95% CI: 0.62–1.34; p = 0.62).

3.5. Correlations Between Cortisol, GRα, and Key Cytokines in COVID-19

Spearman’s correlation analysis demonstrated statistically significant associations exclusively in Group 1 (Table 7).
In patients with active COVID-19 infection, a moderate positive correlation was observed between serum cortisol and IL-10 levels (r = 0.457, p = 0.016).
A moderate negative correlation was observed between cortisol and serum GRα concentrations (r = −0.371, p = 0.044).
Additionally, serum GRα concentrations were moderately positively correlated with IL-17A levels (r = 0.469, p = 0.012).
No statistically significant correlations were detected in Groups 2 or 3.

4. Discussion

4.1. Demographic and Clinical Characteristics of the Study Groups

The present study evaluated 101 participants distributed across three clinically distinct groups. The groups differed in their demographic composition, with patients with active COVID-19 infection being older (69.9 ± 11.9 years) than both post-COVID-19 individuals and the reference group (approximately 45–47 years; η2 = 0.41), while the latter was predominantly female. As age and sex are known biological variables that may influence immune and endocrine responses, these demographic differences were considered during data interpretation.
The clinical profile of patients with active COVID-19 infection was characterized by a predominance of moderate-to-severe disease, with nearly half of the patients classified as severe (48.5%) and a smaller proportion as critical (9.1%), reflecting a clinically advanced population. The observed burden of cardiometabolic comorbidities—particularly arterial hypertension (42.4%) and type 2 diabetes mellitus (39.4%)—further supports the advanced-risk profile of this group and may have contributed to the predominance of severe clinical forms.
In the post-COVID-19 group, as mentioned in the results section, there was available clinical information for the disease severity only for 11 patients: 3 (8.6%) had experienced a mild course of COVID-19, 7 (20.0%) a moderate course, and 1 (2.9%) a severe course. The burden of comorbidities in this group most commonly included arterial hypertension (14.3%) and prediabetes (14.3%).

4.2. Analysis of Serum Cortisol Levels

The significantly lower cortisol levels observed in patients with active COVID-19 infection compared with the reference group may be associated with alterations in the regulation of the HPA axis during the acute phase of infection. This observation is in line with reports from previous studies describing transient hypocortisolemia in a subset of patients with COVID-19, which has been proposed to result from a combination of direct viral effects on the adrenal cortex, inflammation-mediated modulation of ACTH secretion, and microcirculatory disturbances affecting the adrenal vasculature [6,10].
Age-stratified analysis suggested a numerical difference in cortisol concentrations within the active COVID-19 group, with younger patients (≤60 years) exhibiting lower median levels compared with older individuals. However, this difference did not reach statistical significance. Importantly, multivariable modeling confirmed that COVID-19 status remained independently associated with reduced cortisol levels after adjustment for age and sex.
It is plausible that the accumulation of pro-inflammatory cytokines such as interleukin-1 (IL-1), IL-6, and TNF-α induces functional resistance of the HPA axis and disrupts its coordinated regulation, thereby altering its stress response [34]. TNF-α has been shown to inhibit corticotropin-releasing hormone (CRH)–stimulated ACTH release, which in turn reduces the effectiveness of ACTH and angiotensin II on the adrenal cortex. In this manner, the cytokine storm itself blocks the physiological stress response of the HPA axis [13].
It has also been suggested that SARS-related viruses may possess the ability to synthesize peptide sequences resembling those of the ACTH molecule. Such molecular mimicry could potentially lead to the formation of cross-reactive antibodies and thereby interfere with the central regulation of cortisol secretion [35].
Overall, these findings are consistent with proposed mechanisms involved in CIRCI. In the present study, low random cortisol values, consistent with thresholds used in the CIRCI literature, were observed in nearly two-thirds of patients during the acute phase of infection. These observations suggest that a substantial proportion of patients in the acute phase of the disease may exhibit a potentially inadequate cortisol response relative to the severity of systemic inflammatory stress [18], thereby highlighting the possible clinical relevance of transient adrenal dysfunction in the course of the disease [3,13]. However, given that the assessment was based on single-point cortisol measurements without dynamic ACTH stimulation testing, these findings should be interpreted with caution.
Furthermore, in their study, Arcellana et al. [13] report that the manifestation of CIRCI in patients with COVID-19 does not exhibit the typical features of this condition. These patients often present with therapy-resistant shock, but cortisol levels may nevertheless be higher than those in patients without COVID-19, which is explained by the extremely intense inflammatory response characteristic of SARS-CoV-2 infection. The authors examined a cohort of COVID-19-positive patients and reported that the median cortisol levels were higher compared to the non-COVID-19 subgroup treated at the same medical facility. Similar observations were also noted in the present study. Although a significant proportion of patients in group 1 presented with severe infection (48.48%), the median serum cortisol remained relatively high (169.30 nmol/L), suggesting a partially preserved stress response in some patients [13].
The predominance of normal cortisol values in the post-COVID-19 group is consistent with partial restoration of HPA axis function after resolution of the acute infection. However, in line with the findings reported by Perumal et al. [36], persistent abnormalities in cortisol dynamics were still observed in a subset of patients.
Data from the study by Yavropoulou et al. [37] demonstrate that, despite the heterogeneous immunological disturbances characterizing Long COVID syndrome, the most pronounced and consistently observed finding is reduced serum cortisol, reflecting suppression of the HPA axis. The post-COVID-19 group in the present study was characterized by a more heterogeneous hormonal profile, with the majority of patients exhibiting cortisol concentrations within the reference range (74.3%). Although cortisol levels were higher than those observed during active infection, they remained lower than those measured in the healthy reference group. This pattern may suggest partial, but not complete, restoration of adrenal regulation following the acute inflammatory phase. The persistence of relatively lower cortisol concentrations in a subset of individuals (17.1%) suggests that recovery of HPA axis function may be heterogeneous and, in some cases, associated with ongoing immune–endocrine imbalance in the post-infectious period [37]. Such variability is further supported by the data of Quach et al. [38], who investigated the utility of cortisol as a potential biomarker for Long COVID syndrome and demonstrated that low morning cortisol is not a consistent finding, emphasizing that single-point cortisol measurements are insufficient for reliable assessment of HPA axis functional integrity.
The significant discrepancies between different studies probably reflect the pronounced circadian rhythm of cortisol, as well as variability in sampling times. In this context, the study by Quach et al. [38] demonstrated that the majority of patients recovering from COVID-19 infection exhibited normal or even elevated serum cortisol levels. These findings suggest that the presence of overt hypocortisolemia is not a universal feature of the post-infectious period and call into question the use of serum cortisol as a standalone biomarker for the assessment of adrenal function following recovery from COVID-19.
In a study by Perumal et al. [36], the status of the HPA axis was also evaluated in patients following COVID-19 infection. The authors found that although approximately 13.6% of patients exhibited signs of adrenal insufficiency three months after recovery, follow-up assessment 12 months later demonstrated normalization of HPA axis function in all affected individuals. Therefore, these findings further suggest that HPA axis disturbances are more likely to be transient and may recover spontaneously over time.
Our results complement the existing evidence by demonstrating that a substantial proportion of individuals recovering from COVID-19 do not exhibit persistent cortisol suppression but rather display a variable and partially recovering adrenal profile. This observation aligns with the concept that alterations in HPA axis regulation during COVID-19 infection are predominantly functional, dynamic, and potentially reversible, rather than necessarily reflecting permanent structural damage. Consequently, the observed fluctuations in cortisol secretion during the active phase of infection may reflect an adaptive response to immune–inflammatory stress, which in the majority of patients gradually normalizes during the convalescent period [17,36].

4.3. Circulating GRα Levels in COVID-19 and Their Potential Relevance to Immune–Endocrine Dysregulation

GRα is the main functionally active isoform of GR, mediating the genomic and some of the non-genomic anti-inflammatory effects of cortisol. Its expression is used as a molecular marker for tissue sensitivity to glucocorticoids [20].
In the present study, circulating GRα concentrations were assessed to characterize intergroup differences. A progressive gradient was observed from Group 1 to Group 3, with lower levels during the acute phase of infection, partial restoration in the post-COVID-19 period, and preserved values in healthy individuals. This pattern paralleled the distribution observed for cortisol, suggesting that circulating GRα levels may be associated with disease status across the studied groups.
While serum GRα does not directly measure intracellular receptor abundance or functional signaling, the observed variations may be consistent with broader immune–endocrine alterations occurring during active infection. These differences appeared to attenuate following resolution of the acute inflammatory phase but may not fully normalize in all recovered patients. This interpretation aligns with reports indicating persistent HPA axis involvement in a subset of individuals months after recovery from COVID-19 [10,36].
Age-stratified analyses demonstrated a numerical tendency toward higher circulating GRα concentrations in participants aged ≤ 60 years within both the active and post-COVID-19 groups. However, these differences did not reach statistical significance. Given this observation, multivariable models adjusting for age and sex were applied to determine whether the association between COVID-19 status and reduced GRα concentrations was independent of demographic factors. Importantly, the association between active COVID-19 and lower serum GRα levels remained statistically significant after adjustment.
When stratified according to clinical severity, serum GRα concentrations did not demonstrate statistically significant differences; nevertheless, a progressive numerical decline was observed from milder to more severe forms of the disease. The modest effect size suggests that disease severity accounts for only a limited proportion of the variance in circulating GRα levels. Given the small sample size within severity subgroups, these findings should be interpreted cautiously and considered exploratory.
In this context, ROC analysis further demonstrated a high degree of statistical separation between groups (AUC 0.942; 95% CI: 0.878–1.000), suggesting that circulating GRα concentrations were associated with disease status in the studied population. Similar performance was observed in age-stratified analyses, although wider confidence intervals in younger participants indicate reduced estimate stability in smaller subgroups.
The immunoregulatory actions of glucocorticoids are mediated primarily through their interaction with the GR, with one of the key mediators in this process being the protein GILZ (glucocorticoid-induced leucine zipper) [39]. GILZ is strongly induced by glucocorticoids and plays an important role in modulating the immune response by suppressing immune cell activation and limiting the synthesis of multiple cytokines and chemokines. The principal mechanism underlying this effect involves inhibition of nuclear factor kappa-light-chain-enhancer of activated B cells (NF-κB), one of the major transcription factors driving inflammation [40,41]. GILZ is expressed in nearly all immunocompetent cells; however, its expression in monocytes and macrophages is particularly relevant, as it plays a central role in controlling and suppressing the inflammatory process in these cells [40].
Although our findings differ from those reported by Vassiliou et al. [39], these discrepancies should be interpreted in light of important differences in patient population, disease stage, and methodological approach. Vassiliou et al. demonstrated increased cortisol secretion together with elevated GRα and GILZ expression in critically ill COVID-19 patients admitted to the ICU and not treated with exogenous corticosteroids. The authors interpreted this profile as reflecting strong but ultimately insufficient endogenous activation of the HPA axis in the setting of overwhelming inflammation. In contrast, in our study population evaluated at hospital admission during the acute phase of COVID-19, lower serum cortisol levels were accompanied by reduced circulating GRα levels.
Importantly, severity-stratified analysis in our group did not reveal a progressive increase in serum GRα concentrations with increasing clinical severity (Table 6). Notably, the “critical” subgroup in our study was assessed at admission and does not fully correspond to the prolonged ICU phenotype characterized by sustained multi-organ dysfunction and advanced systemic dysregulation. In this context, GRα levels remained reduced rather than demonstrating the compensatory upregulation described in steroid-free ICU cohorts.
Several factors may account for this apparent discrepancy. First, GRα modulation may be dynamic and stage-dependent, potentially evolving during disease progression toward advanced critical illness. Second, methodological differences should be considered: in the present study, GRα was quantified using a serum ELISA-based approach reflecting circulating protein levels, whereas Vassiliou et al. evaluated cellular GRα mRNA expression and downstream signaling activity.
A substantial body of evidence suggests that several pro-inflammatory cytokines, including TNF-α, IL-17A, and IFN-γ, are capable of suppressing GRα expression and transcriptional activity, thereby attenuating the anti-inflammatory effects of cortisol. Reduced receptor expression, in combination with excessive production of pro-inflammatory mediators, may contribute to the development of inflammatory glucocorticoid resistance during SARS-CoV-2 infection. In turn, impaired glucocorticoid signaling may further promote cytokine production, resulting in a self-perpetuating inflammatory cycle and secondary modulation of the HPA axis [42,43].
From a pathophysiological perspective, the combination of reduced cortisol levels and lower circulating GRα concentrations observed in the acute phase of COVID-19 may be compatible with altered glucocorticoid responsiveness under conditions of hypercytokinemia. Experimental data further indicate that pro-inflammatory cytokines may interfere with GR-mediated transcriptional activity through pathways involving GILZ and NF-κB regulation. Insufficient GILZ-mediated inhibition of NF-κB has been proposed as a potential contributor to sustained inflammatory activation and features resembling functional adrenal insufficiency [41,44].
Rather than representing a direct contradiction, differences between studies may therefore reflect distinct temporal and biological stages of HPA axis adaptation and GR-related regulatory processes during COVID-19.

4.4. Inflammatory Cytokines Associated with the Development of Glucocorticoid Resistance in COVID-19 Infection

In parallel with the endocrine abnormalities, the immunological profile of patients across the three groups revealed a characteristic pattern of inflammatory dysregulation, contributing to a more comprehensive explanation of the observed alterations in cortisol response and variability in serum GRα concentrations.
Although adjusted analyses did not demonstrate statistically significant differences in IL-17A levels between groups, relatively higher concentrations observed during the active phase could still reflect acute Th17-mediated inflammatory activation and its potential association with glucocorticoid resistance [45]. Conversely, the numerically lower IL-17A levels in the post-COVID-19 group might be associated with post-viral modulation of the Th17 axis, possibly related to virus-induced lymphocyte exhaustion or compensatory immune adaptation. These patterns, considered together with the partial normalization of cortisol and serum GRα concentrations, are compatible with a model of transient immune–endocrine dysregulation in SARS-CoV-2 infection [46].
Although neither the unadjusted nor the adjusted analyses demonstrated statistically significant differences in TNF-α levels between groups, the observed trend toward higher values in patients with active infection may possibly be biologically relevant in the context of acute inflammatory stress.
TNF-α may affect the HPA axis at two levels–centrally, by suppressing ACTH secretion and adrenal steroidogenesis [10], and peripherally, by inducing tissue glucocorticoid resistance [2]. It is well established that inflammatory responses across multiple cell types are coordinately regulated by the opposing actions of NF-κB and the GR. Activation of TNF-α induces NF-κB and activator protein-1 (AP-1) through signaling cascades mediated by MAPKs, including c-Jun N-terminal kinase (JNK) and p38 MAPK. These transcription factors antagonize GRα–mediated transcription through mechanisms of mutual transrepression, which might contribute to reduced glucocorticoid sensitivity in the context of inflammation. Experimental evidence indicates that TNF-α–induced NF-κB activation affects not only the functional activity of GRα but also the regulation of the GR isoform expression profile [47]. Webster et al. [48] demonstrated that, in human in vitro cell models, TNF-α stimulates transcription of the GR gene via an NF-κB–dependent promoter element, resulting in a relatively greater increase in GRβ compared with GRα at the protein level. This shift toward the β isoform of GR, which does not bind ligand and acts as a dominant-negative inhibitor of GRα, correlates with the development of glucocorticoid resistance [48]. Moreover, under hypoxic conditions characteristic of severe forms of COVID-19, TNF-α secretion is further amplified through HIF-1α–dependent mechanisms, while TNF-α itself sustains persistent NF-κB activation [49]. This vicious cycle possibly reflect processes associated with prolonged immune hyperactivation, induction of apoptosis and tissue injury, as well as sustained impairment of glucocorticoid anti-inflammatory signaling.
Beyond classical pro-inflammatory mediators, anti-inflammatory cytokines such as IL-10 further illustrate the complexity of glucocorticoid–immune interactions in COVID-19. Although adjusted analyses did not demonstrate a significant independent association between IL-10 levels and group status, numerically higher concentrations observed in the active phase may be consistent with compensatory anti-inflammatory responses within the broader framework of cytokine-mediated immune regulation.
A study by Islam et al. [50] examined the paradoxical behavior of IL-10 in severe cases of active COVID-19 infection, in which this classical anti-inflammatory cytokine is markedly elevated despite the persistent presence of a pronounced systemic inflammatory response. The authors proposed two mechanisms that may account for this phenomenon: first, IL-10 may exert non-classical pro-inflammatory effects by stimulating the production of IFN-γ, TNF-α, and other cytokines; and second, the presence of so-called “IL-10 resistance,” whereby activated monocytes and macrophages lose sensitivity to its anti-inflammatory actions. These mechanisms suggest that elevated IL-10 levels in active COVID-19 infection may simultaneously serve as a marker of disease severity and a potential contributor to the maintenance of the hyperinflammatory response [50].
The post-COVID-19 group exhibited numerically lower IL-10 levels compared with the active phase; however, this difference did not remain statistically significant after adjustment for age and sex. While these findings should be interpreted cautiously, the direction of effect could still be compatible with post-infectious modulation of glucocorticoid-mediated immune regulation. Thus, our findings can be interpreted in light of the observations reported by Cain and Cidlowski [5], who suggested that low IL-10 levels following recovery may indicate ineffective biological activity of glucocorticoids, even in the presence of normal or elevated serum cortisol concentrations, reflecting impaired tissue sensitivity to glucocorticoid action. Reduced IL-10 levels limit the capacity for effective control of the inflammatory response and, given the partial dependence of IL-10 expression on glucocorticoid signaling, may reflect persistent functional inadequacy of the glucocorticoid-mediated anti-inflammatory response in the post-COVID-19 period, despite a tendency toward normalization of serum cortisol levels [5,19]. In this context, IL-10 has been proposed as a functional indicator of glucocorticoid axis integrity and GRα-mediated signaling [19].
The findings of the present study might be consistent with inflammatory processes characteristic of severe COVID-19, potentially associated with alterations in circulating GRα protein levels. In the post-COVID-19 period, a trend toward partial normalization of serum cortisol and GRα concentrations was observed, which can align with previously reported gradual recovery of HPA axis regulation following resolution of the acute phase of infection [40]. Similarly, IL-17A levels were lower in recovered patients, whereas IL-10 levels also tended to be reduced in the post-COVID-19 group. These observations should be interpreted cautiously because they could reflect persistent alterations in inflammatory regulation, as described in a subset of patients with Long COVID syndrome [46,51].

4.5. Correlations Between Cortisol, GRα, and Key Cytokines: Implications for Immune–Endocrine Crosstalk

The correlation analysis provides additional insight into the dynamic interaction between inflammatory and endocrine pathways during the acute phase of COVID-19. Notably, statistically significant associations were identified exclusively in patients with active infection, whereas no meaningful correlations were observed in the post-COVID-19 or reference groups (Table 7). This phase-specific pattern suggests that the interplay between cortisol secretion, serum GRα concentrations, and cytokine activity is most pronounced during acute systemic inflammation.
A moderate positive correlation between serum cortisol and IL-10 levels in Group 1 may suggest that, in a subset of patients, preserved cortisol secretion is associated with activation of anti-inflammatory pathways. IL-10 is a well-characterized glucocorticoid-sensitive cytokine whose expression is, at least in part, regulated through GRα-mediated signaling. Accordingly, this association may reflect cortisol-driven induction of IL-10 as a compensatory mechanism aimed at limiting excessive inflammatory activation [5]. The observed relationship is consistent with experimental and clinical data describing the role of glucocorticoids in maintaining immune homeostasis under conditions of systemic inflammation [52].
In contrast, the significant negative correlation between cortisol and circulating GRα concentrations observed during the acute phase possibly suggests a discordance between systemic glucocorticoid levels and circulating GRα protein levels under conditions of acute inflammatory stress. This finding is consistent with reports indicating that elevated cortisol concentrations during severe systemic inflammation are not necessarily accompanied by the expected proportional adaptive changes in glucocorticoid receptor–mediated signaling pathways [10]. However, given that circulating GRα levels do not directly reflect intracellular receptor abundance or functional activity, the observed association should be interpreted cautiously.
The absence of a significant correlation between cortisol and GRα levels in the post-COVID-19 group may be consistent with the possibility that this hormone–receptor-related imbalance is not a fixed phenomenon but rather a dynamic process that attenuates following resolution of acute inflammation [40].
Furthermore, the moderate positive correlation between GRα and IL-17A in the acute infection group adds another layer of complexity. IL-17A has been implicated in the maintenance of steroid resistance and sustained inflammatory activation. The observed association suggests that increased circulating GRα fractions in this context do not necessarily correspond to effective glucocorticoid signaling but may instead reflect inflammation-associated alterations in glucocorticoid pathway regulation under Th17-dominant conditions [49].

5. Conclusions

COVID-19 infection appears to be associated with a predominantly functional, dynamic, and potentially reversible immune–endocrine dysregulation affecting the HPA axis. In the present study, both reduced serum cortisol and circulating GRα concentrations were observed during the acute phase. This combined pattern may be consistent with altered glucocorticoid responsiveness under conditions of acute systemic inflammation.
Although circulating GRα does not directly reflect intracellular receptor function, its reduction during active infection, together with phase-specific correlations between endocrine and inflammatory mediators, suggests inflammation-associated modulation of glucocorticoid signaling. The partial normalization observed in the post-COVID-19 group supports a reversible rather than permanent dysfunction. Further longitudinal studies are required to clarify the clinical relevance and long-term implications of altered cortisol–GRα dynamics following SARS-CoV-2 infection.

Author Contributions

Conceptualization, M.T. and K.T.; methodology, M.T., V.T., K.T., M.A. and A.R.; software, M.T., V.T. and K.T.; validation, M.A. and A.R.; formal analysis, M.T., V.T., M.A. and A.R.; investigation, M.T., V.T. and K.T.; writing—original draft preparation, M.T.; writing—review and editing, M.T. and K.T.; supervision, K.T. All authors have read and agreed to the published version of the manuscript.

Funding

This study was supported by a grant from the Medical University of Pleven, Project No. D7/2023, entitled “Relationship between thyroid and adrenal cortical hormones and inflammatory status in COVID-19”.

Institutional Review Board Statement

The study was conducted in accordance with the Declaration of Helsinki and approved by the Ethics Committee for Scientific Research at the Medical University of Pleven (Protocol No 72/23.06.23, 23 June 2023) for studies involving humans.

Informed Consent Statement

Written informed consent was obtained from all participants prior to their inclusion in the study, including consent for the publication of de-identified clinical data.

Data Availability Statement

The authors declare that data supporting the findings of this study are available within the article.

Acknowledgments

The authors would like to thank Mircho Vukov for performing the statistical analysis. The authors also acknowledge the Medical University of Pleven, Bulgaria, for financial support.

Conflicts of Interest

The authors declare no conflicts of interest. The sponsor had no role in the design of the study; in the collection, analyses, or interpretation of data; in the writing of the manuscript; or in the decision to publish the results.

Abbreviations

The following abbreviations are used in this manuscript:
ACE2Angiotensin-Converting Enzyme 2
ACTHAdrenocorticotropic Hormone
AP-1Activator Protein 1
ARDSAcute Respiratory Distress Syndrome
AUCArea Under the Curve
CIRCICritical Illness–Related Corticosteroid Insufficiency
COVID-19Coronavirus Disease 2019
CRHCorticotropin-Releasing Hormone
ECLIAElectrochemiluminescence Immunoassay
ELISAEnzyme-Linked Immunosorbent Assay
ESICMEuropean Society of Intensive Care Medicine
GILZGlucocorticoid-Induced Leucine Zipper
GM-CSFGranulocyte–Macrophage Colony-Stimulating Factor
GRGlucocorticoid Receptor
GRαGlucocorticoid Receptor Alpha
GRβGlucocorticoid Receptor Beta
Gr%Granulocyte percentage
HbHemoglobin
HIF-1αHypoxia-Inducible Factor 1 Alpha
HPA axisHypothalamic–Pituitary–Adrenal Axis
IFN-γInterferon Gamma
IL-1βInterleukin 1 Beta
IL-6Interleukin 6
IL-8Interleukin 8
IL-10Interleukin 10
IL-17AInterleukin 17A
IP-10Interferon-Induced Protein 10
IQRInterquartile Range
JNKc-Jun N-Terminal Kinase
LeuTotal Leukocyte Count
Lym%Lymphocyte percentage
MAPKMitogen-Activated Protein Kinase
MeMedian
MIP-2Macrophage-Inducing Protein 2
Mo%Monocyte percentage
NF-κBNuclear Factor Kappa-Light-Chain-Enhancer of Activated B Cells
NLRNeutrophil-to-Lymphocyte Ratio
nGREsNegative Glucocorticoid Response Elements
ROCReceiver Operating Characteristic
RT-PCRReverse Transcription–Polymerase Chain Reaction
SARS-CoVSevere Acute Respiratory Syndrome Coronavirus
SARS-CoV-2Severe Acute Respiratory Syndrome Coronavirus 2
SCCMSociety of Critical Care Medicine
SDStandard Deviation
SEStandard Error
TGF-βTransforming Growth Factor Beta
Th17T Helper 17 Cells
TMPRSS2Transmembrane Serine Protease 2
TNF-αTumor Necrosis Factor Alpha
WHOWorld Health Organization

References

  1. Wiersinga, W.J.; Rhodes, A.; Cheng, A.C.; Peacock, S.J.; Prescott, H.C. Pathophysiology, transmission, diagnosis, and treatment of coronavirus disease 2019 (COVID-19). JAMA 2020, 324, 782–793. [Google Scholar] [CrossRef]
  2. Mehta, P.; McAuley, D.F.; Brown, M.; Sanchez, E.; Tattersall, R.S.; Manson, J.J. COVID-19: Consider cytokine storm syndromes and immunosuppression. Lancet 2020, 395, 1033–1034. [Google Scholar] [CrossRef]
  3. Pal, R. COVID-19, hypothalamo–pituitary–adrenal axis and clinical implications. Endocrine 2020, 68, 251–252. [Google Scholar] [CrossRef]
  4. Chrousos, G.P. The hypothalamic–pituitary–adrenal axis and immune-mediated inflammation. N. Engl. J. Med. 1995, 332, 1351–1362. [Google Scholar] [CrossRef]
  5. Cain, D.W.; Cidlowski, J.A. Immune regulation by glucocorticoids. Nat. Rev. Immunol. 2017, 17, 233–247. [Google Scholar] [CrossRef] [PubMed]
  6. Paul, T.; Ledderose, S.; Bartsch, H.; Sun, N.; Soliman, S.; Märkl, B.; Ruf, V.; Herms, J.; Stern, M.; Keppler, O.T.; et al. Adrenal tropism of SARS-CoV-2 and adrenal findings in a post-mortem case series of patients with severe fatal COVID-19. Nat. Commun. 2022, 13, 1589. [Google Scholar] [CrossRef] [PubMed]
  7. Mao, Y.; Xu, B.; Guan, W.; Xu, D.; Li, F.; Ren, R.; Zhu, X.; Gao, Y.; Jiang, L. The adrenal cortex, an underestimated site of SARS-CoV-2 infection. Front. Endocrinol. 2021, 11, 593179. [Google Scholar] [CrossRef] [PubMed]
  8. Leyendecker, P.; Ritter, S.; Riou, M.; Wackenthaler, A.; Meziani, F.; Roy, C.; Ohana, M. Acute adrenal infarction as an incidental CT finding and a potential prognosis factor in severe SARS-CoV-2 infection. Eur. Radiol. 2021, 31, 895–900. [Google Scholar] [CrossRef]
  9. Wong, D.W.L.; Klinkhammer, B.M.; Djudjaj, S.; Villwock, S.; Timm, M.C.; Buhl, E.M.; Wucherpfennig, S.; Cacchi, C.; Braunschweig, T.; Knüchel-Clarke, R.; et al. Multisystemic cellular tropism of SARS-CoV-2 in autopsies of COVID-19 patients. Cells 2021, 10, 1900. [Google Scholar] [CrossRef]
  10. Jensterle, M.; Herman, R.; Janež, A.; Mahmeed, W.A.; Al-Rasadi, K.; Al-Alawi, K.; Banach, M.; Banerjee, Y.; Ceriello, A.; Cesur, M.; et al. The relationship between COVID-19 and the hypothalamic–pituitary–adrenal axis. Int. J. Mol. Sci. 2022, 23, 7326. [Google Scholar] [CrossRef]
  11. Lax, S.F.; Skok, K.; Zechner, P.; Kessler, H.H.; Kaufmann, N.; Koelblinger, C.; Vander, K.; Bargfrieder, U.; Trauner, M. Pulmonary arterial thrombosis in COVID-19 with fatal outcome. Ann. Intern. Med. 2020, 173, 350–361. [Google Scholar] [CrossRef] [PubMed]
  12. Leow, M.K.S.; Kwek, D.S.K.; Ng, A.W.K.; Ong, K.C.; Kaw, G.J.L.; Lee, L.S.U. Hypocortisolism in survivors of severe acute respiratory syndrome (SARS). Clin. Endocrinol. 2005, 63, 197–202. [Google Scholar] [CrossRef]
  13. Arcellana, A.E.; Lim, K.W.; Arcegono, M.; Jimeno, C. Critical illness-related corticosteroid insufficiency among patients with COVID-19 at a tertiary hospital. J. ASEAN Fed. Endocr. Soc. 2023, 38, 90–99. [Google Scholar] [CrossRef] [PubMed]
  14. Berlińska, A.; Świątkowska-Stodulska, R.; Sworczak, K. Old problem, new concerns: Hypercortisolemia in the time of COVID-19. Front. Endocrinol. 2021, 12, 711612. [Google Scholar] [CrossRef]
  15. Almeida, M.Q.; Mendonca, B.B. Adrenal insufficiency and glucocorticoid use during the COVID-19 pandemic. Clinics 2020, 75, e2022. [Google Scholar] [CrossRef]
  16. Wheatland, R. Molecular mimicry of ACTH in SARS: Implications for corticosteroid treatment and prophylaxis. Med. Hypotheses 2004, 63, 855–862. [Google Scholar] [CrossRef]
  17. Pal, R.; Banerjee, M. COVID-19 and the endocrine system: Exploring the unexplored. J. Endocrinol. Investig. 2020, 43, 1027–1031. [Google Scholar] [CrossRef]
  18. Soldevila, B.; Puig-Domingo, M.; Marazuela, M. Basic mechanisms of SARS-CoV-2 infection: What endocrine systems could be implicated? Rev. Endocr. Metab. Disord. 2022, 23, 137–150. [Google Scholar] [CrossRef]
  19. Quax, R.A.; Manenschijn, L.; Koper, J.W.; Hazes, J.M.; Lamberts, S.W.; van Rossum, E.F.; Feelders, R.A. Glucocorticoid sensitivity in health and disease. Nat. Rev. Endocrinol. 2013, 9, 670–686. [Google Scholar] [CrossRef]
  20. Oakley, R.H.; Cidlowski, J.A. The biology of the glucocorticoid receptor: New signaling mechanisms in health and disease. J. Allergy Clin. Immunol. 2013, 132, 1033–1044. [Google Scholar] [CrossRef] [PubMed]
  21. Vakhshoori, M.; Heidarpour, M.; Bondariyan, N.; Sadeghpour, N.; Mousavi, Z. Adrenal insufficiency in coronavirus disease 2019 (COVID-19)-infected patients without preexisting adrenal diseases: A systematic literature review. Int. J. Endocrinol. 2021, 2021, 2271514. [Google Scholar] [CrossRef] [PubMed]
  22. Surjit, M.; Ganti, K.P.; Mukherji, A.; Ye, T.; Hua, G.; Metzger, D.; Li, M.; Chambon, P. Widespread negative response elements mediate direct repression by agonist-liganded glucocorticoid receptor. Cell 2011, 145, 224–241. [Google Scholar] [CrossRef] [PubMed]
  23. Biddie, S.C.; John, S.; Hager, G.L. Genome-wide mechanisms of nuclear receptor action. Trends Endocrinol. Metab. 2010, 21, 3–9. [Google Scholar] [CrossRef]
  24. Buttgereit, F.; Scheffold, A. Rapid glucocorticoid effects on immune cells. Steroids 2002, 67, 529–534. [Google Scholar] [CrossRef]
  25. Sionov, R.V.; Cohen, O.; Kfir, S.; Zilberman, Y.; Yefenof, E. Role of mitochondrial glucocorticoid receptor in glucocorticoid-induced apoptosis. J. Exp. Med. 2006, 203, 189–201. [Google Scholar] [CrossRef]
  26. McKinley, L.; Alcorn, J.F.; Peterson, A.; Dupont, R.B.; Kapadia, S.; Logar, A.; Henry, A.; Irvin, C.G.; Piganelli, J.D.; Ray, A.; et al. TH17 cells mediate steroid-resistant airway inflammation and airway hyperresponsiveness in mice. J. Immunol. 2008, 181, 4089–4097. [Google Scholar] [CrossRef]
  27. Cohen, S.; Janicki-Deverts, D.; Doyle, W.J.; Miller, G.E.; Frank, E.; Rabin, B.S.; Turner, R.B. Chronic stress, glucocorticoid receptor resistance, inflammation, and disease risk. Proc. Natl. Acad. Sci. USA 2012, 109, 5995–5999. [Google Scholar] [CrossRef]
  28. Cîrjaliu, R.E.; Tofolean, I.T.; Tofolean, D.E.; Chisoi, A.; Oancea, C.; Vastag, E.; Marc, M.; Bratosin, F.; Rosca, O.; Fildan, A.P. Predictive value and diagnostic potential of IL-10, IL-17A, IL-1β, IL-6, CXCL, and MCP for severe COVID-19 and COVID-19 mortality. Biomedicines 2024, 12, 1532. [Google Scholar] [CrossRef]
  29. Gupta, A.; Madhavan, M.V.; Sehgal, K.; Nair, N.; Mahajan, S.; Sehrawat, T.S.; Bikdeli, B.; Ahluwalia, N.; Ausiello, J.C.; Wan, E.Y.; et al. Extrapulmonary manifestations of COVID-19. Nat. Med. 2020, 26, 1017–1032. [Google Scholar] [CrossRef]
  30. von Vietinghoff, S.; Ley, K. Homeostatic regulation of blood neutrophil counts. J. Immunol. 2008, 181, 5183–5188. [Google Scholar] [CrossRef] [PubMed]
  31. Annane, D.; Bellissant, E.; Bollaert, P.E.; Briegel, J.; Confalonieri, M.; De Gaudio, R.; Keh, D.; Kupfer, Y.; Oppert, M.; Meduri, G.U. Corticosteroids in the treatment of severe sepsis and septic shock in adults: A systematic review. JAMA 2009, 301, 2362–2375. [Google Scholar] [CrossRef]
  32. Annane, D.; Pastores, S.M.; Rochwerg, B.; Arlt, W.; Balk, R.A.; Beishuizen, A.; Briegel, J.; Carcillo, J.; Christ-Crain, M.; Cooper, M.S.; et al. Guidelines for the diagnosis and management of critical illness-related corticosteroid insufficiency (CIRCI) in critically ill patients (Part I). Crit. Care Med. 2017, 45, 2078–2088. [Google Scholar] [CrossRef] [PubMed]
  33. COVID-19 Treatment Guidelines Panel. Coronavirus Disease 2019 (COVID-19) Treatment Guidelines; National Institutes of Health: Bethesda, MD, USA, 2019. Available online: https://www.ncbi.nlm.nih.gov/books/NBK570371/ (accessed on 26 January 2026).
  34. Kirikae, H.; Tezuka, Y.; Okamoto, M.; Furuta, G.; Omata, K.; Ono, Y.; Tanaka, T.; Satoh, F. Hypothalamic–pituitary–adrenal dynamics in early-stage COVID-19 observed in a case with arginine vasopressin deficiency. BMC Endocr. Disord. 2025, 25, 169. [Google Scholar] [CrossRef]
  35. Siejka, A.; Barabutis, N. Adrenal insufficiency in the COVID-19 era. Am. J. Physiol. Endocrinol. Metab. 2021, 320, E784–E785. [Google Scholar] [CrossRef] [PubMed]
  36. Perumal, N.; Cherian, A.; Wyawahare, M.; Prasad, A.; Sahoo, J.; Kamalanathan, S.K.; Naik, D. Hypothalamic–pituitary–adrenal axis status 3 months after recovery from COVID-19 infection. Endocr. Res. 2023, 48, 85–93. [Google Scholar] [CrossRef]
  37. Yavropoulou, M.P.; Tsokos, G.C.; Chrousos, G.P.; Sfikakis, P.P. Protracted stress-induced hypocortisolemia may account for the clinical and immune manifestations of Long COVID. Clin. Immunol. 2022, 245, 109133. [Google Scholar] [CrossRef]
  38. Quach, T.C.; Wilson, A.; Sum-Ping, O.; Lomba, S.; Geng, L.N.; Shafer, R.; Miglis, M.G.; Yang, P.C.; Grossman, L.; Ricciardiello, G.; et al. Can low cortisol predict Long COVID? A controversial issue. Biomedicines 2025, 13, 2636. [Google Scholar] [CrossRef] [PubMed]
  39. Vassiliou, A.G.; Athanasiou, N.; Keskinidou, C.; Jahaj, E.; Tsipilis, S.; Zacharis, A.; Botoula, E.; Diamantopoulos, A.; Ilias, I.; Vassiliadi, D.A.; et al. Increased glucocorticoid receptor alpha expression and signaling in critically ill coronavirus disease 2019 patients. Crit. Care Med. 2021, 49, 2131–2136. [Google Scholar] [CrossRef]
  40. Ayroldi, E.; Riccardi, C. Glucocorticoid-induced leucine zipper (GILZ): A new important mediator of glucocorticoid action. FASEB J. 2009, 23, 3649–3658. [Google Scholar] [CrossRef]
  41. Beaulieu, E.; Morand, E.F. Role of GILZ in immune regulation, glucocorticoid actions and rheumatoid arthritis. Nat. Rev. Rheumatol. 2011, 7, 340–348. [Google Scholar] [CrossRef]
  42. Diao, B.; Wang, C.; Tan, Y.; Chen, X.; Liu, Y.; Ning, L.; Chen, L.; Li, M.; Liu, Y.; Wang, G.; et al. Reduction and functional exhaustion of T cells in patients with coronavirus disease 2019 (COVID-19). Front. Immunol. 2020, 11, 827. [Google Scholar] [CrossRef]
  43. Chen, Z.; Wherry, E.J. T cell responses in patients with COVID-19. Nat. Rev. Immunol. 2020, 20, 529–536. [Google Scholar] [CrossRef]
  44. Annane, D.; Godot, V. Glucocorticoid–glucocorticoid receptor response to severe acute respiratory syndrome coronavirus 2. Crit. Care Med. 2021, 49, 2157–2160. [Google Scholar] [CrossRef]
  45. Zijlstra, G.J.; Ten Hacken, N.H.T.; Hoffmann, R.F.; van Oosterhout, A.J.M.; Heijink, I.H. Interleukin-17A induces glucocorticoid insensitivity in human bronchial epithelial cells. Eur. Respir. J. 2012, 39, 439–445. [Google Scholar] [CrossRef] [PubMed]
  46. Lucas, C.; Wong, P.; Klein, J.; Castro, T.B.R.; Silva, J.; Sundaram, M.; Ellingson, M.K.; Mao, T.; Oh, J.E.; Israelow, B.; et al. Longitudinal analyses reveal immunological misfiring in severe COVID-19. Nature 2020, 584, 463–469. [Google Scholar] [CrossRef] [PubMed]
  47. Karin, M. The regulation of AP-1 activity by mitogen-activated protein kinases. J. Biol. Chem. 1995, 270, 16483–16486. [Google Scholar] [CrossRef] [PubMed]
  48. Webster, J.C.; Oakley, R.H.; Jewell, C.M.; Cidlowski, J.A. Proinflammatory cytokines regulate human glucocorticoid receptor gene expression and lead to the accumulation of the dominant negative beta isoform. Proc. Natl. Acad. Sci. USA 2001, 98, 6865–6870. [Google Scholar] [CrossRef]
  49. da Silva, F.P.G.; Matte, R.; Wiedmer, D.B.; da Silva, A.P.G.; Menin, R.M.; Barbosa, F.B.; Meneguzzi, T.A.M. HIF-1α pathway in COVID-19: A scoping review of its modulation and related treatments. Int. J. Mol. Sci. 2025, 26, 4202. [Google Scholar] [CrossRef]
  50. Islam, H.; Chamberlain, T.C.; Mui, A.L.; Little, J.P. Elevated interleukin-10 levels in COVID-19: Potentiation of pro-inflammatory responses or impaired anti-inflammatory action? Front. Immunol. 2021, 12, 677008. [Google Scholar] [CrossRef]
  51. Carlini, V.; Noonan, D.M.; Abdalalem, E.; Goletti, D.; Sansone, C.; Calabrone, L.; Albini, A. The multifaceted nature of IL-10: Regulation, role in immunological homeostasis and its relevance to cancer, COVID-19 and post-COVID conditions. Front. Immunol. 2023, 14, 1161067. [Google Scholar] [CrossRef]
  52. Franchimont, D. Overview of the actions of glucocorticoids on the immune response: A good model to characterize new pathways of immunosuppression for new treatment strategies. Ann. N. Y. Acad. Sci. 2004, 1024, 124–137. [Google Scholar] [CrossRef] [PubMed]
Figure 1. Cortisol response in active COVID-19 and post-COVID-19 patients.
Figure 1. Cortisol response in active COVID-19 and post-COVID-19 patients.
Covid 06 00047 g001
Figure 2. Serum GRα concentrations in the three studied groups. The horizontal lines in the box-and-whisker plots represent the median values in the three studied groups, while the other lines indicate the first (Q1) and third (Q3) quartile values, which together define the interquartile range (IQR).
Figure 2. Serum GRα concentrations in the three studied groups. The horizontal lines in the box-and-whisker plots represent the median values in the three studied groups, while the other lines indicate the first (Q1) and third (Q3) quartile values, which together define the interquartile range (IQR).
Covid 06 00047 g002
Figure 3. ROC analysis of serum GRα concentrations for discriminating patients with acute COVID-19 from healthy reference individuals. The blue line represents the ROC curve, while the red diagonal line represents the line of no discrimination.
Figure 3. ROC analysis of serum GRα concentrations for discriminating patients with acute COVID-19 from healthy reference individuals. The blue line represents the ROC curve, while the red diagonal line represents the line of no discrimination.
Covid 06 00047 g003
Table 1. Descriptive characteristics of participants’ age by group.
Table 1. Descriptive characteristics of participants’ age by group.
GroupsMean ± SDSt. Error95% CIMinMaxOne-Way ANOVA
Group 169.88 ± 11.892.33165.08 ÷ 74.694887F (2,91) = 30.407,
p = 0.000, η2 = 0.41
Group 245.24 ± 14.472.51840.11 ÷ 50.372074
Group 346.73 ± 13.012.26542.11 ÷ 51.342171
CI—confidence interval; SD—standard deviation. Data are presented as mean ± SD. Between-group comparisons were performed using one-way ANOVA. A p-value < 0.05 was considered statistically significant.
Table 2. Distribution of participants by sex in the three studied groups.
Table 2. Distribution of participants by sex in the three studied groups.
CharacteristicGroup 1 (n = 33)Group 2 (n = 35)Group 3 (n = 33)
Male, n (%)15 (45.5)11 (31.4)3 (9.1)
Female, n (%)18 (54.5)24 (68.6)30 (90.9)
Table 3. Clinical characteristics of patients in Group 1 (active COVID-19) and Group 2 (post-COVID).
Table 3. Clinical characteristics of patients in Group 1 (active COVID-19) and Group 2 (post-COVID).
VariableGroup 1 (n = 33) (n%)Group 2 (n = 35) (n%)
Disease severity
Mild6 (18.2)3 (8.6)
Moderate8 (24.2)7 (20.0)
Severe16 (48.5)1 (2.9)
Critical3 (9.1)-
Comorbidities
Hypertension14 (42.4)5 (14.3)
Type 2 diabetes mellitus13 (39.4)-
Prediabetes-5 (14.3)
Ischemic heart disease10 (30.3)1 (2.9)
COPD/asthma10 (30.3)-
Chronic kidney disease--
Chronic liver disease1 (3.0)-
Hematological disease4 (12.12)1 (2.9)
Risk factors/Bad habits
Current smoker7 (21.2)11 (31.4)
Alcohol consumption9 (27.3)3 (8.6)
Medication profile
Antihypertensive therapy11 (33.3)4 (11.4)
Antidiabetic therapy6 (18.2)-
Disease severity was classified as mild, moderate, severe, or critical according to national clinical guidelines. COPD—chronic obstructive pulmonary disease; n—number of patients.
Table 4. Between-group comparisons of immuno-endocrine parameters using the Mann–Whitney U test.
Table 4. Between-group comparisons of immuno-endocrine parameters using the Mann–Whitney U test.
VariableGroup 1
Mean ± SD/
Me; IQR
Group 2
Mean ± SD/
Me; IQR
Group 3
Mean ± SD/
Me; IQR
p1–2/p1–3/p2–3
Cortisol (nmol/L)269.56 ± 245.61/169.30; 268.85297.18 ± 153.31/271.80; 180.20486.46 ± 194.71/464.60; 194.980.114/0.000/0.000
GRα (ng/mL)0.41 ± 0.26/0.341; 0.150.799 ± 0.43/0.743; 0.491.137 ± 0.25/1.135; 0.210.000/0.000/0.000
IL-17A (pg/mL)29.17 ± 4.61/28.1; 3.932.76 ± 29.40/25.1; 5.337.31 ± 22.31/29.0; 11.60.001/0.097/0.000
TNF-α (pg/mL)115.26 ± 71.70/110.3; 84.083.15 ± 76.23/59.00; 76.089.18 ± 63.41/72.6; 94.70.067/0.055/0.834
IL-10 (pg/mL)4.65 ± 4.40/
3.2; 3.0
2.83 ± 2.98/
2.0; 0.9
3.24 ± 1.43/
3.0; 0.9
0.001/0.122/0.001
Cortisol—serum cortisol concentration; GRα—serum glucocorticoid receptor alpha concentration; IL-17A—interleukin-17A; TNF-α—tumor necrosis factor alpha; IL-10—interleukin-10. p1–2—Group 1 vs. Group 2; p1–3—Group 1 vs. Group 3; p2–3—Group 2 vs. Group 3.
Table 5. Serum cortisol levels, GRα concentration, and inflammatory cytokines in the stratified subgroups by age. Statistical significance between subgroups within the same study group is based on the Mann–Whitney U test.
Table 5. Serum cortisol levels, GRα concentration, and inflammatory cytokines in the stratified subgroups by age. Statistical significance between subgroups within the same study group is based on the Mann–Whitney U test.
VariablesAge
Subgroups
Group 1
Mean ± SD
Me; IQR
Group 2
Mean ± SD
Me; IQR
Group 3
Mean ± SD
Me; IQR
Cortisol
(nmol/L)
Below 60 y255.11 ± 322.44288.18 ± 160.40491.86 ± 199.63
136.45; 214.56264.15; 205.30469.00; 168.15
Above 60 y275.84 ± 212.31328.00 ± 132.14468.12 ± 197.70
274.8; 263.30271.8; 226.00460.20; 354.10
  p = 0.363p = 0.532p = 0.975
GRα
(ng/mL)
Below 60 y0.436 ± 0.2770.780 ± 0.3051.097 ± 0.192
0.356; 0.1740.743; 0.4001.12; 0.221
Above 60 y0.398 ± 0.2590.921 ± 0.7961.095 ± 0.157
0.341; 0.1500.650; 0.4791.06; 0.293
  p = 0.406p = 0.672p = 0.767
IL-17A
(pg/mL)
Below 60 y27.68 ± 2.0534.05 ± 32.5439.36 ± 25.00
27.60; 3.425.15; 5.329.00; 15.4
Above 60 y29.82 ± 5.2728.31 ± 15.2430.36 ± 5.85
28.1; 3.922.50; 5.329.00; 8.2
  p = 0.524p = 0.263p = 0.848
TNF-α
(pg/mL)
Below 60 y113.08 ± 50.4988.04 ± 81.4883.56 ± 56.87
114.10; 64.165.50; 97.170.30; 97.7
Above 60 y116.21 ± 80.2166.39 ± 56.43108.26 ± 87.09
110.10; 97.449.20; 31.682.50; 166.1
  p = 0.714p = 0.620p = 0.593
IL-10
(pg/mL)
Below 60 y3.36 ± 1.772.74 ± 3.133.018 ± 0.948
3.65; 3.22.0; 0.83.51; 0.9
Above 60 y5.21 ± 5.083.16 ± 2.563.98 ± 2.51
3.1; 4.12.50; 1.82.30; 4.5
  p = 0.451p = 0.399p = 0.174
Cortisol—serum cortisol concentration; GRα—serum glucocorticoid receptor alpha concentration; IL-17A—interleukin-17A; TNF-α—tumor necrosis factor alpha; IL-10—interleukin-10.
Table 6. Serum GRα levels according to disease severity in patients with acute COVID-19 (Group 1).
Table 6. Serum GRα levels according to disease severity in patients with acute COVID-19 (Group 1).
Severity CategorynMean ± SDMedianMin–MaxOne-Way ANOVA
Mild60.596 ± 0.3500.4870.250–1.179F (3,29) = 1.389,
p = 0.266
η2 = 0.126
Moderate80.410 ± 0.2860.3340.213–1.106
Severe160.353 ± 0.2180.3190.181–1.106
Critical30.346 ± 0.0490.3260.311–0.402
Total330.410 ± 0.2610.3410.181–1.179
Data are presented as mean ± SD and median (minimum–maximum). Differences between severity categories were assessed using one-way ANOVA. The effect size was estimated using eta squared (η2). A p-value < 0.05 was considered statistically significant.
Table 7. Correlations between immunological and endocrine parameters in the studied groups.
Table 7. Correlations between immunological and endocrine parameters in the studied groups.
Correlated
Variables
Group 1Group 2Group 3
Cortisol-IL-10r = 0.457, p = 0.016r = −0.012, p = 0.948r = 0.074, p = 0.730
Cortisol-GRαr = −0.371, p = 0.044r = −0.013, p = 0.943r = −0.250, p = 0.261
GRα-IL-17Ar = 0.469, p = 0.012r = 0.122, p = 0.484r = −0.190, p = 0.362
Cortisol—serum cortisol concentration; GRα—glucocorticoid receptor alpha; IL-10—interleukin-10; IL-17A—interleukin-17A.
Disclaimer/Publisher’s Note: The statements, opinions and data contained in all publications are solely those of the individual author(s) and contributor(s) and not of MDPI and/or the editor(s). MDPI and/or the editor(s) disclaim responsibility for any injury to people or property resulting from any ideas, methods, instructions or products referred to in the content.

Share and Cite

MDPI and ACS Style

Todorova, M.; Tsvetkova, V.; Atanasova, M.; Ruseva, A.; Todorova, K. Glucocorticoid Resistance in COVID-19: Endocrine–Inflammatory Associations in a Cross-Sectional Study. COVID 2026, 6, 47. https://doi.org/10.3390/covid6030047

AMA Style

Todorova M, Tsvetkova V, Atanasova M, Ruseva A, Todorova K. Glucocorticoid Resistance in COVID-19: Endocrine–Inflammatory Associations in a Cross-Sectional Study. COVID. 2026; 6(3):47. https://doi.org/10.3390/covid6030047

Chicago/Turabian Style

Todorova, Malvina, Victoria Tsvetkova, Milena Atanasova, Adelaida Ruseva, and Katya Todorova. 2026. "Glucocorticoid Resistance in COVID-19: Endocrine–Inflammatory Associations in a Cross-Sectional Study" COVID 6, no. 3: 47. https://doi.org/10.3390/covid6030047

APA Style

Todorova, M., Tsvetkova, V., Atanasova, M., Ruseva, A., & Todorova, K. (2026). Glucocorticoid Resistance in COVID-19: Endocrine–Inflammatory Associations in a Cross-Sectional Study. COVID, 6(3), 47. https://doi.org/10.3390/covid6030047

Article Metrics

Back to TopTop