Abstract
Tracheomegaly (TM) is a rare appearance that is radiologically defined as an excessive enlargement of the tracheal diameter. We present a comprehensive analysis of tracheal diameter measurements and TM incidence in patients admitted and treated due to COVID-19 pneumonitis and its association with possible respiratory complications. In this retrospective study, we included 1015 patients divided into three groups: 383 patients treated using mechanical ventilation (MV), 132 patients treated using high-flow ventilation (HFV), and 500 randomly selected patients using nasal catheter (NC) oxygenation. The tracheal lumen diameter was measured continuously using a chest X-ray, and the cuff/trachea (C/T) diameter ratio was calculated. We detected TM in 71 patients (18.54%). Regression analysis showed statistical significance in MV patients for the trachea diameter at the level of the cuff, maximal trachea diameter and C/T diameter ratio, and days on MV. Respiratory complications showed a significant association with the C/T diameter ratio. The C/T diameter ratio was shown to be a reliable potential predictor of the occurrence of respiratory complications. The results of the study highlight the importance of the early detection and prevention of TM in COVID-19 patients on MV using a chest X-ray and measurement of the C/T diameter ratio.
1. Introduction
Coronavirus disease 2019 (COVID-19) is a disease that led to a worldwide pandemic and is caused by severe acute respiratory syndrome coronavirus 2 (SARS-CoV-2). Various clinical outcomes are observed in patients, ranging from asymptomatic, mild, or moderate disease to severe and progressive pneumonia, leading to acute respiratory distress syndrome and multisystem organ failure [1,2]. With the COVID-19 outbreak, in several patients, severe bilateral pneumonia was followed by worsening acute respiratory distress syndrome, leading to endotracheal intubation and mechanical ventilation (MV) and other forms of intensive care treatment [2,3]. Furthermore, an increased incidence of COVID-19 respiratory-related conditions, such as pneumomediastinum, pneumothorax, and subcutaneous emphysema, were reported in the literature recently [4,5].
Tracheomegaly (TM) is a rare and often underdiagnosed appearance that is radiologically defined as an excessive expansion of the tracheal diameter toward higher limits, i.e., 21 and 25 mm in the coronal plane and 23 and 27 mm in the sagittal plane in females and males, respectively [6,7,8,9,10]. Though TM is usually congenital, possible causes in adulthood could be connective tissue diseases, such as Mounier–Kuhn syndrome and Ehlers Danlos syndrome, and inflammatory conditions, such as chronic bronchitis, pulmonary and cystic fibrosis, prolonged smoking, and mechanical ventilation with increased cuff pressure [7,8,9,10]. TM in patients undergoing prolonged mechanical ventilation could be one of the reasons for cuff leaks, leading to unsatisfactory patient ventilation [8,9,10]. TM management is based on distal endotracheal tube repositioning, with the cuff placed outside the dilatation, as previously described [3,6,8,9,10]. Till nowadays, only several case reports and a few case series regarding TM have been published [6,7,8,9,10]. Since the COVID-19 pandemic occurred, several new published studies regarding the incidence and management of TM in COVID-19 patients were published [3,4,5].
Thus, in our research, we investigated the TM incidence and measurements of tracheal diameters in patients admitted and treated in the intensive care unit (ICU) due to severe COVID-19 pneumonia and their associations with possible respiratory complications. Moreover, we wondered the following: could we consider TM as a potential predictive factor of severe tracheal damage in COVID-19 patients on prolonged MV?
2. Materials and Methods
2.1. Patients
In this retrospective study, we analyzed data from the electronic medical records of the Primary Respiratory Intensive Center of the Croatian National Covid Hospital located in the Dubrava University Hospital, Zagreb, Croatia. In the analyzed period from 1 April in 2020 to 31 January in 2021, more than 3000 patients were hospitalized. In this study, we included 515 consecutive patients admitted and treated at the ICU, as well as 500 randomly selected patients admitted and treated in regular departments. Patients treated in the regular departments had a mild clinical presentation of SARS-CoV-2 detected in nasopharyngeal swabs, while patients treated in the ICU had moderate and severe presentations. Moderate and severe patients in the ICU were treated using MV or high-flow ventilation (HFV). Out of 383 patients treated using MV, 105 were female, while 278 were male. Overall, the average age of these patients was 70.6 ± 10.9 years, with an average age of 70.8 ± 12.1 in the female patients and 70.6 ± 10.4 in the male patients. In the group of patients treated with HFV, 132 were included, where 46 were female, while 86 were male. Overall, the average age in these patients was 69.8 ± 9.6 years, with an average age of 69.7 ± 11.9 in female patients and 69.8 ± 8.1 in male patients. The group of patients with mild clinical presentation treated with oxygen administrated with a nasal catheter (NC) included 250 female and 250 male patients. Overall, the average age in these patients was 71.1 ± 10.4 years, with an average age of 71 ± 10.8 in female patients and 71.2 ± 10.1 in male patients (Table 1).
Table 1.
Demographic characteristics of included patients that were divided into three groups: patients on mechanical ventilation (MV), patients on high-flow ventilation (HFV), and patients with nasal catheter (NC) oxygenation.
2.2. Methods
All patients were treated according to COVID-19 treatment protocols, which included an initial chest X-ray at admission. In all included patients, the trachea lumen diameter was measured at the level of the clavicle on the initial chest X-ray image in the coronal plane; in the group of patients treated with MV, the trachea lumen diameter was measured before endotracheal intubation and was measured continuously in millimeters (Figure 1 and Figure 2). All the results were measured twice by two independent investigators. After the intubation, the trachea lumen diameter was measured at the level of the inflated cuff around the endotracheal tube. Additionally, we calculated the cuff/trachea (C/T) diameter ratio using the following formula: the trachea diameter at the cuff area at the last measurement/initial trachea diameter before intubation [6].
Figure 1.
Radiological diagnosis of tracheomegaly (TM). A 3D view (CT scan) of the tracheobronchial tree with determination of the diameter of the trachea (T diameter) in the clavicular area (a). A 3D view (CT scan) of the trachea with TM and determination of the diameter of the trachea in the cuff area (C diameter) (b). Native CT scan of the thorax thirteen days after intubation. A coronal plane showing TM in the cuff area (orange arrow) with a C/T diameter ratio of 2.31 (c). Chest X-ray shows TM (green arrow) in the area of the tracheostomy tube cuff nine days after intubation with a C/T diameter ratio of 2.12 (d). Chest X-ray shows TM (green arrow) in the cuff area of the endotracheal tube 8 days after intubation with a C/T diameter ratio of 1.95 (e). TM (green arrow) visible on a chest X-ray twelve days after intubation and three days after a tracheotomy with a C/T diameter ratio of 2.02 (f).
Figure 2.
Life-threatening complications caused by damage to the tracheal wall due to TM in the cuff area of the endotracheal tube or tracheostomy tube. Thoracic CT scan showing a right-sided pneumothorax (green arrow) and subcutaneous emphysema (orange arrow) (a). CT scan of a patient with a clinically (larger amount of air appeared in the nasogastric tube, along with abdominal distension and hyper-resonance on abdominal percussion, along with the appearance of food on the tracheostomy tube) and a bronchoscopically identified tracheoesophageal fistula. Axial plane showing pneumomediastinum (purple arrow) (b). A 3D view of the trachea with TM (red arrow) and interruption of the continuity of the membranous part of the posterior trachea wall in the cuff area (green arrow) (c).
The timing of intubation for acute respiratory failure in patients with COVID-19 is challenging. The Croatian Ministry of Healthcare, in consultation with our leading physicians, created the guidelines for the management of COVID-19 patients [11]. According to these guidelines, indications for intubations are (1) adult SpO2 < 93% with 16 L O2 per mask, (2) clear progression of hypoxemia in the last 12–24 h, and (3) tachydyspnea (RF > 30/min). Other criteria for admission to the COVID ICU and monitoring for possible intubation (relative indications) are (1) qualitative and/or quantitative disorder of consciousness; (2) tachycardia (p > 120/min in adults) or bradycardia (p < 60); (3) hypotension (systolic pressure < 90 mmHg) or shock; and (4) signs of heart failure, new-onset tachyarrhythmia, or bradyarrhythmia.
2.3. Statistical Analysis
Data analysis was performed using the MedCalc Statistical Software version 12.5.0 (MedCalc Software, Ostend, Belgium. Available online: https://www.medcalc.org (accessed on 10 December 2021). Data were plotted as individual values, where horizontal lines and markers represent mean ± SD. Comparisons of the tracheal diameter in all included groups of patients were obtained. The distribution was assessed using the Kolmogorov–Smirnov test. Depending on the distribution and type of variables, the tracheal diameters in all groups were analyzed using one-way ANOVA, with the Student–Newman–Keuls post hoc test or Kruskal–Wallis test with pairwise comparisons according to Conover [12]. In the group of patients treated with MV, the associations between individual parameters were assessed using the Pearson correlation coefficient or Spearman’s rank correlation, as well as linear regression. The potential value to predict the complication due to TM was assessed using the receiver operating characteristic (ROC) curve analysis. The statistical significance was set at p < 0.05.
3. Results
The trachea diameter in the first X-ray image in the group of patients treated with HFV was 19.20 ± 2.03 mm overall (19.64 ± 1.63 mm in female patients and 20.04 ± 1.70 mm in male patients), while in the group of patients treated with NC, it was 18.93 ± 1.31 mm overall (18.29 ± 1.66 mm in female patients and 19.58 ± 1.72 mm in male patients). Furthermore, the initial trachea diameter in the first X-ray image in the group of patients treated with MV was 20.44 ± 2.21 mm overall (19.37 ± 1.59 mm in female patients and 20.80 ± 2.28 mm in male patients). The tracheal diameter was analyzed between all included groups using the Kruskal–Wallis test with pairwise comparisons according to Conover; statistical significance was observed between patients treated with MV in regard to HFV and NC (DF = 2, p < 0.000001). Additionally, the same significance was obtained for both female and male patients (DF = 2, p < 0.000001) (Figure 3).
Figure 3.
Tracheal diameter measure; statistical significance was observed between patients treated with MV (n = 383) relative to HFV (n = 132) and NC (n = 500) overall (left) (DF = 2, p < 0.000001). Additionally, the same significance was obtained for both female (middle) and male (right) patients (DF = 2, p < 0.000001). Horizontal lines represent means while markers at the end of vertical lines represent the SD or IQR; the Kruskal–Wallis test with pairwise comparisons was used according to Conover. Abbreviations: MV—mechanical ventilation, HFV—high flow ventilation, NC—nasal catheter.
In the group of patients treated with MV, we detected TM in 71 patients (18.54%). The trachea diameter at the level of the cuff when TM was clearly visible was 24.51 ± 3.58 mm overall (23.80 ± 3.85 mm in female patients and 24.81 ± 3.42 mm in male patients). Maximal measured trachea diameter at the level of the cuff during continuous measurement was 25.57 ± 4.90 mm (24.89 ± 4.49 mm in female patients and 26.43 ± 5.00 in male patients). Furthermore, the C/T diameter ratio was, on average, 1.28 ± 1.29 overall (1.28 ± 1.05 in female patients and 1.27 ± 1.28 in male patients). The C/T diameter ratio was >1.5 in 48 patients (12.53%). On average, patients underwent MV for 7.14 ± 5.36 days; the average for female patients was 6.60 ± 4.99 days, while for male patients, it was 7.36 ± 5.51 days. Moreover, 32 patients (8.35%) underwent prolonged MV (≥14 days). In the group of patients with TM, the average time spent on MV was 11.02 ± 1.08 days. In addition, the proportion of TM in patients on prolonged MV was 61.29%.
Regression analysis showed statistical significance for the trachea diameter at the level of the cuff (p = 0.018, r = 0.12, R2 = 0.015), maximal trachea diameter (p = 0.004, r = 0.15, R2 = 0.02), and C/T diameter ratio (p = 0.008, r = 0.14, R2 = 0.02) with respect to days on MV in all analyzed patients (Figure 4). Furthermore, the analysis was performed for the whole group of patients, as well as separately for females and males (Table 2).
Figure 4.
Trachea diameter at the level of the cuff, maximal trachea diameter, and C/T diameter ratio with respect to days on MV in patients overall showed statistical significance in the group of patients treated with MV (n = 383). Each regression line is presented alongside 95% confidence lines, while individual plots represent each patient included in the study. Abbreviations: MV—mechanical ventilation.
Table 2.
Trachea diameter at the level of the cuff, maximal trachea diameter, and C/T diameter ratio with respect to days on MV in patients overall showed statistical significance in the group of patients treated with MV (n = 383). Additionally, statistical significance was found for female patients (n = 105), while the significance of the results for male patients (n = 278) was borderline. Abbreviations: MV—mechanical ventilation.
We observed a number of respiratory complications, namely, tracheoesophageal fistula, pneumomediastinum, pneumothorax, subcutaneous emphysema, and tracheomalacia, in 16.71% of patients overall (Figure 2). The Spearman’s rank correlation between the C/T diameter ratio and described complications showed statistical significance in all analyzed patients (p < 0.001, r = 0.27, R2 = 0.072) (Figure 3). Furthermore, statistical significance was found between each complication and C/T diameter ratio as follows: tracheoesophageal fistula (p < 0.001, r = 0.38, R2 = 0.146), pneumomediastinum (p < 0.001, r = 0.25, R2 = 0.062), pneumothorax (p = 0.001, r = 0.16, R2 = 0.026), subcutaneous emphysema (p < 0.001, r = 0.21, R2 = 0.045), and tracheomalacia (p = 0.008, r = 0.14, R2 = 0.018). In addition, we found an association between C/T diameter ratio and performed tracheotomies in 8.09% of our overall cohort (p < 0.001, r = 0.25, R2 = 0.061) (Figure 5).
Figure 5.
Statistical significance is presented between each complication and C/T diameter ratio as follows: tracheoesophageal fistula (p < 0.001, r = 0.38, R2 = 0.146, n = 7), pneumomediastinum (p < 0.001, r = 0.25, R2 = 0.062, n = 20), pneumothorax (p = 0.001, r = 0.16, R2 = 0.026, n = 46), subcutaneous emphysema (p < 0.001, r = 0.21, R2 = 0.045, n = 40), tracheomalacia (p = 0.008, r = 0.14, R2 = 0.018, n = 1), and tracheotomy (p < 0.001, r = 0.25, R2 = 0.061, n = 31). Each regression line is presented alongside 95% confidence lines, while individual plots represent each patient included in the study.
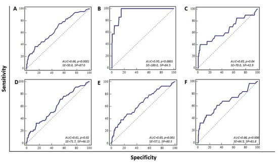
Additionally, the ROC curve analysis was performed to assess the ability of the C/T diameter ratio to distinguish potential complications. The C/T diameter ratio (area under curve, AUC = 0.66; p < 0.0001; sensitivity, SE = 50.8%; specificity, SP = 67.0%) was a reliable predictor of complication onset, namely, tracheoesophageal fistula (AUC = 0.95, p < 0.0001, SE = 100.0%, SP = 84.5%), pneumomediastinum (AUC = 0.65, p = 0.04, SE = 70.0%, SP = 42.9%), pneumothorax (AUC = 0.61, p = 0.02, SE = 71.7%, SP = 46.15%), and subcutaneous emphysema (AUC = 0.66, p = 0.006, SE = 64.5%, SP = 61.8%) (Figure 6).
Figure 6.
Receiver operating characteristic (ROC) curve analysis of complication overall (A), tracheoesophageal fistula (B), pneumomediastinum (C), pneumothorax (D), tracheomalacia (E), and subcutaneous emphysema (F) to present the potential prognostic value of the C/T diameter ratio. AUC—area under the curve, SE—sensitivity (%), SP—specificity (%).
4. Discussion
Due to the SARS-CoV-2 outbreak, the healthcare system was restructured; the Primary Respiratory Intensive Center of the Croatian National Covid Hospital was established and located in the Dubrava University Hospital, Zagreb, Croatia. Therefore, we encountered many critically ill COVID-19 ICU patients who required MV. ICU experience obtained during the COVID-19 pandemic with a large number of intubated patients who developed tracheoesophageal fistulas, pneumothorax, and subcutaneous emphysema prompted us to retrospectively analyze the chest X-rays of all ICU patients according to the hospital’s protocol. In the analyzed patients, we observed radiologically visible TM in the cuff area in 18.54%, while the proportion of TM in patients on prolonged MV was 90.6%.
It is known that numerous syndromes and conditions, such as Mounier–Kuhn syndrome, Ehlers Danlos syndrome, pulmonary fibrosis, and cystic fibrosis, as well as multifactorial contributory factors, such as previous smoking history, unregulated diabetes, corticosteroid therapy, airway infection (namely, chronic bronchitis), and multiple chondritis, rigid nasogastric tube, hemodynamic instability of patients, atherosclerotic disease, and an inflated cuff, can lead to the development of TM [6,7,8,9,10]. However, iatrogenic TM in patients on prolonged MV was described in the literature only through case reports [8,10]. The reason for the descriptions of TM through case reports can be either because of its rarity or because it was not recognized at all. In addition, the incidence of TM in COVID-19 patients on MV is unknown. That was why we were led to believe that the clinical significance of TM in the development of tracheal damage and life-threatening complications has not been sufficiently recognized. Unrecognized and untreated TM leads to severe tracheal damage and life-threatening complications, such as tracheal stenosis, tracheoesophageal fistula, and tracheomalacia.
This rare occurrence in patients undergoing prolonged MV may be one of the causes of cuff leaks and unsatisfactory patient ventilation. To avoid cuff leaks, aspiration, and pneumonia, the cuff must be sufficiently inflated and, according to the recommendations, the cuff pressure and volume must not exceed 30 cm H2O or 8 mL of air. According to the available literature, the cuff is often overinflated because the cuff pressure is not monitored with a manometer but rather estimated with the pilot balloon palpation or the “finger-pressure” method [13]. In this case, the finger estimation method was used, and we opted for a more inflated cuff for the purpose of reducing infectious aerosol. This method of cuff pressure estimation was also used in other reported cases of TM [8,10]. Prolonged high intra-cuff pressure (more than 40 cm H2O) leads to a decrease in local perfusion, which causes morphological changes and damage to the mucous membrane and cartilage of the trachea, leading to the development of TM [6].
According to available data from the literature, the average time of occurrence of TM in non-COVID patients is after approximately 14 days of intubation, while in our cohort, TM was recorded earlier, with a mean appearance time on the ninth day. Fiacchini et al. suggested some of the possible causes of increased incidence of tracheal damage in COVID-19 patients on prolonged MV, such as the implementation of pronation maneuvers, prothrombotic and antifibrinolytic state of patients, high viral replication within the tracheal epithelium, high dose of systematic steroids, hypoxic damage to tracheal mucosa witnessed by a lower PaO2/FiO2 ratio, and accidental errors of emotionally and physically exhausted healthcare professionals [4]. Our patients were also exposed to these factors with the difference being monitored cuff pressure with the pilot balloon palpation or “finger-pressure” method. All of these abovementioned risk factors were present in our patients with TM. According to hospital COVID protocols, all of our patients in the ICU with severe ARDS were treated with a high dose of systemic corticosteroid therapy (methylprednisolone 1–2 mg/kg) for up to 10 days. This is consistent with the national guidelines for COVID-19 treatment and based on a large, randomized trial of corticosteroid therapy’s impact on survival [14]. It is known that corticosteroids have an impact on mucosal atrophy and alter the normal healing of tracheal wall micro-wounds. Husta et al. found that inhalational corticosteroid therapy decreases the size of the vascular component of the airway wall and may reduce the volume of blood distributed, potentially resulting in smooth muscle weakness, as well as muscle atrophy via catabolic effects on muscle tissue and decreasing protein synthesis [15]. Immunomodulation caused by high-dose corticosteroid therapy can lead to a higher incidence of secondary bacterial infection, which was also present in all our patients with TM [15]. All of our patients with TM were represented as severe ARDS, with a PaO2/FiO2 ratio below 100. Early implementation of pronation maneuvers (for 12–16 h daily) was reported as beneficial in COVID-19 patients [16]. However, the prone position increases the cuff pressure on the tracheal wall, leading to its hypoperfusion.
Taking into consideration the rarity of TM, adequate therapy is still not defined. However, treatment can be conservative or surgical. In most described cases, due to the poor condition of patients and present comorbidities, conservative treatment was applied by repositioning the cuff distal to TM, and in cases of low TM, a double-lumen endotracheal tube was used. In patients with a demonstrated tracheoesophageal fistula, tracheomalacia, and cuff leak due to TM, repositioning of the tube distal to TM was performed, with the tracheostomy tube being replaced by an endotracheal tube in tracheotomized patients [13,17].
Previously, the correlation between prolonged MV and occurrence of TM and further complications were discussed [5,10]. In our cohort among patients in whom TM was observed, the average time spent on MV was 11.02 ± 1.08 days. Although further studies are needed, especially multicentric ones, the fair number of 71 patients in which we observed TM was related to fewer average days of MV than that described in the literature [6]. Furthermore, pathologic studies of the tracheas of patients who underwent MV showed unique tracheal damage at the site of the cuff [6,18]. Lesions appeared within 48 h and progressed from inflammation, mucosa ulceration, cartilage fragmentation, and finally to tracheal wall replacement with scar tissue [6,16]. Moreover, tracheal lesions and damage of the tracheal wall, leading to related respiratory complications were shown to increase in COVID-19 patients treated using MV in ICU compared to non-COVID patients, as well as in several case series [4,19,20].
In our cohort, proper pathohistological analysis of trachea wall tissue was not performed due to Croatian national guidelines during the pandemic outbreak. A few studies involving the autopsy of COVID-19 patients showed that SARS-CoV-2 infections cause multiorgan pathology; the most significant changes occur in the respiratory system, such as diffuse alveolar damage, microthrombi, bronchopneumonia, necrotizing bronchiolitis, and viral pneumonia [21,22]. Thus, we suggest a significant impact of SARS-CoV-2 on trachea tissue and accelerated mechanism of TM occurrence in COVID-19 patients and occurrence of related complications.
Based on the presented cohort, our clinical experience, and a review of recent literature, we propose recommendations for the prevention, diagnosis, and treatment of TM in patients on MV due to severe COVID-19. For the TM prevention, we recommend the use of soft nasogastric tubes for enteral nutrition, periodic and repeated control of cuff pressure with a manometer, use of endotracheal tubes and a tracheostomy tube with double cuff, careful dosing of corticosteroids, and periodic bronchoscopies for early detection of tracheal lesions in the cuff area. In order to detect damage to the trachea in the cuff area, it is necessary to perform bronchoscopy with the positioning of the tube more proximal, which is not easily feasible in all severe patients on MV. Since frequent radiological monitoring of patients’ lung status is a standard procedure, especially chest X-rays, it is necessary to determine the C/T diameter ratio, which, if greater than 1.5, speaks in favor of TM. A chest X-ray as a very simple radiological method can be extremely important in recognizing tracheomegaly. In the case of an unexplained and sudden appearance of a cuff leak, it is necessary to search for TM. The appearance of pneumomediastinum, pneumothorax, and subcutaneous emphysema may indicate the appearance of tracheal damage. Therefore, the appearance of the aforementioned respiratory complications could present indirect signs of tracheal damage. Furthermore, we encountered tracheomalacia in TM complications. Although our study was retrospective, in one patient, focal tracheomalacia was diagnosed using computerized tomography and bronchoscopy during work in the ICU.
Though we have learned a lot about SARS-CoV-2 infection since the beginning of the pandemic, there is still no consensus on the optimal timing for a tracheostomy, which was debatable even before the pandemic. It cannot be clearly stated whether an early tracheostomy yields better outcomes in critically ill patients [23]. Our physicians, guided by previous experience with non-COVID patients with acute respiratory distress syndrome, opted for an early tracheostomy, on average, performed on day 9. A multidisciplinary team indicated tracheostomy, while the main contraindications were non-perspective patients and those who often required prone ventilation. As mentioned previously, a tracheostomy was performed in 8.09% of patients in our cohort (31/383). Nonetheless, a higher frequency of TM occurred in patients with a tracheostomy (19/31, 61,29%). The reasons for TM in patients with a tracheostomy may be additional damage done to the trachea at the site of insertion, hyperinflation of the cuff, and damage to the trachea by the tip of the tracheostomy tube. After the cuff is inflated, due to the curlineage of the tracheostomy tube, the tip of the tracheal tube often additionally damages the posterior wall of the trachea. The position of the tracheal part of the tracheostomy tube can also be negatively affected by the respiratory tubes. In patients with pre-existing TM and a C/T ratio greater than 1.5, the tracheostomy further worsened TM, thus, it can be concluded that in these patients it is necessary to postpone the tracheostomy, i.e., it is necessary to place the endotracheal tube more distal to the TM. If a tracheostomy is performed in patients who do not have TM, we recommend the use of a tracheostomy tube with a double cuff (cuffs should be alternately inflated). In patients with a tracheostomy tube that are diagnosed with TM, we recommend reintubation with an endotracheal tube that should be positioned distal to the TM.
Our study offers potential novel insights into COVID-19-related TM; however, the presented results should be considered with respect to several limitations. First of all, the retrospective nature of the study and the single-center experience; our study would benefit if several centers were included. Additionally, we did not include patients who underwent mechanical ventilation due to conditions other than COVID-19. Due to the high incidence of lethal outcomes of COVID-19 patients on MV treated in ICU, the proper conclusion of whether TM is related to a worse outcome was not established. Furthermore, proper pathohistological analysis of tissue was not performed due to Croatian national guidelines during the pandemic outbreak. Finally, we cannot exclude other factors that can lead to TM in COVID-19 patients.
5. Conclusions
During the COVID-19 pandemic, a large number of patients on MV with severe viral infection in a short time pointed toward TM. Although TM is a rare occurrence in patients on mechanical ventilation, it is often undiagnosed and therefore poorly studied and described in the literature. This large study suggests that TM is a potential predictor of severe tracheal damage and life-threatening conditions (tracheoesophageal fistula, pneumothorax, pneumomediastinum, and local tracheomalacia) in COVID-19 patients on MV. Intubated patients with severe SARS-CoV-2 infection develop TM in the cuff area earlier and more frequently than in reports of non-COVID patients available in the literature. In addition, the incidence of TM in COVID-19 patients increases proportionally with time on MV and is developed by almost all patients on prolonged MV. This implies the probable synergistic influence of severe SARS-CoV-2 infection and other iatrogenic factors in the treatment process (overinflated cuff, corticosteroid therapy, tracheostomy, rigid nasogastric tube) on the development of TM. The results of this study emphasize the importance of early detection and prevention of TM in COVID-19 patients on MV using a simple radiological method, chest X-ray, and measurement of the C/T diameter ratio, as well as to promote understanding of the development of this rare phenomenon. The responsibility for the detection and prevention of TM lies not only with anesthesiologists and intensivists but also with surgeons, who should take all necessary measures to prevent life-threatening conditions in already severe patients on MV. In addition to surgical treatment of complications, it is necessary to understand the pathophysiological mechanism of TM progression and to perform synchronous treatment and prevention according to the above recommendations. We are confident that this experience and our proposed guidelines will help clinicians in their daily work with both COVID and non-COVID patients.
Author Contributions
Conceptualization, M.T., M.R. and I.L.; methodology, M.T., I.L. and M.R.; software, M.R. and D.O.; validation, M.T., I.L. and M.R.; formal analysis, M.R.; investigation, M.T., F.Đ., M.R., D.O. and J.P.; resources, M.T. and M.R.; data curation, M.T. and M.R.; writing—original draft preparation, M.T., I.L., J.P. and M.R.; writing—review and editing, I.L. and J.P.; visualization, M.T., M.R. and F.Đ.; supervision, I.L. and J.P.; project administration, M.T., M.R. and F.Đ. All authors read and agreed to the published version of the manuscript.
Funding
Authors did not receive any material or financial gain or personal advancement in the production of this manuscript.
Institutional Review Board Statement
The study was conducted in accordance with the Declaration of Helsinki and approved by the Institutional Review Board of Dubrava University Hospital, Zagreb (2021/2901-02, 29 January 2021).
Informed Consent Statement
Written informed consent was obtained from all subjects involved in the study.
Data Availability Statement
All data generated or analyzed during this study are included in this published article.
Conflicts of Interest
The authors declare no conflict of interest.
References
- Al-Samkari, H.; Karp Leaf, R.S.; Dzik, W.H.; Carlson, J.C.; Fogerty, A.E.; Waheed, A.; Goodarzi, K.; Bendapudi, P.K.; Bornikova, L.; Gupta, S.; et al. Covid-19 and coagulation: Bleeding and thrombotic manifestations of SARS-CoV-2 infection. Blood 2020, 136, 489–500. [Google Scholar] [CrossRef] [PubMed]
- Chen, N.; Zhou, M.; Dong, X.; Qu, J.; Gong, F.; Han, Y.; Qiu, Y.; Wang, J.; Liu, Y.; Wei, Y.; et al. Epidemiological and clinical characteristics of 99 cases of 2019 novel coronavirus pneumonia in Wuhan, China: A descriptive study. Lancet 2020, 395, 507–513. [Google Scholar] [CrossRef] [Green Version]
- Pieracci, F.M.; Burlew, C.C.; Spain, D.; Livingston, D.H.; Bulger, E.M.; Davis, K.A.; Michetti, C. Tube thoracostomy during the COVID-19 pandemic: Guidance and recommendations from the AAST Acute Care Surgery and Critical Care Committees. Trauma Surg. Acute Care Open 2020, 5, e000498. [Google Scholar] [CrossRef] [PubMed]
- Fiacchini, G.; Trico, D.; Ribechini, A.; Forfori, F.; Brogi, E.; Lucchi, M.; Berrettini, S.; Bertini, P.; Guarracino, F.; Bruschini, L. Evaluation of the Incidence and Potential Mechanisms of Tracheal Complications in Patients With COVID-19. JAMA Otolaryngol. Head Neck Surg. 2021, 147, 70–76. [Google Scholar] [CrossRef]
- Harper, S.; Robinson, M.; Manning, G.; Jones, A.; Hobson, J.; Shelton, C.L. Management of tracheostomy-related tracheomegaly in a patient with COVID-19 pneumonitis. Anaesth. Rep. 2020, 8, e12076. [Google Scholar] [CrossRef]
- Khan, F.; Reddy, N.C. Enlarging intratracheal tube cuff diameter: A quantitative roentgenographic study of its value in the early prediction of serious tracheal damage. Ann. Thorac. Surg. 1977, 24, 49–53. [Google Scholar] [CrossRef]
- Kim, M.Y.; Kim, E.J.; Min, B.W.; Ban, J.S.; Lee, S.K.; Lee, J.H. Anesthetic experience of a patient with tracheomegaly—A case report. Korean J. Anesthesiol. 2010, 58, 197–201. [Google Scholar] [CrossRef]
- Giudice, M.; Gallo, S.; Maffioli, M.P.; Minoja, G.; Mazzi, G.; Narne, S.; Castelnuovo, P. Acquired tracheal dilatation after prolonged ventilation: An unusual treatment option. Laryngoscope 2014, 124, 2309–2312. [Google Scholar] [CrossRef]
- Lee, D.H.; Yoon, T.M.; Lee, J.K.; Lim, S.C. Tracheomegaly Secondary to Tracheotomy Tube Cuff in Amyotrophic Lateral Sclerosis: A Case Report. Medicine 2015, 94, e1763. [Google Scholar] [CrossRef]
- Kucuk, C.; Arda, K.; Ata, N.; Turkkani, M.H.; Yildiz, O.O. Tracheomegaly and tracheosephagial fistula following mechanical ventilation: A case report and review of the literature. Respir. Med. Case Rep. 2016, 17, 86–89. [Google Scholar] [CrossRef] [Green Version]
- Ministarstvo Zdravstva Republike Hrvatske. Smjernice Za Liječenje Oboljelih Od Koronavirusne Bolesti 2019 (COVID-19) Verzija 2. Hrvatski Zavod Za Javno Zdravstvo. Available online: https://www.hzjz.hr/wp-content/uploads/2020/03/Smjernice_COVID_19_27_11_2020.pdf (accessed on 14 May 2022).
- Conover, W.J. Practical Nonparametric Statistics; Wiley: New York, NY, USA, 1999. [Google Scholar]
- Abubaker, J.; Zia Ullah, S.; Ahmed, S.; Rehman Memon, A.U.; Abubaker, Z.J.; Ansari, M.I.; Karim, M. Evaluating the Knowledge of Endotracheal Cuff Pressure Monitoring Among Critical Care Providers by Palpation of Pilot Balloon and By Endotracheal Tube Cuff Manometer. Cureus 2019, 11, e5061. [Google Scholar] [CrossRef] [Green Version]
- Group, R.C.; Horby, P.; Lim, W.S.; Emberson, J.R.; Mafham, M.; Bell, J.L.; Linsell, L.; Staplin, N.; Brightling, C.; Ustianowski, A.; et al. Dexamethasone in Hospitalized Patients with Covid-19. N. Engl. J. Med. 2021, 384, 693–704. [Google Scholar] [CrossRef]
- Husta, B.C.; Raoof, S.; Erzurum, S.; Mehta, A.C. Tracheobronchopathy From Inhaled Corticosteroids. Chest 2017, 152, 1296–1305. [Google Scholar] [CrossRef] [PubMed]
- Langer, T.; Brioni, M.; Guzzardella, A.; Carlesso, E.; Cabrini, L.; Castelli, G.; Dalla Corte, F.; De Robertis, E.; Favarato, M.; Forastieri, A.; et al. Prone position in intubated, mechanically ventilated patients with COVID-19: A multi-centric study of more than 1000 patients. Crit. Care 2021, 25, 128. [Google Scholar] [CrossRef] [PubMed]
- Chen, W.; Li, J.; Deng, R.; Chen, C. Case report: Tracheoesophageal fistula secondary to post-intubation tracheomegaly in a tetanus patient. Ann. Palliat. Med. 2021, 10, 4922–4925. [Google Scholar] [CrossRef]
- Cooper, J.D.; Grillo, H.C. The evolution of tracheal injury due to ventilatory assistance through cuffed tubes: A pathologic study. Ann. Surg. 1969, 169, 334–348. [Google Scholar] [CrossRef]
- Green, M.S.; Mathew, J.J.; Michos, L.J.; Green, P.; Aman, M.M. Using Bronchoscopy to Detect Acquired Tracheoesophageal Fistula in Mechanically Ventilated Patients. Anesthesiol. Pain Med. 2017, 7, e57801. [Google Scholar] [CrossRef] [Green Version]
- Bibas, B.J.; Cardoso, P.F.G.; Minamoto, H.; Pego-Fernandes, P.M. Surgery for intrathoracic tracheoesophageal and bronchoesophageal fistula. Ann. Transl. Med. 2018, 6, 210. [Google Scholar] [CrossRef]
- Vasquez-Bonilla, W.O.; Orozco, R.; Argueta, V.; Sierra, M.; Zambrano, L.I.; Munoz-Lara, F.; Lopez-Molina, D.S.; Arteaga-Livias, K.; Grimes, Z.; Bryce, C.; et al. A review of the main histopathological findings in coronavirus disease 2019. Hum. Pathol. 2020, 105, 74–83. [Google Scholar] [CrossRef]
- Satturwar, S.; Fowkes, M.; Farver, C.; Wilson, A.M.; Eccher, A.; Girolami, I.; Pujadas, E.; Bryce, C.; Salem, F.; El Jamal, S.M.; et al. Postmortem Findings Associated With SARS-CoV-2: Systematic Review and Meta-analysis. Am. J. Surg. Pathol. 2021, 45, 587–603. [Google Scholar] [CrossRef]
- Brenner, M.J.; Feller-Kopman, D.; De Cardenas, J. POINT: Tracheostomy in Patients with COVID-19: Should We Do It Before 14 Days? Yes. Chest 2021, 159, 1723–1727. [Google Scholar] [CrossRef] [PubMed]
Publisher’s Note: MDPI stays neutral with regard to jurisdictional claims in published maps and institutional affiliations. |
© 2022 by the authors. Licensee MDPI, Basel, Switzerland. This article is an open access article distributed under the terms and conditions of the Creative Commons Attribution (CC BY) license (https://creativecommons.org/licenses/by/4.0/).





