Stable Cu2P3I2 and Ag2P3I2 Single-Wire and Thin Film Devices for Humidity Sensing
Abstract
:1. Introduction
2. Materials and Methods
2.1. Synthesis of Cu2P3I2
2.2. Synthesis of Ag2P3I2
2.3. Preparation of Thin Films
2.4. Electrical Characterization
2.5. Humidity Controlled Atmospheres
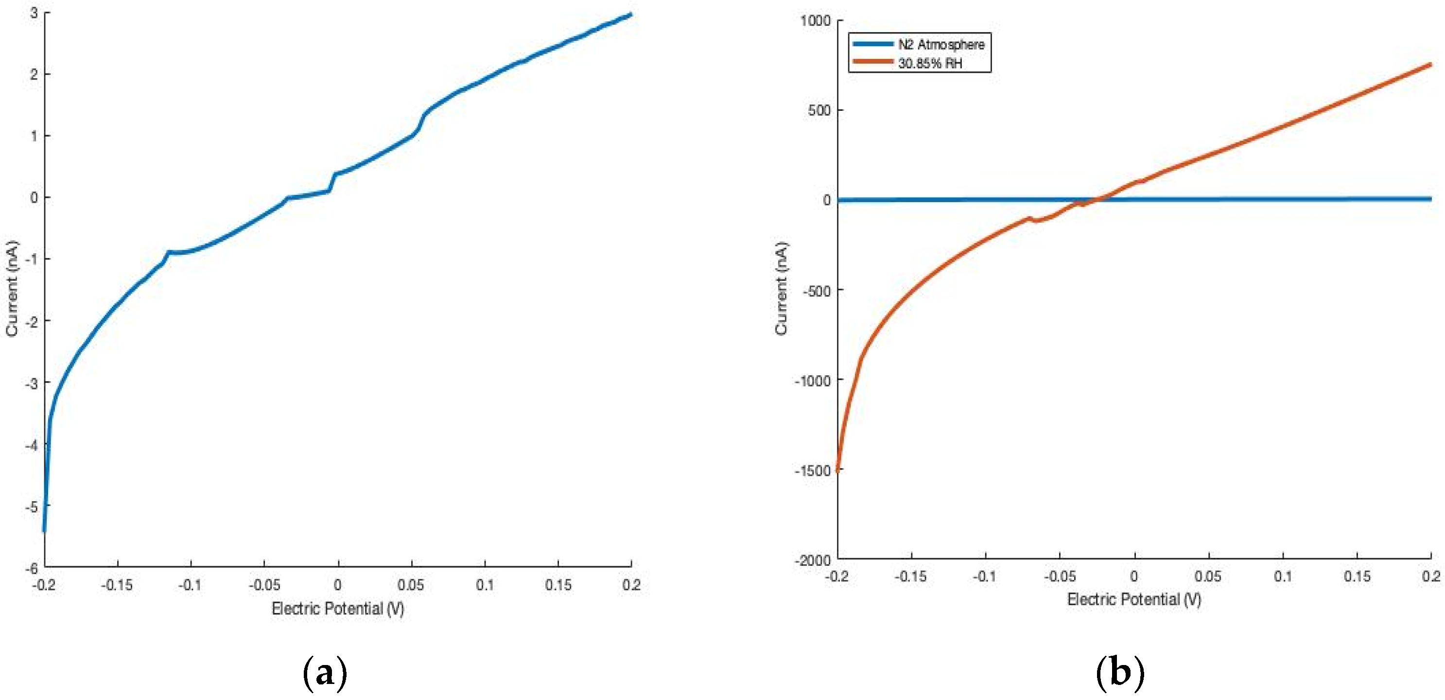
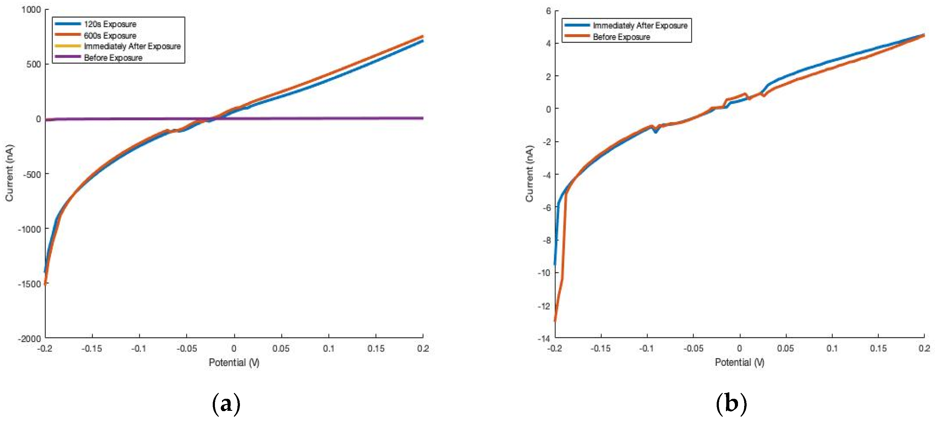
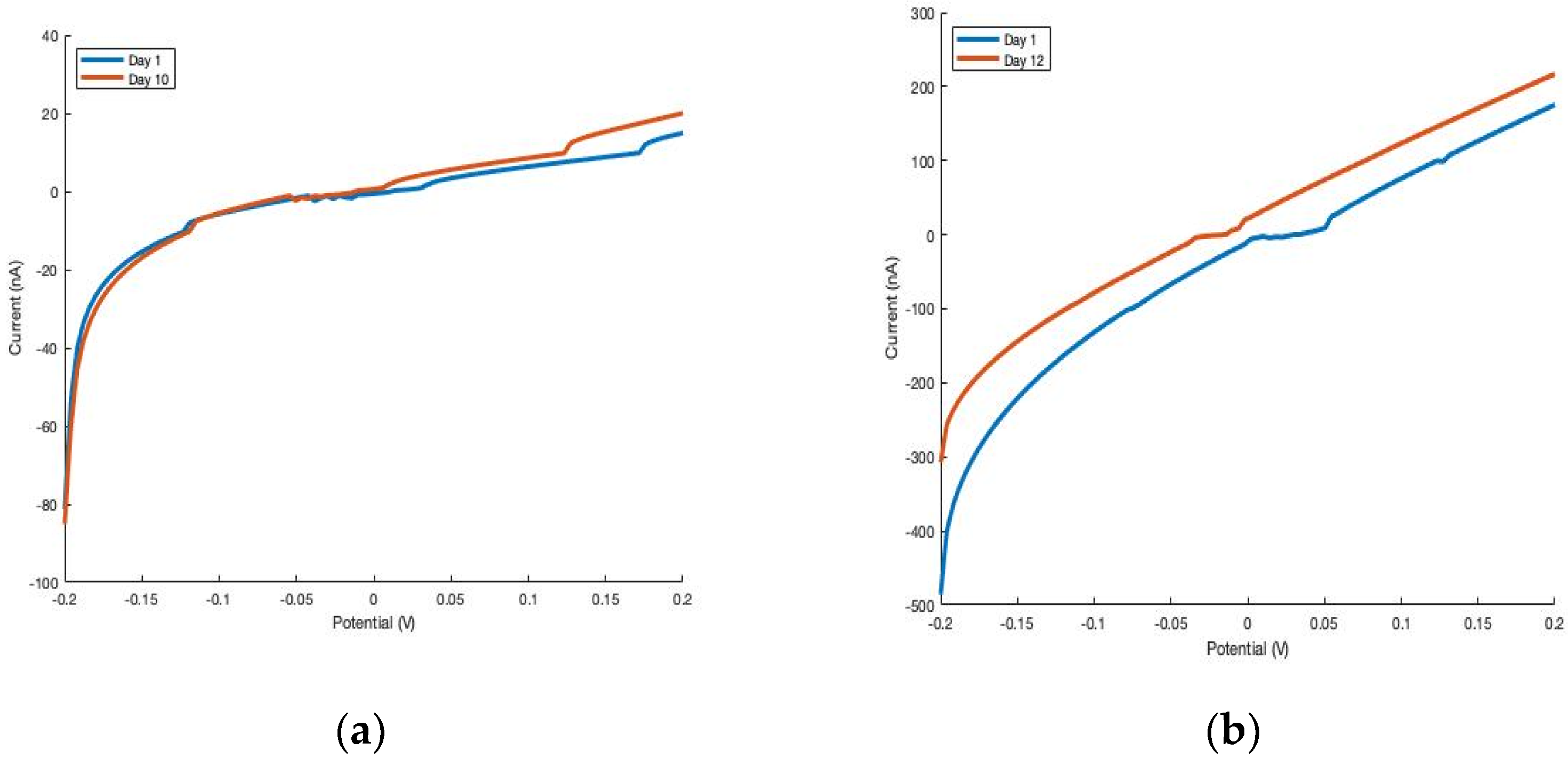
3. Results and Discussion
4. Conclusions
Author Contributions
Funding
Institutional Review Board Statement
Informed Consent Statement
Conflicts of Interest
References
- Amaral, P.E.M.; Nieman, G.P.; Schwenk, G.R.; Jing, H.; Zhang, R.; Cerkez, E.B.; Strongin, D.; Ji, H. High Electron Mobility of Amorphous Red Phosphorus Thin Films. Angew. Chem. Int. Ed. 2019, 58, 6766–6771. [Google Scholar] [CrossRef] [PubMed]
- Zhang, G.; Liu, D.; Tian, N.; Liu, B.; Li, S.; You, C.; Qu, X.; Ma, H.; Fan, C.; Zhang, Y. Liquid Exfibration and Optoelectronic Devices of Fibrous Phosphorus. Inorg. Chem. 2020, 59, 976–979. [Google Scholar] [CrossRef] [PubMed]
- Schusteritsch, G.; Uhrin, M.; Pickard, C.J. Single-Layered Hittorf’s Phosphorus: A Wide-Bandgap High Mobility 2D Material. Nano Lett. 2016, 16, 2975–2980. [Google Scholar] [CrossRef] [PubMed] [Green Version]
- Wu, Z.; Lyu, Y.; Zhang, Y.; Ding, R.; Zheng, B.; Yang, Z.; Lau, S.P.; Chen, X.H.; Hao, J. Large-Scale Growth of Few-Layer Two-Dimensional Black Phosphorus. Nat. Mater. 2021, 20, 1203–1209. [Google Scholar] [CrossRef] [PubMed]
- Islam, A.; Feng, P.X.-L. Electronic Applications of Black Phosphorus Thin Films. In Fundamentals and Applications of Phosphorus Nanomaterials; Ji, H.-F., Ed.; ACS Symposium Series; American Chemical Society: Washington, DC, USA, 2019; Volume 1333, pp. 179–194. [Google Scholar] [CrossRef]
- Dong, B.; Huang, L.; Lee, C.; Ang, K.-W. Black Phosphorus Based Photodetectors. In Fundamentals and Applications of Phosphorus Nanomaterials; Ji, H.-F., Ed.; ACS Symposium Series; American Chemical Society: Washington, DC, USA, 2019; Volume 1333, pp. 135–153. [Google Scholar] [CrossRef]
- Liu, Y.; Li, J.; Hu, Z.; Yu, J.C. Photocatalytic Property of Phosphorus. In Fundamentals and Applications of Phosphorus Nanomaterials; Ji, H.-F., Ed.; ACS Symposium Series; American Chemical Society: Washington, DC, USA, 2019; Volume 1333, pp. 155–177. [Google Scholar] [CrossRef]
- Marmolejo-Tejada, J.M.; Jaramillo-Botero, A. Effect of Surface Oxidation on the Electronic Transport Properties of Phosphorene Gas Sensors: A Computational Study. RSC Adv. 2020, 10, 6893–6899. [Google Scholar] [CrossRef]
- Wood, J.D.; Wells, S.A.; Jariwala, D.; Chen, K.-S.; Cho, E.; Sangwan, V.K.; Liu, X.; Lauhon, L.J.; Marks, T.J.; Hersam, M.C. Effective Passivation of Exfoliated Black Phosphorus Transistors against Ambient Degradation. Nano Lett. 2014, 14, 6964–6970. [Google Scholar] [CrossRef] [PubMed] [Green Version]
- Miao, J.; Cai, L.; Zhang, S.; Nah, J.; Yeom, J.; Wang, C. Air-Stable Humidity Sensor Using Few-Layer Black Phosphorus. ACS Appl. Mater. Interfaces 2017, 9, 10019–10026. [Google Scholar] [CrossRef] [PubMed]
- Amaral, P.E.M.; Ji, H.-F. Stable Copper Phosphorus Iodide (Cu2P3I2) Nano/Microwire Photodetectors. ChemNanoMat 2018, 4, 1083–1087. [Google Scholar] [CrossRef]
- Zhang, L.; Huang, H.; Zhang, B.; Gu, M.; Zhao, D.; Zhao, X.; Li, L.; Zhou, J.; Wu, K.; Cheng, Y.; et al. Structure and Properties of Violet Phosphorus and Its Phosphorene Exfoliation. Angew. Chem. Int. Ed. 2020, 59, 1074–1080. [Google Scholar] [CrossRef]
- Möller, M.H.; Jeitschko, W. Preparation, Properties, and Crystal Structure of the Solid Electrolytes Cu2P3I2 and Ag2P3I2. J. Solid State Chem. 1986, 65, 178–189. [Google Scholar] [CrossRef]
- Yashima, M.; Xu, Q.; Yoshiasa, A.; Wada, S. Crystal Structure, Electron Density and Diffusion Path of the Fast-Ion Conductor Copper Iodide CuI. J. Mater. Chem. 2006, 16, 4393. [Google Scholar] [CrossRef]
- Crovetto, A.; Hempel, H.; Rusu, M.; Choubrac, L.; Kojda, D.; Habicht, K.; Unold, T. Water Adsorption Enhances Electrical Conductivity in Transparent P-Type CuI. ACS Appl. Mater. Interfaces 2020, 12, 48741–48747. [Google Scholar] [CrossRef] [PubMed]
- Yamamoto, T.; Maesato, M.; Hirao, N.; Kawaguchi, S.I.; Kawaguchi, S.; Ohishi, Y.; Kubota, Y.; Kobayashi, H.; Kitagawa, H. The Room-Temperature Superionic Conductivity of Silver Iodide Nanoparticles under Pressure. J. Am. Chem. Soc. 2017, 139, 1392–1395. [Google Scholar] [CrossRef]
- Zielke, S.A.; Bertram, A.K.; Patey, G.N. A Molecular Mechanism of Ice Nucleation on Model AgI Surfaces. J. Phys. Chem. B 2015, 119, 9049–9055. [Google Scholar] [CrossRef]
- Greenspan, L. Humidity Fixed Points of Binary Saturated Aqueous Solutions. J. Res. Natl. Bur. Stand. Sect. A Phys. Chem. 1977, 81A, 89. [Google Scholar] [CrossRef]
- PST|Michell Humidity Calculator. Available online: https://www.processsensing.com/en-us/humidity-calculator/ (accessed on 17 February 2022).






| Material | Type of Device | Sensitivity in the 0–~30.85% RH Range |
|---|---|---|
| Cu2P3I2 | Thin film | 2.43 × 10−8 |
| Cu2P3I2 | Single wire | 6.37 × 10−9 |
| Ag2P3I2 | Thin film | 7.59 × 10−9 |
| Ag2P3I2 | Single wire | 3.04 × 10−9 |
Publisher’s Note: MDPI stays neutral with regard to jurisdictional claims in published maps and institutional affiliations. |
© 2022 by the authors. Licensee MDPI, Basel, Switzerland. This article is an open access article distributed under the terms and conditions of the Creative Commons Attribution (CC BY) license (https://creativecommons.org/licenses/by/4.0/).
Share and Cite
Schwenk, G.R.; Walters, J.T.; Ji, H.-F. Stable Cu2P3I2 and Ag2P3I2 Single-Wire and Thin Film Devices for Humidity Sensing. Micro 2022, 2, 183-190. https://doi.org/10.3390/micro2010012
Schwenk GR, Walters JT, Ji H-F. Stable Cu2P3I2 and Ag2P3I2 Single-Wire and Thin Film Devices for Humidity Sensing. Micro. 2022; 2(1):183-190. https://doi.org/10.3390/micro2010012
Chicago/Turabian StyleSchwenk, Gregory R., John T. Walters, and Hai-Feng Ji. 2022. "Stable Cu2P3I2 and Ag2P3I2 Single-Wire and Thin Film Devices for Humidity Sensing" Micro 2, no. 1: 183-190. https://doi.org/10.3390/micro2010012
APA StyleSchwenk, G. R., Walters, J. T., & Ji, H.-F. (2022). Stable Cu2P3I2 and Ag2P3I2 Single-Wire and Thin Film Devices for Humidity Sensing. Micro, 2(1), 183-190. https://doi.org/10.3390/micro2010012

