Next Article in Journal
Relaxation Dynamics of Liquid Sulfur Across the λ-Transition
Previous Article in Journal
Phase Separation in Nonaqueous Systems Induced by a Solid Component
 
 
Font Type:
Arial Georgia Verdana
Font Size:
Aa Aa Aa
Line Spacing:
Column Width:
Background:
Article

Hydrophilicity and Hydrophobicity at the Nanoscale: A Theoretical Study on Two-Dimensional Cylindrical Droplets with Disjoining Pressure Effects

Tokyo City University, Setagaya-ku, Tokyo 158-8557, Japan
Liquids 2026, 6(1), 11; https://doi.org/10.3390/liquids6010011
Submission received: 27 November 2025 / Revised: 11 February 2026 / Accepted: 5 March 2026 / Published: 11 March 2026
(This article belongs to the Section Physics of Liquids)

Abstract

Hydrophobicity and hydrophilicity are incompatible in the sense that a single substrate cannot exhibit both characteristics simultaneously. On a hydrophobic substrate, for example, a macroscopic droplet always exhibits a morphology with a contact angle higher than 90°, never lower than 90°. In this paper, we theoretically demonstrate the possibility that a nanoscale droplet can exhibit a contact angle lower than 90° on the same hydrophobic substrate. To demonstrate this, we analyze the morphology and contact angle of a sessile droplet on smooth flat substrates, taking into account disjoining pressure of Lennard–Jones type. By constraining the two-dimensional cylindrical droplet and minimizing the free-energy functional, we derive a formula to determine the droplet’s morphology and the boundary between hydrophilic and hydrophobic contact angles for finite-sized droplets. Using this formulation, we reconsider the formula for the macroscopic contact angle, known as the Derjaguin–Frumkin formula. By utilizing a simple disjoining pressure model, we find that the calculated contact angle at the nanoscale is always smaller than the macroscopic contact angle determined by the Derjaguin–Frumkin formula. Consequently, the wettability (hydrophilicity/hydrophobicity) differs at the nanoscale compared to the macroscale. We further discuss the implication of our results on the size-dependent contact angle and line tension at the nanoscale.

1. Introduction

The hydrophilicity and hydrophobicity of substrates are determined by the Young’s contact angle θ Y defined by [1]
γ cos θ Y = γ sv γ sl ,
where γ , γ sv and γ sl are the liquid–vapor, solid–vapor, and solid–liquid surface tensions, respectively. If θ Y is less than 90°, the substrate is classified as hydrophilic; if θ Y is greater than 90°, the substrate is classified as hydrophobic.
Experimentally, the most common method of measuring contact angle θ Y is to observe sessile droplets: A small amount of liquid is deposited on a smooth and flat substrate, forming a droplet whose geometrical contact angle θ is measured with a telescope or microscope [2]. The morphology of the droplet changes from a shallow cap shape with a contact angle θ smaller than 90° as shown in Figure 1a to a nearly spherical deep cap shape with a contact angle larger than 90° as shown in Figure 1b. The measured droplet’s contact angle θ is then identified as the Young’s contact angle θ Y .
Theoretically, when considering a macroscopic equilibrium wetting film of thickness h , Young’s Equation (1) is transformed into the form [3,4,5]
cos θ m = 1 + V h γ ,
where V h represents the surface potential V ( h ) of the wetting film thickness h at the equilibrium thickness h of the wetting (adsorbed) film. This surface potential describes the molecular interaction between the liquid molecules and the substrate. The subscript “m” is used instead of “Y” to emphasize that this contact angle corresponds to that of a macroscopic droplet.
Equation (2) is equivalent to the formula known as the Derjaguin–Frumkin formula [6,7,8,9]
cos θ m 1 + 1 γ h Π ( h ) d h ,
where the function Π ( h ) is known as the disjoining pressure, which is related to the surface potential V ( h ) in Equation (2) through
V ( h ) = h Π z d z .
Therefore, Π ( h ) = d V / d h . Since the formulas in Equations (2)–(4) are derived by considering the uniform thin wetting film adsorbed onto the substrate, the contact angle θ m calculated from them does not necessarily guarantee that they represent the actual geometrical contact angle θ of the finite-size droplet. Furthermore, since these formulas assume a wetting film, their utility to the hydrophobic substrate is not clear.
A connection between the surface potential V ( h ) or the disjoining pressure Π ( h ) and the droplet’s geometrical contact angle θ rather than the thermodynamic contact angle θ m is only established through a theoretical free-energy functional model of varying degrees of sophistication [10,11,12,13,14,15,16,17,18]. Among these models, Starov and Velarde [14] provided a clear understanding of the geometrical implications of the Derjaguin–Frumkin Formula (3) for hydrophilic substrates based on the morphology of two-dimensional cylindrical droplets derived from the one-dimensional free-energy functional model.
In this paper, we first extend Starov and Velarde’s approach to include both hydrophilic and hydrophobic substrates. We theoretically analyze the morphology and contact angle of cylindrical droplets using a simple free-energy functional model. Droplets on hydrophilic substrates are referred to as hydrophilic droplets, with their morphologies known as hydrophilic morphologies. Similarly, droplets on hydrophobic substrates are referred to as hydrophobic droplets, with their morphologies known as hydrophobic morphologies. Next, we calculate the geometrical contact angle of droplets down to the nanoscale using the developed free-energy functional model to determine if the wettability (hydrophilicity/hydrophobicity) from the geometrical contact angle is consistent with that predicted from the macroscopic contact angles calculated from Equations (2) to (3).
We are limiting ourselves to a two-dimensional cylindrical droplet in order to interpret the Derjaguin–Frumkin Formula (3) for both hydrophilic and hydrophobic substrates in a unified manner. While a more realistic axisymmetric three-dimensional droplet with the correct Laplace pressure could also be considered [13], it would result in losing a clear connection to the Derjaguin–Frumkin formula. This would also require numerical computation for each individual case, making it impossible to maintain a clear physical picture and mathematical formulation.
The organization of the present paper is as follows: We consider a strictly two dimensional system throughout to maintain the connection to the thermodynamic formulation in Equations (2) and (3). We closely follow Starov and Velarde’s work [14] and formulate the Euler–Lagrange equation to determine the droplet morphology of not only the hydrophilic droplet but also the hydrophobic droplet from the free energy functional model that includes the effect of disjoining pressure in Section 2. There, we also re-derive the Derjaguin–Frumkin formula [6,7,14] for macroscopic contact angles for hydrophobic droplets. In Section 3 we use the simplest one-parameter disjoining pressure model [19,20,21] and study the effect of the surface force on the morphology of droplets. In particular, we pay attention to the transition of morphology from hydrophilic to hydrophobic, as shown in Figure 1, by changing the parameters of the surface force and the droplet’s size. In Section 4 we will discuss the implications of our theoretical results for the concept of line tension and droplet size dependence of contact angle. Finally in Section 5 we conclude with a short comment on our theoretical results on the wettability (hydrophilicity/hydrophobicity) at the nanoscale.

2. Droplet Morphology, Contact Angle, and Disjoining Pressure

2.1. A Droplet on a Hydrophilic Substrate

In this subsection, we will review the comprehensive paper by Starov and Velarde [14] on a hydrophilic droplet, which will be translated into a hydrophobic droplet in the next subsection. We are considering a two-dimensional system, specifically, a cylindrical droplet on a flat substrate along the x axis. This simplifies the mathematics greatly and makes analytical treatment possible. We are focusing on the right-half portion ( x 0 as shown in Figure 1) of a droplet under oversaturated vapor [9,15,18] whose height is defined by a function h ( x ) and is surrounded by a wetting film of thickness h under pressure P. It is important to note that the function h ( x ) is a single-valued function for hydrophilic droplets.
We will begin with the free-energy functional [7,14] or the interface Hamiltonian [9] written as
Φ [ h ] = 2 0 f x ; h , h x d x ,
with
f x ; h , h x = γ 1 + h x 2 + P h h + V ( h ) V h ,
where h x = d h / d x , P is the excess pressure inside the droplet and the surface potential V ( h ) is related to the disjoining pressure Π ( h ) through Equation (4) [6,7,14].
Minimizing the free-energy functional in Equation (5) leads to the Euler–Lagrange equation
d d x f h x f h = 0 ,
or
γ d d x h x 1 + h x 2 P + Π ( h ) = 0 ,
which is written as [7,11,14]
γ h x x 1 + h x 2 3 / 2 + Π ( h ) = P ,
where h x x = d 2 h / d x 2 . This equation shows that the excess pressure P on the right-hand side consists of the Laplace pressure (the first term) and the disjoining pressure (the second term) on the left-hand side. As x ± , the droplet is surrounded by a wetting film with the equilibrium film thickness h = h and h x = h x x = 0 , so
P = Π h .
In fact, since the droplet we consider is the critical nucleus of heterogeneous nucleation [15,18] under oversaturated vapor, the equilibrium film height h is determined by the excess pressure P.
The first integral of Equation (9) can be obtained analytically as [7,14]
1 1 + h x 2 = C P h V ( h ) γ ,
where C is an integration constant, that can be determined from the transversality condition h x 0 as h h , and Equation (11) then becomes
1 1 + h x 2 = γ L ( h ) γ
with the thermodynamic potential [14]:
L ( h ) = P h h + V ( h ) V h .
The morphology (meniscus) and, therefore, the contact angle θ of a hydrophilic droplet will then be determined by
d h d x 2 = 2 γ L ( h ) L ( h ) 2 γ L ( h ) 2
derived from Equation (12).
The macroscopic contact angle θ m can be defined as the angle between the horizontal line of the wetting film with thickness h and the extrapolation of a cylindrical meniscus near the apex of the droplet down to the wetting film [14] (see Figure 1a). Now, we consider the meniscus near the apex at h = h max of a droplet characterized by h x h = h max = 0 and determine the integration constant C from Equation (11) at h = h max instead of h h . Then, the first integral in Equation (11) becomes
1 1 + h x 2 = γ + P h max h + V h max V ( h ) γ
near the apex of the droplet at h max . Because the effect of the disjoining pressure Π ( h ) or the surface potential V ( h ) could be neglected near h max , we have
1 1 + h x 2 = γ + P h max h γ ,
which represents a cylindrical droplet [14] with the Laplace radius r L of
r L = γ P .
The excess pressure P must always be negative ( P < 0 ) for sessile droplets with a convex meniscus under oversaturated vapor [14].
The macroscopic contact angle θ m is defined as the slope of the cylindrical meniscus at h . Therefore,
h x h = tan θ m ,
where the minus sign (−) arises because we are considering the right-half portion ( x 0 ) of the droplet. Since 1 / 1 + h x h 2 = cos θ m , Equation (16) for a hydrophilic droplet ( θ m < 90 ° ) as h h becomes
cos θ m = γ + P h max h γ .
In the same limit h h , Equation (15) becomes
1 = γ + P h max h + V h max V ( h ) γ ,
where we also used h x 0 . Combining Equations (19) and (20), we obtain
cos θ m = 1 + V h V h max γ = 1 + 1 γ h h max Π ( h ) d h .
This equation becomes Equations (2) and (3) when V h max V ( ) = 0 . Therefore, the formulas for the macroscopic contact angle θ m in Equations (2)–(4) originally derived from the thermodynamic equilibrium of an infinite thin film can also be derived geometrically as the contact angle of an ideal cylindrical droplet.

2.2. A Droplet on a Hydrophobic Substrate

The argument presented in the previous subsection does not apply to hydrophobic droplets, as h ( x ) becomes a multi-valued function (see Figure 1b). Instead, the function x ( h ) remains a single-valued function. By changing the variable in Equation (5) and considering the function x ( h ) instead of h ( x ) [22], we analyze the free-energy functional of x ( h ) given by
Φ [ x ] = h h max γ 1 + x h 2 d h + h max h P h h + V ( h ) V h d x d h d h ,
where x h = d x / d h , and we have transformed the surface energy as γ 1 + h x 2 d x = γ 1 + x h 2 d h and changed the variable for the potential terms in Equation (5). Equation (22) can be transformed into
Φ [ x ] = h h max g h ; x , x h d h   = h h max γ 1 + x h 2 + x P + x d V d h d h ,
using the free-energy density g instead of f in Equation (6), where we have used integration by parts and omitted constant terms.
The Euler–Lagrange equation in Equation (7) for the free-energy density g is written as
γ d d h x h 1 + x h 2 P + Π ( h ) = 0 ,
or [22]
γ x h h 1 + x h 2 3 / 2 + Π ( h ) = P ,
which corresponds to Equation (9) and x h h = d 2 x / d h 2 . Since 1 + x h 2 3 / 2 x h 3 = 1 / h x 3 and x h h = ( 1 / h x ) d ( 1 / h x ) / d x = h x x / h x 3 when h h , the first term on the left-hand side of Equation (25) reduces to h x x 0 . Therefore, we obtain Equation (10) for the excess pressure P, now for hydrophobic droplets again. Note that the droplet is a heterogeneous nucleus [15,18] in oversaturated vapor and is surrounded by a wetting film of thickness h .
Equation (24) can be integrated with an integration constant C , resulting in
x h 1 + x h 2 = C + P h + V ( h ) γ ,
which corresponds to Equation (11) for hydrophilic droplets. However, x h can be both positive and negative for hydrophobic droplets (Figure 1b), while it is always negative for hydrophilic droplets (Figure 1a).
Since x h as h h (see Figure 1b) in Equation (26), C = C of Equation (11), and Equation (26) becomes
x h 1 + x h 2 = γ L ( h ) γ ,
where L ( h ) is defined by Equation (13). Therefore, the morphology (meniscus) of a hydrophobic droplet can be determined by
d x d h 2 = γ L ( h ) 2 2 γ L ( h ) L ( h ) 2 ,
which is equivalent to Equation (14) for a hydrophilic droplet. Consequently, Equation (14) can also be used to determine the morphology of a hydrophobic droplet.
Finally, we consider the macroscopic contact angle θ m of a hydrophobic droplet. Near the apex h h max , x h again (Figure 1b). Equation (26) gives C = C in Equation (15), and we have
x h 1 + x h 2 = γ + P h max h + V h max V ( h ) γ ,
which is approximated by
x h 1 + x h 2 = γ + P h max h γ
corresponding to a cylindrical profile with a Laplace radius r L given by Equation (17) again. From the macroscopic contact angle θ m defined by Equation (18), x h = 1 / tan θ m ( θ m > 90 ° ) as h h so that Equation (30) becomes
cos θ m = γ + P h max h γ .
In the same limit h h , x h so that Equation (29) becomes
1 = γ + P h max h + V h max V h γ .
Eliminating the pressure P from Equations (31) and (32), we obtain Equation (21) now for a hydrophobic droplet again.
Therefore, Equations (2)–(4) can also be applicable to a hydrophobic droplet, and Equation (2) indicates
V h > 2 γ N o   d r o p l e t s ,   o n l y   a   w e t t i n g   f i l m , 2 γ > V h > γ H y d r o p h o b i c ,   θ m > 90 ° , γ > V h > 0 H y d r o p h i l i c ,   θ m < 90 ° ,
for macroscopic droplets. In fact, the macroscopic contact angle θ m is a thermodynamically defined contact angle. The real geometrical contact angle θ can only be defined from the morphology of the droplet, which can be obtained by solving Equation (14) or (28).

3. Geometrical Contact Angle Using a Simplified Disjoining Pressure

To study the morphology and contact angle of both hydrophilic and hydrophobic droplets, we will revisit the simplest model studied by Pekker et al. [21]. This model employed the simplest one-parameter disjoining pressure [19,20,21]
Π ( h ) = χ h * h m h * h n ,
where χ is the strength of the disjoining pressure, h * characterizes the wetting film thickness, and m and n are the power-law exponents of the repulsive and attractive parts of the disjoining pressure. Then, the pressure P in Equation (10) can be expressed as
P = Π h = χ h * h m h * h n .
We closely follow Pekker et al. [21] and introduce non-dimensionalization, as follows:
x = γ h * χ X , h = h * H , α = χ h * γ .
Equation (14) is transformed into [21]
d H d X 2 = B ( H ) α 1 2 B ( H ) 2 1 1 2 α B ( H ) 2
where
B ( H ) = 2 H 1 H m 1 H n + 1 ( m 1 ) H m 1 1 ( n 1 ) H n 1 m ( m 1 ) H m 1 + n ( n 1 ) H n 1
instead of L ( h ) in Equation (14) defined as
L ( h ) = 1 2 ( χ h * ) B h h * ,
and H = h / h * . Furthermore, a small parameter ε is defined [21] as
H = 1 + ε
to characterize the wetting film thickness h and the excess pressure P. Now the problem of morphology (hydrophilic/hydrophobic) is completely characterized by two parameters: ε and α . The former represents the surrounding vapor phase through the pressure P in Equation (35), and the latter represents the liquid–substrate interaction χ through Equation (36).
Figure 2 shows the disjoining pressure Π ( h ) in Equation (34), along with the corresponding V ( h ) calculated from Equation (4) and L ( h ) defined in Equation (13) for various values of h when m = 9 and n = 3 . We will utilize m = 9 and n = 3 , which is a simplified form of the surface potential derived from the Lennard–Jones 12-6 potential, for numerical calculation. Then, the strength χ in Equation (34) corresponds to the Hamaker constant [2]. It is evident that L ( h ) reaches a maximum near h h * , which is crucial for understanding the hydrophilic–hydrophobic morphological changes.
Other choices [20] for the index ( m , n ) and even more complex realistic forms [10,11,12,13,14,15,16,17,18] for the disjoining pressure Π ( h ) are possible, but those will be left for future study of more specific problems. We believe that our choice is the simplest yet most realistic option to illustrate the clear physics of the relation between hydrophilicity/hydrophobicity and the disjoining pressure.
The excess pressure P in Equation (35) is determined by ε . Figure 3 displays the absolute value of the pressure P(<0) as a function of the thickness parameter ε instead of H when m = 9 and n = 3 . The wetting film is thinnest ( H = 1 , ε = 0 ) when P = 0 and thickest ( ε = ε max ) when [21]
1 + ε max m n = m n ε max = m n 1 m n 1 ,
where the pressure P = P ( ε ) is at its minimum ( d P / d ε = 0 ). For m = 9 and n = 3 , ε max = 0.20 0.2. As the oversaturation of the surrounding vapor increases, the absolute value of the excess pressure | P | also increases, causing the wetting film to become thicker and the parameter ε to become greater.
The morphology of a droplet is determined by Equation (37), and Figure 4 shows the functional form of B ( H ) for various values of ε ( 0 ε ε max ). The function B ( H ) in Figure 4 demonstrates the maximum B max when d B / d H = 0 at H = H mx , which corresponds to the peak of L ( h ) shown in Figure 2. As the oversaturation of the surrounding vapor increases, the parameter ε increases from 0, and B ( H ) starts to show the maximum, with its position H mx becoming smaller.
At the apex of a droplet, d H / d X = 0 , so the maximum height H max of the droplet is determined by solving
B H max = 0
from Equation (37). The analytical solution of Equation (42) in the limit ε 0 is [21]
H max 1 ε ( m 1 ) ( n 1 ) .
It is important to note that this result is independent of the strength of the disjoining pressure α . Therefore, once the pressure P or the film thickness ε is fixed, the maximum height is determined from Equation (42) regardless of the droplet’s hydrophilic or hydrophobic nature. In Figure 5, we compare the maximum height H max calculated numerically from Equation (42) and from the approximate analytical formula [21] in Equation (43). The droplet’s maximum height H max decreases as the oversaturation and ε increase. The analytical formula is most accurate near ε 0 for large droplets (large H max ).
A droplet solution can only exist when d H / d X 2 0 in Equation (37) or
B max 4 / α ,
where B max is the maximum of B ( H ) . Equation (37) can be written as
d H d X = ± B ( H ) α 1 2 B ( H ) 2 1 1 2 α B ( H ) .
The sign (±) should be chosen according to the droplet’s hydrophilic or hydrophobic nature and the position H of the meniscus. For X > 0 , the sign should always be negative ( d H / d X < 0 ) for hydrophilic droplets (see Figure 1a). However, for hydrophobic droplets, it changes sign: it is negative ( d H / d X < 0 ) near the apex H H max and changes sign to d H / d X > 0 at the middle, and changes again to d H / d X < 0 near the wetting film at H H (see Figure 1b). Equation (45) can be easily integrated by choosing the appropriate sign to give the morphology of the droplet, which is controlled by ε and α . The former, ε , determines the functional form of B ( H ) and the latter, α , determines the morphology (a hydrophilic or a hydrophobic droplet).
The morphology of a droplet can be controlled by the strength α of the surface potential or the disjoining pressure. In a hydrophobic droplet in Figure 1b, the lateral size reaches a maximum and minimum at two critical heights, H c 1 and H c 2 ( h c 1 and h c 2 in Figure 1), where d H / d X + and d H / d X , respectively (see Figure 1b). These conditions are met when
B H c 1 , 2 = 2 / α
from Equation (45). Figure 4 also displays the graphical determination of the intersections H c 1 and H c 2 . It is evident from this figure that the condition for the appearance of a hydrophobic droplet is when
B max > 2 / α , o r α > 2 / B max ,
which combined with Equation (44), results in
α > 4 / B max N o   d r o p l e t s ,   o n l y   a   w e t t i n g   f i l m ,   4 / B max > α > 2 / B max H y d r o p h o b i c ,   θ > 90 ° , 2 / B max > α > 0 H y d r o p h i l i c ,   θ < 90 ° ,
or
L max > 2 γ N o   d r o p l e t s ,   o n l y   a   w e t t i n g   f i l m ,   2 γ > L max > γ H y d r o p h o b i c ,   θ > 90 ° , γ > L max > 0 H y d r o p h i l i c ,   θ < 90 ° ,
using the relation between B ( H ) and L ( h ) in Equation (39), where L max is the maximum of L ( h ) (see Figure 2 and Figure 4).
Therefore, a scenario different from Equation (33) emerges in Equation (49) to distinguish between the hydrophilicity and hydrophobicity of finite-size droplets. A macroscopic droplet with H max is realized when ε 0 (see Figure 5), resulting in the vanishing of excess pressure P 0 (Figure 3) and the increase in the maximum position H mx of B ( H ) to H mx ( h mx ) (Figure 4) and V h mx 0 (Figure 2). Consequently, L max = L h mx V h from Equation (13), and Equation (49) simplifies to Equation (33). However, microscopic and nanoscopic droplets whose wettability is predicted from Equations (48) and (49) and macroscopic droplets whose wettability is predicted from Equation (33) may exhibit contradicting wettability (hydrophilic/hydrophobic) depending on the droplet size.
The position H mx of the maximum of B ( H ) is determined by solving d B / d H = 0 or
1 H m 1 H n = 1 H mx m 1 H mx n
from Equation (38), and the maximum is given by
B max = B H mx = 2 m ( m 1 ) H mx m 1 n ( n 1 ) H mx n 1 m ( m 1 ) H m 1 + n ( n 1 ) H n 1 .
In the limit ε 0 ( H 1 ), the approximate solution of Equation (50) becomes
H mx 1 ( m n ) ε 1 / n ,
and Equation (51) becomes
B max 2 m n ( m 1 ) ( n 1 ) n n 1 ( m n ) ε n 1 n + ( m n ) ε .
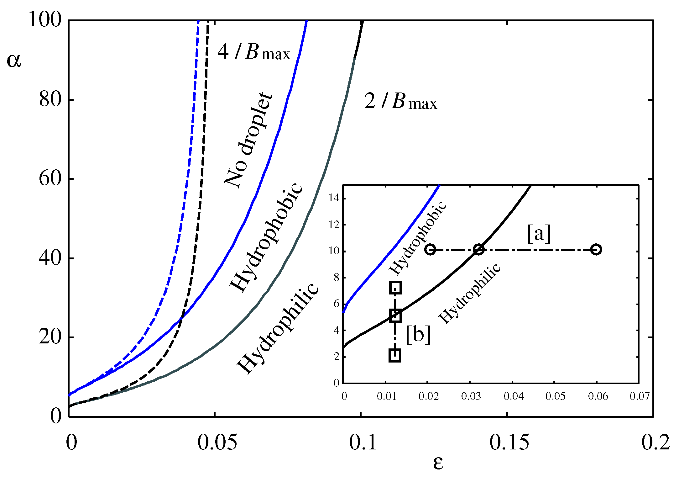
In Figure 6, the boundary values for no-droplet, α = 4 / B max , and hydrophilic–hydrophobic, α = 2 / B max , are plotted as a function of ε . The dashed lines represent the approximate formula in Equation (53), which is only valid for ε 0 . As ε 0 , these boundaries converge to 4 / B max 2 ( m 1 ) ( n 1 ) / ( m n ) 5.33 and 2 / B max ( m 1 ) ( n 1 ) / ( m n ) 2.67 as predicted by Equation (53). The inset of Figure 6 shows an expanded view around ε 0 with two paths [a] and [b] along which the morphologies in Figure 7a,b are calculated.
Therefore, within this disjoining pressure model in Equation (34) the condition for macroscopic droplets in Equation (33) is now given as
α > 2 ( m 1 ) ( n 1 ) ( m n ) N o   d r o p l e t s ,   o n l y   a   w e t t i n g   f i l m ,   2 ( m 1 ) ( n 1 ) ( m n ) > α > ( m 1 ) ( n 1 ) ( m n ) H y d r o p h o b i c ,   θ m > 90 ° , ( m 1 ) ( n 1 ) ( m n ) > α > 0 H y d r o p h i l i c ,   θ m < 90 ° ,
derived from Equation (48) when ε 0 .
For a fixed ε , the height of the droplet H max (Equation (42)) as well as the excess pressure P (Equation (35)) and, therefore, the Laplace radius r L (Equation (17)) are fixed. As the strength of the liquid–substrate interaction α ( χ ) is increased, making the disjoining pressure Π ( h ) stronger and the surface potential V ( h ) more attractive (see Figure 2), Figure 6 indicates that the droplet morphology changes from hydrophilic to hydrophobic as shown in Figure 1. Finally, the droplet is detached from the substrate and disappears, leaving a wetting film behind. This scenario is consistent with the Derjyaguin-Frumkin formula in Equations (2) and (3).
When the liquid is more strongly attracted to the substrate, the droplet will spread and the substrate will be more hydrophilic. In fact, many numerical simulations, mostly for the Lennard–Jones model fluid using molecular dynamics [23,24,25,26] or density functional theory [16,27] indicate that when the liquid–substrate molecular interaction is more attractive, the contact angle becomes smaller, making the droplet more hydrophilic. Superficially, these results seem to contradict the prediction of Figure 6 based on disjoining pressure.
The statistical mechanical definition of the disjoining pressure [9,28,29] that links fluid-wall molecular interactions to the disjoining pressure is established. Several attempts have been made to determine the disjoining pressure and surface potential using Monte Carlo simulation [28] and density functional theory [16,30,31,32], primarily for the Lennard–Jones model fluid. These results suggest that as the fluid-wall interaction becomes stronger and more attractive, the surface potential V ( h ) or the disjoining pressure Π ( h ) becomes less attractive. The potential minimum (Figure 2) also becomes shallower, resulting in a lower contact angle from Equation (2). Therefore, the hydrophilic–hydrophobic boundary in Figure 6 and the Derjaguin–Frumkin formula in Equations (2)–(4) do not contradict the prediction of simulations [16,23,24,25,26,27].
Currently, it is difficult for even two-dimensional cylindrical droplets to offer a quantitative comparison between results based on disjoining pressure and those from molecular dynamics simulations using fluid-wall molecular potential. This is because there is incomplete information regarding the relationship between disjoining pressure and individual fluid-wall molecular potential, particularly for hydrophobic droplets. Furthermore, comparing experimental results is challenging due to the significant impact of surface roughness on hydrophilicity and hydrophobicity. For example, the Wenzel equation [2,33] suggests that roughness can decrease the contact angle for substrates made of hydrophilic materials and increase it for substrates made of hydrophobic materials. Therefore, roughness can exaggerate the hydrophilicity and hydrophobicity of the substrates.
Knowing the conditions in Equations (48) and (49), we consider the morphology of the droplet in more detail. First, we will examine the simple hydrophilic morphology. In this case, the function B ( H ) does not intersect 2 / α because 4 / α > 2 / α > B ( H ) (see Figure 4) and d H / d X < 0 for X > 0 from the apex at H max down to the wetting film at H (Figure 1a). The meniscus is obtained simply by integrating
d H d X = B ( H ) α 1 2 B ( H ) 2 1 1 2 α B ( H )
from Equation (45) because 1 1 2 α B ( H ) > 0 , and the meniscus is given by
X = H H max 1 1 2 α B ( H ) B ( H ) α 1 2 B ( H ) 2 d H ,
which can be evaluated numerically.
Next, we will consider the hydrophobic morphology. In this case, Equation (46) has two solutions, H c 1 and H c 2 ( H c 1 > H c 2 ; see Figure 4). Within the interval H max H H c 1 , d H / d X < 0 (see Figure 1b) and 2 / α > B ( H ) once again (Figure 4). Therefore, the meniscus is determined by Equation (55). However, in the interval H c 1 H H c 2 , d H / d X > 0 (Figure 1b) and 2 / α < B ( H ) (Figure 4). Despite this, the meniscus is still determined by Equation (55) because the denominator is negative ( 1 1 2 α B ( H ) < 0 ). Lastly, within the interval H c 2 H H , d H / d X < 0 (Figure 1b) and B ( H ) < 2 / α (Figure 4) resulting in the meniscus being determined by Equation (55) since 1 1 2 α B ( H ) > 0 .
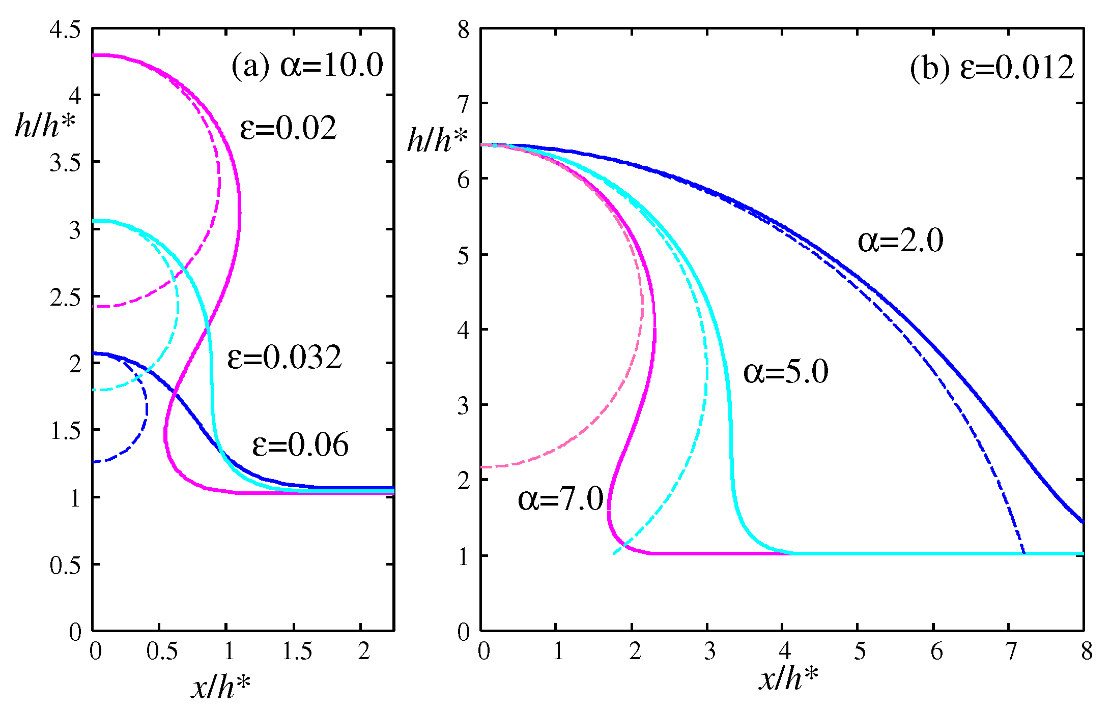
Figure 7a illustrates the numerically calculated morphology of the meniscus for the same value of α = 10.0 but different values of ε along the path [a] indicated in the inset of Figure 6. The morphology transitions from hydrophobic ( ε = 0.02 ) to neutral ( ε = 0.032 ) with a contact angle of nearly 90 ° , to hydrophilic ( ε = 0.06 ). The dashed lines represent the cylindrical meniscus with the Laplace radius calculated from Equation (17). This approximation is not suitable for smaller droplets because the cylindrical meniscus cannot reach the wetting film, and the contact angle cannot be determined.
Figure 7b shows the morphology of the meniscus for the same value of ε = 0.012 but different values of α = 2.0, 5.0, 7.0 along the path [b] indicated in the inset of Figure 6. The morphology changes from hydrophobic ( α = 7.0 ) to neutral ( α = 5.0 ) to hydrophilic ( α = 2.0 ). In this case, the height H max is fixed, as it does not depend on α from Equation (42). The parameter sets ( ε , α ) used to calculate the morphologies in Figure 7 are indicated by circular and square symbols in the inset of Figure 6 and Figure 8.
Finally, we consider the contact angle which depends on the definition. Pekker et al. [21] derived an approximate analytical formula for the contact angle of this simplified droplet model. They defined the contact angle θ as the slope of the meniscus,
tan θ = d h d x h i = α d H d X H i
at the inflection point (height) h i ( H i ) defined by h x x h i = d 2 H / d X 2 H i = 0 , which leads to
Π h i = P = Π h
from Equations (9) and (10). The approximate solution of Equation (58) in the limit ε 0 is obtained as [21]
H i 1 ( m n ) ε n
and
B H i 2 ( m n ) ( m 1 ) ( n 1 ) .
Then, the effective contact angle θ e is given by [21]
tan θ e = α 2 ( m n ) ( m 1 ) ( n 1 ) α ( m n ) ( m 1 ) ( n 1 ) 2 1 α ( m n ) ( m 1 ) ( n 1 )
from Equations (55) and (57) for both a hydrophilic morphology and a hydrophobic morphology. In Figure 5 we also compared the height of the inflection point H i calculated from the approximate formula in Equation (59) with the exact numerical results from d 2 H / d Z 2 H i = 0 in Equation (58). Apparently, the approximate formula in Equation (59) and therefore that in Equation (60) are valid only near ε 0 . In particular, the formula in Equation (60) does not depend on ε , so Equation (61) must be valid only near ε 0 .
Similarly, the integration in Equation (3) can be obtained analytically, providing us with an explicit expression for the macroscopic contact angle θ m ,
cos θ m 1 + α 1 ( m 1 ) ( 1 + ε ) m 1 1 ( n 1 ) ( 1 + ε ) n 1
from the Derjaguin–Frumkin formula [6,7,14] in Equation (3), which simplifies to
cos θ m 1 α ( m n ) ( m 1 ) ( n 1 )
in the limit ε 0 . It is evident from Equations (61) and (63) that the contact angle θ e from the formula of Pekker et al. [21] in Equation (61) and θ m from the Derjaguin–Frumkin formula in Equation (63) are identical as ε 0 . Equation (63) and, therefore, Equation (61) have a solution only when 2 ( m 1 ) ( n 1 ) / ( m n ) α 0 and the hydrophilic–hydrophobic boundary is at α = ( m 1 ) ( n 1 ) / ( m n ) as summarized in Equation (54).
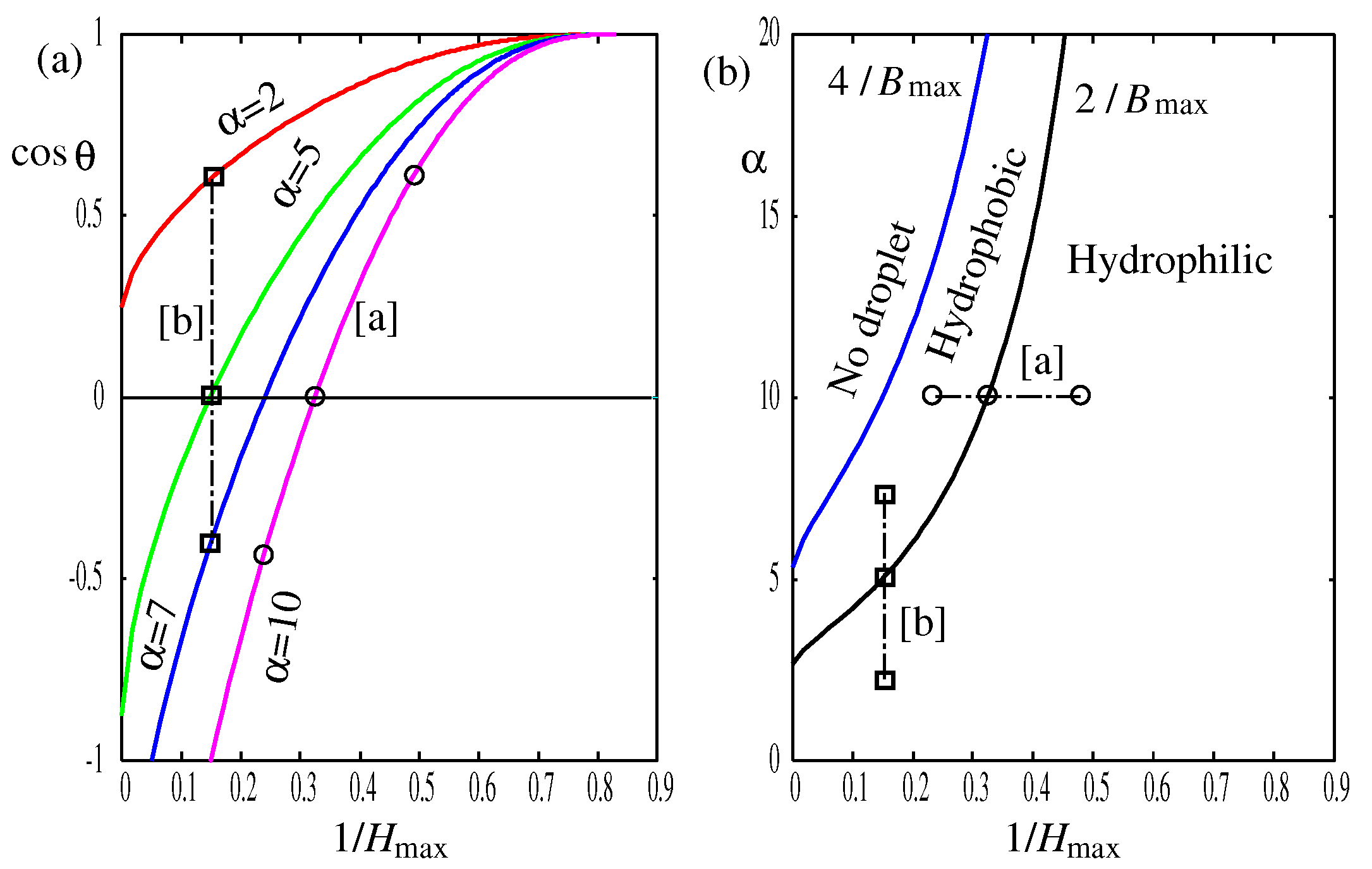
In Figure 8, we compare the effective contact angle θ e and the macroscopic contact angle θ m calculated from the analytical formulas in Equations (61) and (62) with the exact numerical results θ calculated from Equation (57). The formulas of Pekkers et al. [21] and that of Derjaguin–Frumkin [6,7,14] yield similar results, but they generally produce larger values than the exact numerical results, significantly overestimating the contact angles for hydrophobic droplets with larger α (stronger surface potentials) and larger ε (smaller droplets, see Figure 5). Specifically, the numerical results of the contact angle for ε = 0.012 in Figure 8, indicated by the square symbols, are in full agreement with the morphological change in the droplet shown in Figure 7b. Likewise, those indicated by circular symbols with α = 10 are consistent with the morphological change in Figure 7a.
The values of the contact angles, θ , calculated numerically from the exact expression in Equation (57), are compared with those of θ e and θ m from the approximate formulas in Equations (61) and (62) in Table 1 for the droplets shown in Figure 1 and Figure 7. The approximate formulas are reasonable for the larger droplets in Figure 1, but they consistently overestimate the contact angles. For smaller droplets in Figure 7, the approximate formulas significantly overestimate the contact angles, and they cannot even be used as shown in Figure 8 because the cylindrical approximation for the meniscus completely fails as shown in Figure 7a.
The numerical results based on the simplified disjoining pressure in Figure 8 and Table 1 suggest that the droplet remains hydrophilic ( θ < 90 ° ) even when the two analytical formulas by Pekker et al. [21] in Equation (61) and Derjaguin–Frumkin [6,7,14] in Equation (62) predict a hydrophobic character ( θ > 90 ° ) up to the limit α = 2 ( m 1 ) ( n 1 ) / ( m n ) 5.33 of Equation (54) for m = 9 and n = 3 . Therefore, the effect of this simplified disjoining pressure makes smaller droplets more hydrophilic and less hydrophobic, resulting in a smaller contact angle. Furthermore, a droplet can be hydrophilic or hydrophobic beyond the limit α 5.33 . However, this argument does not necessarily invalidate the two analytical formulas in Equations (61) and (62) because they were originally designed for larger droplets with ε 0 , which can be regarded as cylindrical droplets.
When the surface tension γ is higher relative to the surface potential L max , as shown in Equation (49), the Laplace pressure from the surface tension dominates. This causes the droplet to maintain a convex meniscus of a hydrophilic droplet from the apex down to very close to the wetting film under oversaturated vapor. A concave meniscus due to the disjoining pressure appears only very close to the wetting film. However, when the surface potential L max is relatively stronger than the surface tension γ , the disjoining pressure overcomes the Laplace pressure. This causes the droplet to develop a concave meniscus near the substrate. The meniscus shows the overhang from convex to concave meniscus and exhibits hydrophobic characteristics (path [b] in Figure 6 and Figure 8 and Figure 7b). On the other hand, when the droplet size decreases by increasing the oversaturation ε (path [a] in Figure 6 and Figure 8 and Figure 7a), the surface potential has a significant influence on a smaller droplet, causing the meniscus to be mostly concave. However, a concave-to-convex overhang cannot develop, as the Laplace radius in Equation (17) is too small (refer to the droplet shape with ε = 0.06 in Figure 7a). Then, the droplet tends to exhibit hydrophilic characteristics.
Even though we focus on two-dimensional cylindrical droplets in this paper, the same scenario would apply to three-dimensional axisymmetric droplets. However, a simple mathematical criterion like Equation (49) does not exist for the latter.

4. Discussion

Finally, we will discuss the implications of our theoretical results for real experiments. Within the disjoining pressure model used in this study, the small ε approximation would be reasonable only for ε 0.001 , as shown in Figure 6 and Figure 8. Specifically, the effective contact angle θ e in Equation (61) and the macroscopic contact angle θ m from the Derjaguin–Frumkin formula in Equation (62) are reasonable for both hydrophilic and hydrophobic droplets only when ε 0.001 , as indicated in Figure 8. Since Equation (43) yields H max 62.5 for ε = 0.001 , m = 9 and n = 3 , the macroscopic formulas in Equations (61) and (62) are applicable to large droplets with a height greater than approximately 63 times h * from Equation (36). Assuming the wetting film height is h * 1 nm [8], the minimum droplet height would be 63 h * 63 nm. For droplets taller than, let’s say, 100 nm, the macroscopic formula in Equation (62) and therefore the Derjaguin–Frumkin formula in Equation (3) would be applicable to both hydrophilic and hydrophobic droplets. For a nanoscale droplet shorter than, let’s say, 100 nm, the total volume of the droplet is influenced by disjoining pressure, making it more hydrophilic with a lower contact angle compared to a macroscopic droplet of cm to μm size.
The relationship between droplet size and contact angle has been studied experimentally for many years, with the main focus being on determining the line tension, denoted as τ , defined through the phenomenological modified Young’s equation [34,35,36]
cos θ = cos θ τ r CL γ ,
where r CL is the radius of the contact line and θ is the contact angle of the macroscopic droplet. We can identify θ = θ e in Equation (61) in the model of Section 3. Since our model is two-dimensional and r CL , the contact angle should not depend on the size of the droplet, as the line tension τ does not play a role in modifying the contact angle. However, the contact angle does depend on the size of the droplet, as shown in Figure 8 and Figure 9a. In Figure 9a, we plot the cosine of the contact angle θ versus the inverse of the droplet’s height 1 / H max . In Figure 9b, we redraw Figure 6 using H max instead of ε , which are related through Equation (42) and Figure 5. Figure 9b shows that smaller droplets tend to be more hydrophilic.
Our calculations in Figure 8 and Figure 9 suggest that as the droplet size decreases ( 1 / H max 1 ), the droplet becomes more hydrophilic and the contact angle is smaller, indicating negative line tension τ < 0 for three-dimensional droplets. Interestingly, most of the old experimental data for macroscopic droplets of cm and mm sizes show an opposite trend: as the droplet size decreases, the contact angle increases [37,38], meaning positive line tension τ > 0 . However, experimental results for nanoscale droplets using atomic-force microscopy (AFM) [39,40,41,42] and scanning electron microscopy (SEM) [43] are mostly consistent with our findings: the smaller the droplet, the lower the contact angle, indicating negative line tension. Furthermore, our highly nonlinear convex curve in Figure 9a resembles some of the previous experimental results [40,41]. We can estimate the effective line tension by identifying r CL h max ( H max ) in Equation (64). From Figure 9a, we can estimate the slope of the curve τ ˜ as τ ˜ + ( 0.1 10 ) , which can be translated into the effective line tension using h * = 1 nm [8] and γ = 72 mN/m (water) [2] as τ = τ ˜ γ h * 10 12 10 10 N, which is negative and the right order of magnitude of experimental observation. The absolute magnitude τ decreases as the droplet becomes smaller ( 1 / H max 1 ).
The size dependence of the contact angle of nanoscale droplets has also been studied by molecular dynamics simulation [24,25,26] and density functional theory [27]. Furthermore, the determination of the sign and magnitude of line tension has also been attempted by molecular dynamics [44,45,46,47]. Some of them [26,27] indicate positive line tension ( τ > 0 ), while some [24,25,44] are consistent with our results in Figure 9a: τ < 0 or the contact angle decreases as the size of the droplet shrinks. Some authors [45,46,47] also indicate that the sign depends on the wettability (hydrophilic/hydrophobic) of the substrate.
Of course, our numerical results based on the one-parameter disjoining pressure model cannot resolve these contradictory results. However, our results, along with some of the previous results for cylindrical droplets [44,45,46], suggest the limited utility of the line tension concept and the modified Young’s Equation (64) at the nanoscale. Although line tension includes the combined effect of various size-dependence factors such as the surface tension by Tolman’s length [45,48,49], the main origin is the localized surface potential V ( h ) or the disjoining pressure Π ( h ) acting only near the contact line [11,36,39,48,49]. For droplets at the nanoscale, where the entire volume is under the influence of surface potential, such a line tension concept may not hold true. Instead, the volume force acting on the total volume of the droplet is responsible for the size dependence of the contact angle. This same conclusion was recently reached by Tan et al. [50], who showed that the contact angle of mm-to-cm-sized droplets can be largely explained by the gravitational body force and that of nanoscale droplets can also be explained by a Lennard–Jones-type intermolecular body force between liquid molecules and the substrate. The limitation of the line tension concept for nanoscale droplets was also argued by Stocco and Möhwald [51], who used disjoining pressure instead of intermolecular body force and studied the surface morphology of nanoscale droplets.

5. Conclusions

In this study, we investigated the influence of surface forces on the morphology and contact angle of droplets on both hydrophilic and hydrophobic substrates. Our primary focus was on the transition from a hydrophilic to a hydrophobic morphology by modifying the shape of the disjoining pressure of the surface potential and the droplet’s size. Through our research, we identified specific criteria for the surface potential that determine whether a droplet of finite size will exhibit a hydrophobic morphology with a contact angle θ greater than 90 degrees ( θ > 90 ° ) or a hydrophilic morphology with a contact angle less than 90 degrees ( θ < 90 ° ).
Applying our formulation to a simple disjoining pressure model [19,20,21], we found that the analytical approximation formula by Pekker et al. [21] and the Derjaguin–Frumkin formula [6,7,14] based on thermodynamics [3,4,5] generally predict contact angles different from those of the nanoscale droplets because they were designed for macroscopic droplets. The simple disjoining pressure model we employed tends to make the droplet more hydrophilic and less hydrophobic, resulting in a smaller contact angle, especially for smaller droplets at the nanoscale. Therefore, the wettability (hydrophilicity/hydrophobicity) would be different at the nanoscale from that at the macroscale. For example, a nanoscale capillary made of a hydrophobic material becomes a hydrophilic capillary and supports the spontaneous imbibition. Although our findings depend on the details of the disjoining pressure model used [7,11,12,15,17,18,36,51], they suggest the limitation of the line tension concept for the size dependence of the contact angle as the entire volume of droplets is under the influence of disjoining pressure at the nanoscale. These findings will be valuable for future research when interpreting results for contact angles and designing substrates with controllable wettability.

Funding

This research received no external funding.

Data Availability Statement

The raw data supporting the conclusions of this article will be made available by the authors on request.

Conflicts of Interest

The author declares no conflicts of interest.

Correction Statement

This article has been republished with a minor correction to resolve spelling and grammatical errors. This change does not affect the scientific content of the article.

References

  1. Young, T. An essay on the cohesion of fluids. Phil. Trans. R. Soc. 1805, 95, 65. [Google Scholar] [CrossRef]
  2. Butt, H.J.; Graf, K.; Kappl, M. Physics and Chemistry of Interfaces; Wiley-VCH: Weinheim, Germany, 2003. [Google Scholar]
  3. Dietrich, S. Wetting Phenomena. In Phase Transitions and Critical Phenomena; Domb, C., Lebowitz, J.L., Eds.; Academic Press: London, UK, 1988; Volume 12, p. 1. [Google Scholar]
  4. Rauscher, M.; Dietrich, S. Wetting phenomena in nanofluidics. Annu. Rev. Mater. Res. 2008, 38, 143. [Google Scholar] [CrossRef]
  5. Evans, R.; Stewart, M.C.; Wilding, N.B. A unified description of hydrophilic and superhydrophobic surfaces in terms of the wetting and drying transitions of liquids. Proc. Natl. Acad. Sci. USA 2019, 116, 23901. [Google Scholar] [CrossRef]
  6. Derjaguin, B.V.; Churaev, N.V.; Muller, V.M. Surface Forces; Consultant Bureau: New York, NY, USA, 1987. [Google Scholar]
  7. Starov, V.M.; Velarde, M.G.; Radke, C.J. Wetting and Spreading Dynamics; CRC: Boca Raton, FL, USA, 2007. [Google Scholar]
  8. Boinovich, L.; Emelyanenko, A. Wetting and surface forces. Adv. Colloid Interface Sci. 2011, 165, 60. [Google Scholar] [CrossRef]
  9. Henderson, J.R. Disjoining pressure of planar adsorbed films. Eur. Phys. J. Spec. Top. 2011, 197, 115. [Google Scholar] [CrossRef]
  10. Brochard-Wyart, F.; di Meglio, J.M.; Quéré, D.; de Gennes, P.G. Spreading of nonvolatile liquids in a continuum picture. Langmuir 1991, 7, 335. [Google Scholar] [CrossRef]
  11. Dobbs, H.T.; Indekeu, J.O. Line tension at wetting: Interface displacement model beyond the gradient-squared approximation. Phys. A 1993, 201, 457. [Google Scholar] [CrossRef]
  12. Yeh, E.K.; Newman, J.; Radke, C.J. Equilibrium configurations of liquid droplets on solid surfaces under the influence of thin-film forces Part I. Thermodynamics. Colloids Surf. A 1999, 156, 137. [Google Scholar] [CrossRef]
  13. Yeh, E.K.; Newman, J.; Radke, C.J. Equilibrium configurations of liquid droplets on solid surfaces under the influence of thin-film forces Part II. Shape calculations. Colloids Surf. A 1999, 156, 525. [Google Scholar] [CrossRef]
  14. Starov, V.M.; Velarde, M.G. Surface forces and wetting phenomena. J. Phys. Condens. Matter 2009, 21, 464121. [Google Scholar] [CrossRef] [PubMed]
  15. Iwamatsu, M. The characterization of wettability of substrates by liquid nanodrops. Colloids Surf. A 2013, 420, 109. [Google Scholar] [CrossRef]
  16. Hughes, A.P.; Thiele, U.; Archer, A.J. Influence of the fluid structure on the binding potential: Comparing liquid drop profiles from density functional theory with results from mesoscopic theory. J. Chem. Phys. 2017, 146, 064705. [Google Scholar] [CrossRef] [PubMed]
  17. Kubochkin, N.; Gambaryan-Roisman, T. Wetting at nanoscale: Effect of surface forces and droplet size. Phys. Rev. Fluids 2021, 6, 093603. [Google Scholar] [CrossRef]
  18. Yatsyshin, P.; Kalliadasis, S. Surface nanodrops and nanobubbles: A classical density functional theory study. J. Fluid. Mech. 2021, 913, A45. [Google Scholar] [CrossRef]
  19. Mitlin, V.S.; Petviashvili, N.V. Nonlinear dynamics of dewetting: Kinetically stable structures. Phys. Lett. A 1994, 192, 323. [Google Scholar] [CrossRef]
  20. Schwartz, L.W. Hysteretic effects in droplet motions on heterogeneous substrates: Direct numerical simulation. Langmuir 1998, 14, 3440. [Google Scholar] [CrossRef]
  21. Pekker, L.; Pekker, D.; Petviashvili, N. Equilibrium contact angle at the wetted substrate. Phys. Fluids 2022, 34, 107107. [Google Scholar] [CrossRef]
  22. Berim, G.O.; Ruckenstein, E. On the shape and stability of a drop on a solid surface. J. Phys. Chem. B 2004, 108, 19330. [Google Scholar] [CrossRef]
  23. Shi, B.; Dhir, V.K. Molecular dynamics simulation of the contact angle of liquids on solid surfaces. J. Chem. Phys. 2009, 130, 034705. [Google Scholar] [CrossRef]
  24. Santiso, E.E.; Herdes, C.; Müller, E.A. On the calculation of solid-fluid contact angles from molecular dynamics. Entropy 2013, 15, 3734. [Google Scholar] [CrossRef]
  25. Becker, S.; Urbassek, H.M.; Horsch, M.; Hasse, H. Contact angle of sessile drops in Lennard-Jones systems. Langmuir 2014, 30, 13606. [Google Scholar] [CrossRef] [PubMed]
  26. Yu, Y.; Xu, X.; Liu, J.; Liu, Y.; Cai, W.; Chen, J. The study of water wettability on solid surfaces by molecular dynamics simulation. Surf. Sci. 2021, 714, 121916. [Google Scholar] [CrossRef]
  27. Sauer, E.; Terzis, A.; Theiss, M.; Weigand, B.; Gross, J. Prediction of contact angles and density profiles of sessile droplets using classical density functional theory based on the PCP-SAFT equation of state. Langmuir 2018, 34, 12519. [Google Scholar] [CrossRef]
  28. Herring, A.R.; Henderson, J.R. Simulation study of the disjoining pressure profile through a three-phase contact line. J. Chem. Phys. 2010, 132, 084702. [Google Scholar] [CrossRef]
  29. MacDowell, L.G.; Benet, J.; Katcho, N.A.; Palancoc, J.M.G. Disjoining pressure and the film-height-dependent surface tension of thin liquid films: New insight from capillary wave fluctuations. Adv. Colloid Interface Sci. 2014, 206, 150. [Google Scholar] [CrossRef] [PubMed]
  30. Nold, A.; Sibley, D.N.; Goddard, B.D.; Kalliadasis, S. Fluid structure in the immediate vicinity of an equilibrium three-phase contact line and assessment of disjoining pressure models using density functional theory. Phys. Fluids 2014, 26, 072001. [Google Scholar] [CrossRef]
  31. Nold, A.; Sibley, D.N.; Goddard, B.D.; Kalliadasis, S. Nanoscale fluid structure of liquid-solid-vapour contact lines for a wide range of contact angles. Math. Model. Nat. Phenom. 2015, 10, 111. [Google Scholar] [CrossRef]
  32. Hughes, A.P.; Thiele, U.; Archer, A.J. Liquid drops on a surface: Using density functional theory to calculate the binding potential and drop profiles and comparing with results from mesoscopic modelling. J. Chem. Phys. 2015, 142, 074702. [Google Scholar] [CrossRef] [PubMed]
  33. Wenzel, R.N. Resistance of solid surfaces to wetting by water. Ind. Eng. Chem. 1936, 28, 988. [Google Scholar] [CrossRef]
  34. Boruvka, L.; Neumann, A.W. Generalization of the classical theory of capillarity. J. Chem. Phys. 1977, 66, 5464. [Google Scholar] [CrossRef]
  35. Pethica, B.A. The contact angle equilibrium. J. Colloid Interface Sci. 1977, 62, 567. [Google Scholar] [CrossRef]
  36. Law, B.M.; McBride, S.P.; Wang, J.Y.; Wi, H.S.; Paneru, G.; Betelu, S.; Ushijima, B.; Takata, Y.; Flanders, B.; Bresme, F.; et al. Line tension and its influence on droplets and particles at surfaces. Prog. Surf. Sci. 2017, 92, 1. [Google Scholar] [CrossRef]
  37. Gaydos, J.; Neumann, A.W. The dependence of contact angles on drop size and line tension. J. Colloid Interface Sci. 1987, 120, 76. [Google Scholar] [CrossRef]
  38. Amirfazli, A.; Kwok, D.Y.; Gaydos, J.; Neumann, A.W. Line tension measurements through drop size dependence of contact angle. J. Colloid Interface Sci. 1998, 205, 1. [Google Scholar] [CrossRef] [PubMed]
  39. Pompe, T.; Herminghaus, S. Three-phase contact line energetics from nanoscale liquid surface topographies. Phys. Rev. Lett. 2000, 85, 1930. [Google Scholar] [CrossRef]
  40. Checco, A.; Guenoun, P.; Daillant, J. Nonlinear dependence of the contact angle of nanodroplets on contact line curvature. Phys. Rev. Lett. 2003, 91, 186101. [Google Scholar] [CrossRef]
  41. Berg, J.K.; Weber, C.M.; Riegler, H. Impact of negative line tension on the shape of nanometer-size sessile droplets. Phys. Rev. Lett. 2010, 105, 076103. [Google Scholar] [CrossRef]
  42. Heim, L.O.; Bonaccurso, E. Measurement of line tension on droplets in the submicrometer range. Langmuir 2013, 29, 14147. [Google Scholar] [CrossRef]
  43. Klauser, W.; von Kleist-Retzow, F.T.; Fatikow, S. Line tension and drop size dependence of contact angle at the nanoscale. Nanomaterials 2022, 12, 369. [Google Scholar] [CrossRef] [PubMed]
  44. Scocchi, G.; Sergi, D.; D’Angelo, C.; Ortona, A. Wetting and contact-line effects for spherical and cylindrical droplets on graphene layers: A comparative molecular-dynamics investigation. Phys. Rev. E 2011, 84, 061602. [Google Scholar] [CrossRef] [PubMed]
  45. Kanduč, M. Going beyond the standard line tension: Size-dependent contact angles of water nanodroplets. J. Chem. Phys. 2017, 147, 174701. [Google Scholar] [CrossRef] [PubMed]
  46. Kanduč, M.; Eixeres, L.; Liese, S.; Netz, R.R. Generalized line tension of water nanodroplets. Phys. Rev. E 2018, 98, 032804. [Google Scholar] [CrossRef]
  47. Zhao, B.; Luo, S.; Bonaccurso, E.; Auernhammer, G.K.; Deng, X.; Li, Z.; Chen, L. Resolving the apparent line tension of sessile droplets and understanding its sign change at a critical wetting angle. Phys. Rev. Lett. 2019, 123, 094501. [Google Scholar] [CrossRef] [PubMed]
  48. Schimmele, L.; Napiórkowski, N.; Dietrich, S. Conceptual aspects of line tensions. J. Chem. Phys. 2007, 127, 164715. [Google Scholar] [CrossRef] [PubMed]
  49. Iwamatsu, M. A generalized Young’s equation to bridge a gap between the experimentally measured and the theoretically calculated line tensions. J. Adh. Sci. Tech. 2018, 32, 2305. [Google Scholar] [CrossRef]
  50. Tan, B.H.; An, H.; Ohl, C.D. Body forces drive the apparent line tension of sessile droplets. Phys. Rev. Lett. 2023, 130, 064003. [Google Scholar] [CrossRef] [PubMed]
  51. Stocco, A.; Möhwald, H. The influence of long-range surface forces on the contact angle of nanometric droplets and bubbles. Langmuir 2015, 31, 11835. [Google Scholar] [CrossRef]
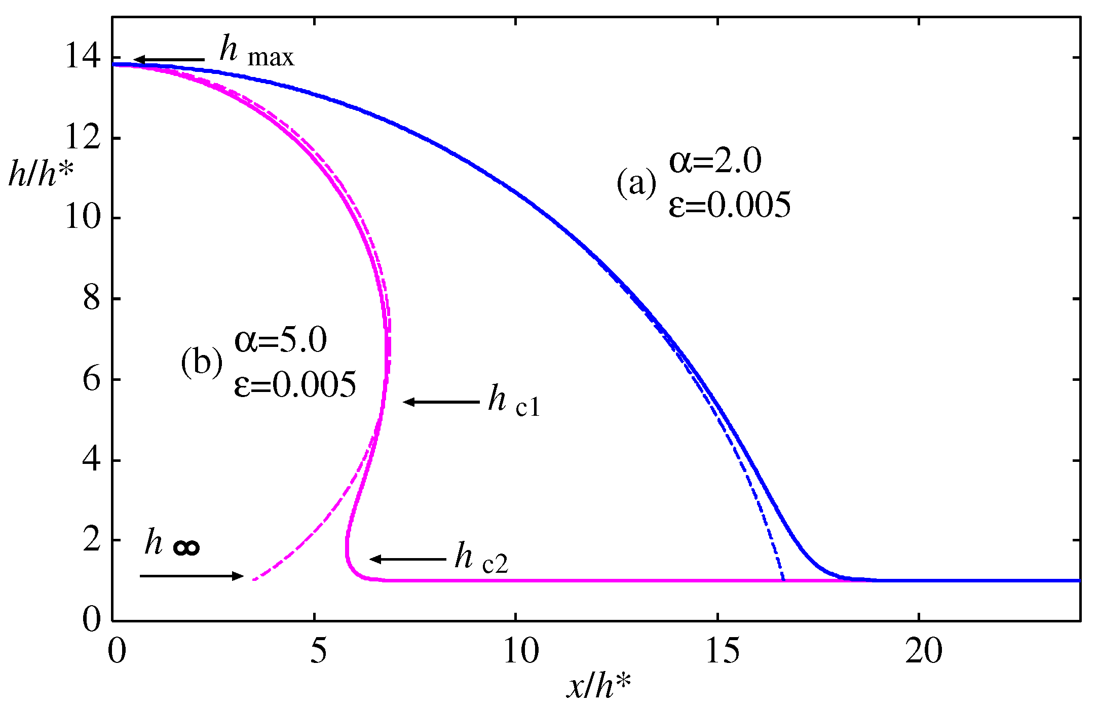
Figure 1. Two typical morphologies of droplets, h ( x ) , on a smooth flat substrate at h = 0 along the x-axis calculated from the model in Section 3. The lengths h and x are scaled by the same scaling factor h * . The meanings of the symbols h * , α , ε , h max , h , h c 1 and h c 2 will be explained in Section 3. Only a right-half portion ( x 0 ) is shown. (a) A droplet on a hydrophilic substrate forms a shallow cap-shaped droplet with a contact angle smaller than 90 ° . The slope of the meniscus is always negative ( d h / d x 0 ). (b) A droplet on a hydrophobic substrate forms a near-spherical deep cap-shaped droplet with a contact angle larger than 90 ° . The slope of the meniscus changes at two critical heights, h c 1 and h c 2 ( d h / d x 0 d h / d x 0 d h / d x 0 ), from the apex down to the base at h . The lateral size of the droplet is maximum and minimum at h c 1 and h c 2 , respectively. The dashed lines represent the cylindrical meniscus with the Laplace radius determined from the pressure and the liquid–vapor surface tension of the droplet. This approximate meniscus will be used to geometrically derive the Derjaguin–Frumkin formula for the macroscopic contact angle in Section 2.
Figure 1. Two typical morphologies of droplets, h ( x ) , on a smooth flat substrate at h = 0 along the x-axis calculated from the model in Section 3. The lengths h and x are scaled by the same scaling factor h * . The meanings of the symbols h * , α , ε , h max , h , h c 1 and h c 2 will be explained in Section 3. Only a right-half portion ( x 0 ) is shown. (a) A droplet on a hydrophilic substrate forms a shallow cap-shaped droplet with a contact angle smaller than 90 ° . The slope of the meniscus is always negative ( d h / d x 0 ). (b) A droplet on a hydrophobic substrate forms a near-spherical deep cap-shaped droplet with a contact angle larger than 90 ° . The slope of the meniscus changes at two critical heights, h c 1 and h c 2 ( d h / d x 0 d h / d x 0 d h / d x 0 ), from the apex down to the base at h . The lateral size of the droplet is maximum and minimum at h c 1 and h c 2 , respectively. The dashed lines represent the cylindrical meniscus with the Laplace radius determined from the pressure and the liquid–vapor surface tension of the droplet. This approximate meniscus will be used to geometrically derive the Derjaguin–Frumkin formula for the macroscopic contact angle in Section 2.
Liquids 06 00011 g001
Figure 2. The disjoining pressure Π ( h ) defined by Equation (34) and the corresponding surface potential V ( h ) calculated by Equation (4) when m = 9 and n = 3 . The thermodynamic potential L ( h ) is defined by Equation (13) and is plotted for various values of h ( = h * , 1.01 h * , 1.02 h * ) .
Figure 2. The disjoining pressure Π ( h ) defined by Equation (34) and the corresponding surface potential V ( h ) calculated by Equation (4) when m = 9 and n = 3 . The thermodynamic potential L ( h ) is defined by Equation (13) and is plotted for various values of h ( = h * , 1.01 h * , 1.02 h * ) .
Liquids 06 00011 g002
Figure 3. The absolute value of the excess pressure P(<0) given by Equation (35) as a function of the film thickness ε when m = 9 and n = 3 . The absolute pressure reaches its maximum when the film thickness is equal to the value given by Equation (41), ε max 0.20 .
Figure 3. The absolute value of the excess pressure P(<0) given by Equation (35) as a function of the film thickness ε when m = 9 and n = 3 . The absolute pressure reaches its maximum when the film thickness is equal to the value given by Equation (41), ε max 0.20 .
Liquids 06 00011 g003
Figure 4. The functional form of B ( H ) defined by Equation (38) for various values of ε ( ε = 0.001, 0.012, 0.02) when m = 9 and n = 3 . The function B ( H ) shows the maximum B max when d B / d H = 0 at H = H mx determined by Equation (50), which corresponds to the peak of L ( h ) in Figure 2. Its x-intercept determines the maximum height H max of the droplet by Equation (42). The graphical determination of two critical heights H c 1 and H c 2 from Equation (46) for a hydrophobic droplet is indicated when B max > 2 / α and ε = 0.012 . If 2 / α > B max , the droplet will be hydrophilic, while if B max > 4 / α , no droplet can exist according to Equation (48).
Figure 4. The functional form of B ( H ) defined by Equation (38) for various values of ε ( ε = 0.001, 0.012, 0.02) when m = 9 and n = 3 . The function B ( H ) shows the maximum B max when d B / d H = 0 at H = H mx determined by Equation (50), which corresponds to the peak of L ( h ) in Figure 2. Its x-intercept determines the maximum height H max of the droplet by Equation (42). The graphical determination of two critical heights H c 1 and H c 2 from Equation (46) for a hydrophobic droplet is indicated when B max > 2 / α and ε = 0.012 . If 2 / α > B max , the droplet will be hydrophilic, while if B max > 4 / α , no droplet can exist according to Equation (48).
Liquids 06 00011 g004
Figure 5. Two characteristic heights, H max and H i , directly calculated numerically from Equations (42) and (58) as well as from the approximate analytical formulas in Equations (43) and (59) when m = 9 and n = 3 . The analytical formulas are only useful near ε 0 for large droplets (large H max ).
Figure 5. Two characteristic heights, H max and H i , directly calculated numerically from Equations (42) and (58) as well as from the approximate analytical formulas in Equations (43) and (59) when m = 9 and n = 3 . The analytical formulas are only useful near ε 0 for large droplets (large H max ).
Liquids 06 00011 g005
Figure 6. The no-droplet boundary is defined as α = 4 / B max , and the hydrophilic–hydrophobic boundary is defined as α = 2 / B max as a function of film thickness ε . The macroscopic droplet represents the limit of ε 0 , and as ε increases, the droplet becomes smaller (see Figure 5). The hydrophobic morphology is achieved only when the parameter α satisfies 4 / B max > α > 2 / B max as given by Equation (48). Two curves start at 2 ( m 1 ) ( n 1 ) / ( m n ) = 16 / 3 5.33 and ( m 1 ) ( n 1 ) / ( m n ) = 8 / 3 2.67 for m = 9 and n = 3 in the limit of macroscopic droplets, and increase monotonically. The dashed lines represent the approximation using Equation (53), which is valid only near ε 0 . The inset shows an expanded view around ε 0 and two paths [a] and [b] along which the morphologies in Figure 7a,b are calculated. The circular and square symbols indicate the parameter sets ( ε , α ) used to calculate the morphologies in Figure 7.
Figure 6. The no-droplet boundary is defined as α = 4 / B max , and the hydrophilic–hydrophobic boundary is defined as α = 2 / B max as a function of film thickness ε . The macroscopic droplet represents the limit of ε 0 , and as ε increases, the droplet becomes smaller (see Figure 5). The hydrophobic morphology is achieved only when the parameter α satisfies 4 / B max > α > 2 / B max as given by Equation (48). Two curves start at 2 ( m 1 ) ( n 1 ) / ( m n ) = 16 / 3 5.33 and ( m 1 ) ( n 1 ) / ( m n ) = 8 / 3 2.67 for m = 9 and n = 3 in the limit of macroscopic droplets, and increase monotonically. The dashed lines represent the approximation using Equation (53), which is valid only near ε 0 . The inset shows an expanded view around ε 0 and two paths [a] and [b] along which the morphologies in Figure 7a,b are calculated. The circular and square symbols indicate the parameter sets ( ε , α ) used to calculate the morphologies in Figure 7.
Liquids 06 00011 g006
Figure 7. The morphology of a hydrophilic and a hydrophobic droplet calculated using Equations (55) and (56) along the two lines [a] and [b] shown in the inset of Figure 6. The vertical axis represents h / h * = H , while the horizontal axis represents x / h * = X / α . In scenario (a), α = 10.0 and ε = 0.02, 0.032, 0.06 . The droplet morphology changes from hydrophobic ( ε = 0.02 ) to neutral ( ε = 0.032 ) to hydrophilic ( ε = 0.06 ). In scenario (b), ε = 0.012 and α = 2.0, 5.0, 7.0 . The droplet morphology changes from hydrophobic ( α = 7.0 ) to neutral ( α = 5.0 ) to hydrophilic ( α = 2.0 ). The dashed lines represent the cylindrical meniscus with the Laplace radius r L calculated from Equation (17). This is not a good approximation for smaller droplets.
Figure 7. The morphology of a hydrophilic and a hydrophobic droplet calculated using Equations (55) and (56) along the two lines [a] and [b] shown in the inset of Figure 6. The vertical axis represents h / h * = H , while the horizontal axis represents x / h * = X / α . In scenario (a), α = 10.0 and ε = 0.02, 0.032, 0.06 . The droplet morphology changes from hydrophobic ( ε = 0.02 ) to neutral ( ε = 0.032 ) to hydrophilic ( ε = 0.06 ). In scenario (b), ε = 0.012 and α = 2.0, 5.0, 7.0 . The droplet morphology changes from hydrophobic ( α = 7.0 ) to neutral ( α = 5.0 ) to hydrophilic ( α = 2.0 ). The dashed lines represent the cylindrical meniscus with the Laplace radius r L calculated from Equation (17). This is not a good approximation for smaller droplets.
Liquids 06 00011 g007
Figure 8. The analytical effective contact angle θ e obtained by Pekker et al. [21] in Equation (61) and the macroscopic contact angle θ m from the Derjaguin–Frumkin formula [6,7,14] in Equation (62) with ε = 0.06 are compared with the exact numerical results calculated by Equation (57) as functions of the strength of the surface potential α for several values of ε when m = 9 and n = 3 . The contact angles obtained from the exact numerical calculation are generally smaller than θ e and θ m , which are less accurate for hydrophobic droplets with larger α . The circles and squares on the exact results indicate the parameter set ( ε , α ) that corresponds to those in the paths [a] and [b] in the inset of Figure 6. They are used to calculate the morphologies in Figure 7.
Figure 8. The analytical effective contact angle θ e obtained by Pekker et al. [21] in Equation (61) and the macroscopic contact angle θ m from the Derjaguin–Frumkin formula [6,7,14] in Equation (62) with ε = 0.06 are compared with the exact numerical results calculated by Equation (57) as functions of the strength of the surface potential α for several values of ε when m = 9 and n = 3 . The contact angles obtained from the exact numerical calculation are generally smaller than θ e and θ m , which are less accurate for hydrophobic droplets with larger α . The circles and squares on the exact results indicate the parameter set ( ε , α ) that corresponds to those in the paths [a] and [b] in the inset of Figure 6. They are used to calculate the morphologies in Figure 7.
Liquids 06 00011 g008
Figure 9. (a) The cosine of the contact angle, cos θ , calculated by Equation (57) as a function of the inverse of the droplet height, 1 / H max , for several values of the strength of the surface potential α = 2 , 5 , 7 , 10 . As 1 / H max 0 (macroscopic droplet), cos θ cos θ e where θ e is given by Equation (61). The curves resemble the modified Young’s equation in Equation (64) with a negative line tension, τ < 0 , if we consider r CL H max . (b) The hydrophobic–hydrophilic boundary shown in Figure 6 redrawn using 1 / H max instead of ε as related by Equation (42) (Figure 6). Circular and square symbols and paths [a] and [b] are the same as those in Figure 6 and Figure 8.
Figure 9. (a) The cosine of the contact angle, cos θ , calculated by Equation (57) as a function of the inverse of the droplet height, 1 / H max , for several values of the strength of the surface potential α = 2 , 5 , 7 , 10 . As 1 / H max 0 (macroscopic droplet), cos θ cos θ e where θ e is given by Equation (61). The curves resemble the modified Young’s equation in Equation (64) with a negative line tension, τ < 0 , if we consider r CL H max . (b) The hydrophobic–hydrophilic boundary shown in Figure 6 redrawn using 1 / H max instead of ε as related by Equation (42) (Figure 6). Circular and square symbols and paths [a] and [b] are the same as those in Figure 6 and Figure 8.
Liquids 06 00011 g009
Table 1. The contact angles θ numerically calculated from Equation (57) are compared with θ e from Equation (61) and θ m from (62) for the droplets shown in Figure 1 and Figure 7.
Table 1. The contact angles θ numerically calculated from Equation (57) are compared with θ e from Equation (61) and θ m from (62) for the droplets shown in Figure 1 and Figure 7.
Figure α ε H max θ   ( ° ) θ e   ( ° ) θ m   ( ° )
Figure 1a2.00.005013.861.675.575.5
Figure 1b5.00.005013.8108.2151.0151.0
Figure 7a10.00.0602.0753.7--
10.00.0323.0789.4--
10.00.0204.31117.9--
Figure 7b2.00.0126.4552.575.575.5
5.00.0126.4588.7151.0150.8
7.00.0126.45111.7--
Disclaimer/Publisher’s Note: The statements, opinions and data contained in all publications are solely those of the individual author(s) and contributor(s) and not of MDPI and/or the editor(s). MDPI and/or the editor(s) disclaim responsibility for any injury to people or property resulting from any ideas, methods, instructions or products referred to in the content.

Share and Cite

MDPI and ACS Style

Iwamatsu, M. Hydrophilicity and Hydrophobicity at the Nanoscale: A Theoretical Study on Two-Dimensional Cylindrical Droplets with Disjoining Pressure Effects. Liquids 2026, 6, 11. https://doi.org/10.3390/liquids6010011

AMA Style

Iwamatsu M. Hydrophilicity and Hydrophobicity at the Nanoscale: A Theoretical Study on Two-Dimensional Cylindrical Droplets with Disjoining Pressure Effects. Liquids. 2026; 6(1):11. https://doi.org/10.3390/liquids6010011

Chicago/Turabian Style

Iwamatsu, Masao. 2026. "Hydrophilicity and Hydrophobicity at the Nanoscale: A Theoretical Study on Two-Dimensional Cylindrical Droplets with Disjoining Pressure Effects" Liquids 6, no. 1: 11. https://doi.org/10.3390/liquids6010011

APA Style

Iwamatsu, M. (2026). Hydrophilicity and Hydrophobicity at the Nanoscale: A Theoretical Study on Two-Dimensional Cylindrical Droplets with Disjoining Pressure Effects. Liquids, 6(1), 11. https://doi.org/10.3390/liquids6010011

Article Metrics

Back to TopTop