Phase Separation in Nonaqueous Systems Induced by a Solid Component
Abstract
1. Introduction
2. Possible Applications of NATPS
3. Our Research
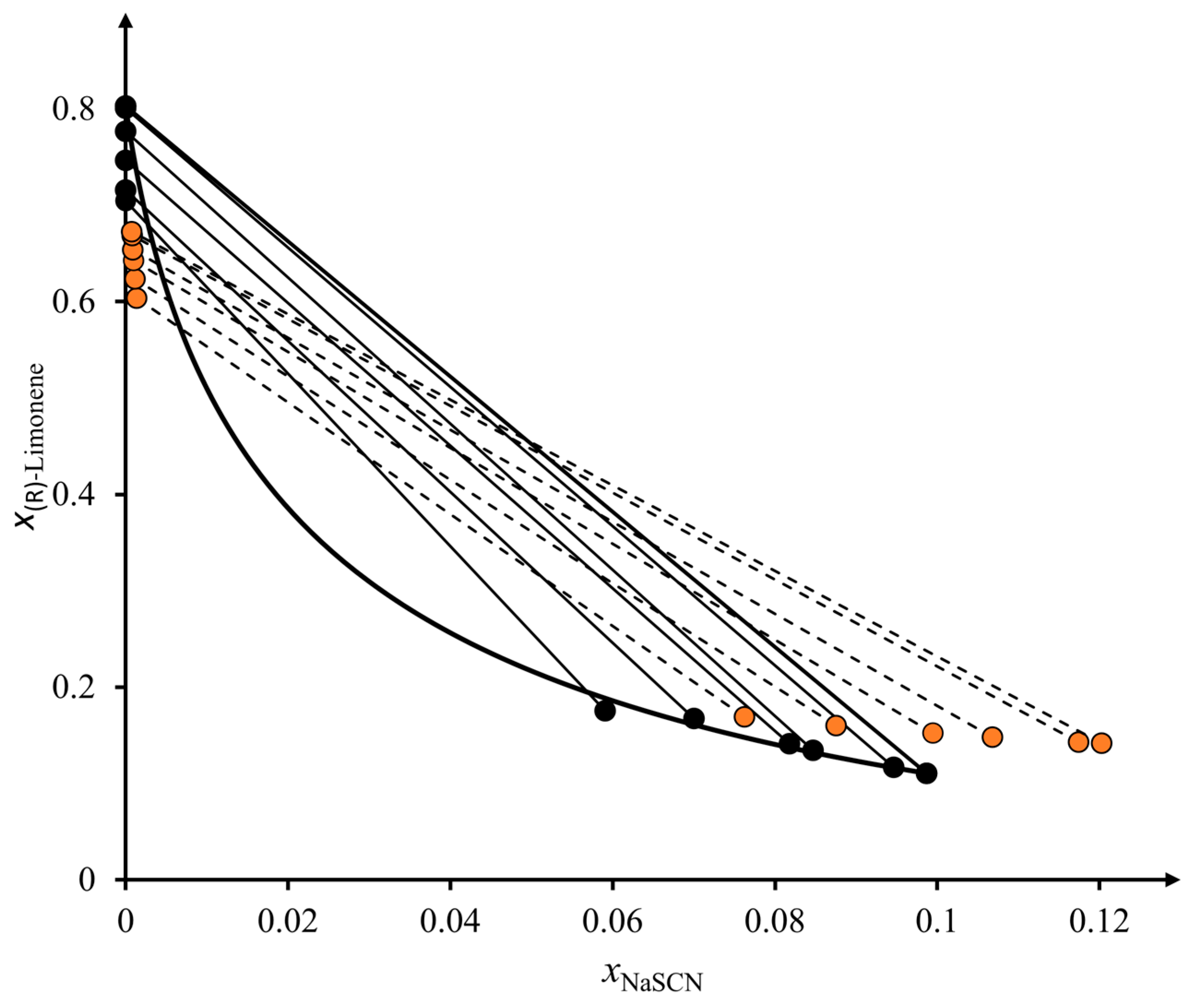
3.1. Determination of LLE in the Particular NATPSs
3.2. Model Description
3.2.1. Thermodynamic Modeling
3.2.2. Machine Learning
4. Conclusions and Future Works
Author Contributions
Funding
Data Availability Statement
Conflicts of Interest
References
- Beijerinck, M.W. Ueber Emulsionsbildung Bei Der Vermischung Wässeriger Lösungen Gewisser Gelatinierender Kolloide. Z. Für Chem. Ind. Kolloide 1910, 7, 16–20. [Google Scholar] [CrossRef]
- Asenjo, J.A.; Andrews, B.A. Aqueous Two-Phase Systems for Protein Separation: A Perspective. J. Chromatogr. A 2011, 1218, 8826–8835. [Google Scholar] [CrossRef]
- Tatsievskaya, G.I.; Vitman, T.A.; Kushner, T.M.; Serafimov, L.A. Study of the Phase Equilibrium of Liquid–Vapor–Solid Phase. 2. Chloroform–Methanol–Lithium Chloride System. Zh Fiz. Khim 1982, 56, 2353–2356. [Google Scholar]
- Liu, J.; Zhao, J.; Chen, Z. Phase Separation in Nonaqueous Mixed Solvents Induced by Quaternary Ammonium Surfactants. Acta Phys.-Chim. Sin. 2006, 22, 845–849. [Google Scholar] [CrossRef]
- Howard, E.J.; Patterson, W.H. CCCLXVIII—The Influence of Dissolved Salts on the Mutual Miscibility Temperature of the Systems Ethyl Alcohol or Methyl Alcohol–Paraffins. J. Chem. Soc. 1926, 129, 2787–2791. [Google Scholar] [CrossRef]
- Eckfeldt, E.L.; Lucasse, W.W. The Liquid–Liquid Phase Equilibria of the System Cyclohexane–Methyl Alcohol in the Presence of Various Salts as Third Components. J. Phys. Chem. 1943, 47, 164–183. [Google Scholar] [CrossRef]
- Yang, X.; Fu, Y.; Zhang, X.; Dong, H.; Wang, Y.; Yue, G.; Liu, J. Liquid–Liquid Equilibria of Benzene + Cyclohexane + N, N-Dimethyl Acetamide + Ammonium Thiocyanate at 298.15 K and Atmospheric Pressure. J. Chem. Eng. Data 2015, 60, 971–975. [Google Scholar] [CrossRef]
- Wu, X.; Song, T.; Wei, Z.; Shen, L.; Jiang, H.; Ke, Y.; He, C.; Yang, H.; Shi, W. Promoted Liquid-Liquid Phase Separation of PEO/PS Blends with Very Low LiTFSI Fraction. Polymer 2022, 260, 125307. [Google Scholar] [CrossRef]
- Wang, Z.; Ji, H.; Zhou, J.; Zheng, Y.; Liu, J.; Qian, T.; Yan, C. Exploiting Nonaqueous Self-Stratified Electrolyte Systems toward Large-Scale Energy Storage. Nat. Commun. 2023, 14, 2267. [Google Scholar] [CrossRef]
- Chen, Y.; Ryu, J.; Bazak, J.D.; Nguyen, D.T.; Han, K.S.; Li, Z.; Hu, J.Z.; Mueller, K.T.; Murugesan, V. Ion Solvation-Driven Liquid–Liquid Phase Separation in Divalent Electrolytes with Miscible Organic Solvents. J. Phys. Chem. C 2023, 127, 15443–15453. [Google Scholar] [CrossRef]
- Salama, M.; Shterenberg, I.; Gizbar, H.; Eliaz, N.N.; Kosa, M.; Keinan-Adamsky, K.; Afri, M.; Shimon, L.J.W.; Gottlieb, H.E.; Major, D.T.; et al. Unique Behavior of Dimethoxyethane (DME)/Mg(N(SO2CF3)2)2 Solutions. J. Phys. Chem. C 2016, 120, 19586–19594. [Google Scholar] [CrossRef]
- Kubisiak, P.; Eilmes, A. Solvation of Mg2+ Ions in Mg(TFSI)2–Dimethoxyethane Electrolytes—A View from Molecular Dynamics Simulations. J. Phys. Chem. C 2018, 122, 12615–12622. [Google Scholar] [CrossRef]
- Holin, O.; Gofer, Y.; Major, D.T.; Aurbach, D. Understanding the Unique Thermodynamic Behavior of MgTFSI2/DME Solutions. Part 1: Phase Diagram, Partial Volumes, and Densities. J. Phys. Chem. C 2023, 127, 14856–14862. [Google Scholar] [CrossRef]
- Holin, O.; Gofer, Y.; Major, D.T.; Aurbach, D. Understanding the Unique Thermodynamic Behavior of MgTFSI2/DME Solutions. Part 2: Thermodynamic Hypothesis, Raman Analyses, and Driving Forces. J. Phys. Chem. C 2023, 127, 14863–14873. [Google Scholar] [CrossRef]
- Raja, S.; Murty, V.R.; Thivaharan, V.; Rajasekar, V.; Ramesh, V. Aqueous Two Phase Systems for the Recovery of Biomolecules–A Review. Sci. Technol. 2011, 1, 7–16. [Google Scholar] [CrossRef]
- Teixeira, A.G.; Agarwal, R.; Ko, K.R.; Grant-Burt, J.; Leung, B.M.; Frampton, J.P. Emerging Biotechnology Applications of Aqueous Two-Phase Systems. Adv. Healthc. Mater. 2018, 7, 1701036. [Google Scholar] [CrossRef]
- Segaran, A.; Chua, L.S. Review of Recent Applications and Modifications of Aqueous Two-Phase System for the Separation of Biomolecules. Int. J. Biol. Macromol. 2024, 276, 133856. [Google Scholar] [CrossRef]
- McQueen, L.; Lai, D. Ionic Liquid Aqueous Two-Phase Systems from a Pharmaceutical Perspective. Front. Chem. 2019, 7, 135. [Google Scholar] [CrossRef] [PubMed]
- Molino, J.V.D.; de Viana, M.D.A.; Junior, A.P.; Mazzola, P.G.; Gatti, M.S.V. Different Types of Aqueous Two-Phase Systems for Biomolecule and Bioparticle Extraction and Purification. Biotechnol. Prog. 2013, 29, 1343–1353. [Google Scholar] [CrossRef] [PubMed]
- Tang, Y.Q.; Weng, N. Salting-Out Assisted Liquid–Liquid Extraction for Bioanalysis. Bioanalysis 2013, 5, 1583–1598. [Google Scholar] [CrossRef] [PubMed]
- Zhang, J.; Myasein, F.; Wu, H.; El-Shourbagy, T.A. Sugaring-out Assisted Liquid/Liquid Extraction with Acetonitrile for Bioanalysis Using Liquid Chromatography–Mass Spectrometry. Microchem. J. 2013, 108, 198–202. [Google Scholar] [CrossRef]
- Miličević, N.; Panić, M.; Valinger, D.; Cvjetko Bubalo, M.; Benković, M.; Jurina, T.; Gajdoš Kljusurić, J.; Radojčić Redovniković, I.; Jurinjak Tušek, A. Development of Continuously Operated Aqueous Two-Phase Microextraction Process Using Natural Deep Eutectic Solvents. Sep. Purif. Technol. 2020, 244, 116746. [Google Scholar] [CrossRef]
- Nikakhtari, H.; Vagi, L.; Choi, P.; Liu, Q.; Gray, M.R. Solvent Screening for Non-Aqueous Extraction of Alberta Oil Sands. Can. J. Chem. Eng. 2013, 91, 1153–1160. [Google Scholar] [CrossRef]
- Lin, F.; Stoyanov, S.R.; Xu, Y. Recent Advances in Nonaqueous Extraction of Bitumen from Mineable Oil Sands: A Review. Org. Process Res. Dev. 2017, 21, 492–510. [Google Scholar] [CrossRef]
- Batchu, N.K.; Vander Hoogerstraete, T.; Banerjee, D.; Binnemans, K. Non-Aqueous Solvent Extraction of Rare-Earth Nitrates from Ethylene Glycol to n-Dodecane by Cyanex 923. Sep. Purif. Technol. 2017, 174, 544–553. [Google Scholar] [CrossRef]
- Li, Z.; Dewulf, B.; Binnemans, K. Nonaqueous Solvent Extraction for Enhanced Metal Separations: Concept, Systems, and Mechanisms. Ind. Eng. Chem. Res. 2021, 60, 17285–17302. [Google Scholar] [CrossRef]
- Hammad, S.F.; Abdallah, I.A.; Bedair, A.; Mansour, F.R. Salting-out Induced Liquid–Liquid Microextraction for Alogliptin Benzoate Determination in Human Plasma by HPLC/UV. BMC Chem. 2021, 15, 2. [Google Scholar] [CrossRef]
- Gupta, M.; Dsouza, A. Salting-out Homogeneous Liquid-Liquid Microextraction for the Spectrophotometric Determination of Iodate in Food Grade Salt. J. Food Compos. Anal. 2020, 87, 103396. [Google Scholar] [CrossRef]
- Lu, J.; Lazzaroni, M.J.; Hallett, J.P.; Bommarius, A.S.; Liotta, C.L.; Eckert, C.A. Tunable Solvents for Homogeneous Catalyst Recycle. Ind. Eng. Chem. Res. 2004, 43, 1586–1590. [Google Scholar] [CrossRef]
- Blasucci, V.M.; Husain, Z.A.; Fadhel, A.Z.; Donaldson, M.E.; Vyhmeister, E.; Pollet, P.; Liotta, C.L.; Eckert, C.A. Combining Homogeneous Catalysis with Heterogeneous Separation Using Tunable Solvent Systems. J. Phys. Chem. A 2010, 114, 3932–3938. [Google Scholar] [CrossRef] [PubMed]
- Bianga, J.; Künnemann, K.U.; Gaide, T.; Vorholt, A.J.; Seidensticker, T.; Dreimann, J.M.; Vogt, D. Thermomorphic Multiphase Systems: Switchable Solvent Mixtures for the Recovery of Homogeneous Catalysts in Batch and Flow Processes. Chem. Eur. J. 2019, 25, 11586–11608. [Google Scholar] [CrossRef]
- Horváth, I.T.; Rábai, J. Facile Catalyst Separation Without Water: Fluorous Biphase Hydroformylation of Olefins. Science 1994, 266, 72–75. [Google Scholar] [CrossRef]
- Kohlpaintner, C.W.; Fischer, R.W.; Cornils, B. Aqueous Biphasic Catalysis: Ruhrchemie/Rhône-Poulenc Oxo Process. Hoelderich Spec. Issue 2001, 221, 219–225. [Google Scholar] [CrossRef]
- Lutz, E.F. Shell Higher Olefins Process. J. Chem. Educ. 1986, 63, 202. [Google Scholar] [CrossRef]
- Commereuc, D.; Chauvin, Y.; Leger, G.; Gaillard, J. Aspects Chimiques Du Procédé DIMERSOL de Dimérisation Des Oléfines. Rev. Inst. Fr. Pét 1982, 37, 639–649. [Google Scholar] [CrossRef]
- Olivier-Bourbigou, H.; Favre, F.; Forestière, A.; Hugues, F. Ionic Liquids and Catalysis: The IFP Biphasic Difasol Process. In Handbook of Green Chemistry; John Wiley & Sons: Hoboken, NJ, USA, 2010; pp. 101–126. ISBN 978-3-527-62869-8. [Google Scholar]
- Mąkosza, M.; Fedoryński, M. Phase Transfer Catalysis. Catal. Rev. 2003, 45, 321–367. [Google Scholar] [CrossRef]
- Sikorski, P.; Tomaszewski, W.; Kosiek, K.; Hofman, T. The Phase Split Forced by Salts or Carbohydrates in Nonaqueous Systems. Fluid Phase Equilibria 2023, 570, 113790. [Google Scholar] [CrossRef]
- Tomaszewski, W.; Paduszyński, K.; Lesiuk, M.; Sikorski, P.; Kosiek, K.; Nocuń, K.; Hofman, T. Liquid-Liquid Phase Separation in Nonaqueous Two-Phase Systems Containing Salts: A Machine Learning Study. Fluid Phase Equilibria 2026. to be submitted.. [Google Scholar]
- Ben-Efraim, D.A. Detection and Determination of Cyanates, Isocyanates, Isothiocyanates, and Thiocyanates. In Cyanates and Their Thio Derivatives (1977); PATAI’S Chemistry of Functional Groups; John Wiley & Sons: Hoboken, NJ, USA, 1977; p. 197. ISBN 978-0-470-77152-5. [Google Scholar]
- Joseph, V.B.; Satchell, D.P.N.; Satchell, R.S.; Wassef, W.N. Hydrolysis of Aryl and Alkyl Isothiocyanates in Aqueous Perchloric Acid. J. Chem. Soc. Perkin Trans. 1992, 2, 339–341. [Google Scholar] [CrossRef]
- Wang, P.; Wang, K.; Zhang, J.; Luo, G. Non-Aqueous Suspension Polycondensation in NMP-CaCl2/Paraffin System—A New Approach for the Preparation of Poly(p-Phenylene Terephthalamide). Chin. J. Polym. Sci. 2015, 33, 564–575. [Google Scholar] [CrossRef]
- Georgiadou, S.; Thomas, N.L.; Gilbert, M.; Brooks, B.W. Nonaqueous Polymerization of Vinyl Chloride: An Environmentally Friendly Process. J. Appl. Polym. Sci. 2009, 112, 2472–2481. [Google Scholar] [CrossRef]
- Ganta, S.; Drechsler, C.; Chen, Y.-T.; Clever, G.H. Nonaqueous Emulsion Polycondensation Enabled by a Self-Assembled Cage-like Surfactant. Chem. Eur. J. 2022, 28, e202104228. [Google Scholar] [CrossRef]
- Müller, K.; Klapper, M.; Müllen, K. Synthesis of Conjugated Polymer Nanoparticles in Non-Aqueous Emulsions. Macromol. Rapid Commun. 2006, 27, 586–593. [Google Scholar] [CrossRef]
- Müller, K.; Klapper, M.; Müllen, K. Polyester Nanoparticles by Non-Aqueous Emulsion Polycondensation. J. Polym. Sci. Part. Polym. Chem. 2007, 45, 1101–1108. [Google Scholar] [CrossRef]
- Carr, E.L.; Johnson, P.H. Nonaqueous Emulsion Polymerization Systems. Ind. Eng. Chem. 1949, 41, 1588–1592. [Google Scholar] [CrossRef]
- Navalpotro, P.; Neves, C.M.S.S.; Palma, J.; Freire, M.G.; Coutinho, J.A.P.; Marcilla, R. Pioneering Use of Ionic Liquid-Based Aqueous Biphasic Systems as Membrane-Free Batteries. Adv. Sci. 2018, 5, 1800576. [Google Scholar] [CrossRef]
- Wang, Z.; Zhou, J.; Ji, H.; Liu, J.; Zhou, Y.; Qian, T.; Yan, C. Principles and Design of Biphasic Self-Stratifying Batteries Toward Next-Generation Energy Storage. Angew. Chem. Int. Ed. 2024, 63, e202320258. [Google Scholar] [CrossRef] [PubMed]
- Zhao, X.; Fu, J.; Chen, M.; Wang, Y.; Huang, C.; Qian, K.; Feng, G.; Li, B.; Zhou, D.; Kang, F. A Self-Phase Separated Electrolyte toward Durable and Rollover-Stable Zinc Metal Batteries. J. Am. Chem. Soc. 2025, 147, 2714–2725. [Google Scholar] [CrossRef] [PubMed]
- Navalpotro, P.; Santos, C.S.; Alcantara, M.L.; Muñoz-Perales, V.; Ibañez, S.E.; Martínez-Bejarano, A.; Jiyane, N.; Neves, C.M.S.S.; Rubio-Presa, R.; Quast, T.; et al. Enhancing the Stability of Aqueous Membrane-Free Flow Batteries: Insights into Interphase Processes. Angew. Chem. Int. Ed. 2025, 64, e202424650. [Google Scholar] [CrossRef]
- Zhang, K.; Ge, Y.; Yu, Q.; Zhang, P.; Feng, Y.; Tie, Z.; Ma, J.; Jin, Z. Self-Stratified Aqueous Biphasic Zn–I and Zn–Br Batteries Enabled by Spontaneous Phase Separation and Halogen Extraction Effects of Ionic Liquids. Energy Storage Mater. 2024, 67, 103296. [Google Scholar] [CrossRef]
- Shterenberg, I.; Salama, M.; Yoo, H.D.; Gofer, Y.; Park, J.-B.; Sun, Y.-K.; Aurbach, D. Evaluation of (CF3SO2)2N−(TFSI) Based Electrolyte Solutions for Mg Batteries. J. Electrochem. Soc. 2015, 162, A7118. [Google Scholar] [CrossRef]
- Gao, T.; Hou, S.; Wang, F.; Ma, Z.; Li, X.; Xu, K.; Wang, C. Reversible S0/MgSx Redox Chemistry in a MgTFSI2/MgCl2/DME Electrolyte for Rechargeable Mg/S Batteries. Angew. Chem. Int. Ed. 2017, 56, 13526–13530. [Google Scholar] [CrossRef] [PubMed]
- Gregory, K.P.; Elliott, G.R.; Robertson, H.; Kumar, A.; Wanless, E.J.; Webber, G.B.; Craig, V.S.J.; Andersson, G.G.; Page, A.J. Understanding Specific Ion Effects and the Hofmeister Series. Phys. Chem. Chem. Phys. 2022, 24, 12682–12718. [Google Scholar] [CrossRef]
- Tomaszewski, W.; Nocuń, K.; Hofman, T. Nonaqueous Two-Phase Systems Containing Protein Denaturants. J. Solut. Chem. 2026. to be submitted.. [Google Scholar]
- Sikorski, P.; Hofman, T. Temperature Dependence of Liquid–Liquid Equilibria in Nonaqueous Two–Phase Systems Based on Formamide. J. Chem. Thermodyn. 2024, 195, 107293. [Google Scholar] [CrossRef]
- Sikorski, P.; Kosiek, K.; Więckowski, M.; Hofman, T. Ternary Liquid-Liquid Equilibria in a Few Nonaqueous Two-Phase Systems. J. Solut. Chem. 2025, 54, 377–391. [Google Scholar] [CrossRef]
- Tomaszewski, W.; Nocuń, K.; Hofman, T. Liquid-Liquid Equilibria in the Ternary Acetone + n-Hexane + NaI System. J. Chem. Eng. Data 2026. to be submitted.. [Google Scholar]
- Renon, H.; Prausnitz, J.M. Local Compositions in Thermodynamic Excess Functions for Liquid Mixtures. AIChE J. 1968, 14, 135–144. [Google Scholar] [CrossRef]
- Abrams, D.S.; Prausnitz, J.M. Statistical Thermodynamics of Liquid Mixtures: A New Expression for the Excess Gibbs Energy of Partly or Completely Miscible Systems. AIChE J. 1975, 21, 116–128. [Google Scholar] [CrossRef]
- Sørensen, J.M.; Magnussen, T.; Rasmussen, P.; Fredenslund, A. Liquid—Liquid Equilibrium Data: Their Retrieval, Correlation and Prediction Part II: Correlation. Fluid Phase Equilibria 1979, 3, 47–82. [Google Scholar] [CrossRef]
- Reyes-Labarta, J.A.; Olaya, M.M.; Velasco, R.; Serrano, M.D.; Marcilla, A. Correlation of the Liquid–Liquid Equilibrium Data for Specific Ternary Systems with One or Two Partially Miscible Binary Subsystems. Fluid Phase Equilibria 2009, 278, 9–14. [Google Scholar] [CrossRef]
- Park, S.-J.; Hwang, I.-C.; Kwak, H.-Y. Binary Liquid−Liquid Equilibrium (LLE) for Dibutyl Ether (DBE) + Water from (288.15 to 318.15) K and Ternary LLE for Systems of DBE + C1 ∼ C4 Alcohols + Water at 298.15 K. J. Chem. Eng. Data 2008, 53, 2089–2094. [Google Scholar] [CrossRef]
- Rečková, Z.; Řehák, K.; Voňka, P.; Pokki, J.-P. Liquid−Liquid Equilibria in Ternary Systems 2-Methylbutane + 2-Methyl-2-Propanol + Water and Pentane + 2-Methyl-2-Propanol + Water at 293.15 K. J. Chem. Eng. Data 2009, 54, 417–422. [Google Scholar] [CrossRef]
- Feng, C.; Liang, Y.; Sun, J.; Wang, R.; Sun, H.; Dong, H. Predicting Miscibility in Binary Compounds: A Machine Learning and Genetic Algorithm Study. Phys. Chem. Chem. Phys. 2025, 27, 4121–4128. [Google Scholar] [CrossRef] [PubMed]
- Aoki, Y.; Wu, S.; Tsurimoto, T.; Hayashi, Y.; Minami, S.; Tadamichi, O.; Shiratori, K.; Yoshida, R. Multitask Machine Learning to Predict Polymer–Solvent Miscibility Using Flory–Huggins Interaction Parameters. Macromolecules 2023, 56, 5446–5456. [Google Scholar] [CrossRef]
- Ma, Y.-G.; Pang, L.-G.; Wang, R.; Zhou, K. Phase Transition Study Meets Machine Learning. Chin. Phys. Lett. 2023, 40, 122101. [Google Scholar] [CrossRef]
- Brownlee, J. Imbalanced Classification with Python: Better Metrics, Balance Skewed Classes, Cost-Sensitive Learning; Machine Learning Mastery: Victoria, Australia, 2020; p. 64. [Google Scholar]
- Taft, R.W.; Abboud, J.-L.M.; Kamlet, M.J.; Abraham, M.H. Linear Solvation Energy Relations. J. Solut. Chem. 1985, 14, 153–186. [Google Scholar] [CrossRef]
- Hansen, C.M. The Three Dimensional Solubility Parameter and Solvent Diffusion Coefficient: Their Importance in Surface Coating Formulation; Danish Technical Press: Vanloese, Denmark, 1967; p. 14. [Google Scholar]
- Marcus, Y. Effect of Ions on the Structure of Water: Structure Making and Breaking. Chem. Rev. 2009, 109, 1346–1370. [Google Scholar] [CrossRef]
- Cartledge, G.H. Studies on the Periodic System. I. The Ionic Potential as a Periodic Function. J. Am. Chem. Soc. 1928, 50, 2855–2863. [Google Scholar] [CrossRef]
- Zachara, J.; Wiśniewski, W. Electronegativity Force of Cations and Thermal Decomposition of Complex Fluorides. J. Therm. Anal. 1995, 44, 363–373. [Google Scholar] [CrossRef]




Polar Solvent | Percentage of the Systems with Liquid–Liquid Phase Split Induced by | |
|---|---|---|
| Salt | Carbohydrate/ Alditol | |
| Formamide | 23 | 64 |
| Ethane-1,2-diol | 19 | 25 |
| Dimethyl sulfoxide | 13 | 69 |
| Ethanol | 11 | 0 |
| N-methylformamide | 9 | 43 |
Disclaimer/Publisher’s Note: The statements, opinions and data contained in all publications are solely those of the individual author(s) and contributor(s) and not of MDPI and/or the editor(s). MDPI and/or the editor(s) disclaim responsibility for any injury to people or property resulting from any ideas, methods, instructions or products referred to in the content. |
© 2026 by the authors. Licensee MDPI, Basel, Switzerland. This article is an open access article distributed under the terms and conditions of the Creative Commons Attribution (CC BY) license.
Share and Cite
Hofman, T.; Tomaszewski, W. Phase Separation in Nonaqueous Systems Induced by a Solid Component. Liquids 2026, 6, 10. https://doi.org/10.3390/liquids6010010
Hofman T, Tomaszewski W. Phase Separation in Nonaqueous Systems Induced by a Solid Component. Liquids. 2026; 6(1):10. https://doi.org/10.3390/liquids6010010
Chicago/Turabian StyleHofman, Tadeusz, and Wojciech Tomaszewski. 2026. "Phase Separation in Nonaqueous Systems Induced by a Solid Component" Liquids 6, no. 1: 10. https://doi.org/10.3390/liquids6010010
APA StyleHofman, T., & Tomaszewski, W. (2026). Phase Separation in Nonaqueous Systems Induced by a Solid Component. Liquids, 6(1), 10. https://doi.org/10.3390/liquids6010010

