Development and Evaluation of an Exogenous Bioaugmentation Framework Using an Immobilized Mixed Bacterial Consortium for the Remediation of Hydrocarbon-Contaminated Soils
Abstract
1. Introduction
2. Experimental Design
- The choice of a molecular marker linked to the type of contamination to be tackled.
- The application of a biodegradable carrier to immobilize the bacterial consortium and ensure sustained activity.
- The addition of a solid oxygen-releasing compound (ORC) to address oxygen limitations in the soil. The ORC offers a practical alternative to mechanical soil aeration, which is typically labor-intensive and disruptive, especially in large-scale applications [38].
- Here, the bacterial strains were isolated from oil-contaminated soils in Equatorial and Mediterranean climates. Their selection was guided by criteria focused on the degradation of aliphatic hydrocarbons typical of recent contamination events (3 months in this study). To this end, candidate strains were chosen based on the presence of the alkB gene, the chosen molecular marker, and the ability to produce biosurfactants. The strains were subsequently entrapped in alginate beads, and calcium peroxide, the chosen ORC, was added to ensure sustained aerobic conditions. To assess field-readiness, the entrapped bacterial consortium was also tested as a lyophilized formulation.
3. Materials and Methods
3.1. Entrapment and Lyophilization
3.2. Soil Treatment: Mesocosm Study of Natural Attenuation, Bioaugmentation, and Landfarming
Plot Experiment
3.3. Gas Chromatography–Mass Spectrometry (GC-MS) Analysis
3.4. Next-Generation Sequencing (NGS) to Determine Soil Community Structures
3.5. Diversity Assessment
3.6. Quantification of Microbial Community and Alkanes Degradation Gene alkB by qPCR
3.7. Statistical Analysis
4. Results
4.1. NGS Results
4.1.1. Microbial Community Changes
4.1.2. Alpha Diversity
4.1.3. Ordination and Clustering Analysis
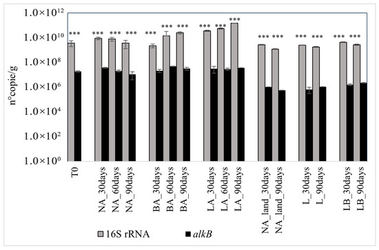
4.1.4. Bacterial Community Size and alkB Gene Copies
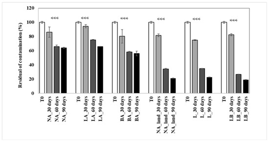
4.2. GC-MS Analysis
5. Discussion
6. Conclusions
Supplementary Materials
Author Contributions
Funding
Data Availability Statement
Acknowledgments
Conflicts of Interest
References
- Chicca, I.; Becarelli, S.; Di, G.S. Microbial Involvement in the Bioremediation of Total Petroleum Hydrocarbon Polluted Soils: Challenges and Perspectives. Environments. Environments 2022, 9, 52. [Google Scholar] [CrossRef]
- Sattar, S.; Hussain, R.; Shah, S.M.; Bibi, S.; Ahmad, S.R. Composition, impacts, and removal of liquid petroleum waste through bioremediation as an alternative clean-up technology: A review. Heliyon 2022, 8, e11101. [Google Scholar] [CrossRef]
- Gros, J.; Reddy, C.M.; Aeppli, C.; Nelson, R.K.; Carmichael, C.A.; Arey, J.S. Resolving Biodegradation Patterns of Persistent Saturated Hydrocarbons in Weathered Oil Samples from the Deepwater Horizon Disaster. Environ. Sci. Technol. 2014, 48, 1628–1637. [Google Scholar] [CrossRef]
- Li, Q. Mining secondary metabolism of Achromobacter and analysis of key genes of petroleum degradation. IOP Conf. Ser. Earth Environ. Sci. 2021, 692, 042032. [Google Scholar] [CrossRef]
- Cappelletti, M.; Fedi, S.; Zannoni, D. Degradation of Alkanes in Rhodococcus. Microbiol. Monogr. 2019, 16, 147–175. [Google Scholar] [CrossRef]
- Maqsood, Q.; Waseem, R.; Sumrin, A.; Wajid, A.; Tariq, M.R.; Ali, S.W.; Mahnoor, M. Recent trends in bioremediation and bioaugmentation strategies for mitigation of marine based pollutants: Current perspectives and future outlook. Discov. Sustain. 2024, 5, 524. [Google Scholar] [CrossRef]
- Goma-Tchimbakala, E.J.C.D.; Pietrini, I.; Goma-Tchimbakala, J.; Corgnati, S.P. Use of Shotgun Metagenomics to Assess the Microbial Diversity and Hydrocarbons Degrading Functions of Auto-Mechanic Workshops Soils Polluted with Gasoline and Diesel Fuel. Microorganisms 2023, 11, 722. [Google Scholar] [CrossRef]
- Mekonnen, B.A.; Aragaw, T.A.; Genet, M.B. Bioremediation of petroleum hydrocarbon contaminated soil: A review on principles, degradation mechanisms, and advancements. Front. Environ. Sci. 2024, 12, 1354422. [Google Scholar] [CrossRef]
- Ntroumpogianni, G.C.; Giannoutsou, E.; Karagouni, A.D.; Savvides, A.L. Bacterial Isolates from Greek Sites and Their Efficacy in Degrading Petroleum. Sustainability 2022, 14, 9562. [Google Scholar] [CrossRef]
- Dellagnezze, B.M.; Vasconcellos, S.P.; Angelim, A.L.; Melo, V.M.M.; Santisi, S.; Cappello, S.; Oliveira, V.M. Bioaugmentation strategy employing a microbial consortium immobilized in chitosan beads for oil degradation in mesocosm scale. Mar. Pollut. Bull. 2016, 107, 107–117. [Google Scholar] [CrossRef]
- Dou, R.; Sun, J.; Lu, J.; Deng, F.; Yang, C.; Lu, G.; Dang, Z. Bacterial communities and functional genes stimulated during phenanthrene degradation in soil by bio-microcapsules. Ecotoxicol. Environ. Saf. 2021, 212, 111970. [Google Scholar] [CrossRef]
- Xue, J.; Shi, K.; Chen, C.; Bai, Y.; Cui, Q.; Li, N.; Fu, X.; Qiao, Y. Evaluation of response of dynamics change in bioaugmentation process in diesel-polluted seawater via high-throughput sequencing: Degradation characteristic, community structure, functional genes. J. Hazard. Mater. 2021, 403, 123569. [Google Scholar] [CrossRef]
- Jurelevicius, D.; Alvarez, V.M.; Peixoto, R.; Rosado, A.S.; Seldin, L. The use of a combination of alkB primers to better characterize the distribution of alkane-degrading bacteria. PLoS ONE 2013, 8, e66565. [Google Scholar] [CrossRef]
- Muter, O. Current Trends in Bioaugmentation Tools for Bioremediation: A Critical Review of Advances and Knowledge Gaps. Microorganisms 2023, 11, 710. [Google Scholar] [CrossRef]
- Wu, M.; Wu, J.; Zhang, X.; Ye, X. Effect of bioaugmentation and biostimulation on hydrocarbon degradation and microbial community composition in petroleum-contaminated loessal soil. Chemosphere 2019, 237, 124456. [Google Scholar] [CrossRef]
- Nwankwegu, A.S.; Zhang, L.; Xie, D.; Onwosi, C.O.; Muhammad, W.I.; Odoh, C.K.; Kabari, S.K.; Idenyi, J.N. Bioaugmentation as a green technology for hydrocarbon pollution remediation. Problems and prospects. J. Environ. Manag. 2022, 304, 114313. [Google Scholar] [CrossRef]
- Nejidat, A.; Meshulam, M.; Diaz-Reck, D.; Ronen, Z. Emergence of hydrocarbon-degrading bacteria in crude oil-contaminated soil in a hyperarid ecosystem: Effect of phosphate addition and augmentation with nitrogen-fixing cyanobacteria on oil bioremediation. Int. Biodeterior. Biodegrad. 2023, 178, 105556. [Google Scholar] [CrossRef]
- Kumari, S.; Regar, R.K.; Manickam, N. Improved polycyclic aromatic hydrocarbon degradation in a crude oil by individual and a consortium of bacteria. Bioresour. Technol. 2018, 254, 174–179. [Google Scholar] [CrossRef]
- Okafor, C.P.; Udemang, N.L.; Chikere, C.B.; Akaranta, O.; Ntushelo, K. Indigenous microbial strains as bioresource for remediation of chronically polluted Niger Delta soils. Sci. Afr. 2021, 11, e00682. [Google Scholar] [CrossRef]
- Pozdnyakova, N.; Muratova, A.; Turkovskaya, O. Degradation of Polycyclic Aromatic Hydrocarbons by Co-Culture of Pleurotus ostreatus Florida and Azospirillum brasilense. Appl. Microbiol. 2022, 2, 735–748. [Google Scholar] [CrossRef]
- Ssenku, J.E.; Walusansa, A.; Oryem-Origa, H.; Ssemanda, P.; Ntambi, S.; Omujal, F.; Mustafa, A.S. Bacterial community and chemical profiles of oil-polluted sites in selected cities of Uganda: Potential for developing a bacterial-based product for remediation of oil-polluted sites. BMC Microbiol. 2022, 22, 120. [Google Scholar] [CrossRef]
- Behera, I.D.; Nayak, M.; Biswas, S.; Meikap, B.C.; Sen, R. Enhanced biodegradation of total petroleum hydrocarbons by implementing a novel two-step bioaugmentation strategy using indigenous bacterial consortium. J. Environ. Manag. 2021, 292, 112746. [Google Scholar] [CrossRef]
- Al-Mailem, D.M.; Kansour, M.K.; Radwan, S.S. Correction: Cross-Bioaugmentation Among Four Remote Soil Samples Contaminated with Oil Exerted Just Inconsistent Effects on Oil-Bioremediation. Front. Microbiol. 2020, 11, 211. [Google Scholar] [CrossRef]
- Radwan, S.S.; Al-Mailem, D.M.; Kansour, M.K. Bioaugmentation failed to enhance oil bioremediation in three soil samples from three different continents. Sci. Rep. 2019, 9, 19508. [Google Scholar] [CrossRef]
- Perdigão, R.; Almeida, C.M.R.; Magalhães, C.; Ramos, S.; Carolas, A.L.; Ferreira, B.S.; Carvalho, M.F.; Mucha, A.P. Bioremediation of Petroleum Hydrocarbons in Seawater: Prospects of Using Lyophilized Native Hydrocarbon-Degrading Bacteria. Microorganisms 2021, 9, 2285. [Google Scholar] [CrossRef]
- Rivelli, V.; Franzetti, A.; Gandolfi, I.; Cordoni, S.; Bestetti, G. Persistence and degrading activity of free and immobilised allochthonous bacteria during bioremediation of hydrocarbon-contaminated soils. Biodegradation 2013, 24, 1–11. [Google Scholar] [CrossRef]
- Chen, Q.; Li, J.; Liu, M.; Sun, H.; Bao, M. Study on the biodegradation of crude oil by free and immobilized bacterial consortium in marine environment. PLoS ONE 2017, 12, e0174445. [Google Scholar] [CrossRef]
- Shan, L.; Gao, Y.; Zhang, Y.; Yu, W.; Yang, Y.; Shen, S.; Zhang, S.; Zhu, L.; Xu, L.; Tian, B.; et al. Fabrication and use of alginate-based cryogel delivery beads loaded with urea and phosphates as potential carriers for bioremediation. Ind. Eng. Chem. Res. 2016, 55, 7655–7660. [Google Scholar] [CrossRef]
- Khandelwal, A.; Sugavanam, R.; Ramakrishnan, B.; Dutta, A.; Varghese, E.; Nain, L.; Banerjee, T.; Singh, N. Free and immobilized microbial culture–mediated crude oil degradation and microbial diversity changes through taxonomic and functional markers in a sandy loam soil. Front. Environ. Sci. 2022, 9, 794303. [Google Scholar] [CrossRef]
- Goma-Tchimbakala, E.J.C.D.; Pietrini, I.; Dal Bello, F.; Goma-Tchimbakala, J.; Lo Russo, S.; Corgnati, S.P. Great abilities of Shinella zoogloeoides strain from a landfarming soil for crude oil degradation and a synergy model for alginate-bead-entrapped consortium efficiency. Microorganisms 2022, 10, 1361. [Google Scholar] [CrossRef]
- Cabrefiga, J.; Francés, J.; Montesinos, E.; Bonaterra, A. Improvement of a dry formulation of Pseudomonas fluorescens EPS62e for fire blight disease biocontrol by combination of culture osmoadaptation with a freeze-drying lyoprotectant. J. Appl. Microbiol. 2014, 117, 1122–1131. [Google Scholar] [CrossRef]
- Chevalier, L.R.; McCann, C. Feasibility of calcium peroxide as an oxygen releasing compound in treatment walls. Int. J. Environ. Pollut. 2006, 2, 245–256. [Google Scholar] [CrossRef]
- Mosmeri, H.; Alaie, E.; Shavandi, M.; Dastgheib, S.M.M.; Tasharrofi, S. Benzene-contaminated groundwater remediation using calcium peroxide nanoparticles: Synthesis and process optimization. Environ. Monit. Assess. 2017, 189, 452. [Google Scholar] [CrossRef]
- Gnida, A.; Turek-Szytow, J. Calcium preparation aided bioremediation of fluoranthene-contaminated soil. Water Air Soil Pollut. 2023, 234, 17. [Google Scholar] [CrossRef]
- Teran-Cuadrado, G.; Ortega-Vega, C.; Alves-de Brito, H.; Quiñones-Murillo, D.; Jiménez Rojas, M. Effectiveness of a bio-catalytic agent used in the bioremediation of crude oil-polluted seawater. Heliyon 2021, 7, e06926. [Google Scholar] [CrossRef]
- Das, N.; Chandran, P. Microbial degradation of petroleum hydrocarbon contaminants: An overview. Biotechnol. Res. Int. 2011, 2011, 941810. [Google Scholar] [CrossRef] [PubMed]
- Thomas, G.E.; Brant, J.L.; Campo, P.; Clark, D.R.; Coulon, F.; Gregson, B.H.; McGenity, T.J.; McKew, B.A. Effects of dispersants and biosurfactants on crude-oil biodegradation and bacterial community succession. Microorganisms 2021, 9, 1200. [Google Scholar] [CrossRef]
- Révész, F.; Figueroa-Gonzalez, P.A.; Probst, A.J.; Kriszt, B.; Banerjee, S.; Szoboszlay, S.; Maróti, G.; Táncsics, A. Microaerobic conditions caused the overwhelming dominance of Acinetobacter spp. and the marginalization of Rhodococcus spp. in diesel fuel/crude oil mixture-amended enrichment cultures. Arch. Microbiol. 2020, 202, 329–342. [Google Scholar] [CrossRef] [PubMed]
- Gielnik, A.; Pechaud, Y.; Huguenot, D.; Cébron, A.; Esposito, G.; van Hullebusch, E.D. Functional potential of sewage sludge digestate microbes to degrade aliphatic hydrocarbons during bioremediation of a petroleum hydrocarbons contaminated soil. J. Environ. Manag. 2020, 271, 111648. [Google Scholar] [CrossRef] [PubMed]
- Gu, J.-D. Biodegradation testing: So many tests but very little new innovation. Appl. Environ. Biotechnol. 2016, 1, 92–95. [Google Scholar] [CrossRef]
- Gao, L.; Gu, J.-D. A unified conceptual framework involving maintenance energy, metabolism and toxicity involved in research on degradation of environmental organic pollutants. Int. Biodeterior. Biodegrad. 2021, 162, 105253. [Google Scholar] [CrossRef]
- Bertolini, V.; Gandolfi, I.; Ambrosini, R.; Bestetti, G.; Innocente, E.; Rampazzo, G.; Franzetti, A. Temporal variability and effect of environmental variables on airborne bacterial communities in an urban area of Northern Italy. Appl. Microbiol. Biotechnol. 2013, 97, 6561–6570. [Google Scholar] [CrossRef]
- Vázquez-Baeza, Y.; Pirrung, M.; Gonzalez, A.; Knight, R. EMPeror: A tool for visualizing high-throughput microbial community data. Gigascience 2013, 2, 16. [Google Scholar] [CrossRef] [PubMed]
- Zampolli, J.; Collina, E.; Lasagni, M.; Di Gennaro, P. Biodegradation of variable-chain-length n-alkanes in Rhodococcus opacus R7 and the involvement of an alkane hydroxylase system in the metabolism. AMB Express 2014, 4, 73. [Google Scholar] [CrossRef] [PubMed]
- Aljandal, S.; Doyle, S.M.; Bera, G.; Wade, T.L.; Knap, A.H.; Sylvan, J.B. Mesopelagic microbial community dynamics in response to increasing oil and Corexit 9500 concentrations. PLoS ONE 2022, 23, e0263420. [Google Scholar] [CrossRef]
- Couto, M.N.; Monteiro, E.; Vasconcelos, M.T. Mesocosm trials of bioremediation of contaminated soil of a petroleum refinery: Comparison of natural attenuation, biostimulation and bioaugmentation. Environ. Sci. Pollut. Res. Int. 2010, 17, 1339–1346. [Google Scholar] [CrossRef]
- Ntougias, S.; Melidis, P.; Navrozidou, E.; Tzegkas, F. Diversity and efficiency of anthracene-degrading bacteria isolated from a denitrifying activated sludge system treating municipal wastewater. Int. Biodeterior. Biodegrad. 2015, 97, 151–158. [Google Scholar] [CrossRef]
- Abbasian, F.; Palanisami, T.; Megharaj, M.; Naidu, R.; Lockington, R.; Ramadass, K. Microbial diversity and hydrocarbon degrading gene capacity of a crude oil field soil as determined by metagenomics analysis. Biotechnol. Prog. 2016, 32, 638–648. [Google Scholar] [CrossRef]
- Franchi, E.; Cardaci, A.; Pietrini, I.; Fusini, D.; Conte, A.; De Folly D’Auris, A.; Grifoni, M.; Pedron, F.; Barbafieri, M.; Petruzzelli, G.; et al. Nature-Based Solutions for Restoring an Agricultural Area Contaminated by an Oil Spill. Plants 2022, 11, 2250. [Google Scholar] [CrossRef] [PubMed]
- Sharma, K.; Singh, V.; Pandit, S.; Thapa, B.S.; Pant, K.; Tusher, T.R. Isolation of Biosurfactant-Producing Bacteria and Their Co-Culture Application in Microbial Fuel Cell for Simultaneous Hydrocarbon Degradation and Power Generation. Sustainability 2022, 14, 15638. [Google Scholar] [CrossRef]
- Apul, O.G.; Arrowsmith, S.; Hall, C.A.; Miranda, E.M.; Alama, F.; Dahlen, P.; Sra, K.; Kamath, R.; McMillen, S.J.; Sihota, N.; et al. Biodegradation of petroleum hydrocarbons in a weathered, unsaturated soil is inhibited by peroxide oxidants. J. Hazard. Mater. 2022, 433, 128770. [Google Scholar] [CrossRef] [PubMed]
- Gregson, B.H.; Metodieva, G.; Metodiev, M.V.; Golyshin, P.N.; McKew, B.A. Differential Protein Expression During Growth on Medium Versus Long-Chain Alkanes in the Obligate Marine Hydrocarbon-Degrading Bacterium Thalassolituus oleivorans MIL-1. Front. Microbiol. 2018, 9, 3130. [Google Scholar] [CrossRef] [PubMed]
- Tourova, T.P.; Sokolova, D.S.; Semenova, E.M.; Shumkova, E.S.; Korshunova, A.V.; Babich, T.L.; Poltaraus, A.B.; Nazina, T.N. Detection of n-alkane biodegradation genes alkB and ladA in thermophilic hydrocarbon-oxidizing bacteria of the genera Aeribacillus and Geobacillus. Microbiology 2016, 85, 693–707. [Google Scholar] [CrossRef]
- Li, H.; Li, Y.; Bao, M.; Li, S. Solid inoculants as a practice for bioaugmentation to enhance bioremediation of hydrocarbon contaminated areas. Chemosphere 2021, 263, 128175. [Google Scholar] [CrossRef]
- Guarino, C.; Spada, V.; Sciarrillo, R. Assessment of three approaches of bioremediation (Natural Attenuation, Landfarming and Bioaugmentation—Assisted Landfarming) for a petroleum hydrocarbon contaminated soil. Chemosphere 2017, 170, 10–16. [Google Scholar] [CrossRef]
- United States Environmental Protection Agency (EPA). How to Evaluate Alternative Cleanup Technologies for Underground Storage Tank Sites. 2017. Available online: https://www.epa.gov/sites/default/files/2014-03/documents/tum_ch5.pdf (accessed on 31 August 2025).
- Fodelianakis, S.; Antoniou, E.; Mapelli, F.; Magagnini, M.; Nikolopoulou, M.; Marasco, R.; Barbato, M.; Tsiola, A.; Tsikopoulou, I.; Giaccaglia, L.; et al. Allochthonous bioaugmentation in ex situ treatment of crude oil-polluted sediments in the presence of an effective degrading indigenous microbiome. J. Hazard. Mater. 2015, 287, 78–86. [Google Scholar] [CrossRef]
- Fragkou, E.; Antoniou, E.; Daliakopoulos, I.; Manios, T.; Theodorakopoulou, M.; Kalogerakis, N. In Situ Aerobic Bioremediation of Sediments Polluted with Petroleum Hydrocarbons: A Critical Review. J. Mar. Sci. Eng. 2021, 9, 1003. [Google Scholar] [CrossRef]







| Treatment | Conditions |
|---|---|
| Natural attenuation (NA) | No addition of bacteria + Weekly moistening |
| Bioaugmentation with fresh beads (BA) | COBIONA + Calcium peroxide + Weekly moistening |
| Bioaugmentation with lyophilized beads (LA) | COBIONA + Calcium peroxide + Weekly moistening |
| Landfarming (L) | Weekly moistening + mixing |
| Landfarming + bioaugmentation (LB) | Kocuria arsenatis and Bacillus wiedmannii inoculation at the initial time + weekly moistening + mixing |
| Alpha Diversity Index | T0 | NA_30 Days | BA_30 Days | LA_30 Days | NA_60 Days | BA_60 Days | LA_60 Days | NA_90 Days | BA_90 Days | LA_90 Days |
|---|---|---|---|---|---|---|---|---|---|---|
| Taxa_S | 7 | 6 | 11 | 7 | 7 | 11 | 7 | 8 | 9 | 7 |
| Individuals | 28,480 | 23,766 | 39,584 | 55,003 | 34,302 | 27,201 | 39,553 | 32,359 | 19,156 | 30,033 |
| Simpson_1-D | 0.6228 | 0.5378 | 0.6981 | 0.524 | 0.5827 | 0.5658 | 0.5708 | 0.6368 | 0.495 | 0.5774 |
| Shannon_H | 1.18 | 1.006 | 1.432 | 0.9751 | 1.05 | 1.088 | 1.066 | 1.213 | 1.07 | 1.037 |
| Evenness_e^H/S | 0.4649 | 0.4556 | 0.3806 | 0.3788 | 0.4082 | 0.2699 | 0.4147 | 0.4205 | 0.324 | 0.403 |
| Equitability_J | 0.6063 | 0.5612 | 0.5971 | 0.5011 | 0.5395 | 0.4538 | 0.5477 | 0.5834 | 0.4871 | 0.533 |
| Chao-1 | 7 | 6 | 11 | 7 | 7 | 11 | 7 | 8 | 9 | 7 |
| Alpha Diversity Index | T0 | NA_Land 30 Days | L 30 Days | LB 30 Days | NA_Land 90 Days | L 90 Days | LB 90 Days |
|---|---|---|---|---|---|---|---|
| Taxa_S | 7 | 9 | 10 | 14 | 14 | 12 | 7 |
| Individuals | 28,480 | 30,992 | 41,762 | 66,348 | 15,963 | 35,399 | 5063 |
| Simpson_1-D | 0.6228 | 0.7119 | 0.6555 | 0.6872 | 0.5135 | 0.6502 | 0.6742 |
| Shannon_H | 1.18 | 1.37 | 1.234 | 1.378 | 1.164 | 1.33 | 1.351 |
| Evenness_e^H/S | 0.4649 | 0.4373 | 0.3434 | 0.2834 | 0.2287 | 0.3152 | 0.5517 |
| Equitability_J | 0.6063 | 0.6236 | 0.5358 | 0.5222 | 0.4409 | 0.5354 | 0.6944 |
| Chao-1 | 7 | 9 | 10 | 14 | 14 | 12 | 7 |
Disclaimer/Publisher’s Note: The statements, opinions and data contained in all publications are solely those of the individual author(s) and contributor(s) and not of MDPI and/or the editor(s). MDPI and/or the editor(s) disclaim responsibility for any injury to people or property resulting from any ideas, methods, instructions or products referred to in the content. |
© 2025 by the authors. Licensee MDPI, Basel, Switzerland. This article is an open access article distributed under the terms and conditions of the Creative Commons Attribution (CC BY) license (https://creativecommons.org/licenses/by/4.0/).
Share and Cite
Goma-Tchimbakala, E.J.C.D.; Pietrini, I.; Conte, A.; Costa, N.; Corgnati, S.P. Development and Evaluation of an Exogenous Bioaugmentation Framework Using an Immobilized Mixed Bacterial Consortium for the Remediation of Hydrocarbon-Contaminated Soils. Appl. Microbiol. 2025, 5, 102. https://doi.org/10.3390/applmicrobiol5040102
Goma-Tchimbakala EJCD, Pietrini I, Conte A, Costa N, Corgnati SP. Development and Evaluation of an Exogenous Bioaugmentation Framework Using an Immobilized Mixed Bacterial Consortium for the Remediation of Hydrocarbon-Contaminated Soils. Applied Microbiology. 2025; 5(4):102. https://doi.org/10.3390/applmicrobiol5040102
Chicago/Turabian StyleGoma-Tchimbakala, Emerance Jessica Claire D’Assise, Ilaria Pietrini, Alessandro Conte, Neria Costa, and Stefano Paolo Corgnati. 2025. "Development and Evaluation of an Exogenous Bioaugmentation Framework Using an Immobilized Mixed Bacterial Consortium for the Remediation of Hydrocarbon-Contaminated Soils" Applied Microbiology 5, no. 4: 102. https://doi.org/10.3390/applmicrobiol5040102
APA StyleGoma-Tchimbakala, E. J. C. D., Pietrini, I., Conte, A., Costa, N., & Corgnati, S. P. (2025). Development and Evaluation of an Exogenous Bioaugmentation Framework Using an Immobilized Mixed Bacterial Consortium for the Remediation of Hydrocarbon-Contaminated Soils. Applied Microbiology, 5(4), 102. https://doi.org/10.3390/applmicrobiol5040102

