The Use of Proton-Transfer-Reaction Time-of-Flight Mass Spectrometry (PTR-ToF-MS) to Determine the Volatile Organic Compounds (VOCs) Produced by Different Lactic Acid Bacterial Strains Growing in Defined Media
Abstract
1. Introduction
2. Materials and Methods
2.1. LAB Strains
2.2. Medium Composition
2.3. Fermentation
2.4. Determination of Volatile Organic Compounds (VOCs)
2.4.1. PTR-ToF-MS
2.4.2. HS-SPME-GC-MS
2.4.3. FastGC-PTR-ToF-MS
2.5. Statistical Analysis
3. Results
3.1. Physicochemical Properties After Fermentation
3.2. VOCs Produced During Fermentation
3.2.1. Main Alcohols
3.2.2. VOCs Produced from Glucose and/or Aspartic Acid
3.2.3. Other Specific VOCs
4. Discussion
5. Conclusions
Supplementary Materials
Author Contributions
Funding
Data Availability Statement
Conflicts of Interest
References
- Clem, J.; Barthel, B. A look at plant-based diets. Mo. Med. 2021, 118, 233–238. [Google Scholar] [PubMed]
- Pointke, M.; Pawelzik, E. Plant-based alternative products: Are they healthy alternatives? Micro- and macronutrients and nutritional scoring. Nutrients 2022, 14, 601. [Google Scholar] [CrossRef] [PubMed]
- Lea, E.J.; Crawford, D.; Worsley, A. Consumers’ readiness to eat a plant-based diet. Eur. J. Clin. Nutr. 2006, 60, 342–351. [Google Scholar] [PubMed]
- Michel, F.; Hartmann, C.; Siegrist, M. Consumers’ associations, perceptions and acceptance of meat and plant-based meat alternatives. Food Qual. Prefer. 2021, 87, 104063. [Google Scholar] [CrossRef]
- Aschemann-Witzel, J.; Gantriis, R.F.; Fraga, P.; Perez-Cueto, F.J.A. Plant-based food and protein trend from a business perspective: Markets, consumers, and the challenges and opportunities in the future. Crit. Rev. Food Sci. Nutr. 2021, 61, 3119–3128. [Google Scholar]
- Alcorta, A.; Porta, A.; Tarrega, A.; Alvarez, M.D.; Vaquero, M.P. Foods for plant-based diets: Challenges and innovations. Foods 2021, 10, 293. [Google Scholar] [CrossRef]
- Szenderak, J.; Frona, D.; Rakos, M. Consumer acceptance of plant-based meat substitutes: A narrative review. Foods 2022, 11, 1274. [Google Scholar] [CrossRef]
- Reineccius, G. Flavor Chemistry and Technology, 2nd ed.; Taylor & Francis Group: Boca Raton, FL, USA, 2006. [Google Scholar]
- Lawless, H. The sense of smell in food quality and sensory evaluation. J. Food Qual. 1991, 14, 33–60. [Google Scholar] [CrossRef]
- Astray, G.; García-Río, L.; Mejuto, J.C.; Pastrana, L. Chemistry in food: Flavours. Electron. J. Environ. Agric. Food Chem. 2007, 6, 1742–1763. [Google Scholar]
- van Ruth, S.M.; Roozen, J.P. Delivery of flavours from food matrices. In Food Flavour Technology, 2nd ed.; Taylor, A.J., Linforth, R.S.T., Eds.; Blackwell Publishing: Hoboken, NJ, USA, 2010; pp. 190–206. [Google Scholar]
- Janssens, L.; De Pooter, H.L.; Schamp, N.M.; Vandamme, E.J. Production of flavours by microorganisms. Process Biochem. 1992, 27, 195–215. [Google Scholar] [CrossRef]
- Szutowska, J. Functional properties of lactic acid bacteria in fermented fruit and vegetable juices: A systematic literature review. Eur. Food Res. Technol. 2020, 246, 357–372. [Google Scholar] [CrossRef]
- Longo, M.A.; Sanromán, M.A. Production of food aroma compounds: Microbial and enzymatic methodologies. Food Technol. Biotechnol. 2006, 44, 335–353. [Google Scholar]
- Tangyu, M.; Fritz, M.; Tan, J.P.; Ye, L.; Bolten, C.J.; Bogicevic, B.; Wittmann, C. Flavour by design: Food-grade lactic acid bacteria improve the volatile aroma spectrum of oat milk, sunflower seed milk, pea milk, and faba milk towards improved flavour and sensory perception. Microb. Cell Factories 2023, 22, 133–154. [Google Scholar]
- Bamforth, C.W.; Cook, D.J. Food, Fermentation, and Micro-Organisms, 2nd ed.; Wiley: Hoboken, NJ, USA, 2019. [Google Scholar]
- Teusink, B.; Molenaar, D. Systems biology of lactic acid bacteria: For food and thought. Curr. Opin. Syst. Biol. 2017, 6, 7–13. [Google Scholar] [CrossRef] [PubMed]
- Hayek, S.A.; Gyawali, R.; Aljaloud, S.O.; Krastanov, A.; Ibrahim, S.A. Cultivation media for lactic acid bacteria used in dairy products. J. Dairy Res. 2019, 86, 490–502. [Google Scholar] [CrossRef]
- van Niel, E.W.J.; Hahn-Hägerdal, B. Nutrient requirements of lactococci in defined growth media. Appl. Microbiol. Biotechnol. 1999, 52, 617–627. [Google Scholar]
- Wegkamp, A.; Teusink, B.; de Vos, W.M.; Smid, E.J. Development of a minimal growth medium for Lactobacillus plantarum. Lett. Appl. Microbiol. 2010, 50, 57–64. [Google Scholar]
- Cocaign-Bousquet, M.; Garrigues, C.; Novak, L.; Lindley, N.D.; Loublere, P. Rational development of a simple synthetic medium for the sustained growth of Lactococcus lactis. J. Appl. Bacteriol. 1995, 79, 108–116. [Google Scholar] [CrossRef]
- Niven, C.F. Nutrition of Streptococcus lactis. J. Bacteriol. 1944, 47, 343–350. [Google Scholar]
- Kwoji, I.D.; Okpeku, M.; Adeleke, M.A.; Aiyegoro, O.A. Formulation of chemically defined media and growth evaluation of Ligilactobacillus salivarius ZJ614 and Limosilactobacillus reuteri ZJ625. Front. Microbiol. 2022, 13, 865493. [Google Scholar]
- Zacharof, M.-P.; Lovitt, R.W. Partially chemically defined liquid medium development for intensive propagation of industrial fermentation lactobacilli strains. Ann. Microbiol. 2012, 63, 1235–1245. [Google Scholar]
- Pastink, M.I.; Teusink, B.; Hols, P.; Visser, S.; de Vos, W.M.; Hugenholtz, J. Genome-scale model of Streptococcus thermophilus LMG18311 for metabolic comparison of lactic acid bacteria. Appl. Environ. Microbiol. 2009, 75, 3627–3633. [Google Scholar] [PubMed]
- Canon, F.; Maillard, M.B.; Henry, G.; Thierry, A.; Gagnaire, V. Positive interactions between lactic acid bacteria promoted by nitrogen-based nutritional dependencies. Appl. Environ. Microbiol. 2021, 87, e0105521. [Google Scholar]
- Rajendran, S.; Silcock, P.; Bremer, P. Volatile organic compounds (VOCs) produced by Levilactobacillus brevis WLP672 fermentation in defined media supplemented with different amino acids. Molecules 2024, 29, 753. [Google Scholar] [CrossRef]
- Yvon, M.; Rijnen, L. Cheese flavour formation by amino acid catabolism. Int. Dairy J. 2001, 11, 185–201. [Google Scholar]
- Pastink, M.I.; Sieuwerts, S.; de Bok, F.A.M.; Janssen, P.W.M.; Teusink, B.; van Hylckama Vlieg, J.E.T.; Hugenholtz, J. Genomics and high-throughput screening approaches for optimal flavour production in dairy fermentation. Int. Dairy J. 2008, 18, 781–789. [Google Scholar]
- Blake, R.S.; Monks, P.S.; Ellis, A.M. Proton transfer reaction-mass spectrometry. Chem. Rev. 2009, 109, 861–896. [Google Scholar]
- Lindinger, W.; Hansel, A.; Jordan, A. Proton-transfer-reaction mass spectrometry (PTR-MS): On-line monitoring of volatile organic compounds at pptv levels. Chem. Soc. Rev. 1998, 27, 347–354. [Google Scholar] [CrossRef]
- Biasioli, F.; Gasperi, F.; Yeretzian, C.; Märk, T.D. PTR-MS monitoring of VOCs and BVOCs in food science and technology. Trends Anal. Chem. 2011, 30, 968–977. [Google Scholar]
- Wang, Y.; Shen, C.; Li, J.; Jiang, H.; Chu, Y. Proton transfer reaction-mass spectrometry (PTR-MS). In Mass Spectrometry Handbook; Lee, M.S., Ed.; Wiley: Hoboken, NJ, USA, 2012; pp. 605–630. [Google Scholar]
- Pallozzi, E.; Guidolotti, G.; Ciccioli, P.; Brilli, F.; Feil, S.; Calfapietra, C. Does the novel fast-GC coupled with PTR-TOF-MS allow a significant advancement in detecting VOC emissions from plants? Agric. For. Meteorol. 2016, 216, 232–240. [Google Scholar]
- Ahmed, T.; Kanwal, R.; Ayub, N. Influence of temperature on growth pattern of Lactococcus lactis, Streptococcus cremoris and Lactobacillus acidophilus isolated from camel milk. Biotechnology 2006, 5, 481–488. [Google Scholar] [CrossRef]
- Rajendran, S.; Khomenko, I.; Silcock, P.; Betta, E.; Pedrotti, M.; Biasioli, F.; Bremer, P. The Effect of Different Medium Compositions and LAB Strains on Fermentation Volatile Organic Compounds (VOCs) Analysed by Proton Transfer Reaction-Time of Flight-Mass Spectrometry (PTR-ToF-MS). Fermentation 2024, 10, 317. [Google Scholar] [CrossRef]
- Rajendran, S.; Khomenko, I.; Silcock, P.; Betta, E.; Biasioli, F.; Bremer, P. Impact of Different Carbon Sources on Volatile Organic Compounds (VOCs) Produced during Fermentation by Levilactobacillus brevis WLP672 Measured Using Proton Transfer Reaction Time-of-Flight Mass Spectrometry (PTR-ToF-MS). Molecules 2024, 29, 3275. [Google Scholar] [CrossRef] [PubMed]
- Di Pierro, E.A.; Franceschi, P.; Endrizzi, I.; Farneti, B.; Poles, L.; Masuero, D.; Khomenko, I.; Trenti, F.; Marrano, A.; Vrhovsek, U.; et al. Valorization of traditional Italian walnut (Juglans regia L.) production: Genetic, nutritional and sensory characterization of locally grown varieties in the Trentino region. Plants 2022, 11, 1986. [Google Scholar] [CrossRef]
- Cappellin, L.; Biasioli, F.; Fabris, A.; Schuhfried, E.; Soukoulis, C.; Märk, T.D.; Gasperi, F. Improved mass accuracy in PTR-ToF-MS: Another step towards better compound identification in PTR-MS. Int. J. Mass Spectrom. 2010, 290, 60–63. [Google Scholar] [CrossRef]
- Cappellin, L.; Biasioli, F.; Granitto, P.M.; Schuhfried, E.; Soukoulis, C.; Costa, F. On data analysis in PTR-ToF-MS: From raw spectra to data mining. Sens. Actuators B Chem. 2011, 155, 183–190. [Google Scholar] [CrossRef]
- Lindinger, W.; Hansel, A.; Jordan, A. On-line monitoring of volatile organic compounds at pptv levels by means of proton-transfer-reaction mass spectrometry (PTR-MS) medical applications, food control and environmental research. Int. J. Mass Spectrom. Ion Process. 1998, 173, 191–241. [Google Scholar] [CrossRef]
- Pico, J.; Khomenko, I.; Capozzi, V.; Navarini, L.; Bernal, J.; Gomez, M.; Biasioli, F. Analysis of volatile organic compounds in crumb and crust of different baked and toasted gluten-free breads by direct PTR-ToF-MS and fast-GC-PTR-ToF-MS. J. Mass Spectrom. 2018, 53, 893–902. [Google Scholar] [CrossRef]
- Li, T.; Jiang, T.; Liu, N.; Wu, C.; Xu, H.; Lei, H. Biotransformation of phenolic profiles and improvement of antioxidant capacities in jujube juice by select lactic acid bacteria. Food Chem. 2021, 339, 127859. [Google Scholar] [CrossRef]
- Zaunmuller, T.; Eichert, M.; Richter, H.; Unden, G. Variations in the energy metabolism of biotechnologically relevant heterofermentative lactic acid bacteria during growth on sugars and organic acids. Appl. Microbiol. Biotechnol. 2006, 72, 421–429. [Google Scholar] [CrossRef]
- Fernandez, M.; Zuniga, M. Amino acid catabolic pathways of lactic acid bacteria. Crit. Rev. Microbiol. 2006, 32, 155–183. [Google Scholar] [PubMed]
- Christensen, J.E.; Dudley, E.G.; Pederson, J.A.; Steele, J.L. Peptidases and amino acid catabolism in lactic acid bacteria. Antonie Van Leeuwenhoek 1999, 76, 217–246. [Google Scholar] [PubMed]
- Ardö, Y. Flavour formation by amino acid catabolism. Biotechnol. Adv. 2006, 24, 238–242. [Google Scholar] [CrossRef] [PubMed]
- Tsvetanova, F.; Petrova, P.; Petrov, K. Microbial production of 1-butanol: Recent advances and future prospects (Review). J. Chem. Technol. Metall. 2018, 53, 683–696. [Google Scholar]
- Marsili, R. Flavors and off-flavors in dairy foods. In Encyclopedia of Dairy Sciences, 3rd ed.; Fuquay, J.W., Ed.; Elsevier: Amsterdam, The Netherlands, 2022; pp. 560–578. [Google Scholar]
- Le Bars, D.; Yvon, M. Formation of diacetyl and acetoin by Lactococcus lactis via aspartate catabolism. J. Appl. Microbiol. 2008, 104, 171–177. [Google Scholar]
- Wang, Y.; Wu, J.; Lv, M.; Shao, Z.; Hungwe, M.; Wang, J.; Bai, X.; Xie, J.; Wang, Y.; Geng, W. Metabolism characteristics of lactic acid bacteria and the expanding applications in food industry. Front. Bioeng. Biotechnol. 2021, 9, 612285. [Google Scholar]
- Quintans, N.G.; Blancato, V.; Repizo, G.; Magni, C.; López, P. Citrate metabolism and aroma compound production in lactic acid bacteria. In Molecular Aspects of Lactic acid Bacteria for Traditional and New Applications; Mayo, B., López, P., Pérez-Martínez, G., Eds.; Research Signpost: Kerala, India, 2008; pp. 1–24. [Google Scholar]
- Laëtitia, G.; Pascal, D.; Yann, D. The citrate metabolism in homo- and heterofermentative LAB: A selective means of becoming dominant over other microorganisms in complex ecosystems. Food Nutr. Sci. 2014, 5, 953–969. [Google Scholar]
- Beresford, T.P. Lactic acid bacteria: Citrate fermentation by lactic acid bacteria. In Encyclopedia of Dairy Sciences, 2nd ed.; Fuquay, J.W., Ed.; Elsevier: Amsterdam, The Netherlands, 2011; pp. 166–172. [Google Scholar]
- El-Gendy, S.M.; Abdel-Galil, H.; Shahin, Y.; Hegazi, F.Z. Acetoin and diacetyl production by homo- and heterofermentative lactic acid bacteria. J. Food Prot. 1983, 46, 420–425. [Google Scholar]
- Wang, Z.; Feng, Y.; Yang, N.; Jiang, T.; Xu, H.; Lei, H. Fermentation of kiwifruit juice from two cultivars by probiotic bacteria: Bioactive phenolics, antioxidant activities and flavor volatiles. Food Chem. 2022, 373, 131455. [Google Scholar]
- Ricci, A.; Cirlini, M.; Levante, A.; Dall’Asta, C.; Galaverna, G.; Lazzi, C. Volatile profile of elderberry juice: Effect of lactic acid fermentation using L. plantarum, L. rhamnosus and L. casei strains. Food Res. Int. 2018, 105, 412–422. [Google Scholar] [CrossRef]
- Christensen, M.D.; Pederson, C.S. Factors affecting diacetyl production by lactic acid bacteria. Appl. Microbiol. 1958, 6, 319–322. [Google Scholar] [CrossRef] [PubMed]
- Liu, M.; Nauta, A.; Francke, C.; Siezen, R.J. Comparative genomics of enzymes in flavor-forming pathways from amino acids in lactic acid bacteria. Appl. Environ. Microbiol. 2008, 74, 4590–4600. [Google Scholar] [PubMed]
- Resconi, V.C.; Escudero, A.; Campo, M.M. The development of aromas in ruminant meat. Molecules 2013, 18, 6748–6781. [Google Scholar] [CrossRef] [PubMed]
- Smit, G.; Smit, B.A.; Engels, W.J. Flavour formation by lactic acid bacteria and biochemical flavour profiling of cheese products. FEMS Microbiol. Rev. 2005, 29, 591–610. [Google Scholar] [CrossRef]
- Curioni, P.M.G.; Bosset, J.O. Key odorants in various cheese types as determined by gas chromatography–olfactometry. Int. Dairy J. 2002, 12, 959–984. [Google Scholar]
- McSweeney, P.L.H.; Sousa, M.J. Biochemical pathways for the production of flavour compounds in cheeses during ripening: A review. Le Lait 2000, 80, 293–324. [Google Scholar]
- Kranenburg, R.V.; Kleerebezem, M.; van Hylckama Vlieg, J.; Ursing, B.M.; Boekhorst, J.; Smit, B.A.; Ayad, E.H.E.; Smit, G.; Siezen, R.J. Flavour formation from amino acids by lactic acid bacteria: Predictions from genome sequence analysis. Int. Dairy J. 2002, 12, 111–121. [Google Scholar]
- Marilley, L.; Casey, M.G. Flavours of cheese products: Metabolic pathways, analytical tools and identification of producing strains. Int. J. Food Microbiol. 2004, 90, 139–159. [Google Scholar]
- Patton, S. The methyl ketones of blue cheese and their relation to its flavor. J. Dairy Sci. 1950, 33, 680–684. [Google Scholar] [CrossRef]
- Yan, Q.; Simmons, T.R.; Cordell, W.T.; Hernandez Lozada, N.J.; Breckner, C.J.; Chen, X.; Jindra, M.A.; Pfleger, B.F. Metabolic engineering of beta-oxidation to leverage thioesterases for production of 2-heptanone, 2-nonanone and 2-undecanone. Metab. Eng. 2020, 61, 335–343. [Google Scholar] [CrossRef]
- Gonda, I.; Lev, S.; Bar, E.; Sikron, N.; Portnoy, V.; Davidovich-Rikanati, R.; Burger, J.; Schaffer, A.A.; Tadmor, Y.; Giovannonni, J.J.; et al. Catabolism of L-methionine in the formation of sulfur and other volatiles in melon (Cucumis melo L.) fruit. Plant J. 2013, 74, 458–472. [Google Scholar] [CrossRef]
- Petrovici, A.R.; Ciolacu, D.E. Natural flavours obtained by microbiological pathway. In Generation of Aromas and Flavours; Vilela, A., Ed.; InTech: Nappanee, IN, USA, 2018; pp. 33–52. [Google Scholar]
- Rajendran, S.; Silcock, P.; Bremer, P. Flavour volatiles of fermented vegetable and fruit substrates: A review. Molecules 2023, 28, 3236. [Google Scholar] [CrossRef]


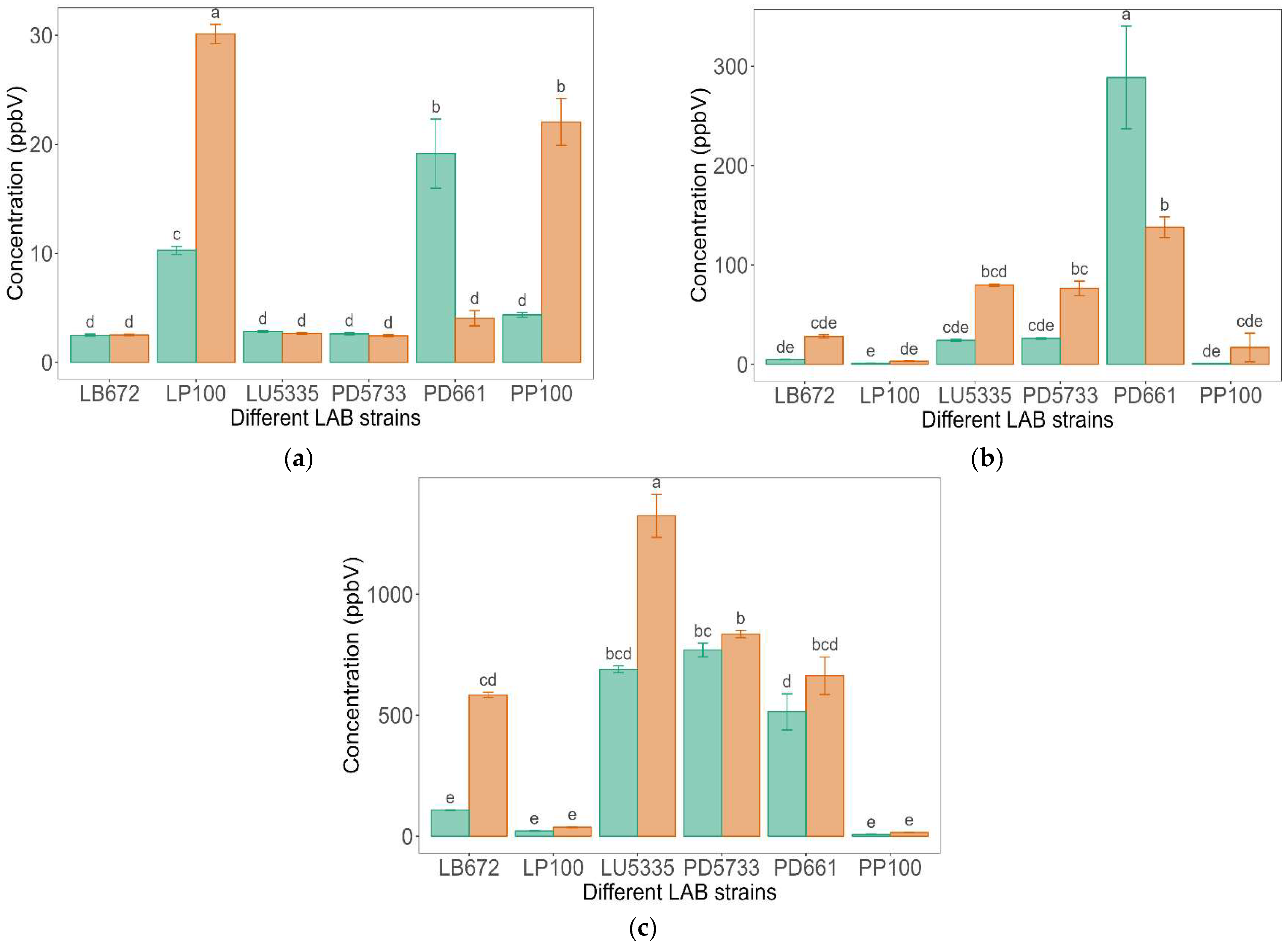
) or 35 (
) °C after 7 days. Values are presented as mean ± standard error (n = 4). Different superscript lowercase letters represent significant differences between the DM fermented by different LAB strains according to Tukey’s test at p < 0.05.
) or 35 (
) °C after 7 days. Values are presented as mean ± standard error (n = 4). Different superscript lowercase letters represent significant differences between the DM fermented by different LAB strains according to Tukey’s test at p < 0.05.
) or 35 (
) °C after 7 days. Values are presented as mean ± standard error (n = 4). Different superscript lowercase letters represent significant differences between the DM fermented by different LAB strains according to Tukey’s test at p < 0.05.
) or 35 (
) °C after 7 days. Values are presented as mean ± standard error (n = 4). Different superscript lowercase letters represent significant differences between the DM fermented by different LAB strains according to Tukey’s test at p < 0.05.
) or 35 (
) °C after 7 days. Values are presented as mean ± standard error (n = 4). Different superscript lowercase letters represent significant differences between the defined medium fermented by different LAB strains according to Tukey’s test at p < 0.05.
) or 35 (
) °C after 7 days. Values are presented as mean ± standard error (n = 4). Different superscript lowercase letters represent significant differences between the defined medium fermented by different LAB strains according to Tukey’s test at p < 0.05.
| Abbreviation | LAB Strains | Culture Form | Source |
|---|---|---|---|
| LB672 | Lev. brevis WLP672 | Liquid | White labs, USA |
| LD677 | Lb. delbrueckii WLP677 | Liquid | White labs, USA |
| PD661 | P. damnosus WLP661 | Liquid | White labs, USA |
| LP100 | Lpb. plantarum LP100 | Lyophilised strain powder | Bioagro, Italy |
| PP100 | P. pentosaceus PP100 | Lyophilised strain powder | Bioagro, Italy |
| PD5733 | P. damnosus 5733 | Liquid | Wyeast, USA |
| LU5335 | Len. buchneri 5335 | Liquid | Wyeast, USA |
| DM Inoculated with Differ LAB Strains | Initial pH | at 25 °C | at 35 °C | ||
|---|---|---|---|---|---|
| pH | OD600 | pH | OD600 | ||
| LB672 | 5.67 ± 0.009 Aa | 4.47 ± 0.03 Cb | 1.40 ± 0.005 Ba | 4.44 ± 0.018 Db | 1.20 ± 0.04 Bb |
| LD677 | 5.66 ± 0.002 Aa | 5.62 ± 0.003 Aa | 0.05 ± 0.003 Ea | 5.63 ± 0.003 Aa | 0.04 ± 0.005 Ea |
| PD661 | 5.65 ± 0.005 Aa | 5.22 ± 0.035 Bb | 0.70 ± 0.01 Da | 5.69 ± 0.06 Aa | 0.70 ± 0.008 Da |
| LP100 | 5.65 ± 0.01 Aa | 3.95 ± 0.1 Db | 2.40 ± 0.05 Aa | 4.02 ± 0.008 Eb | 2.32 ± 0.005 Aa |
| PP100 | 5.66 ± 0.005 Aa | 4.47 ± 0.001 Cc | 1.31 ± 0.015 Ba | 4.86 ± 0.055 Cb | 0.75 ± 0.02 Db |
| PD5733 | 5.67 ± 0.003 Aa | 5.09 ± 0.065 Bb | 1.15 ± 0.015 Ca | 4.94 ± 0.06 Cb | 0.98 ± 0.008 Cb |
| LU5335 | 5.68 ± 0.006 Aa | 5.08 ± 0.03 Bc | 0.74 ± 0.005 Da | 5.32 ± 0.005 Bb | 0.70 ± 0.045 Da |
| No | VOCs | Formula | RT | RI. Cal | RI. Lit | at 25 °C | at 35 °C |
|---|---|---|---|---|---|---|---|
| Acids | |||||||
| 1 | Acetic acid | C2H4O2 | 15.29 | 1467 | 1449 | ✓ | ✓ |
| 2 | Butyric acid | C4H8O2 | 19.63 | 1646 | 1625 | ✓ | ✓ |
| 3 | Hexanoic acid | C6H12O2 | 24.44 | 1862 | 1846 | ✓ | ✓ |
| 4 | Octanoic acid | C8H16O2 | 28.76 | 2035 | 2060 | ✓ | ✓ |
| 5 | Decanoic acid | C10H20O2 | 32.70 | 2154 | 2276 | ✓ | ✓ |
| Alcohols | |||||||
| 6 | 2-Propanol | C3H8O | 3.07 | 934 | 927 | ✓ | ✓ |
| 7 | Ethanol | C2H6O | 3.16 | 941 | 932 | ✓ | ✓ |
| 8 | 2-Pentanol | C5H12O | 6.69 | 1134 | 1119 | ✓ | ✓ |
| 9 | 1-Butanol | C4H10O | 7.27 | 1158 | 1142 | ✓ | ✓ |
| 10 | 2/3-Methyl-1-butanol | C5H12O | 8.86 | 1220 | 1208/1209 | ✓ | ✓ |
| 11 | 3-Methyl-3-buten-1-ol | C5H10O | 9.99 | 1263 | 1248 | ✓ | ✓ |
| 12 | 2-Heptanol | C7H16O | 11.78 | 1332 | 1320 | ✓ | ✓ |
| 13 | Hexanol | C6H14O | 12.67 | 1365 | 1355 | ✓ | ✓ |
| 14 | 2,3-Butanediol | C4H10O2 | 17.44 | 1554 | 1543 | ✓ | ✓ |
| 15 | 1-Octanol | C8H18O | 17.86 | 1571 | 1557 | ✓ | ✓ |
| 16 | Menthol | C10H20O | 19.81 | 1653 | 1637 | ✓ | ✓ |
| 17 | 2-Undecanol | C11H24O | 21.59 | 1731 | 1717 | ✓ | × |
| 18 | Benzyl alcohol | C7H8O | 25.14 | 1895 | 1870 | ✓ | ✓ |
| 19 | Phenylethyl alcohol | C8H10O | 25.85 | 1930 | 1906 | ✓ | ✓ |
| 20 | 2-Tridecanol | C13H28O | 25.90 | 1933 | 1903 | ✓ | ✓ |
| 21 | P-cresol | C7H8O | 29.45 | 2051 | 2080 | ✓ | ✓ |
| Aldehydes | |||||||
| 22 | Butanal | C4H8O | 2.75 | 911 | 877 | ✓ | ✓ |
| 23 | 2-Methyl butanal | C5H10O | 2.90 | 922 | 914 | ✓ | ✓ |
| 24 | 3-Methyl butanal | C5H10O | 2.96 | 926 | 918 | ✓ | ✓ |
| 25 | 2-Methyl-2-butenal | C5H8O | 6.17 | 1114 | 1095 | ✓ | ✓ |
| 26 | 3-Methyl-2-butenal | C5H8O | 8.77 | 1216 | 1215 | ✓ | ✓ |
| 27 | 2-Methyl pentanal | C6H12O | 13.66 | 1403 | - | ✓ | ✓ |
| 28 | Benzaldehyde | C7H6O | 17.15 | 1542 | 1520 | ✓ | ✓ |
| 29 | Benzeneacetaldehyde | C8H8O | 20.03 | 1663 | 1640 | ✓ | ✓ |
| Esters | |||||||
| 30 | Ethyl acetate | C4H8O2 | 2.61 | 901 | 888 | ✓ | ✓ |
| 31 | Isoamyl acetate | C7H14O2 | 6.81 | 1139 | 1122 | ✓ | ✓ |
| 32 | Octanoic acid ethyl ester | C10H20O2 | 14.81 | 1448 | 1435 | ✓ | ✓ |
| 33 | Decanoic acid ethyl ester | C12H24O2 | 19.77 | 1652 | 1638 | ✓ | ✓ |
| 34 | 2-Phenylethyl acetate | C10H12O2 | 23.89 | 1836 | 1813 | ✓ | ✓ |
| 35 | Dodecanoic acid ethyl ester | C14H28O2 | 24.30 | 1856 | 1841 | ✓ | ✓ |
| Furans | |||||||
| 36 | Furfural | C5H4O2 | 15.72 | 1484 | 1461 | × | ✓ |
| 37 | 2-Furanmethanol | C5H6O2 | 20.40 | 1679 | 1660 | ✓ | ✓ |
| Ketones | |||||||
| 38 | Acetone | C3H6O | 1.97 | 823 | 819 | ✓ | ✓ |
| 39 | Diacetyl | C4H6O2 | 3.84 | 989 | 979 | ✓ | ✓ |
| 40 | 2-Heptanone | C7H14O | 8.29 | 1198 | 1182 | ✓ | ✓ |
| 41 | Acetoin | C4H8O2 | 11.00 | 1302 | 1284 | ✓ | ✓ |
| Sulphur compounds | |||||||
| 42 | Dimethyl disulphide | C2H6S2 | 5.73 | 1095 | 1077 | × | ✓ |
| 43 | Methional | C4H8OS | 15.47 | 1474 | 1454 | ✓ | ✓ |
| 44 | Cyclohexyl isothiocyanate | C7H11NS | 20.61 | 1687 | 1667 | ✓ | ✓ |
| 45 | 3-(methylthio)-1-propanol (methionol) | C4H10OS | 21.64 | 1734 | 1719 | ✓ | ✓ |
| Pyrazine | |||||||
| 46 | Pyrazine | C4H4N2 | 9.08 | 1228 | 1212 | ✓ | ✓ |
| Unknown compounds | |||||||
| 47 | Unknown 1 | 4.92 | ✓ | ✓ | |||
| 48 | Unknown 2 | 5.05 | × | ✓ | |||
| 49 | Unknown 3 | 6.04 | ✓ | ✓ | |||
| 50 | Unknown 4 | 12.53 | ✓ | ✓ |
| No | m/z | Sum Formula | Identification | p Value | ||||||
|---|---|---|---|---|---|---|---|---|---|---|
| S | T | Temp | S×T | S×Temp | T×Temp | S×T×Temp | ||||
| 1 | 26.016 | C2H2+ | Common fragment | <0.0001 | <0.0001 | <0.0001 | <0.0001 | <0.0001 | <0.0001 | <0.0001 |
| 2 | 27.025 | C2H3+ | <0.0001 | <0.0001 | <0.0001 | <0.0001 | <0.0001 | <0.0001 | <0.0001 | |
| 3 | 28.031 | C2H4+ | <0.0001 | <0.0001 | <0.0001 | <0.0001 | <0.0001 | <0.0001 | <0.0001 | |
| 4 | 31.018 | CH2OH+ | Formaldehyde fragment | <0.0001 | <0.0001 | <0.0001 | <0.0001 | <0.0001 | <0.0001 | <0.0001 |
| 5 | 34.996 | H2SH+ | Hydrogen sulphide | <0.0001 | <0.0001 | 0.010 | <0.0001 | <0.0001 | 0.017 | <0.0001 |
| 6 | 41.039 | C3H5+ | <0.0001 | <0.0001 | <0.0001 | <0.0001 | <0.0001 | 0.073 | 0.209 | |
| 7 | 42.010 | <0.0001 | <0.0001 | <0.0001 | <0.0001 | <0.0001 | <0.0001 | <0.0001 | ||
| 8 | 43.018 | C2H3O+ | Common fragment | 0.005 | <0.0001 | 0.389 | 0.468 | 0.393 | 0.481 | 0.055 |
| 9 | 43.054 | C3H7+ | Propanol fragment 1 | <0.0001 | <0.0001 | <0.0001 | <0.0001 | <0.0001 | <0.0001 | <0.0001 |
| 10 | 47.049 | C2H6OH+ | Ethanol 1 | <0.0001 | <0.0001 | <0.0001 | <0.0001 | <0.0001 | <0.0001 | 0.001 |
| 11 | 49.011 | CH4SH+ | Methanethiol | <0.0001 | <0.0001 | <0.0001 | <0.0001 | <0.0001 | 0.901 | <0.0001 |
| 12 | 53.006 | <0.0001 | <0.0001 | <0.0001 | <0.0001 | <0.0001 | <0.0001 | 0.002 | ||
| 13 | 57.036 | C3H4OH+ | <0.0001 | <0.0001 | 0.050 | <0.0001 | 0.602 | 0.412 | 0.806 | |
| 14 | 57.070 | C4H9+ | 1-Butanol fragment 1 | <0.0001 | <0.0001 | <0.0001 | <0.0001 | <0.0001 | <0.0001 | <0.0001 |
| 15 | 59.049 | C3H6OH+ | Acetone1 | <0.0001 | <0.0001 | <0.0001 | <0.0001 | <0.0001 | 0.858 | <0.0001 |
| 16 | 63.009 | CO2H3O+ | <0.0001 | <0.0001 | 0.166 | <0.0001 | 0.407 | 0.975 | 0.059 | |
| 17 | 64.005 | <0.0001 | <0.0001 | <0.0001 | <0.0001 | 0.008 | 0.009 | <0.0001 | ||
| 18 | 71.085 | C5H11+ | 3-Methyl-butanol fragment 1,2 | <0.0001 | <0.0001 | <0.0001 | <0.0001 | <0.0001 | 0.005 | <0.0001 |
| 19 | 78.967 | CH2S2H+ | <0.0001 | 0.008 | <0.0001 | <0.0001 | <0.0001 | 0.002 | 0.001 | |
| 20 | 81.016 | <0.0001 | <0.0001 | <0.0001 | <0.0001 | <0.0001 | 0.001 | <0.0001 | ||
| 21 | 85.066 | C5H8OH+ | 2-Methyl-2-butenal 1 and 3-Methyl-2-butenal 1 | <0.0001 | <0.0001 | <0.0001 | <0.0001 | <0.0001 | 0.001 | <0.0001 |
| 22 | 87.043 | C4H6O2H+ | Diacetyl 1,2 | <0.0001 | <0.0001 | 0.004 | <0.0001 | <0.0001 | 0.282 | <0.0001 |
| 23 | 89.060 | C4H8O2H+ | Ethyl acetate 1,2,3 and Acetoin 1,2,3 | <0.0001 | <0.0001 | 0.682 | 0.001 | 0.239 | 0.918 | 0.161 |
| 24 | 91.027 | C3H6OSH+ | Methyl thiolacetate/Mercaptoacetone | <0.0001 | <0.0001 | 0.009 | <0.0001 | <0.0001 | 0.007 | <0.0001 |
| 25 | 91.072 | C4H10O2H+ | 2,3-Butanediol 1 | 0.001 | 0.006 | 0.078 | 0.056 | 0.139 | 0.345 | 0.130 |
| 26 | 95.004 | C2H6S2H+ | Dimethyl disulphide1 | <0.0001 | 0.052 | <0.0001 | <0.0001 | <0.0001 | 0.001 | <0.0001 |
| 27 | 95.093 | <0.0001 | <0.0001 | <0.0001 | <0.0001 | <0.0001 | <0.0001 | 0.001 | ||
| 28 | 97.063 | C6H8OH+ | 2,5-Dimethylfuran/Cyclohexen-2-one | <0.0001 | <0.0001 | <0.0001 | 0.002 | <0.0001 | <0.0001 | <0.0001 |
| 29 | 97.106 | C7H13+ | <0.0001 | <0.0001 | <0.0001 | <0.0001 | 0.005 | 0.415 | 0.029 | |
| 30 | 99.119 | C7H15+ | 2-Heptanol fragment 1 | <0.0001 | <0.0001 | <0.0001 | <0.0001 | 0.001 | 0.013 | <0.0001 |
| 31 | 103.074 | C5H10O2H+ | C5 esters and acids (i.e., pentanoic acid/3-methyl-butanoic acid) | <0.0001 | <0.0001 | 0.037 | <0.0001 | 0.204 | 0.761 | 0.207 |
| 32 | 105.046 | C4H8OSH+ | Methional 1 | <0.0001 | <0.0001 | 0.185 | 0.459 | 0.267 | 0.182 | <0.0001 |
| 33 | 107.066 | C4H10OSH+ | Methionol 1 | 0.013 | <0.0001 | 0.469 | 0.025 | 0.074 | 0.705 | 0.061 |
| 34 | 107.107 | <0.0001 | <0.0001 | <0.0001 | <0.0001 | 0.001 | <0.0001 | 0.006 | ||
| 35 | 109.059 | C7H8OH+ | Benzyl alcohol 1 | <0.0001 | <0.0001 | 0.074 | <0.0001 | 0.136 | 0.138 | 0.105 |
| 36 | 111.099 | 0.001 | <0.0001 | 0.222 | 0.002 | 0.389 | 0.306 | 0.399 | ||
| 37 | 115.112 | C7H14OH+ | 2-Heptanone 1,2 | <0.0001 | <0.0001 | 0.025 | <0.0001 | 0.796 | 0.147 | 0.977 |
| 38 | 117.091 | C6H12O2H+ | Hexanoic acid 1 | <0.0001 | <0.0001 | 0.562 | 0.012 | 0.125 | 0.606 | 0.036 |
| 39 | 119.093 | C6H14SH+ | <0.0001 | 0.002 | 0.011 | 0.062 | 0.167 | 0.963 | 0.022 | |
| 40 | 121.119 | <0.0001 | <0.0001 | <0.0001 | <0.0001 | <0.0001 | <0.0001 | <0.0001 | ||
| 41 | 123.117 | C9H15+ | <0.0001 | 0.015 | 0.434 | 0.005 | 0.241 | 0.840 | 0.432 | |
| 42 | 126.967 | <0.0001 | <0.0001 | <0.0001 | <0.0001 | <0.0001 | 0.111 | <0.0001 | ||
| 43 | 127.050 | 0.007 | <0.0001 | 0.098 | 0.089 | 0.436 | 0.608 | 0.831 | ||
| 44 | 131.105 | C7H14O2H+ | Isoamyl acetate 1 | <0.0001 | <0.0001 | 0.137 | <0.0001 | 0.645 | 0.848 | 0.415 |
| 45 | 133.117 | C7H16O2H+ | <0.0001 | 0.018 | 0.010 | 0.076 | 0.020 | 0.669 | 0.027 | |
| 46 | 135.100 | C6H14O3H+ | <0.0001 | <0.0001 | <0.0001 | <0.0001 | <0.0001 | <0.0001 | <0.0001 | |
| 47 | 135.134 | <0.0001 | <0.0001 | <0.0001 | <0.0001 | <0.0001 | <0.0001 | <0.0001 | ||
| 48 | 139.137 | <0.0001 | <0.0001 | <0.0001 | <0.0001 | 0.001 | 0.002 | 0.001 | ||
| 49 | 143.137 | C9H18OH+ | Nonanal/Nonanone | <0.0001 | <0.0001 | 0.019 | <0.0001 | 0.001 | 0.612 | <0.0001 |
| 50 | 145.123 | C8H16O2H+ | Octanoic acid 1 | <0.0001 | <0.0001 | <0.0001 | <0.0001 | <0.0001 | 0.006 | <0.0001 |
| 51 | 163.077 | C10H10O2H+ | 0.001 | 0.002 | 0.824 | 0.001 | 0.068 | 0.593 | 0.122 | |
| 52 | 173.154 | C10H20O2H+ | Decanoic acid 1 | <0.0001 | <0.0001 | <0.0001 | <0.0001 | <0.0001 | <0.0001 | <0.0001 |
| 53 | 201.185 | C12H24O2H+ | Decanoic acid ethyl ester 1 | <0.0001 | <0.0001 | <0.0001 | <0.0001 | 0.005 | <0.0001 | 0.020 |
| No | m/z | LB672 | PD661 | LP100 | PP100 | PD5733 | LU5335 | ||||||
|---|---|---|---|---|---|---|---|---|---|---|---|---|---|
| at 25 °C | at 35 °C | at 25 °C | at 35 °C | at 25 °C | at 35 °C | at 25 °C | at 35 °C | at 25 °C | at 35 °C | at 25 °C | at 35 °C | ||
| 1 | 26.016 | 167.048 ± 1.87 | 441.51 ± 7.46 | 521.94 ± 14.33 | 809.748 ± 37.0 | 26.42 ± 8.04 | 32.447 ± 4.88 | 14.709 ± 5.07 | 64.365 ± 38.27 | 432.918 ± 3.19 | 637.032 ± 6.32 | 408.468 ± 8.04 | 847.47 ± 72.77 |
| 2 | 27.025 | 80.096 ± 1.17 | 191.378 ± 4.39 | 270.533 ± 23.04 | 376.513 ± 23.34 | 14.404 ± 4.68 | 14.874 ± 2.25 | 7.521 ± 2.22 | 30.175 ± 17.55 | 205.566 ± 2.94 | 287.241 ± 4.45 | 195.772 ± 3.35 | 387.008 ± 31.54 |
| 3 | 28.031 | 8.817 ± 0.16 | 21.155 ± 0.51 | 27.7 ± 3.02 | 35.906 ± 1.64 | 1.554 ± 0.27 | 2.562 ± 0.13 | 1.156 ± 0.17 | 3.816 ± 1.49 | 21.056 ± 0.32 | 29.6 ± 0.16 | 19.782 ± 0.27 | 36.692 ± 2.36 |
| 4 | 31.018 | 928.421 ± 8.45 | 2132.831 ± 30.71 | 2193.987 ± 21.77 | 3378.789 ± 78.38 | 113.72 ± 2.24 | 132.123 ± 3.16 | 62.939 ± 15.28 | 165.598 ± 93.39 | 2105.244 ± 12.26 | 2959.667 ± 32.48 | 2006.605 ± 33.32 | 3231.393 ± 83.87 |
| 5 | 34.996 | 7.906 ± 0.25 | 14.439 ± 1.06 | 7.596 ± 1.83 | 14.935 ± 2.50 | 12.348 ± 0.62 | 0.692 ± 0.08 | 2.408 ± 0.23 | 0.758 ± 0.03 | 2.71 ± 0.19 | 3.876 ± 0.72 | 6.139 ± 0.34 | 4.801 ± 1.06 |
| 6 | 41.039 | 21.498 ± 0.42 | 53.09 ± 1.58 | 601.747 ± 118.91 | 822.194 ± 66.50 | 31.464 ± 0.46 | 56.122 ± 2.82 | 16.502 ± 2.74 | 73.972 ± 4.08 | 238.258 ± 6.52 | 236.99 ± 5.23 | 293.942 ± 9.25 | 516.946 ± 32.39 |
| 7 | 42.01 | 205.561 ± 2.28 | 547.972 ± 10.35 | 750.214 ± 51.63 | 1102.089 ± 76.24 | 48.238 ± 13.68 | 54.497 ± 7.61 | 25.718 ± 7.45 | 103.207 ± 57.47 | 541.102 ± 4.52 | 827.993 ± 8.69 | 512.99 ± 11.15 | 1178.195 ± 131.83 |
| 8 | 43.018 | 4158.139 ± 62.52 | 9122.072 ± 343.96 | 20261.619 ± 12219.10 | 8616.588 ± 327.42 | 6452.574 ± 201.49 | 6037.236 ± 340.36 | 3937.451 ± 294.38 | 3808.769 ± 771.34 | 6128.931 ± 68.91 | 8725.072 ± 116.73 | 6255.702 ± 108.34 | 11864.271 ± 1221.21 |
| 9 | 43.054 | 5.054 ± 1.14 | 18.602 ± 1.92 | 289.246 ± 26.12 | 519.05 ± 10.56 | 0 ± 0 | 0 ± 0 | 0 ± 0 | 2.77 ± 1.62 | 165.123 ± 5.13 | 145.644 ± 5.6 | 212.367 ± 6.92 | 327.327 ± 14.86 |
| 10 | 47.049 | 17,447.171 ± 176.66 | 44,863.183 ± 1176.33 | 51,191.95 ± 3319.03 | 82,907.442 ± 4413.17 | 286.84 ± 33.86 | 935.419 ± 85.42 | 498.008 ± 296.58 | 2407.504 ± 2051.69 | 44,565.668 ± 369.82 | 66,142.439 ± 1101.32 | 41,885.022 ± 781.09 | 88,784.653 ± 4937.75 |
| 11 | 49.011 | 182.917 ± 13.60 | 459.487 ± 31.33 | 49.417 ± 5.9 | 48.268 ± 3.96 | 210.152 ± 16.33 | 171.222 ± 41.01 | 54.535 ± 2.36 | 29.212 ± 3.78 | 51.715 ± 1.3 | 115.122 ± 16.4 | 58.243 ± 3.53 | 63.686 ± 6.42 |
| 12 | 53.006 | 9.648 ± 0.13 | 26.73 ± 0.48 | 104.944 ± 11.88 | 164.801 ± 12.26 | 8.502 ± 0.51 | 12.591 ± 0.41 | 3.941 ± 0.65 | 16.672 ± 2.26 | 52.793 ± 1.16 | 66.852 ± 1.10 | 59.265 ± 1.90 | 123.647 ± 11.11 |
| 13 | 57.036 | 5.489 ± 0.10 | 11.73 ± 0.39 | 138.128 ± 70.24 | 145.162 ± 12.15 | 6.711 ± 0.07 | 14.952 ± 0.76 | 5.347 ± 0.29 | 14.073 ± 0.33 | 35.028 ± 1.07 | 44.354 ± 1.26 | 40.768 ± 1.56 | 102.011 ± 5.78 |
| 14 | 57.07 | 13.976 ± 0.56 | 33.623 ± 1.16 | 558.761 ± 11.31 | 1080.518 ± 32.65 | 10.042 ± 0.65 | 30.006 ± 2.25 | 9.744 ± 0.16 | 20.545 ± 0.7 | 177.261 ± 3.79 | 236.018 ± 5.82 | 200.739 ± 7.39 | 527.166 ± 34.32 |
| 15 | 59.049 | 24.784 ± 3.49 | 32.257 ± 4.61 | 421.171 ± 68.79 | 534.178 ± 27.50 | 2206.881 ± 16.40 | 1745.93 ± 45.96 | 332.084 ± 15.63 | 847.678 ± 23.83 | 159.598 ± 3.26 | 388.981 ± 2.71 | 49.138 ± 6.58 | 382.086 ± 164.52 |
| 16 | 63.009 | 82.849 ± 1.97 | 127.534 ± 30.44 | 107.423 ± 4.06 | 111.562 ± 34.95 | 15.177 ± 0.47 | 17.316 ± 0.51 | 13.164 ± 1.42 | 12.978 ± 4.18 | 128.245 ± 6.27 | 97.983 ± 6.32 | 106.979 ± 5.34 | 121.257 ± 7.12 |
| 17 | 64.005 | 1.989 ± 0.12 | 3.025 ± 0.2 | 1.245 ± 0.17 | 1.453 ± 0.44 | 1.212 ± 0.05 | 0.969 ± 0.1 | 0.615 ± 0.09 | 0.383 ± 0.03 | 1.829 ± 0.06 | 1.726 ± 0.13 | 1.516 ± 0.08 | 1.502 ± 0.23 |
| 18 | 71.085 | 10.255 ± 0.53 | 21.316 ± 0.63 | 570.456 ± 11.35 | 1106.131 ± 32.59 | 4.368 ± 0.24 | 9.914 ± 0.63 | 5.146 ± 0.16 | 10.824 ± 0.17 | 370.814 ± 10.82 | 332.782 ± 8.55 | 475.144 ± 17.27 | 819.329 ± 47.8 |
| 19 | 78.967 | 5.29 ± 0.53 | 20.076 ± 2.17 | 1.37 ± 0.5 | 2.901 ± 0.78 | 6.06 ± 0.52 | 21.371 ± 6.39 | 2.336 ± 0.21 | 3.435 ± 0.33 | 1.372 ± 0.12 | 6.38 ± 0.84 | 1.961 ± 0.16 | 2.234 ± 0.45 |
| 20 | 81.016 | 3.575 ± 0.17 | 11.114 ± 0.18 | 7.418 ± 0.81 | 9.752 ± 2.77 | 0.208 ± 0.03 | 0.309 ± 0.07 | 0.357 ± 0.03 | 0.521 ± 0.17 | 8.684 ± 0.39 | 8.228 ± 0.53 | 7.232 ± 0.43 | 11.237 ± 0.71 |
| 21 | 85.066 | 0.667 ± 0.04 | 1.813 ± 0.18 | 1.760 ± 0.20 | 2.977 ± 0.40 | 4.007 ± 0.08 | 7.929 ± 0.28 | 2.836 ± 0.13 | 12.255 ± 0.39 | 0.836 ± 0.02 | 1.861 ± 0.08 | 0.956 ± 0.04 | 2.4 ± 0.18 |
| 22 | 87.043 | 2.494 ± 0.11 | 2.522 ± 0.07 | 19.148 ± 3.18 | 4.047 ± 0.69 | 10.271 ± 0.37 | 30.118 ± 0.89 | 4.348 ± 0.21 | 22.055 ± 2.13 | 2.624 ± 0.09 | 2.446 ± 0.09 | 2.821 ± 0.08 | 2.657 ± 0.07 |
| 23 | 89.06 | 107.588 ± 1.68 | 583.1 ± 11.55 | 513.225 ± 74.50 | 662.711 ± 77.45 | 21.932 ± 1.63 | 36.727 ± 2.05 | 6.935 ± 0.80 | 15.053 ± 1.39 | 768.849 ± 27.8 | 834.338 ± 15.05 | 688.761 ± 13.90 | 1323.605 ± 88.72 |
| 24 | 91.027 | 3.1 ± 0.16 | 14.864 ± 0.69 | 4.058 ± 2.11 | 3.108 ± 1.06 | 1.036 ± 0.03 | 1.64 ± 0.07 | 0.723 ± 0.03 | 1.06 ± 0.08 | 4.727 ± 0.2 | 4.062 ± 0.35 | 5.73 ± 0.32 | 3.626 ± 2.13 |
| 25 | 91.072 | 4.743 ± 0.19 | 27.938 ± 1.74 | 288.497 ± 51.59 | 137.918 ± 10.33 | 1.117 ± 0.18 | 3.118 ± 0.4 | 0.907 ± 0.07 | 16.874 ± 14.34 | 25.936 ± 0.85 | 76.375 ± 7.42 | 24.001 ± 0.96 | 79.585 ± 1.29 |
| 26 | 95.004 | 10.25 ± 0.81 | 37.968 ± 4.04 | 7.437 ± 1.90 | 6.718 ± 1.37 | 10.963 ± 1.47 | 32.705 ± 7.26 | 5.798 ± 0.6 | 7.747 ± 0.47 | 3.966 ± 0.31 | 13.75 ± 1.52 | 5.264 ± 0.45 | 5.799 ± 0.89 |
| 27 | 95.093 | 1.81 ± 0.07 | 12.486 ± 0.43 | 23.106 ± 10.48 | 35.172 ± 1.93 | 0.244 ± 0.04 | 0.893 ± 0.31 | 0.248 ± 0.06 | 0.27 ± 0.08 | 10.958 ± 0.28 | 24.895 ± 0.53 | 9.809 ± 0.53 | 37.52 ± 1.52 |
| 28 | 97.063 | 0.963 ± 0.09 | 10.732 ± 0.68 | 2.777 ± 2.34 | 0.478 ± 0.06 | 0.732 ± 0.04 | 1.093 ± 0.15 | 0.444 ± 0.02 | 0.424 ± 0.05 | 0.484 ± 0.04 | 2.646 ± 0.43 | 0.66 ± 0.03 | 1.806 ± 0.79 |
| 29 | 97.106 | 0.044 ± 0.02 | 0 ± 0 | 0.241 ± 0.05 | 0.364 ± 0.09 | 0.294 ± 0.04 | 0.31 ± 0.06 | 0.055 ± 0.01 | 0.27 ± 0.04 | 0.1 ± 0.01 | 0.052 ± 0.02 | 0.092 ± 0.02 | 0.204 ± 0.05 |
| 30 | 99.119 | 0.059 ± 0.03 | 0.239 ± 0.01 | 0.025 ± 0.02 | 0.01 ± 0.01 | 0.027 ± 0.01 | 0.08 ± 0.02 | 0.041 ± 0.00 | 0.016 ± 0.01 | 0.012 ± 0.01 | 0.038 ± 0.019 | 0.093 ± 0.02 | 0.135 ± 0.05 |
| 31 | 103.074 | 0.633 ± 0.07 | 0.997 ± 0.05 | 4.497 ± 2.24 | 3.697 ± 0.18 | 0.713 ± 0.07 | 0.747 ± 0.05 | 0.48 ± 0.02 | 0.675 ± 0.05 | 1.644 ± 0.06 | 2.076 ± 0.1 | 1.518 ± 0.05 | 4.072 ± 0.33 |
| 32 | 105.046 | 1.026 ± 0.06 | 1.22 ± 0.04 | 9.568 ± 4.36 | 2.927 ± 0.35 | 3.033 ± 0.68 | 4.07 ± 0.38 | 1.69 ± 0.3 | 4.448 ± 0.71 | 1.546 ± 0.1 | 1.62 ± 0.08 | 2.044 ± 0.10 | 4.597 ± 1.15 |
| 33 | 107.066 | 27.644 ± 1.29 | 143.431 ± 10.15 | 217.522 ± 151.90 | 61.948 ± 6.59 | 1.192 ± 0.08 | 8.355 ± 1.11 | 1.498 ± 0.64 | 5.285 ± 2.49 | 58 ± 0.56 | 113.907 ± 2.94 | 62.916 ± 2.64 | 121.476 ± 25.12 |
| 34 | 107.107 | 2.129 ± 0.12 | 7.99 ± 0.51 | 11.654 ± 3.37 | 14.393 ± 0.67 | 0.222 ± 0.04 | 0.512 ± 0.06 | 0.188 ± 0.05 | 0.483 ± 0.17 | 5.652 ± 0.17 | 8.888 ± 0.3 | 6.233 ± 0.20 | 13.897 ± 0.98 |
| 35 | 109.059 | 0.336 ± 0.02 | 2.186 ± 0.11 | 3.468 ± 2.03 | 2.352 ± 0.61 | 0.035 ± 0.02 | 0.136 ± 0.04 | 0.008 ± 0.01 | 0.08 ± 0.02 | 1.373 ± 0.05 | 2.024 ± 0.19 | 1.179 ± 0.1 | 3.182 ± 0.24 |
| 36 | 111.099 | 0.46 ± 0.02 | 2.347 ± 0.05 | 8.428 ± 6.18 | 5.95 ± 0.37 | 0.176 ± 0.02 | 0.187 ± 0.01 | 0.176 ± 0.03 | 0.217 ± 0.02 | 1.838 ± 0.05 | 4.268 ± 0.08 | 1.64 ± 0.09 | 6.77 ± 0.36 |
| 37 | 115.112 | 0.121 ± 0.03 | 0.204 ± 0.06 | 0.648 ± 0.02 | 0.938 ± 0.08 | 4.814 ± 0.16 | 3.831 ± 0.11 | 0.153 ± 0.03 | 0.277 ± 0.04 | 0.41 ± 0.04 | 0.676 ± 0.06 | 0.284 ± 0.01 | 0.77 ± 0.1 |
| 38 | 117.091 | 0.488 ± 0.03 | 1.118 ± 0.05 | 4.582 ± 2.78 | 1.807 ± 0.08 | 0.574 ± 0.03 | 0.513 ± 0.02 | 0.406 ± 0.02 | 0.403 ± 0.06 | 1.854 ± 0.15 | 1.738 ± 0.17 | 1.384 ± 0.11 | 3.8 ± 0.28 |
| 39 | 119.093 | 0.204 ± 0.01 | 0.368 ± 0.05 | 1.974 ± 0.81 | 1.592 ± 0.64 | 0.293 ± 0.01 | 0.248 ± 0.01 | 0.136 ± 0.02 | 0.258 ± 0.08 | 0.282 ± 0.02 | 0.608 ± 0.06 | 0.294 ± 0.04 | 1.642 ± 0.59 |
| 40 | 121.119 | 0.076 ± 0.01 | 0.448 ± 0.03 | 5.147 ± 1.81 | 25.03 ± 3.21 | 0 ± 0 | 0 ± 0 | 0 ± 0 | 0.016 ± 0.01 | 2.278 ± 0.06 | 5.06 ± 0.17 | 2.35 ± 0.14 | 11.913 ± 1.15 |
| 41 | 123.117 | 0.016 ± 0.01 | 0.067 ± 0.02 | 0.341 ± 0.2 | 0.183 ± 0.02 | 0.004 ± 0.00 | 0.049 ± 0.01 | 0.011 ± 0.01 | 0.037 ± 0.01 | 0.049 ± 0.01 | 0.079 ± 0.01 | 0.053 ± 0.01 | 0.162 ± 0.02 |
| 42 | 126.967 | 0.708 ± 0.05 | 1.55 ± 0.11 | 0.422 ± 0.02 | 0.449 ± 0.11 | 0.87 ± 0.07 | 1.09 ± 0.25 | 0.337 ± 0.01 | 0.428 ± 0.02 | 0.244 ± 0.01 | 0.549 ± 0.06 | 0.342 ± 0.02 | 0.368 ± 0.06 |
| 43 | 127.05 | 0.126 ± 0.02 | 0.125 ± 0.02 | 0.21 ± 0.08 | 0.214 ± 0.03 | 0.137 ± 0.02 | 0.15 ± 0.01 | 0.098 ± 0.01 | 0.119 ± 0.02 | 0.153 ± 0.02 | 0.157 ± 0.01 | 0.14 ± 0.01 | 0.224 ± 0.02 |
| 44 | 131.105 | 0.344 ± 0.02 | 0.67 ± 0.03 | 0.855 ± 0.03 | 1.078 ± 0.11 | 0.206 ± 0.01 | 0.219 ± 0.02 | 0.213 ± 0.01 | 0.184 ± 0.06 | 2.190 ± 0.18 | 3.322 ± 0.61 | 2.756 ± 0.12 | 6.385 ± 1.02 |
| 45 | 133.117 | 0.025 ± 0.02 | 0.036 ± 0.02 | 2.152 ± 0.66 | 1.873 ± 0.96 | 0.046 ± 0.02 | 0.094 ± 0.01 | 0.034 ± 0.02 | 0.1 ± 0.07 | 0.142 ± 0.01 | 0.344 ± 0.02 | 0.152 ± 0.02 | 3.062 ± 1.52 |
| 46 | 135.1 | 0.265 ± 0.02 | 2.334 ± 0.03 | 5.114 ± 2.89 | 5.545 ± 0.57 | 0.132 ± 0.01 | 0.12 ± 0.02 | 0.092 ± 0.01 | 0.139 ± 0.02 | 3.261 ± 0.11 | 5.336 ± 0.17 | 2.618 ± 0.07 | 10.64 ± 0.58 |
| 47 | 135.134 | 0.017 ± 0.01 | 0.126 ± 0.04 | 9.817 ± 1.56 | 28.434 ± 2.93 | 0 ± 0 | 0.011 ± 0.01 | 0.008 ± 0.01 | 0.045 ± 0.03 | 5.025 ± 0.19 | 6.919 ± 0.11 | 6.173 ± 0.46 | 20.47 ± 1.62 |
| 48 | 139.137 | 0.231 ± 0.01 | 1.246 ± 0.04 | 2.396 ± 1.4 | 4.003 ± 0.23 | 0.192 ± 0.02 | 0.389 ± 0.06 | 0.233 ± 0.03 | 0.333 ± 0.03 | 0.834 ± 0.03 | 2.522 ± 0.12 | 0.684 ± 0.06 | 4.342 ± 0.22 |
| 49 | 143.137 | 0.217 ± 0.03 | 0.161 ± 0.04 | 0.574 ± 0.24 | 0.411 ± 0.16 | 0.883 ± 0.03 | 0.778 ± 0.40 | 0.256 ± 0.02 | 0.198 ± 0.03 | 0.225 ± 0.04 | 1.254 ± 0.04 | 0.204 ± 0.02 | 0.296 ± 0.05 |
| 50 | 145.123 | 0.218 ± 0.03 | 0.43 ± 0.05 | 0.69 ± 0.24 | 0.617 ± 0.08 | 0.264 ± 0.01 | 0.202 ± 0.02 | 0.176 ± 0.02 | 0.209 ± 0.03 | 0.634 ± 0.1 | 0.883 ± 0.10 | 0.574 ± 0.05 | 1.592 ± 0.14 |
| 51 | 163.077 | 0.113 ± 0.02 | 0.118 ± 0.02 | 0.324 ± 0.12 | 0.194 ± 0.02 | 0.09 ± 0.01 | 0.1 ± 0.01 | 0.131 ± 0.02 | 0.112 ± 0.02 | 0.17 ± 0.01 | 0.131 ± 0.02 | 0.155 ± 0.00 | 0.274 ± 0.04 |
| 52 | 173.154 | 0.189 ± 0.01 | 0.629 ± 0.11 | 0.667 ± 0.15 | 1.103 ± 0.08 | 0.072 ± 0.03 | 0.116 ± 0.01 | 0.059 ± 0.02 | 0.066 ± 0.013 | 0.958 ± 0.18 | 1.692 ± 0.25 | 0.706 ± 0.016 | 2.857 ± 0.27 |
| 53 | 201.185 | 0.046 ± 0.01 | 0.177 ± 0.02 | 0.145 ± 0.022 | 0.195 ± 0.01 | 0.027 ± 0.01 | 0.034 ± 0.02 | 0.012 ± 0.01 | 0.026 ± 0.014 | 0.15 ± 0.04 | 0.241 ± 0.02 | 0.15 ± 0.014 | 0.186 ± 0.02 |
| Compound Name | Molecular Formula | Main/Fragment Ions Checked | |||
|---|---|---|---|---|---|
| m/z | m/z | m/z | m/z | ||
| Ethyl acetate | C4H8O2 | 89.06 (C4H8O2)H+ | 61.028 (C2H4O2)H+ | 43.018 (C2H3O)H+ | |
| Butyric acid | C4H8O2 | 89.06 (C4H8O2)H+ | 71.049 (C4H6O)H+ | 43.054 (C3H7)H+ | 29.039 (C2H5)H+ |
| Acetoin | C4H8O2 | 89.06 (C4H8O2)H+ | |||
Disclaimer/Publisher’s Note: The statements, opinions and data contained in all publications are solely those of the individual author(s) and contributor(s) and not of MDPI and/or the editor(s). MDPI and/or the editor(s) disclaim responsibility for any injury to people or property resulting from any ideas, methods, instructions or products referred to in the content. |
© 2025 by the authors. Licensee MDPI, Basel, Switzerland. This article is an open access article distributed under the terms and conditions of the Creative Commons Attribution (CC BY) license (https://creativecommons.org/licenses/by/4.0/).
Share and Cite
Rajendran, S.; Khomenko, I.; Silcock, P.; Betta, E.; Biasioli, F.; Bremer, P. The Use of Proton-Transfer-Reaction Time-of-Flight Mass Spectrometry (PTR-ToF-MS) to Determine the Volatile Organic Compounds (VOCs) Produced by Different Lactic Acid Bacterial Strains Growing in Defined Media. Appl. Microbiol. 2025, 5, 33. https://doi.org/10.3390/applmicrobiol5010033
Rajendran S, Khomenko I, Silcock P, Betta E, Biasioli F, Bremer P. The Use of Proton-Transfer-Reaction Time-of-Flight Mass Spectrometry (PTR-ToF-MS) to Determine the Volatile Organic Compounds (VOCs) Produced by Different Lactic Acid Bacterial Strains Growing in Defined Media. Applied Microbiology. 2025; 5(1):33. https://doi.org/10.3390/applmicrobiol5010033
Chicago/Turabian StyleRajendran, Sarathadevi, Iuliia Khomenko, Patrick Silcock, Emanuela Betta, Franco Biasioli, and Phil Bremer. 2025. "The Use of Proton-Transfer-Reaction Time-of-Flight Mass Spectrometry (PTR-ToF-MS) to Determine the Volatile Organic Compounds (VOCs) Produced by Different Lactic Acid Bacterial Strains Growing in Defined Media" Applied Microbiology 5, no. 1: 33. https://doi.org/10.3390/applmicrobiol5010033
APA StyleRajendran, S., Khomenko, I., Silcock, P., Betta, E., Biasioli, F., & Bremer, P. (2025). The Use of Proton-Transfer-Reaction Time-of-Flight Mass Spectrometry (PTR-ToF-MS) to Determine the Volatile Organic Compounds (VOCs) Produced by Different Lactic Acid Bacterial Strains Growing in Defined Media. Applied Microbiology, 5(1), 33. https://doi.org/10.3390/applmicrobiol5010033

