Network Pharmacology and Molecular Docking Reveal the Mechanism of Tanshinone IIA against Pulmonary Hypertension
Abstract
:1. Introduction
2. Methods
2.1. Data Mining
2.2. Protein–Protein Interaction (PPI) Analysis and Core Gene Screening
2.3. Enrichment Analysis
2.4. Molecular Docking
2.5. Construction of a Compound-Target-Pathway Network
3. Results
3.1. Identification of Potential Targets for Tan IIA for the Treatment of Pulmonary Hypertension
3.2. The PPI of Potential Targets for Tan IIA in the Treatment of Pulmonary Hypertension
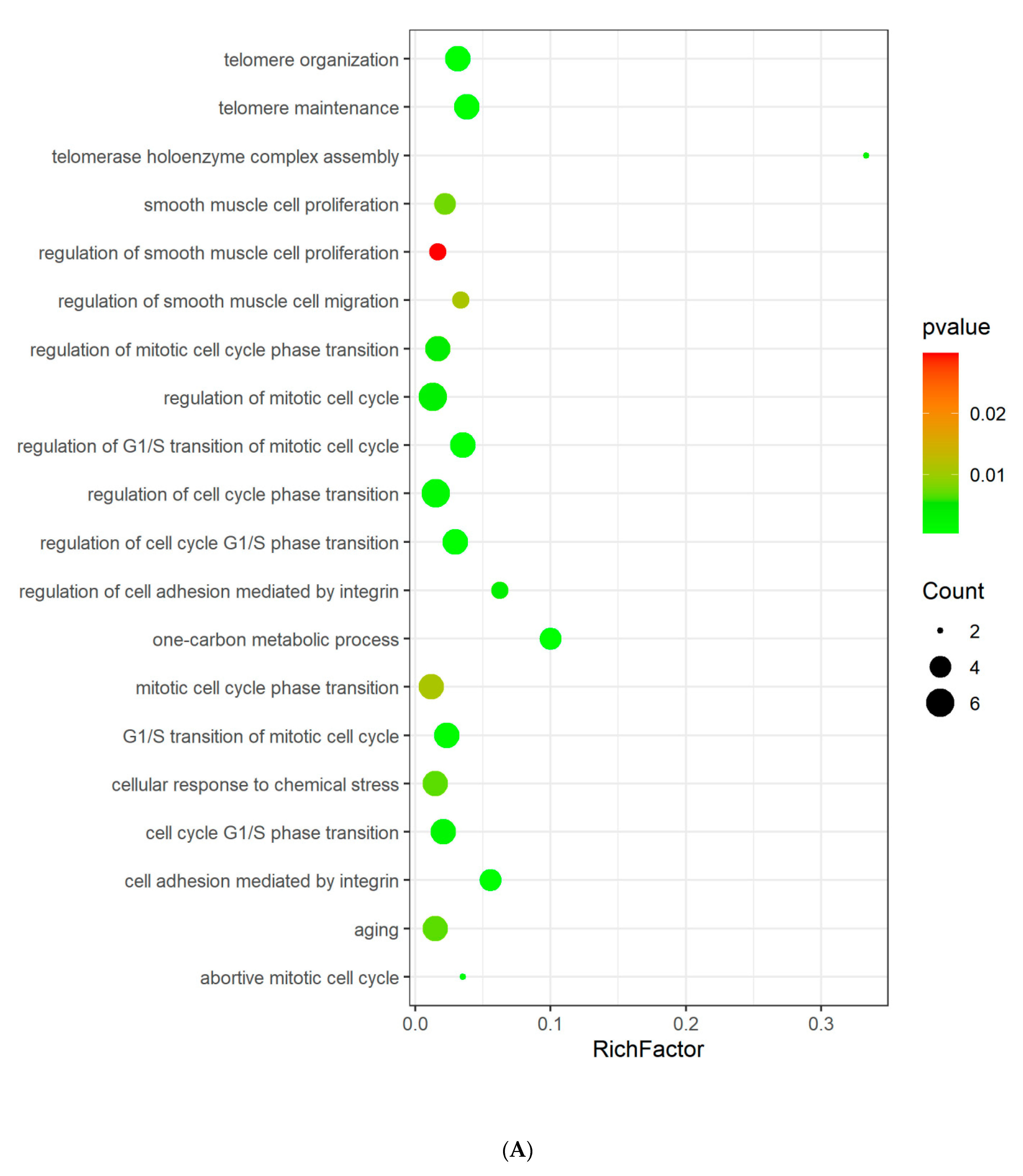
3.3. Enrichment Analysis of Tan IIA in the Treatment of Pulmonary Hypertension
3.4. Molecular Docking
3.5. Component-Target-Pathway Network of Pulmonary Hypertension Treatment
4. Discussion
5. Conclusions
Author Contributions
Funding
Data Availability Statement
Acknowledgments
Conflicts of Interest
References
- Morell, E.; Gaies, M.; Fineman, J.R.; Charpie, J.; Rao, R.; Sasaki, J.; Zhang, W.; Reichle, G.; Banerjee, M.; Tabbutt, S. Mortality from Pulmonary Hypertension in the Pediatric Cardiac ICU. Am. J. Respir. Crit. Care Med. 2021, 204, 454–461. [Google Scholar] [CrossRef] [PubMed]
- Beshay, S.; Sahay, S.; Humbert, M. Evaluation and management of pulmonary arterial hypertension. Respir. Med. 2020, 171, 106099. [Google Scholar] [CrossRef] [PubMed]
- Coons, J.C.; Pogue, K.; Kolodziej, A.R.; Hirsch, G.A.; George, M.P. Pulmonary Arterial Hypertension: A Pharmacotherapeutic Update. Curr. Cardiol. Rep. 2019, 21, 141. [Google Scholar] [CrossRef] [PubMed]
- Guo, R.; Li, L.; Su, J.; Li, S.; Duncan, S.E.; Liu, Z.; Fan, G. Pharmacological Activity and Mechanism of Tanshinone IIA in Related Diseases. Drug Des. Dev. Ther. 2020, 14, 4735–4748. [Google Scholar] [CrossRef]
- Wang, J.; Lu, W.; Wang, W.; Zhang, N.; Wu, H.; Liu, C.; Chen, X.; Chen, Y.; Chen, Y.; Jiang, Q.; et al. Promising therapeutic effects of sodium tanshinone IIA sulfonate towards pulmonary arterial hypertension in patients. J. Thorac Dis. 2013, 5, 169–172. [Google Scholar] [CrossRef] [PubMed]
- Leem, J.; Jung, W.; Park, H.-J.; Kim, K. A network pharmacology-based approach to explore mechanism of action of medicinal herbs for alopecia treatment. Sci. Rep. 2022, 12, 2852. [Google Scholar] [CrossRef] [PubMed]
- Chin, C.-H.; Chen, S.-H.; Wu, H.-H.; Ho, C.-W.; Ko, M.-T.; Lin, C.-Y. cytoHubba: Identifying hub objects and sub-networks from complex interactome. BMC Syst. Biol. 2014, 8 (Suppl. S4), S11. [Google Scholar] [CrossRef] [PubMed]
- Zhang, M.-M.; Wang, D.; Lu, F.; Zhao, R.; Ye, X.; He, L.; Ai, L.; Wu, C.-J. Identification of the active substances and mechanisms of ginger for the treatment of colon cancer based on network pharmacology and molecular docking. BioData Min. 2021, 14, 1. [Google Scholar] [CrossRef]
- Scardoni, G.; Petterlini, M.; Laudanna, C. Analyzing biological network parameters with CentiScaPe. Bioinformatics 2009, 25, 2857–2859. [Google Scholar] [CrossRef]
- Poch, D.; Mandel, J. Pulmonary Hypertension. Ann. Intern. Med. 2021, 174, ITC49–ITC64. [Google Scholar] [CrossRef]
- Jarabicová, I.; Horváth, C.; Veľasová, E.; Piváčková, L.B.; Vetešková, J.; Klimas, J.; Křenek, P.; Adameová, A. Analysis of necroptosis and its association with pyroptosis in organ damage in experimental pulmonary arterial hypertension. J. Cell. Mol. Med. 2022, 26, 2633–2645. [Google Scholar] [CrossRef] [PubMed]
- Kibble, M.; Saarinen, N.; Tang, J.; Wennerberg, K.; Mäkelä, S.; Aittokallio, T. Network pharmacology applications to map the unexplored target space and therapeutic potential of natural products. Nat. Prod. Rep. 2015, 32, 1249–1266. [Google Scholar] [CrossRef]
- Kotlyar, M.; Fortney, K.; Jurisica, I. Network-based characterization of drug-regulated genes, drug targets, and toxicity. Methods 2012, 57, 499–507. [Google Scholar] [CrossRef]
- Deng, Y.-X.; Zhong, J.; Liu, Z.-J.; Wang, X.-Q.; Zhang, B. Active ingredients targeting Nrf2 in the Mongolian medicine Qiwei Putao powder: Systematic pharmacological prediction and validation for chronic obstructive pulmonary disease treatment. J. Ethnopharmacol. 2021, 265, 113385. [Google Scholar] [CrossRef] [PubMed]
- Cheng, Y.; Yu, M.; Xu, J.; He, M.; Wang, H.; Kong, H.; Xie, W. Inhibition of Shp2 ameliorates monocrotaline-induced pulmonary arterial hypertension in rats. BMC Pulm. Med. 2018, 18, 130. [Google Scholar] [CrossRef]
- Lee, J.-H.; Paull, T.T. Cellular functions of the protein kinase ATM and their relevance to human disease. Nat. Rev. Mol. Cell Biol. 2021, 22, 796–814. [Google Scholar] [CrossRef] [PubMed]
- Nies, M.K.; Yang, J.; Griffiths, M.; Damico, R.; Zhu, J.; Vaydia, D.; Fu, Z.; Brandal, S.; Austin, E.D.; Ivy, D.D.; et al. Proteomics discovery of pulmonary hypertension biomarkers: Insulin-like growth factor binding proteins are associated with disease severity. Pulm. Circ. 2022, 12, e12039. [Google Scholar] [CrossRef] [PubMed]
- Shen, T.; Ma, J.; Zhang, L.; Yu, X.; Liu, M.; Hou, Y.; Wang, Y.; Ma, C.; Li, S.; Zhu, D. Positive Feedback-Loop of Telomerase Reverse Transcriptase and 15-Lipoxygenase-2 Promotes Pulmonary Hypertension. PLoS ONE 2013, 8, e83132. [Google Scholar] [CrossRef]
- Tan, K.T.; Yeh, C.-N.; Chang, Y.-C.; Cheng, J.-H.; Fang, W.-L.; Yeh, Y.-C.; Wang, Y.-C.; Hsu, D.S.-S.; Wu, C.-E.; Lai, J.-I.; et al. PRKDC: New biomarker and drug target for checkpoint blockade immunotherapy. J. Immunother. Cancer 2020, 8, e000485. [Google Scholar] [CrossRef]
- Tajsic, T.; Morrell, N.W. Smooth muscle cell hypertrophy, proliferation, migration and apoptosis in pulmonary hypertension. Compr. Physiol. 2011, 1, 295–317. [Google Scholar] [CrossRef]
- Pei, D.-S.; Jia, P.-P.; Luo, J.-J.; Liu, W.; Strauss, P.R. AP endonuclease 1 (Apex1) influences brain development linking oxidative stress and DNA repair. Cell Death Dis. 2019, 10, 348. [Google Scholar] [CrossRef] [PubMed]
- Fulton, D.J.; Li, X.; Bordan, Z.; Haigh, S.; Bentley, A.; Chen, F.; Barman, S.A. Reactive Oxygen and Nitrogen Species in the Development of Pulmonary Hypertension. Antioxidants 2017, 6, 54. [Google Scholar] [CrossRef] [PubMed]
- Li, Y.; Liu, S.; Zhang, Y.; Gao, Q.; Sun, W.; Fu, L.; Cao, J. Histone demethylase JARID1B regulates proliferation and migration of pulmonary arterial smooth muscle cells in mice with chronic hypoxia-induced pulmonary hypertension via nuclear factor-kappa B (NFkB). Cardiovasc. Pathol. 2018, 37, 8–14. [Google Scholar] [CrossRef] [PubMed]
- Yerabolu, D.; Weiss, A.; Kojonazarov, B.; Boehm, M.; Schlueter, B.C.; Ruppert, C.; Günther, A.; Jonigk, D.; Grimminger, F.; Ghofrani, H.-A.; et al. Targeting Jak–Stat Signaling in Experimental Pulmonary Hypertension. Am. J. Respir. Cell Mol. Biol. 2021, 64, 100–114. [Google Scholar] [CrossRef]
- Qin, Y.; Zhu, B.; Li, L.; Wang, D.; Qiao, Y.; Liu, B.; Luo, E.; Hou, J.; Yan, G.; Tang, C. Overexpressed lncRNA AC068039.4 Contributes to Proliferation and Cell Cycle Progression of Pulmonary Artery Smooth Muscle Cells Via Sponging miR-26a-5p/TRPC6 in Hypoxic Pulmonary Arterial Hypertension. Shock 2021, 55, 244–255. [Google Scholar] [CrossRef]
- Dannappel, M.; Vlantis, K.; Kumari, S.; Polykratis, A.; Kim, C.; Wachsmuth, L.; Eftychi, C.; Lin, J.; Corona, T.; Hermance, N.; et al. RIPK1 maintains epithelial homeostasis by inhibiting apoptosis and necroptosis. Nature 2014, 513, 90–94. [Google Scholar] [CrossRef]
- Zemskova, M.; McClain, N.; Niihori, M.; Varghese, M.V.; James, J.; Rafikov, R.; Rafikova, O. Necrosis-Released HMGB1 (High Mobility Group Box 1) in the Progressive Pulmonary Arterial Hypertension Associated with Male Sex. Hypertension 2020, 76, 1787–1799. [Google Scholar] [CrossRef]











| Abbreviation | Protein Name | Degree | Closeness Centrality |
|---|---|---|---|
| HSP90AA1 | Heat Shock Protein 90 Alpha Family Class A Member 1 | 7 | 0.53571429 |
| PTPN11 | Protein Tyrosine Phosphatase Non-Receptor Type 11 | 5 | 0.41666667 |
| ATM | ATM Serine/Threonine Kinase | 5 | 0.42857143 |
| CA2 | Carbonic Anhydrase 2 | 4 | 0.39473684 |
| TERT | Telomerase Reverse Transcriptase | 4 | 0.40540541 |
| PRKDC | Protein Kinase, DNA-Activated, Catalytic Subunit | 4 | 0.39473684 |
| APEX1 | Apurinic/Apyrimidinic Endodeoxyribonuclease 1 | 4 | 0.39473684 |
| PTPN6 | Protein Tyrosine Phosphatase Non-Receptor Type 6 | 2 | 0.30612245 |
| ROS1 | ROS Proto-Oncogene 1, Receptor Tyrosine Kinase | 2 | 0.30612245 |
| CFTR | CF Transmembrane Conductance Regulator | 2 | 0.46875000 |
| CA1 | Carbonic Anhydrase 1 | 2 | 0.30000000 |
| Compound | Target | PDB Id | Grid Origin | CDOCKER Energy | CDOCKER Interaction Energy |
|---|---|---|---|---|---|
| Tanshinone IIA | HSP90AA1 | 6oxl | −20.6484, −7.93913, −3.18796 | −18.3170 | −38.0150 |
| PTPN11 | 6cmp | −36.6312, −15.0254, −12.611 | −15.0367 | −34.2720 | |
| CA2 | 3k34 | −36.6312, −15.0254, −12.611 | −10.0027 | −29.0277 |
Publisher’s Note: MDPI stays neutral with regard to jurisdictional claims in published maps and institutional affiliations. |
© 2022 by the authors. Licensee MDPI, Basel, Switzerland. This article is an open access article distributed under the terms and conditions of the Creative Commons Attribution (CC BY) license (https://creativecommons.org/licenses/by/4.0/).
Share and Cite
Zhang, K.; Sun, H.; Hu, K.; Shi, Z.; Zhang, B. Network Pharmacology and Molecular Docking Reveal the Mechanism of Tanshinone IIA against Pulmonary Hypertension. BioMedInformatics 2022, 2, 459-473. https://doi.org/10.3390/biomedinformatics2030029
Zhang K, Sun H, Hu K, Shi Z, Zhang B. Network Pharmacology and Molecular Docking Reveal the Mechanism of Tanshinone IIA against Pulmonary Hypertension. BioMedInformatics. 2022; 2(3):459-473. https://doi.org/10.3390/biomedinformatics2030029
Chicago/Turabian StyleZhang, Kaijian, Haozhong Sun, Kang Hu, Zhan Shi, and Buchun Zhang. 2022. "Network Pharmacology and Molecular Docking Reveal the Mechanism of Tanshinone IIA against Pulmonary Hypertension" BioMedInformatics 2, no. 3: 459-473. https://doi.org/10.3390/biomedinformatics2030029
APA StyleZhang, K., Sun, H., Hu, K., Shi, Z., & Zhang, B. (2022). Network Pharmacology and Molecular Docking Reveal the Mechanism of Tanshinone IIA against Pulmonary Hypertension. BioMedInformatics, 2(3), 459-473. https://doi.org/10.3390/biomedinformatics2030029

