Preliminary Optimization of Steady-State and Dynamic Thermal Performance of 3D Printed Foamed Concrete
Abstract
1. Introduction
2. Materials and Methods
2.1. Geometric Configuration and 2D Parametric Design
- represents the coordinate along the length of the block ().
- is the amplitude of the sine wave, determining the transverse extension of the partition.
- is the period, controlling the frequency of the internal oscillations.
- is the phase shift, set to 0.5 to ensure geometric symmetry and printability.
2.2. Thermophysical Properties of Printable Foamed Concrete
2.3. Numerical Simulation Setup and Boundary Conditions
2.4. Performance Metrics and Data Post-Processing
2.4.1. Thermal Transmittance ()
2.4.2. Periodic Thermal Transmittance ()
3. Results
3.1. Influence of Porosity on Thermal Performance
Decoupling Mass and Thermal Conductivity Effects
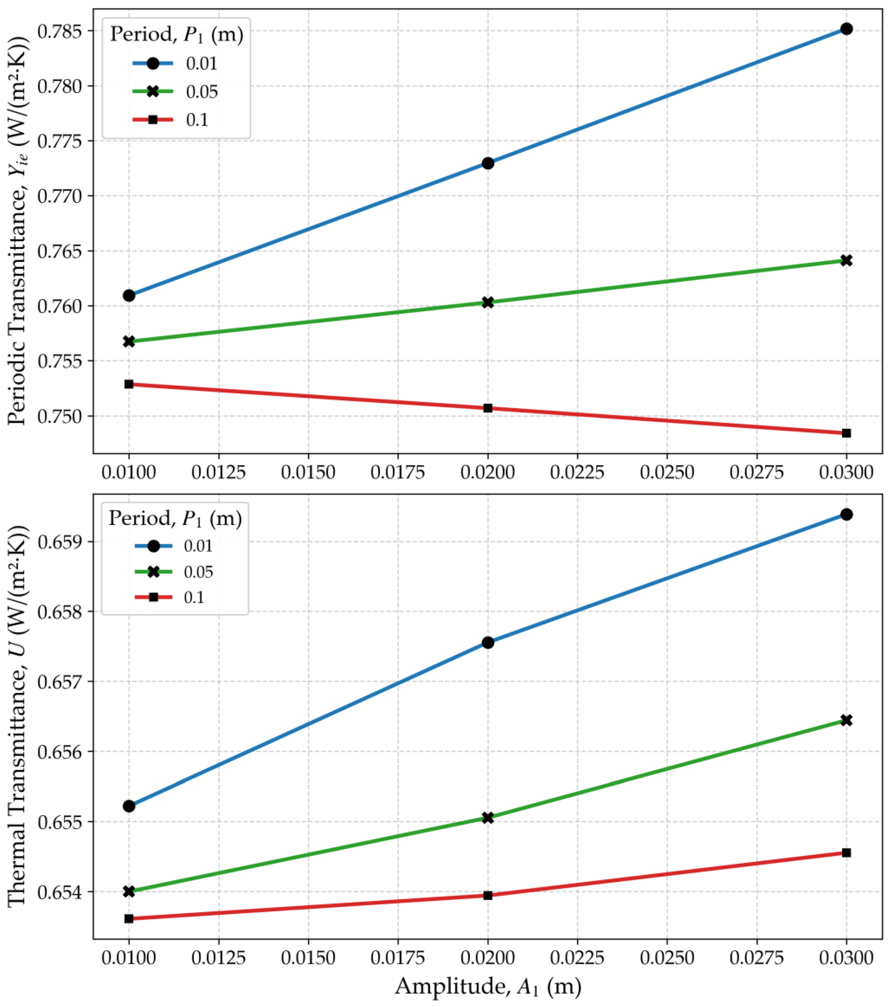
3.2. Influence of Internal Geometry
3.3. Optimal Configuration and Trade-Off Analysis
4. Discussion and Conclusions
Author Contributions
Funding
Data Availability Statement
Conflicts of Interest
Abbreviations
| Greek Symbols | ||
| Symbol | Description | Unit |
| thermal diffusivity | ) | |
| absorptivity | (-) | |
| porosity | (%) | |
| emissivity | (-) | |
| thermal conductivity | ) | |
| dry density | ) | |
| phase shift of the sinusoidal function | ) | |
| Latin Symbols | ||
| Symbol | Description | Unit |
| amplitude of the sinusoidal partition | ) | |
| amplitude of oscillation (heat wave) | (-) | |
| specific heat capacity | ) | |
| solar radiative flux | ) | |
| heat transfer coefficient | ) | |
| height of the block | ) | |
| thermal conductivity | ) | |
| length of the block | ) | |
| period of the sinusoidal partition | ) | |
| heat flux | ) | |
| thickness of walls and partitions | ) | |
| temperature | ) | |
| time | ) | |
| steady-state thermal transmittance | ) | |
| width of the block | ) | |
| periodic thermal transmittance | ) | |
| Subscripts | ||
| air | air domain | |
| eff | effective | |
| out | external environment (outdoor) | |
| int | internal environment (indoor) | |
| s | solid domain | |
| dry | dry material state | |
| w | water | |
| Abbreviations | ||
| 3DCP | 3D concrete printing | |
| AM | additive manufacturing | |
| CFD | computational fluid dynamics | |
| DFC | digital fabrication with concrete | |
| FC | foamed concrete | |
| S2S | surface-to-surface (radiation model) |
References
- Nguyen-Van, V.; Li, S.; Liu, J.; Nguyen, K.; Tran, P. Modelling of 3D concrete printing process: A perspective on material and structural simulations. Addit. Manuf. 2023, 61, 103333. [Google Scholar] [CrossRef]
- Pessoa, S.; Guimarães, A.S.; Lucas, S.S.; Simões, N. 3D printing in the construction industry—A systematic review of the thermal performance in buildings. Renew. Sustain. Energy Rev. 2021, 141, 110794. [Google Scholar] [CrossRef]
- Markin, V.; Krause, M.; Otto, J.; Schröfl, C.; Mechtcherine, V. 3D-printing with foam concrete: From material design and testing to application and sustainability. J. Build. Eng. 2021, 43, 102870. [Google Scholar] [CrossRef]
- Rudziewicz, M.; Hutyra, A.; Maroszek, M.; Korniejenko, K.; Hebda, M. 3D-Printed Lightweight Foamed Concrete with Dispersed Reinforcement. Appl. Sci. 2025, 15, 4527. [Google Scholar] [CrossRef]
- Wei, S.; Yiqiang, C.; Yunsheng, Z.; Jones, M.R. Characterization and simulation of microstructure and thermal properties of foamed concrete. Constr. Build. Mater. 2013, 47, 1278–1291. [Google Scholar] [CrossRef]
- Othuman Mydin, M.A.; Wang, Y.C. Thermal and mechanical properties of lightweight foamed concrete at elevated temperatures. Mag. Concr. Res. 2012, 64, 213–224. [Google Scholar] [CrossRef]
- Bentz, D.P.; Peltz, M.A.; Durán-Herrera, A.; Valdez, P.; Juárez, C.A. Thermal properties of high-volume fly ash mortars and concretes. J. Build. Phys. 2011, 34, 263–275. [Google Scholar] [CrossRef]
- Lorente, S.; Bejan, A. Combined ‘flow and strength’ geometric optimization: Internal structure in a vertical insulating wall with air cavities and prescribed strength. Int. J. Heat Mass Transf. 2002, 45, 3313–3320. [Google Scholar] [CrossRef]
- Fragnito, A.; Menna, C.; Mauro, G.M.; Iasiello, M. Self-Supporting Element for the Construction of Structures and Associated Method of Realization. U.S. Patent Application No. 2025/0043571 A1, 6 February 2025. [Google Scholar]
- Bos, F.P.; Menna, C.; Pradena, M.; Kreiger, E.; da Silva, W.L.; Rehman, A.U.; Weger, D.; Wolfs, R.J.M.; Zhang, Y.; Ferrara, L.; et al. The realities of additively manufactured concrete structures in practice. Cem. Concr. Res. 2022, 156, 106746. [Google Scholar] [CrossRef]
- Van Breugel, K. Simulation of Hydration and Formation of Structure in Hardening Cement-Based Materials, 2nd ed.; Delft University Press: Delft, The Netherlands, 1997. [Google Scholar]
- Kearsley, E.P.; Wainwright, P.J. The effect of porosity on the strength of foamed concrete. Cem. Concr. Res. 2002, 32, 233–239. [Google Scholar] [CrossRef]
- UNI EN ISO 6946:2017; Building Components and Building Elements—Thermal Resistance and Thermal Transmittance—Calculation Methods. ISO: Geneva, Switzerland, 2017.
- UNI EN ISO 13786:2017; Thermal Performance of Building Components—Dynamic Thermal Characteristics—Calculation Methods. ISO: Geneva, Switzerland, 2017.
- Zhang, H.; Yang, J.; Wu, H.; Fu, P.; Liu, Y.; Yang, W. Dynamic thermal performance of ultra-light and thermal-insulative aerogel foamed concrete for building energy efficiency. Solar Energy 2020, 204, 569–576. [Google Scholar] [CrossRef]
- Zlateva, P.; Petkova-Slipets, R.; Mileva, N.; Yanazov, K. Foam Concrete as a Thermal Insulation Building Material. In Proceedings of the 2025 10th International Conference on Energy Efficiency and Agricultural Engineering (EE&AE); IEEE: New York, NY, USA, 2025; pp. 1–6. [Google Scholar]








| Mix | Target Density (kg/m3) | Dry Density (kg/m3) | Porosity (%) | Average Air-Void Diameter (mm) | Thermal Conductivity (W/(m·K)) |
|---|---|---|---|---|---|
| A | 1900 | 1870 | 0 | - | 0.5 |
| B | 1700 | 1636 | 12.51 | 0.104 | 0.423 |
| C | 1500 | 1461 | 21 | 0.113 | 0.363 |
| D | 1300 | 1201 | 32.54 | 0.122 | 0.282 |
| E | 1000 | 948 | 47.33 | 0.173 | 0.217 |
| F | 800 | 757 | 57.87 | 0.263 | 0.165 |
| G | 600 | 570 | 68.4 | 0.59 | 0.124 |
| H | 500 | 453 | 73.67 | 0.7 | 0.091 |
| I | 400 | 374 | 78.9 | 0.8 | 0.08 |
| J | 300 | 252 | 84.20 | 0.956 | 0.065 |
| Parameter | Range | Unit |
|---|---|---|
| Amplitude () | [0.01, 0.02, 0.03] | m |
| Period () | [0.01, 0.05, 0.1] | m |
| Porosity ( | [10, 20, 30, 40, 50] | % |
Disclaimer/Publisher’s Note: The statements, opinions and data contained in all publications are solely those of the individual author(s) and contributor(s) and not of MDPI and/or the editor(s). MDPI and/or the editor(s) disclaim responsibility for any injury to people or property resulting from any ideas, methods, instructions or products referred to in the content. |
© 2026 by the authors. Licensee MDPI, Basel, Switzerland. This article is an open access article distributed under the terms and conditions of the Creative Commons Attribution (CC BY) license.
Share and Cite
Iozzino, F.; Fragnito, A.; Mauro, G.M.; Roselli, C. Preliminary Optimization of Steady-State and Dynamic Thermal Performance of 3D Printed Foamed Concrete. Thermo 2026, 6, 13. https://doi.org/10.3390/thermo6010013
Iozzino F, Fragnito A, Mauro GM, Roselli C. Preliminary Optimization of Steady-State and Dynamic Thermal Performance of 3D Printed Foamed Concrete. Thermo. 2026; 6(1):13. https://doi.org/10.3390/thermo6010013
Chicago/Turabian StyleIozzino, Fabio, Andrea Fragnito, Gerardo Maria Mauro, and Carlo Roselli. 2026. "Preliminary Optimization of Steady-State and Dynamic Thermal Performance of 3D Printed Foamed Concrete" Thermo 6, no. 1: 13. https://doi.org/10.3390/thermo6010013
APA StyleIozzino, F., Fragnito, A., Mauro, G. M., & Roselli, C. (2026). Preliminary Optimization of Steady-State and Dynamic Thermal Performance of 3D Printed Foamed Concrete. Thermo, 6(1), 13. https://doi.org/10.3390/thermo6010013
