Next Article in Journal
Parametrization of the NRTL Model with a Multiobjective Approach: Implications in the Process Simulation
Next Article in Special Issue
Thermochemical Evaluation of Different Waste Biomasses (Citrus Peels, Aromatic Herbs, and Poultry Feathers) towards Their Use for Energy Production
Previous Article in Journal
Analytical Model for Thermoregulation of the Human Body in Contact with a Phase Change Material (PCM) Cooling Vest
 
 
Font Type:
Arial Georgia Verdana
Font Size:
Aa Aa Aa
Line Spacing:
Column Width:
Background:
Article

Non-Covalent Interactions in Triglycerides: Vaporisation Thermodynamics for Quantification of Dispersion Forces

by
Sergey P. Verevkin
1,2,* and
Ruslan N. Nagrimanov
2
1
Department of Physical Chemistry and Faculty of Interdisciplinary Research, Competence Centre CALOR, University of Rostock, 18059 Rostock, Germany
2
Department of Physical Chemistry, Kazan Federal University, 420008 Kazan, Russia
*
Author to whom correspondence should be addressed.
Thermo 2022, 2(3), 250-266; https://doi.org/10.3390/thermo2030018
Submission received: 31 July 2022 / Revised: 16 August 2022 / Accepted: 22 August 2022 / Published: 30 August 2022

Abstract

:
Qualitatively, the non-covalent interactions are well-known and help to explain many phenomena in chemistry and biochemistry. Quantitatively, determination of strength this force is a challenging task. The vaporization enthalpy is a reliable measure not only for the intermolecular interactions in the liquid phase, but also as the measure of intermolecular non-covalent interactions in the gas phase for the specific group of compounds, e.g., for the triglycerides. The vaporisation thermodynamics of four triglycerides were studied by using transpiration method, quartz crystal microbalance, and thermogravimetric analysis. Vapour pressure–temperature dependences were used to derive the enthalpies of vaporisation of these very low volatile liquids. Vaporisation enthalpies of the triglycerides available in the literature were collected and uniformly adjusted to the reference temperature 298.15 K and validated using structure–property relationships (chain-length dependence, correlation with retention indices, and correlation with normal boiling points). The consistent sets of evaluated vaporisation enthalpies for the linear and branched triglycerides were used to develop the “centerpiece” based group-additivity method for predicting enthalpies of vaporisation of triglycerides. It has turned out that the family of triglycerides do not obey the group-additivity rules. The reason for that is that the evaporated in the gas phase triglycerides exhibit intensive non-covalent attractive dispersion interactions strongly dependent on the alkyl-chain length. For the first time the intensity of the dispersion interactions was quantified for the family of aliphatic linear triglycerides with the chain length from 3 to 18 carbon atoms. The influence of the branching and unsaturation of the alkyl chains to the strength of the non-covalent interactions was also discussed.

1. Introduction

Although non-covalent interactions play a key role in material science, chemistry and biochemistry, their interpretation and quantification are still far from being satisfactory. Dispersion forces are much more difficult to handle and therefore less is known about them, in particularly quantitatively. The dispersion forces are usually related to the attractive part of the van der Waals potential [1]. The simplest example to show the importance of dispersion forces is that they help explain why alkanes become liquid with increasing chain length. Admittedly, the dispersion interactions are considered “weak”. Because of this, quantifying dispersion forces is quite challenging. However, the dispersion interactions increase rapidly for larger and larger molecules [2]. In our recent work, very weak dispersion forces were quantified in methyl alkanoates with an alkyl chain length of 1 to 18 carbon atoms [3]. The homologous series of triglycerides offers a three-fold increase in size compared to the ester series. We expect a significant increase in the role of dispersion forces in triglycerides and are looking for thermodynamic tools to quantify these non-covalent interactions.
In this article, we have carefully collected experimental data on vaporisation thermodynamics for triglycerides that are available in the literature. To ascertain the vapour pressures and vaporisation enthalpies, complementary vapour pressure measurements were carried out on a number of triglycerides (see Figure 1).
We have modified the Chickos’s method [5] for calculations of   Δ l g C p , m o -values, required for the temperature adjustments of experimental vaporisation enthalpies. The available vaporisation enthalpies of triglycerides were collected, uniformly adjusted to the reference temperature T = 298.15 K and evaluated using the structure–property correlations based on the vaporisation enthalpy chain length dependency, retention indices, boiling temperatures, and group additivity. The reliable data sets for the triglycerides with the linear and branched chains have been recommended for thermochemical calculations. The recommended experimental data in combination with a group-additivity based “centerpiece” approach were used to reveal and quantify dispersion forces in triglycerides.

2. Materials and Methods

The samples of triglycerides triacetin, tricaprylin, tricaprin, and tripalmitin of commercial origin (Sigma-Aldrich, 99%) were used as received. The degree of purity was determined using a Hewlett Packard gas chromatograph 5890 Series II equipped with a flame ionization detector. A capillary column SE-30 was used with a column length of 10 m, an inside diameter of 0.32 mm, and a film thickness of 0.25 μm. The standard temperature program of the GC was T = 373 K followed by a heating rate of 0.167 K·s−1 to T = 523 K. No impurities (greater than mass fraction 0.001) could be detected in the sample used for the vapour pressure measurements. Before starting the vapour pressure measurements, the sample was preconditioned inside of the set-up to remove traces of water and possible volatile impurities.
The standard molar enthalpies of vaporisation, Δ l g H m o , of triglycerides were derived from the temperature dependences of vapour pressures measured using the transpiration method [6,7] and the quartz-crystal microbalance (QCM) method [8]. The temperature dependences of the mass loss rates measured using termogravimetric analysis (TGA) [9] were used to derive Δ l g H m o -values of triacetin, tricaprylin, and tricaprin. A concise description of the experimental methods and data treatment is given in the Supporting Information.

3. Results and Discussion

3.1. Experimental Vaporisation Thermodynamics of Triglycerides

The original experimental vapour pressures of triglycerides at different temperatures measured using transpiration method are collected in Table S1. The original experimental vapour pressures of triglycerides at different temperatures measured using QCM method are collected in Table S2. The mass-loss rates of triglycerides at different temperatures measured using TGA method are collected in Table S3. These results were used to derive the standard molar enthalpies of vaporisation Δ l g H m o (Tav) which are referenced to the average temperatures Tav. These results are shown in Table 1, column 4. For thermochemical calculations, the vaporisation enthalpies are used to adjust to the reference temperature T = 298.15 K according to the Kirchhoff’s equation:
Δ l g H m o ( 298.15   K ) = Δ l g H m o ( T av )   + Δ C p , m o   ×   ( T av 298.15   K )
where the value Δ l g C p , m o   =   C p , m o (g) −   C p , m o (liq) is the difference between the molar heat capacities of the gaseous C p , m o (g) and the liquid phase C p , m o (liq), respectively. The required Δ l g C p , m o -values are evaluated in Section 3.2.
In this study, we carefully collected and evaluated the available experimental literature data on vapour pressures of triglycerides with linear alkyl chains (see Table 1) and with branched alkyl chains (see Table 2). Since in most studies the enthalpies of vaporisation were not adjusted to the reference temperature or the adjustment was performed in some other way, we treated the literature results with Equation (1) and calculated Δ l g H m o -values for comparison and evaluation (see Table 1 and Table 2, column 5).

3.2. Adjustment of Δ l g H m o (T)-Values to the Reference Temperature 298.15 K

In general, the adjustment of the thermodynamic properties to the reference temperature T = 298.15 K is important for the comparison and the development of the structure–property relationships. Admittedly [3,27,28], the vaporisation enthalpies have mostly been reported by authors as referenced to the Tav, and they have not often been adjusted to a different temperature apparently, due to the ambiguities with the Δ l g C p , m o —values required in Equation (1). This ambiguity was resolved in systematic studies by Chickos and Acree [5,29] who proposed estimating heat capacity differences using the following empirical correlation:
Δ l g C p , m o = 10.58 + 0.26 × C p , m o ( liq )
which has been parameterized in general with the available data on the organic compounds of different classes. From our experience, the parameters of Equation (2) apply successfully to many classes of organic compounds successfully [3,27,28]. However, in our recent study on linear aliphatic esters (where the Δ l g C p , m o -values were derived from temperature dependences vapour pressures, see Table S5), we have found that the original coefficients of Equation (2) provide significantly overestimated Δ l g C p , m o -values [3]. In this work we correlated experimental the C p , m o ( liq ) and the Δ l g C p , m o -values for linear aliphatic esters (see Table S5) and obtained the following empirical equation:
Δ l g C p , m o = 16.4 + 0.1833 × C p , m o ( liq )   ( with   R 2 = 0.979 )
Both empirical coefficients are significantly lower than the original values from Chickos and Acree [5,29], but the high correlation coefficient R2 is evidence for the robustness of the correlation according to Equation (3). Perhaps, the reason for the deviation of the empirical coefficients from those of the original values is that not too many long-chain species were included in the evaluation of Chickos and Acree [5,29]. It seems that for molecules with the monotonically growing alkyl chain, there are some peculiarities that should be taken into account. This observation should be validated with classes of organic compounds other than esters. However, since the triglycerides are most closely related to the long-chain esters, we decided to apply Equation (3) to estimate the Δ l g C p , m o -values for this class as well.
Now, the molar heat capacities C p , m o (liq) of triglycerides are required to apply Equation (3) and calculate the desired Δ l g C p , m o -values for the temperature adjustment of vaporisation enthalpies. The compilation of the C p , m o (liq)-values available in the literature is given in Table 3.
As can be seen from Table 3, the data available are very limited, so it makes sense to approximate the available data as a function of chain length and use interpolation and extrapolation to estimate the heat capacities required. For homologous series, a linear correlation of the C p , m o ( liq ) -values with chain length is usually expected. For example, a good quality correlation was found for the linear aliphatic esters (see Table S6). To our surprise, the dependence of the heat capacity on the chain length for triglycerides is not linear and was approximated with the following polynomial:
C p , m o ( liq ,   298.15   K )   = 4.7021   ×   N C 2 + 21.0   ×   N C + 387.4   ( with   R 2 = 0.9972 )
This correlation was used to estimate the missing heat capacities of triglycerides (see Table 3) and finally the heat capacity differences, Δ l g C p , m o , for each triglyceride were calculated using Equation (3). The latter values and Equation (1) have enabled the uniform adjustment of our own and the literature data to the reference temperature T = 298.15 K and these Δ l g H m o (298.15 K) results are now available for comparison and evaluation (see Table 1 and Table 2, column 5).

3.3. Evaluation of Δ l g H m o (298.15 K)-Values of Triglycerides

A comparison of the Δ l g H m o (298.15 K)-values for the relatively short chained triglycerides TG 202020, TG 303030, and for TG 404040 demonstrates generally good agreement for each molecule. Unfortunately, only single experimental values are available for TG 505050 and TG 707070, which makes these results questionable without further validation. For TG 606060 the range of available experimental vaporization enthalpies from 106 to 131 kJ mol−1 makes it difficult to select a reliable value. The same ambiguity is for TG 808080, where the spread of the available experimental vaporization enthalpies ranges from 132 to 159 kJ mol−1.
As can be seen from Table 2, the literature results of both TGA modifications (isothermal and non-isothermal) provide the higher and the lower values from this range of vaporisation enthalpies. In contrast to this, the results of the conventional static and transpiration method, as well as from the ITGA method carried out in this work are definitely close to the lower level of the values collected for TG 808080. The same trend is also observed for TG 100100100 where the static method, transpiration, QCM, and our ITGA show fairly similar results. At the same time, the literature modifications of the TGA provide significantly higher values (see Table 1). The wide spread of the literature TGA results can most likely be explained by the fact that this work [18,19,20,21,22,23] was published more than 20 years ago, when the development of this method for determining evaporation was still in its infancy. The process and the limits of the TGA method were not sufficiently known at the time. This statement is based on our extended investigation of the I-TGA method in relation to measurements with heavy volatile compounds [9]. In this work, we develop structure-property correlations to determine the general level of experimental enthalpies of vaporization. These correlations were very helpful in establishing consistency in the enthalpy of vaporization data for the entire TG set. For this reason, we have chosen to avoid averaging the ‘experimental’ and ‘estimated’ results. For example, for TG 707070, TG 120120120 and TG 180180180 the available experimental data did not agree with the general trend developed for the TG set. For this reason, averaging the “estimated” data was the only option to get the reasonable result for the particular TG.
The volatility of the triglycerides decreased dramatically with the lengthening of the alkyl chains, that is why all TGA results for TG 120120120 provide unexpectedly high vaporisation enthalpies. The same conclusion applies for TG 140100100 TG 160100100 and TG 180100100 (see Table 1). Therefore, for the latter series of the long-chained glycerides, only results from QCM and static methods (with the exception for TG 180180180) could be considered as reliable.
For the triglycerides with the non-linear alkyl chains (branched or phenyl substituted) collected in Table 2, only single experimental values are available for each compound. Therefore, the quality of these results is questionable although the data were measured using conventional methods (transpiration, QCM, and static method).

3.4. Validation of Vaporisation Enthalpies

The significant disagreement among the available Δ l g H m o (298.15 K)-datasets for most of the triglycerides compiled in Table 1 and Table 2 has prompted the extended validation using structure–property correlations, e.g., with the chain length dependence or using the correlation between vaporisation enthalpy and retention indices, or boiling temperatures of triglycerides. Results of these validations are given below.

3.4.1. Structure–Property Correlations: Chain-Length Dependence

The linear correlation of Δ l g H m o (298.15 K)-values with the number of carbon atoms in the alkyl chain within the homologue series of organic compounds is well-established phenomenon, e.g., for the series of aliphatic linear esters (see Table S6). We also correlated the Δ l g H m o (298.15 K)-values for triglycerides (evaluated in Table 1) with the total number of carbon atoms, nc, in the triglyceride. The following correlation was obtained (see Table 4):
Δ l g H m o ( 298.15   K ) / ( kJ · mol 1 ) = 50.7 + 3.18   ×   n c   with   ( R 2 = 0.9981 )
The relatively high correlation coefficient R2 was evidence of a good consistency of the experimental data evaluated in Table 1 and approximated by Equation (5).
As it apparent from Table 4 the differences between the experimental and “theoretical” vaporisation enthalpies are mostly below 3 kJ·mol−1. The uncertainties of ±3.0 kJ·mol−1 (0.95 level of confidence, k = 2) were assigned to the enthalpies of vaporisation, which were estimated from the correlation of Δ l g H m o (298.15 K) with the number of C-atoms in the triglyceride. The “theoretical” results derived from Equation (5) are given in Table 1 labelled as nc.

3.4.2. Structure–Property Correlations: Correlation with the Retention Indices Jx

The correlation of Δ l g H m o (298.15 K) with the retention indices is also well-known tool to establish internal consistency within a set of structurally parent compounds, particularly the homologous series. The linear correlations are typical for different classes of organic compounds, e.g., alkyl-imidazoles [31], alkylbenzenes [32], and nitriles [33]. We have correlated the vaporisation enthalpies evaluated in Table 1 for the linear triglycerides and in Table 2 for the branched triglycerides with the data on Kovats indices, Jx, available from the literature [15,34]. The compilation of the data used for this correlation is given in Table 5.
The following linear correlation was found between the Δ l g H m o (298.15 K)-values of triglycerides and the Jx-values:
Δ l g H m o ( 298.15   K ) / ( kJ · mol 1 ) = 35.6 + 0.0344   ×   J x   with   ( R 2 = 0.9972 )
The high correlation coefficient R2 of Equation (6) indicated the reliability of the vaporisation enthalpies evaluated in Table 1 and Table 2. We used Equation (6) to predict vaporisation enthalpies of five triglycerides (given in Table 5 in italic), where retention indices were available, but the experimental data were of questionable quality. As is obvious from Table 5, the differences between the experimental and “theoretical” vaporisation enthalpies are mostly below 3 kJ·mol1. Therefore, the uncertainties of ±3.0 kJ·mol1 (0.95 level of confidence, k = 2) were assigned to the enthalpies of vaporisation, which are estimated from the correlation of Δ l g H m o (298.15 K) with Kovats indices. The “theoretical” results derived from Equation (6) are given in Table 4 and labelled as Jx.

3.4.3. Structure–Property Correlations: Correlation with Normal Boiling Temperatures Tb

The correlation of Δ l g H m o (298.15 K) with normal boiling temperatures, Tb, was additionally examined to validate vaporisation enthalpies of triglycerides evaluated in Table 1 and Table 2. Such a correlation is usually expected to be linear, particularly within the homologous series. The triglycerides are generally thermally stable compounds; however, due to very high boiling points, data at standard pressure are limited. The normal boiling temperatures, Tb, of triglycerides have been compiled from the literature [35,36]. The data taken into correlation and results are given in Table 6.
It has been found that the Δ l g H m o (298.15 K)-values of triglycerides are also linearly correlated with the Tb-values:
Δ l g H m o ( 298.15   K ) / ( kJ · mol 1 ) = 112.1 + 0.3591   ×   T b   with   ( R 2 = 0.9989 )
The high correlation coefficient R2 in Equation (7) supports the reliability of vaporisation enthalpies evaluated in Table 1 and Table 2. Indeed, the vaporisation enthalpies derived from the correlation with the boiling temperatures are in a good agreement with the experiment. This good agreement can therefore be considered as an additional validation of the experimental data for the Δ l g H m o (298.15 K) evaluated in this work (see Table 1 and Table 2). The differences between the theoretical and experimental values are at the level of 2 kJ·mol1. However, considering a very limited set of experimental data included in the correlation, the uncertainties in the enthalpies of vaporisation estimated from the Δ l g H m o (298.15 K)—Tb correlation were evaluated to be ±3.0 kJ·mol1 (0.95 level of confidence, k = 2). We used Equation (7) to assess the vaporisation enthalpy of TG 707070 (given in Table 5 in italic), where the experimental result seems to be inconsistent with other available data. The results of the Δ l g H m o (298.15 K)—Tb correlation are labelled as Tb and given in Table 1 and Table 2 for general comparison of the methods.
Finally, three independent structure–property correlations of vaporisation enthalpies with chain length, retention indices, and boiling temperatures have demonstrated sufficient internal consistency of the data analysis performed in Table 1 and Table 2. These results are valuable for validating the level of enthalpies of vaporisation available from other methods, particularly for long-chain triglycerides, where the experimental data are in disarray. As can be seen in Table 1 and Table 2, the results of the structure–property correlations labelled nc, Jx and Tb agree, within the assigned uncertainties, with the evaluated experimental data (highlighted in bold). Therefore, these evaluated Δ l g H m o (298.15 K)-values and given in bold can be recommended for thermochemical calculations.

3.5. Can the Group Additivity Method Predict Vaporisation Enthalpies of Triglycerides?

Group additivity (GA) methods are also a type of structure–property relationships [37,38]. The enthalpies of vaporisation of a set of molecules with reliable data are usually split up into the smallest possible groups, like “LEGO®” building blocks. Using the matrix calculations, each group obtains a well-defined numerical contribution. The prediction of the vaporisation enthalpy is then a construction of the molecule from the building blocks, collecting the energetics of a molecule from the appropriate number and type of bricks. In general, using this method for large molecules is impractical due to too many building blocks. To overcome this disadvantage, we develop a general approach to estimate vaporisation enthalpies based on a so-called “centerpiece” molecule [39,40]. The idea of the “centerpiece” approach is to start the prediction with a potentially large “core” molecule that can generally mimic the structure of the molecule of interest, but at the same time must have a reliable vaporisation enthalpy. The triglycerides are predestined for such an approach. The visualisation of the “centerpiece” approach for triglycerides is given in Figure 2.
Indeed, the TG 202020 as the “centerpiece” model already bears the main energetic contributions to the vaporisation enthalpy specific for triglycerides. In order to obtain the “centerpiece” suitable for GA calculations we need only to cut three methyl groups (C-(C)(H)3) from the TG 202020 (see Figure 3, left).
Such a bulk fragment (TriGlycerides or FTG) and its energetic contribution are specific for triglycerides and hardly can be captured by any other method. This special feature of the “centerpiece” approach significantly increases the reliability of the property prediction for similarly shaped molecules, e.g., TG 606060 (see Figure 3, right), where substituents with the known contributions to the vaporisation enthalpy are simply attached to the FTG as the “centerpiece”. The group contribution values, which are specific for alkanes C-(C)(H3), C-(C2)(H2), as well as the contribution C-(C)(H)2(CO2) specific for the methylene-group attached to the carbonyl-group are well established [14]. The contributions (C-C)1-4 and (C-CO)1–4 are additional correction terms for the 1–4 “gauche” interactions of carbon atoms along the alkyl chain. The details on these 1–4 C-C interactions are described elsewhere [38,41]. The schematic representation of the group-contributions involved in this study is shown in Table 7. The numerical values for these contributions were developed in our previous work [14] and are also given in Table 7.
Using the group additivity contributions given in Table 7, the predicted Δ l g H m o (298.15 K)-values for triglycerides under study were calculated and the results are given in Table 2, Table 8 and Table S7).
Even a quick look at results given in Table 8 can reveal that the “centerpiece” approach systematically overestimates the vaporisation enthalpies. It is noticeable that the overestimation is increasing with the growing chain-length of the triglycerides. It is obvious that the GA method has completely failed to predict the vaporisation enthalpies of triglycerides. Is there an explanation for this phenomenon? The answer is discussed in the following section.

3.6. Non-Covalent Dispersion Interactions in Triglycerides

As a matter of fact, the GA methods are not only a suitable tool to predict molecular energetics, but also a tool to detect unusual energetic effects. When the experimental and additive results show significant discrepancies, it is best to look for specific interactions causing the deviation from additivity (assuming the experimental result is reliable). In the case of triglycerides, we validated the experimental vaporisation enthalpies with different structure–property correlations. In what follows, the profound deviation from additivity observed in Section 3.5 should only be caused by overlooked interactions specific to these long-chained molecules. Basically, the standard molar vaporisation enthalpy, Δ l g H m o , is the portion of energy (enthalpy) required to transfer 1 mole of the liquid compound to a gaseous state. Thus, the vaporisation enthalpy can be taken as a measure of the overall attractive forces between the molecules in the liquid state. If these attractive interactions are responsible for significant interlinking of alkyl chains in the liquid phase, the energy required to take out the triglyceride with the interlocked chains from the liquid to the gas phase should be higher and the corresponding enthalpy of vaporisation greater in comparison to the additive value. Therefore, the relative decrease in the experimental vaporisation enthalpy can only be explained by assuming that the attractive forces are partially entrained into the gas phase. In this case, the attractive dispersion interactions between chains in the gas phase could be a plausible explanation for the deviation from additivity, since these specific non-covalent dispersion interactions are not considered in the GA parameterization. The existence of such dispersion-stabilized conformers in the gas phase has been theoretically supported by quantum chemical calculations [42]. Structural optimization of the long-chain triglycerides with MOPAC-PM7 showed that the most stable forms are folded conformers with three parallel chains that interact [43]. Similar to linear alkanes, folded configurations are favoured over extended star conformers [44,45]. Two possible structures of dispersion-stabilized conformers are shown in Figure 4, where the attraction of alkyl chains in the gas phase due to dispersion forces is evident.
After qualitatively demonstrating the existence of dispersion forces, we used the results in Table 8 to quantitatively assess the strength of this interaction. To quantify the dispersion interactions in triglycerides, we assume that the differences between experimental enthalpies of vaporisation and additive values reflect the amount of non-additive forces (denoted as Edisp, see Table 8 and Figure 5).
It is quite obvious that the differences, Edisp, do not represent the total energy of the dispersion forces between alkyl chains in triglycerides. Nonetheless, Edisp-values can be considered as an energy differences originating from dispersion forces between the three arms of the triglyceride, and the vaporisation enthalpies provide a reliable measure of dispersion forces in triglycerides. Therefore, the dramatic increase (from −0.7 kJ mol−1 for TG 303030 to −69.4 kJ mol−1 in TG 180180180) in dispersion interactions with growing chains length can now be conceptually explained and understood. Indeed, in a homologous series of methyl alkanoates, although the enthalpies of vaporisation logically increase with growing chain length (see Table 8 and Figure 5), the differences between the experimental and additive values that account for dispersion interactions hardly increase with increasing chain length. Thus, the dispersion interactions appear to be negligible for methyl alkanoates but not in triglycerides.
How does alkyl chain branching affect dispersion interactions between alkyl chains in the triglycerides? To answer this question, we calculated the additive enthalpies of vaporisation, Δ l g H m o (298.15 K), for all entries in Table 2. A comparison of the recommended (given in bold) experimental and additive enthalpies of vaporisation, Δ l g H m o (298.15 K), reveals that the values for glycerol tri(2-methylpropanoate) and glycerol tri(3-methylbutanoate) are very close (within their uncertainties, hence the dispersion forces are small, since the branching of the chains precludes close approximation of chains. The difference between additive and experimental values of −6.8 kJ mol−1 for glycerol tri(2,2-dimethylpropanoate) indicates noticeable stabilization despite the steric interactions of bulky substituents. However, such an interesting phenomenon has already been considered specific, as shown for tert-butyl-substituted alkanes [2]. For the glycerol tribenzoate the stabilization of −9.3 kJ mol−1 could be explained by the π–π attractive interaction of the benzene rings attached to the TG moiety. The profound stabilization of −44 kJ mol−1 observed for glycerol trierucate (TG 221,221,221) appears due to dispersive interactions of the long alkyl chains. However, this stabilization is less intensive than expected from the E disp trend obvious from Table 8. It appears that the double bonds present in the alkyl chains screw them and reduce the spatial possibilities for the attractive dispersion forces.
To draw a practical conclusion from this study, we failed to develop the group contribution method for predicting the vaporisation enthalpies of triglycerides because the non-covalent dispersion interactions are unique to each triglyceride and increase with increasing chain length. Nonetheless, the critical evaluation and validation of the vaporisation thermodynamics of triglycerides has enabled a qualitative and quantitative understanding of the reasons for these dispersion forces.

Supplementary Materials

The following supporting information can be downloaded at: https://www.mdpi.com/article/10.3390/thermo2030018/s1, Figure S1: Schematic explanation of the TG abbreviations; Table S1: Results of transpiration method for triglycerides measured in this work: absolute vapour pressures p, standard molar vaporisation enthalpies and standard molar vaporisation entropies; Figure S2: The scheme of the QCM experimental setup from; Table S2: The experimental mass loss rates and vapour pressures determined for TG100100100 and TG160160160 with QCM technique; Table S3: The experimental mass loss rates and vapour pressure determined for TG808080 and TG100100100 with the I-TGA technique; Table S4: Vapour pressures p, standard ( p o = 0.1 MPa) molar vaporisation enthalpies, Δ l g H m o , and standard ( p o = 0.1 MPa) molar vaporisation entropies, Δ l g S m o obtained by the approximation of data collected from SciFinder; Table S5: Compilation of data on molar heat capacities C p , m o (liq) and heat capacity differences Δ l g C p , m o for the linear aliphatic esters at T = 298.15 K (in J.K−1.mol−1); Table S6: The chain length dependence of the molar heat capacities C p , m o (liq) for the linear aliphatic esters at T = 298.15 K (in J.K−1.mol−1); Table S7: Comparison of experimental and additive enthalpies of vaporisation, Δ l g H m o (298.15 K), for triglycerides with the linear saturated alkyl chains (in kJ.mol−1) [3,4,6,8,9,46,47,48,49,50,51].

Author Contributions

Conceptualization, S.P.V. and R.N.N.; methodology, S.P.V. and R.N.N.; validation, R.N.N.; formal analysis, R.N.N.; writing—original draft preparation, S.P.V. and R.N.N.; writing—review and editing, S.P.V. and R.N.N.; funding acquisition, S.P.V. All authors have read and agreed to the published version of the manuscript.

Funding

EU Project “Metrology of biofuels”, German Science Foundation (DFG) in the frame of SPP 1807 “Control of London Dispersion Interactions in Molecular Chemistry” (grant VE 265-9/2), and Kazan Federal University Strategic Academic Leadership Program (“PRIORITY-2030”).

Data Availability Statement

Data supporting reported results can be found in the supplementary materials to this paper.

Acknowledgments

We gratefully acknowledge the contributions of V.N. Emel´yanenko and D.H. Zaitsau for assistance in the thermochemical experiments.

Conflicts of Interest

The authors declare no conflict of interest.

References

  1. Wagner, J.P.; Schreiner, P.R. London Dispersion in Molecular Chemistry-Reconsidering Steric Effects. Angew. Chem. Int. Ed. 2015, 54, 12274–12296. [Google Scholar]
  2. Verevkin, S.P.; Kondratev, S.O.; Zaitsau, D.H.; Zherikova, K.V.; Ludwig, R. Quantification and understanding of non-covalent interactions in molecular and ionic systems: Dispersion interactions and hydrogen bonding analysed by thermodynamic methods. J. Mol. Liq. 2021, 343, 117547. [Google Scholar]
  3. Zaitsau, D.H.; Pimerzin, A.A.; Verevkin, S.P. Fatty acids methyl esters: Complementary measurements and comprehensive analysis of vaporization thermodynamics. J. Chem. Thermodyn. 2019, 132, 322–340. [Google Scholar]
  4. Brinkmann, J.; Luebbert, C.; Zaitsau, D.H.; Verevkin, S.P.; Sadowski, G. Thermodynamic Modeling of Triglycerides using PC-SAFT. J. Chem. Eng. Data 2019, 64, 1446–1453. [Google Scholar]
  5. Acree, W., Jr.; Chickos, J.S. Phase Transition Enthalpy Measurements of Organic and Organometallic Compounds. Sublimation, Vaporization and Fusion Enthalpies from 1880 to 2015. Part 1. C1–C10. J. Phys. Chem. Ref. Data 2016, 45, 033101. [Google Scholar]
  6. Verevkin, S.P.; Emel’yanenko, V.N. Transpiration method: Vapor pressures and enthalpies of vaporization of some low-boiling esters. Fluid Phase Equilibr. 2008, 266, 64–75. [Google Scholar]
  7. Kulikov, D.; Verevkin, S.P.; Heintz, A. Enthalpies of vaporization of a series of aliphatic alcohols: Experimental results and values predicted by the ERAS-model. Fluid Phase Equilibr. 2001, 192, 187–207. [Google Scholar]
  8. Verevkin, S.P.; Zaitsau, D.H.; Emel’yanenko, V.N.; Heintz, A. A New Method for the Determination of Vaporization Enthalpies of Ionic Liquids at Low Temperatures. J. Phys. Chem. B 2011, 115, 12889–12895. [Google Scholar]
  9. Verevkin, S.P.; Ralys, R.V.; Zaitsau, D.H.; Emel’yanenko, V.N.; Schick, C. Express thermo-gravimetric method for the vaporization enthalpies appraisal for very low volatile molecular and ionic compounds. Thermochim. Acta 2012, 538, 55–62. [Google Scholar]
  10. Woodman, A.L.; Adicoff, A. Vapor Pressure of Tiracetin, Triethylene Glycol Dinitrate, and Metriol Trinitrate. J. Chem. Eng. Data 1963, 8, 241–242. [Google Scholar]
  11. Fuchs, R.; Peacock, L.A. Heats of vaporization of esters by the gas chromatography–calorimetry method. Can. J. Chem. 1980, 58, 2796–2799. [Google Scholar] [CrossRef]
  12. Nilsson, S.O.; Wadsö, I. Thermodynamic properties of some mono-, di-, and tri-esters enthalpies of solution in water at 288.15 to 318.15 K and enthalpies of vaporization and heat capacities at 298.15 K. J. Chem. Thermodyn. 1986, 18, 673–681. [Google Scholar] [CrossRef]
  13. Daubert, T.E.; Hutchison, G. Vapor pressure of 18 pure industrial chemicals. AIChE 1990, 86, 93–114. [Google Scholar]
  14. Verevkin, S.P.; Emel’yanenko, V.N.; Toktonov, A.V.; Leolko, A.S.; Duwensee, J.; Kragl, U.; Sarge, S.M. Thermochemical and Ab Initio Studies of Biodiesel Fuel Surrogates: 1,2,3-Propanetriol Triacetate, 1,2-Ethanediol Diacetate, and 1,2-Ethanediol Monoacetate. Ind. Eng. Chem. Res. 2009, 48, 7388–7399. [Google Scholar] [CrossRef]
  15. Maslakova, A.S.; Krasnykh, E.L.; Levanova, S.V. Saturated vapor pressures and enthalpies of evaporation of esters of glycerol and lower carboxylic acids. Rus. J. Phys. Chem. A 2010, 84, 163–168. [Google Scholar] [CrossRef]
  16. Stephenson, R.M.; Malanowski, S. Handbook of the Thermodynamics of Organic Compounds; Springer: Dordrecht, The Netherlands, 1987; p. 552. [Google Scholar]
  17. Perry, E.S.; Weber, W.H.; Daubert, B.F. Vapor Pressures of Phlegmatic Liquids. I. Simple and Mixed Triglycerides. J. Am. Chem. Soc. 1949, 71, 3720–3726. [Google Scholar] [CrossRef]
  18. Kishore, K.; Shobha, H.K.; Mattamal, G.J. Structural effects on the vaporization of high molecular weight esters. J. Phys. Chem. 1990, 94, 1642–1648. [Google Scholar] [CrossRef]
  19. Goodrum, J.W.; Eiteman, M.A. Physical properties of low molecular weight triglycerides for the development of bio-diesel fuel models. Bioresour. Technol. 1996, 56, 55–60. [Google Scholar] [CrossRef]
  20. Goodrum, J.W.; Siesel, E.M. Thermogravimetric analysis for boiling points and vapour pressure. J. Therm. Anal. 1996, 46, 1251–1258. [Google Scholar] [CrossRef]
  21. Phillips, J.C. Enthalpies of vaporization of oligomers of poly(hexamethylene sebacate) and esters of alkylcarboxylic acids. J. Appl. Polym. Sci. 1998, 70, 731–746. [Google Scholar] [CrossRef]
  22. Karis, T.E.; Nagaraj, H.S. Evaporation and Flow Properties of Several Hydrocarbon Oils. Tribol. Trans. 2000, 43, 758–766. [Google Scholar]
  23. Krop, H.B.; Velzen, M.J.M.V.; Parsons, J.R.; Govers, H.A.J. Determination of environmentally relevant physical-chemical properties of some fatty acid esters. J. Amer. Oil Chem. Soc. 1997, 74, 309–315. [Google Scholar] [CrossRef]
  24. Goodrum, J.W.; Geller, D.P.; Lee, S.A. Rapid measurement of boiling points and vapor pressure of binary mixtures of short-chain triglycerides by TGA method. Thermochim. Acta 1998, 311, 71–79. [Google Scholar] [CrossRef]
  25. Bureau, N.; Jose, J.; Mokbel, I.; de Hemptinne, J.C. Vapour pressure measurements and prediction for heavy esters. J. Chem. Thermodyn. 2001, 33, 1485–1498. [Google Scholar] [CrossRef]
  26. Goodrum, J.W.; Geller, D.P. Rapid thermogravimetric measurements of boiling points and vapor pressure of saturated medium- and long-chain triglycerides. Bioresour. Technol. 2002, 84, 75–80. [Google Scholar] [CrossRef]
  27. Zherikova, K.V.; Verevkin, S.P. Ferrocene: Temperature adjustments of sublimation and vaporization enthalpies. Fluid Phase Equilibr. 2018, 472, 196–203. [Google Scholar] [CrossRef]
  28. Verevkin, S.P.; Zaitsau, D.H.; Emel’yanenko, V.N.; Yermalayeu, A.V.; Schick, C.; Liu, H.; Maginn, E.J.; Bulut, S.; Krossing, I.; Kalb, R. Making Sense of Enthalpy of Vaporization Trends for Ionic Liquids: New Experimental and Simulation Data Show a Simple Linear Relationship and Help Reconcile Previous Data. J. Phys. Chem. B 2013, 117, 6473–6486. [Google Scholar] [CrossRef]
  29. Chickos, J.S.; Acree, W.E., Jr. Enthalpies of Vaporization of Organic and Organometallic Compounds, 1880–2002. J. Phys. Chem. Ref. Data 2003, 32, 519–878. [Google Scholar] [CrossRef]
  30. Bogatishcheva, N.S.; Faizullin, M.Z.; Popov, A.P.; Nikitin, E.D. Critical properties, heat capacities, and thermal diffusivities of four saturated triglycerides. J. Chem. Thermodyn. 2017, 113, 308–314. [Google Scholar] [CrossRef]
  31. Emel’yanenko, V.N.; Portnova, S.V.; Verevkin, S.P.; Skrzypczak, A.; Schubert, T. Building blocks for ionic liquids: Vapor pressures and vaporization enthalpies of 1-(n-alkyl)-imidazoles. J. Chem. Thermodyn. 2011, 43, 1500–1505. [Google Scholar] [CrossRef]
  32. Verevkin, S.P. Vapour pressures and enthalpies of vaporization of a series of the linear n-alkyl-benzenes. J. Chem. Thermodyn. 2006, 38, 1111–1123. [Google Scholar] [CrossRef]
  33. Emel’yanenko, V.N.; Verevkin, S.P.; Koutek, B.; Doubsky, J. Vapour pressures and enthalpies of vapourization of a series of the linear aliphatic nitriles. J. Chem. Thermodyn. 2005, 37, 73–81. [Google Scholar] [CrossRef]
  34. Andriamaharavo, N.R. Retention Data; NIST Mass Spectrometry Data Center: Gaithersburg, USA, 2014. [Google Scholar]
  35. Cunico, L.P.; Hukkerikar, A.S.; Ceriani, R.; Sarup, B.; Gani, R. Molecular structure-based methods of property prediction in application to lipids: A review and refinement. Fluid Phase Equilibr. 2013, 357, 2–18. [Google Scholar] [CrossRef]
  36. Wallek, T.; Rarey, J.; Metzger, J.O.; Gmehling, J. Estimation of Pure-Component Properties of Biodiesel-Related Components: Fatty Acid Methyl Esters, Fatty Acids, and Triglycerides. Ind. Eng. Chem. Res. 2013, 52, 16966–16978. [Google Scholar] [CrossRef]
  37. Benson, S.W. Thermochemical Kinetics: Methods for the Estimation of Thermochemical Data and Rate Parameters; Wiley: New York, NY, USA, 1976. [Google Scholar]
  38. Verevkin, S.P.; Emel’yanenko, V.N.; Diky, V.; Muzny, C.D.; Chirico, R.D.; Frenkel, M. New Group-Contribution Approach to Thermochemical Properties of Organic Compounds: Hydrocarbons and Oxygen-Containing Compounds. J. Phys. Chem. Ref. Data 2013, 42, 033102. [Google Scholar] [CrossRef]
  39. Verevkin, S.P.; Andreeva, I.V.; Emel’yanenko, V.N. Thermodynamic framework for the predicting the properties of amino-benzoic acids. J. Chem. Thermodyn. 2022, 166, 106689. [Google Scholar]
  40. Andreeva, I.V.; Verevkin, S.P. Thermochemistry of substituted benzenes: Acetophenones with methyl, ethyl, cyano and acetoxy substituents. J. Therm. Anal. Calorim. 2022. [Google Scholar] [CrossRef]
  41. Roganov, G.N.; Pisarev, P.N.; Emel’yanenko, V.N.; Verevkin, S.P. Measurement and Prediction of Thermochemical Properties. Improved Benson-Type Increments for the Estimation of Enthalpies of Vaporization and Standard Enthalpies of Formation of Aliphatic Alcohols. J. Chem. Eng. Data 2005, 50, 1114–1124. [Google Scholar] [CrossRef]
  42. Dimakopoulos, K.D.; Papageorgiou, D.G.; Demetropoulos, I.N. Triglyceride reference database: Large scale storage of 3D triglyceride conformers and web-based analysis tools. Mol. Simul. 2007, 33, 1057–1059. [Google Scholar] [CrossRef]
  43. Energies of Stable Conformers in Heavy Alkanes and Triglycerides Using MedeA. Mater. Des. Appl. Note 2022, 13851, 1–4. Available online: https://www.materialsdesign.com/all-application-notes/Alkane-Triglyceride-conformers (accessed on 31 July 2022).
  44. Brasiello, A.; Crescitelli, S.; Milano, G. Development of a coarse-grained model for simulations of tridecanoin liquid–solid phase transitions. Phys. Chem. Chem. Phys. 2011, 13, 16618–16628. [Google Scholar] [CrossRef] [PubMed]
  45. Sum, A.K.; Biddy, M.J.; De Pablo, J.J.; Tupy, M.J. Predictive Molecular Model for the Thermodynamic and Transport Properties of Triacylglycerols. J. Phys. Chem. B 2003, 107, 14443–14451. [Google Scholar] [CrossRef]
  46. Kulikov, D.; Verevkin, S.P.; Heintz, A. Determination of Vapor Pressures and Vaporization Enthalpies of the Aliphatic Branched C5 and C6 Alcohols. J. Chem. Eng. Data 2001, 46, 1593–1600. [Google Scholar]
  47. Verevkin, S.P.; Sazonova, A.Y.; Emel’yanenko, V.N.; Zaitsau, D.H.; Varfolomeev, M.A.; Solomonov, B.N.; Zherikova, K.V. Thermochemistry of Halogen-Substituted Methylbenzenes. J. Chem. Eng. Data 2015, 60, 89–103. [Google Scholar] [CrossRef]
  48. Emel’yanenko, V.N.; Verevkin, S.P. Benchmark thermodynamic properties of 1,3-propanediol: Comprehensive experimental and theoretical study. J. Chem. Thermodyn. 2015, 85, 111–119. [Google Scholar]
  49. Sauerbrey, G. Verwendung von Schwingquarzen zur Wägung dünner Schichten und zur Mikrowägung. Z. Physik. 1959, 155, 206–222. [Google Scholar] [CrossRef]
  50. Zaitsau, D.H.; Yermalayeu, A.V.; Emel’yanenko, V.N.; Butler, S.; Schubert, T.; Verevkin, S.P. Thermodynamics of Imidazolium-Based Ionic Liquids Containing PF6 Anions. J. Phys. Chem. B 2016, 120, 7949–7957. [Google Scholar]
  51. Available online: https://scifinder.cas.org (accessed on 31 July 2022).
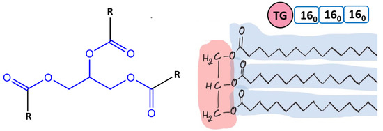
Figure 1. General structures (left) and abbreviation (right) of triglycerides evaluated in this work. The trivial names of the triglycerides such as triacetin, tricaprylin, tricaprin, and tripalmitin are somewhat awkward for systematic data analysis. In our opinion, the numerical description of the chain lengths attached to the glycerol moiety is more convenient. To keep consistency with our previous work [4], the designation of triglycerides has been ascribed as follows triacetin (TG 202020), tricaprylin (TG 808080), tricaprin (TG 100100100), and tripalmitin (TG 160160160). Such a designation is particularly useful when the triglyceride has double bonds in the alkyl chains (see Figure S1). To help readers, the IUPAC and the trivial nomenclatures are given for each triglyceride in the supplementary materials.
Figure 1. General structures (left) and abbreviation (right) of triglycerides evaluated in this work. The trivial names of the triglycerides such as triacetin, tricaprylin, tricaprin, and tripalmitin are somewhat awkward for systematic data analysis. In our opinion, the numerical description of the chain lengths attached to the glycerol moiety is more convenient. To keep consistency with our previous work [4], the designation of triglycerides has been ascribed as follows triacetin (TG 202020), tricaprylin (TG 808080), tricaprin (TG 100100100), and tripalmitin (TG 160160160). Such a designation is particularly useful when the triglyceride has double bonds in the alkyl chains (see Figure S1). To help readers, the IUPAC and the trivial nomenclatures are given for each triglyceride in the supplementary materials.
Thermo 02 00018 g001
Figure 2. The visualisation of the “centerpiece” approach for triglycerides.
Figure 2. The visualisation of the “centerpiece” approach for triglycerides.
Thermo 02 00018 g002
Figure 3. Development of the “centerpiece” fragment FTG from glycerol triacetate (left) and a group-additivity calculation of Δ l g H m o (298.15 K) for glycerol trihexanoate (TG 606060) as an example (right).
Figure 3. Development of the “centerpiece” fragment FTG from glycerol triacetate (left) and a group-additivity calculation of Δ l g H m o (298.15 K) for glycerol trihexanoate (TG 606060) as an example (right).
Thermo 02 00018 g003
Figure 4. Examples of possible dispersion-stabilized conformations for TG 808080.
Figure 4. Examples of possible dispersion-stabilized conformations for TG 808080.
Thermo 02 00018 g004
Figure 5. Comparison of amount of dispersion interactions (in kJ mol-1) in triglycerides (◦) and in methyl alkanoates (●).
Figure 5. Comparison of amount of dispersion interactions (in kJ mol-1) in triglycerides (◦) and in methyl alkanoates (●).
Thermo 02 00018 g005
Table 1. Compilation of available enthalpies of vaporisation Δ l g H m o of linear triglycerides.
Table 1. Compilation of available enthalpies of vaporisation Δ l g H m o of linear triglycerides.
CompoundMethod aT-Range Δ l g H m o ( T av ) Δ l g H m o ( 298.15   K ) Ref.
CAS KkJ·mol−1kJ·mol−1
TG 202020S284.2–318.282.0 ± 0.582.3 ± 0.6[10]
102-76-1C298.15 83.4 ± 2.0[11]
triacetinC298.15 (85.7 ± 0.6)[12]
E439.5–590.259.7 ± 0.978.7 ± 3.9[13]
T320.1–360.977.1 ± 0.480.8 ± 0.5[14]
T300.2–328.282.3 ± 0.883.6 ± 0.9[15]
T318.1–362.976.4 ± 0.580.2 ± 0.9Table S1
81.5 ± 0.3 baverage
nc 79.3 ± 3.0Table 4
Jx 80.3 ± 3.0Table 5
Tb 79.4 ± 3.0Table 6
TG 303030T304.2–337.288.1 ± 0.490.3 ± 0.5[15]
139-45-7BP403–54577.1 ± 1.894.7 ± 3.9Table S4
tripropionin 90.4 ± 0.5 baverage
nc 88.9 ± 3.0Table 4
Jx 89.5 ± 3.0Table 5
Tb 90.2 ± 3.0Table 6
TG 404040C298.15 107.1 ± 5.0[12]
60-01-5S318–36481.2 ± 3.0(86.2 ± 3.2)[16,17]
tributyrinITGA349.399.9 ± 3.5105.6 ± 3.7[18]
TGA323–59378.4 ± 5.094.1 ± 5.9[19]
NTGA476.8–584.478.4 ± 0.7105.5 ± 5.5[20]
NTGA308.683.5 ± 0.4(84.8 ± 2.5)[21]
ITGA37384.9 ± 3.593.8 ± 3.9[22]
T324.2–354.292.2 ± 0.597.1 ± 0.6[15]
BP394–58381.4 ± 0.7102.7 ± 4.3Table S4
97.5 ± 0.6 baverage
nc 98.4 ± 3.0Table 4
Jx 98.1 ± 3.0Table 5
Tb 97.4 ± 3.0Table 6
TG 505050T340.0–370.097.5 ± 0.5104.8 ± 0.6[15]
620-68-8nc 107.9 ± 3.0Table 4
tripentanoinJx 107.5 ± 3.0Table 5
TG 606060S359–41094.0 ± 3.0(106.0 ± 3.8)[16,17]
621-70-5ITGA386.1118.7 ± 4.2(131.1 ± 4.9)[18]
tricaproninTGA353–65392.8 ± 5.0117.4 ± 7.0[19]
NTGA511.0–641.378.0 ± 2.6116.8 ± 8.2[23]
NTGA349.499.9 ± 2.2(107.1 ± 2.6)[21]
NTGA519.2–646.470.9 ± 5.0110.4 ± 9.3[24]
ITGA37396.4 ± 4.2(107.0 ± 4.7)[22]
BP428–63384.2 ± 3.3114.2 ± 5.6Table S4
114.9 ± 3.6 baverage
nc 117.5 ± 3.0Table 4
Jx 116.9 ± 3.0Table 5
Tb 115.3 ± 3.0Table 6
TG 707070S401.7–452.280.8 ± 1.6(100.9 ± 4.3)[25]
620-67-7nc 127.0 ± 3.0Table 4
triheptanoinJx 127.2 ± 3.0Table 5
Tb 126.8 ± 3.0Table 6
127.0 ± 1.7 baverage
TG 808080S396–453115.8 ± 3.0138.4 ± 5.4[16,17]
538-23-8ITGA411.4130.0 ± 4.6150.3 ± 6.1[18]
tricaprylinTGA398–623117.2 ± 5.3152.6 ± 8.8[19]
NTGA551.6–658.5103.8 ± 9.2158 ± 14[23]
NTGA386.2118.7 ± 4.7134.5 ± 5.7[21]
NTGA562.2–657.8104.0 ± 5.0159 ± 12[24]
ITGA373119.4 ± 4.6132.8 ± 5.3[22]
ITGA398.3–461.6111.7 ± 0.5135.0 ± 4.7Table S3
T403.2–448.2109.2 ± 0.5131.9 ± 1.4Table S1
134.1 ± 1.2 baverage
nc 136.6 ± 3.0Table 4
Jx 137.4 ± 3.0Table 5
Tb 136.1 ± 3.0Table 6
TG 100100100S437–485124.5 ± 3.0157.9 ± 7.3[16,17]
621-71-6ITGA437.9147.1 ± 5.1(175.7 ± 7.7)[18]
tridecanoinTGA443–673138.6 ± 5.0(189 ± 11)[19]
NTGA597.6–692.5130.3 ± 1.5(201 ± 14)[20]
NTGA411.5130.5 ± 7.0153.8 ± 8.4[21]
I-TGA427.9–491.6136.2 ± 0.5169.6 ± 4.7Table S3
QCM348.5–367.8154.5 ± 0.9166.7 ± 2.6Table S2
T418.2–468.2129.5 ± 0.8159.0 ± 1.0Table S1
160.1 ± 0.9 baverage
nc 155.6 ± 3.0Table 4
Jx 156.1 ± 3.0Table 5
TG 120120120S458–520137.4 ± 3.0(187 ± 10)[16,17]
538-24-9ITGA468.7155.8 ± 5.5(200 ± 10)[18]
trilaurinNTGA438.0147 ± 11(183 ± 13)[21]
NTGA615–667221 ± 10(310 ± 20)[26]
nc 174.7 ± 3.0Table 4
Jx 174.9 ± 3.0Table 5
174.9 ± 2.1 baverage
TG 140140140S458–520137.0 ± 3.0196.4 ± 12.1[16,17]
555-45-3ITGA483.1166.3 ± 5.8(224 ± 13)[18]
trimyristinNTGA468.9155.8 ± 15.9(209 ± 19)[21]
NTGA615–660198 ± 10(304 ± 23)[26]
nc 193.8 ± 3.0Table 4
Jx 194.0 ± 3.0Table 5
194.0 ± 2.1 baverage
TG 160160160S506–572160.6 ± 3.0(249 ± 18)[16,17]
555-44-2ITGA505.8174.9 ± 6.1(252 ± 17)[18]
tripalmitinNTGA483.2166 ± 20(235 ± 25)[21]
NTGA615–667474±19(601 ± 27)[26]
QCM384.9–433.2169.5 ± 4.2210.2 ± 9.2Table S2
nc 212.9 ± 3.0Table 4
Jx 213.0 ± 3.0Table 5
Tb 209.0 ± 3.0Table 6
211.6 ± 1.7 baverage
TG 180180180S521–588167.4 ± 3.0(182.9 ± 4.4)[16,17]
555-43-1NTGA505.9175 ± 23(267 ± 30)[18]
tristearinNTGA610–660221 ± 10(367 ± 31)[26]
nc 232.0 ± 3.0Table 4
Jx 232.1 ± 3.0Table 5
232.1 ± 2.1 baverage
a Methods: T = transpiration; S = static method; C = calorimetry; Jx—from correlation of experimental vaporisation enthalpies with Kovats indices (see text); BP—from experimental boiling temperatures reported at different pressures compiled from the literature (see Table S4); Tb = from correlation of vaporisation enthalpies with the normal boiling points; E = ebulliometry; ITGA = isothermal TGA; NTGA = non-isothermal TGA; QCM = quartz-crystal microbalance. Uncertainties in the temperature adjustment of vaporisation enthalpies, are estimates and amount to 20% of the total adjustment. b Weighted mean value (the uncertainty was taken as the weighing factor). Uncertainty of the vaporisation enthalpy is expressed as the expanded uncertainty (0.95 level of confidence, k = 2). Values in parentheses were not considered. Values highlighted in bold were recommended for thermochemical calculations.
Table 2. Compilation of available enthalpies of vaporisation Δ l g H m o of branched triglycerides.
Table 2. Compilation of available enthalpies of vaporisation Δ l g H m o of branched triglycerides.
CompoundM aT- Range Δ l g H m o ( T av ) Δ l g H m o ( 298.15   K ) Ref.
CAS KkJ·mol−1kJ·mol−1
glycerol triformateT307.2–333.276.6 ± 1.178.2 ± 1.2[15]
32765-69-8Jx 73.9 ± 3.0Table 5
GA 74.5 bthis work
glycerol tri(2-methylpropanoate)T329.1–371.287.8 ± 0.693.6 ± 0.7[15]
14295-64-8Jx 93.8 ± 3.0Table 5
GA 96.0 bthis work
glycerol tri(3-methylbutanoate)T341.0–369.096.2 ± 1.2104.0 ± 1.3[15]
620-63-3Jx 102.8 ± 3.0Table 5
Tb 105.5 ± 3.0Table 6
GA 104.1 bthis work
glycerol tri(2,2-dimethylpropanoate)T313.4–358.185.3 ± 0.890.2 ± 0.9[15]
58006-18-1Jx 96.1 ± 3.0Table 5
GA 97.0 bthis work
glycerol tribenzoateS423–476123.5 ± 3.0141.4 ± 4.7[16,17]
614-33-5GA 150.7 bthis work
glycerol trierucate (TG 221,221,221)QCM433.7–483.7215.0 ± 4.0310 ± 19[2]
2752-99-0GA 354.4 bthis work
a Methods: T = transpiration; S = static method; Jx—from correlation of experimental vaporisation enthalpies with Kovats’s indices (see text); Tb = from correlation of vaporisation enthalpies with the normal boiling points; GA = estimated using group-additivity (see text); QCM = quartz-crystal microbalance. Uncertainties in the temperature adjustment of vaporisation enthalpies, are estimates and amount to 20% of the total adjustment. b Calculated using increments listed in Table 7.
Table 3. Compilation of data on molar heat capacities C p , m o (liq) and heat capacity differences Δ l g C p , m o for triglycerides at T = 298.15 K (in J.K−1.mol−1).
Table 3. Compilation of data on molar heat capacities C p , m o (liq) and heat capacity differences Δ l g C p , m o for triglycerides at T = 298.15 K (in J.K−1.mol−1).
CompoundsNC a C p , m o ( liq ) Δ l g C p , m o c
glycerol triformate1284 b69
TG 2020202389.0 [12]88
TG 3030303481.3 [12]105
TG 4040404555.3 [12]118
glycerol tri(2-methylpropanoate)4561 b119
TG 5050505610 b128
glycerol tri(3-methylbutanoate)5657 b137
glycerol tri(2,2-dimethylpropanoate)5640 b134
TG 6060606682 b141
tribenzoin7555 b118
TG 7070707765 b157
TG 8080808886 [30]179
TG 100100100101028 [30]205
TG 120120120121322 [30]259
TG 140140140141608 [30]311
TG 160160160161926 b369
TG 180180180182288 b436
a The NC is the number of the carbon atoms in the single side chain. b Calculated with help of equation C p , m o ( liq ,   298.15   K ) = 4.7021 × N   C 2 + 21.0 × NC + 387.4 with R2 = 0.997, which was derived by approximation of experimental heat capacities given in this table in bold. c Calculated with help of equation Δ l g C p , m o   = 16.4 + 0.1833 ×   C p , m o ( liq ,   298.15   K ) with R2 = 0.979, which was derived by approximation of experimental Δ l g C p , m o -values for aliphatic long-chained esters [3].
Table 4. Chain-length dependence of the experimental enthalpies of vaporisation, Δ l g H m o (298.15), for triglycerides with the linear saturated alkyl chains (in kJ mol−1) a.
Table 4. Chain-length dependence of the experimental enthalpies of vaporisation, Δ l g H m o (298.15), for triglycerides with the linear saturated alkyl chains (in kJ mol−1) a.
Compoundnca Δ l g H m o ( 298.15   K ) exp   b Δ l g H m o ( 298.15   K ) calc   c Δ d
TG 202020981.5 ± 0.379.32.2
TG 3030301290.4 ± 0.588.81.6
TG 4040401597.5 ± 0.698.3−0.8
TG 50505018104.8 ± 0.6107.9−2.9
TG 60606021114.9 ± 3.6117.4−2.5
TG 70707024127.0 ± 1.7126.90.1
TG 80808027134.1 ± 1.2136.5−2.4
TG 10010010033160.1 ± 0.9155.54.6
TG 12012012039174.9 ± 2.1174.60.3
TG 14014014045194.0 ± 2.1193.60.6
TG 16016016051211.6 ± 1.7212.7−1.7
TG 18018018057232.1 ± 2.1231.70.4
a Total number of carbon atoms in the triglyceride. b Values evaluated and recommended (given in bold) in Table 1. Uncertainty of the vaporisation enthalpy is expressed as the expanded uncertainty (0.95 level of confidence, k = 2). c Difference between column 3 and 4 in this table. d Calculated using Equation (5) with the assessed expanded uncertainty of ±3.0 kJ·mol−1.
Table 5. Correlation of vaporisation enthalpies, Δ l g H m o (298.15 K), of triglycerides with their Kovats indices (Jx).
Table 5. Correlation of vaporisation enthalpies, Δ l g H m o (298.15 K), of triglycerides with their Kovats indices (Jx).
ncaJx b Δ l g H m o ( 298.15   K ) exp   c Δ l g H m o ( 298.15   K ) calc   d Δ e
Compound kJ·mol−1kJ·mol−1kJ·mol−1
glycerol triformate61112 73.9
TG 2020209129981.5 ± 0.380.31.2
TG 30303012156790.4 ± 0.589.50.9
TG 40404015181697.5 ± 0.698.1−0.6
glycerol tri(2-methylpropanoate)15169293.6 ± 0.793.8−0.2
TG 505050182089104.8 ± 0.6107.5−2.7
glycerol tri(3-methylbutanoate)181953104.0 ± 1.3102.81.2
glycerol tri(2,2-dimethylpropanoate)181759 96.1
TG 606060212363114.9 ± 3.6116.9−2.0
TG 707070242664 127.2
TG 808080272958134.1 ± 1.2137.4−3.3
TG 100100100333504160.1 ± 0.9156.14.0
TG 120120120394050 174.9
TG 140140140454604196.4 ± 12.1 [16]194.02.4
TG 160160160515158210.2 ± 9.2 [Table S2]213.0−2.8
TG 180180180575713 232.1
a Total number of carbon atoms in the triglyceride. b Kovats indices, Jx, on the non-polar column OV-101 [15,34]. c Experimental data evaluated in Table 1 and Table 2. Uncertainty of the vaporisation enthalpy is expressed as the expanded uncertainty (0.95 level of confidence, k = 2). d Calculated using Equation (6) with the assessed expanded uncertainty of ±3.0 kJ·mol1. Values given in italic were used for comparison with the expeimenetal results in Table 1. e Difference between column 4 and 5 in this table.
Table 6. Correlation of vaporisation enthalpies, Δ l g H m o (298.15 K), of triglycerides with their normal boiling temperatures (Tb).
Table 6. Correlation of vaporisation enthalpies, Δ l g H m o (298.15 K), of triglycerides with their normal boiling temperatures (Tb).
Tb a Δ l g H m o ( 298.15   K ) exp   b Δ l g H m o ( 298.15   K ) calc   c Δ d
CompoundKkJ·mol−1kJ·mol−1kJ·mol−1
TG 202020533 [35]81.5 ± 0.379.32.2
TG 303030563 [35]90.4 ± 0.590.10.3
TG 404040583 [36]97.5 ± 0.697.30.2
glycerol tri(3-methylbutanoate)606 [36]104.0 ± 1.3105.5−1.5
TG 606060633 [36]114.9 ± 3.6115.2−0.3
TG 707070665 [36] 126.7
TG 808080691 [36]134.1 ± 1.2136.0−2.1
TG 160160160894 [36]210.2 ± 9.2 [Table S2]208.91.3
a Normal boiling temperature. b Experimental data evaluated in Table 1 and Table 2. Uncertainty of the vaporisation enthalpy is expressed as the expanded uncertainty (0.95 level of confidence, k = 2). c Calculated using Equation (7) with the assessed expanded uncertainty of ±3.0 kJ·mol−1. Value given in italic were used for comparison with the expeimenetal results in Table 1. d Difference between column 4 and 5 in this table.
Table 7. Group additivity contributions for calculation of the enthalpy of vaporisation, Δ l g H m o (298.15 K), for triglycerides with the saturated alkyl chains (in kJ mol−1).
Table 7. Group additivity contributions for calculation of the enthalpy of vaporisation, Δ l g H m o (298.15 K), for triglycerides with the saturated alkyl chains (in kJ mol−1).
Increment a Δ l g H m o [14]
Thermo 02 00018 i001FTG62.5
C-(C)(H)2(CO2)3.2
C-(C)2(H)(CO2)−1.5
C-(C)3(CO2)−7.5
(C-CO)1-4−1.0
C-(C)2(H)24.52
C-(C)(H)36.33
(C-C)1-41.80
Cd(H)3.8
Ph(CO2)29.4
a For calculation of unsaturated alkyl-chains an additional increment Cd(H) = 3.8 kJ mol−1 was developed from vaporisation enthalpies of olefines [38]. For calculation of phenyl substituted triglycerides an additional increment Ph(CO2) = 29.4 kJ mol−1 was developed from vaporization enthalpy of benzyl acetate [16].
Table 8. Comparison of experimental and additive enthalpies of vaporisation, Δ l g H m o (298.15 K), for triglycerides with the linear saturated alkyl chains and for methyl alkanoates (in kJ mol1).
Table 8. Comparison of experimental and additive enthalpies of vaporisation, Δ l g H m o (298.15 K), for triglycerides with the linear saturated alkyl chains and for methyl alkanoates (in kJ mol1).
Triglycerides Methyl Alkanoates
Nc a Δ l g H m o ( exp )   b Δ l g H m o ( add )   c E d i s p ( TG )   d Δ l g H m o ( exp )   e Δ l g H m o ( add )   f E d i s p ( MA )   g
390.491.1−0.736.035.80.2
497.5101.6−4.139.640.3−0.7
5105.0115.9−10.943.645.1−1.5
6114.9130.2−15.348.549.8−1.3
7127.0144.4−17.453.454.6−1.2
8134.1158.7−24.657.259.4−2.2
10160.1187.3−27.266.569.0−2.5
12174.9215.8−40.975.578.5−3.0
14194.0244.4−50.485.288.1−2.9
16211.6273.0−61.493.697.6−4.0
18232.1301.5−69.4103.7107.2−3.5
a The number of C-atoms in a single alkyl chain in the triglyceride or in methyl alkanoates. b Evaluated values from Table 1. c Additive values calculated using increments in Table 7. d Difference between column 2 and 3, interpreted as amount of dispersion forces in triglyceride. e Experimental values evaluated in our previous study [3]. f Additive values calculated using increments in Table 7. g Difference between column 5 and 6, interpreted as amount of dispersion forces in methyl alkanoates (MA).
Publisher’s Note: MDPI stays neutral with regard to jurisdictional claims in published maps and institutional affiliations.

Share and Cite

MDPI and ACS Style

Verevkin, S.P.; Nagrimanov, R.N. Non-Covalent Interactions in Triglycerides: Vaporisation Thermodynamics for Quantification of Dispersion Forces. Thermo 2022, 2, 250-266. https://doi.org/10.3390/thermo2030018

AMA Style

Verevkin SP, Nagrimanov RN. Non-Covalent Interactions in Triglycerides: Vaporisation Thermodynamics for Quantification of Dispersion Forces. Thermo. 2022; 2(3):250-266. https://doi.org/10.3390/thermo2030018

Chicago/Turabian Style

Verevkin, Sergey P., and Ruslan N. Nagrimanov. 2022. "Non-Covalent Interactions in Triglycerides: Vaporisation Thermodynamics for Quantification of Dispersion Forces" Thermo 2, no. 3: 250-266. https://doi.org/10.3390/thermo2030018

APA Style

Verevkin, S. P., & Nagrimanov, R. N. (2022). Non-Covalent Interactions in Triglycerides: Vaporisation Thermodynamics for Quantification of Dispersion Forces. Thermo, 2(3), 250-266. https://doi.org/10.3390/thermo2030018

Article Metrics

Back to TopTop