Three-Dimensional Printing by Vat Photopolymerization on Textile Fabrics: Method and Mechanical Properties of the Textile/Polymer Composites
Abstract
1. Introduction
2. Materials and Methods
- Layer height: 0.04 mm;
- Bottom layer count: 6;
- Exposure time: 6 s;
- Bottom exposure time: 50 s;
- Bottom light-off delay: 0 s;
- Bottom lift distance: 5 mm;
- Lifting distance: 5 mm;
- Bottom lift speed: 200 mm/min;
- Lifting speed: 200 mm/min;
- Retract speed: 300 mm/min;
- Infill: 100%.
- Polypropylene (PP) nonwoven, 27.7 g/m2, thickness 0.29 mm (fabric 16 in Ref. [24]), hydrophobic (water contact angle 132 ± 9°);
- Cotton woven fabric, 83.7 g/m2, thickness 0.26 mm (fabric 3 in Ref. [24]), hydrophilic (water contact angle not measurable);
- Warp-knitted elastic polyethylene terephthalate (PET) fabric, 195.3 g/m2, thickness 0.61 mm (fabric 17 in Ref. [24]), hydrophilic (water contact angle not measurable).
3. Results
3.1. Development of the Sample Holder
- Simple, fast, and secure fixation of textile fabrics for SLA/DLP printing;
- Simple and fast assembly of the components without special tools;
- Dimensions no larger than the standard printing bed;
- Resin that can run off the sample holder;
- Printability with an FDM printer, ideally from poly(lactic acid) (PLA)—the material must be resistant against UV resins and isopropanol cleaning;
- Sufficient mechanical stability;
- No sharp edges or spikes;
- Low costs.
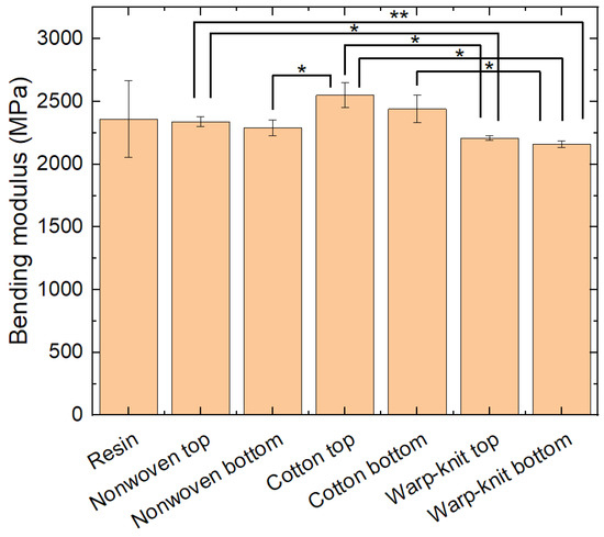
3.2. Three-Dimensional Printing on Textile Fabrics
4. Conclusions
Supplementary Materials
Author Contributions
Funding
Institutional Review Board Statement
Informed Consent Statement
Data Availability Statement
Acknowledgments
Conflicts of Interest
Appendix A


References
- Popescu, D.; Zapciu, A.; Amza, C.; Baciu, F.; Marinescu, R. FDM process parameters influence over the mechanical properties of polymer specimens: A review. Polym. Test. 2018, 69, 157–166. [Google Scholar] [CrossRef]
- Oviedo, A.M.; Puente, A.H.; Bernal, C.; Perez, E. Mechanical evaluation of polymeric filaments and their corresponding 3D printed samples. Polym. Test. 2020, 88, 106561. [Google Scholar] [CrossRef]
- Zohdi, N.; Yang, R. Material anisotropy in additively manufactured polymers and polymer composites: A review. Polymers 2021, 13, 3368. [Google Scholar] [CrossRef]
- Stepashkin, A.A.; Chukowv, D.I.; Senatov, F.S.; Salimon, A.I.; Korsunsky, A.M.; Kaloshkin, S.D. 3D-printed PEEK-carbon fiber (CF) composites: Structure and thermal properties. Compos. Sci. Technol. 2018, 164, 319–326. [Google Scholar] [CrossRef]
- Dong, J.; Mei, C.T.; Han, J.Q.; Lee, S.Y.; Wu, Q.L. 3D printed poly(lactic acid) composites with grafted cellulose nanofibers: Effect of nanofiber and post-fabrication annealing treatment on composite flexural properties. Addit. Manuf. 2019, 28, 621–628. [Google Scholar] [CrossRef]
- Syrlybayev, D.; Zharylkassyn, B.; Seisekulova, A.; Akhmetov, M.; Perveen, A.; Talamona, D. Optimisation of Strength Properties of FDM Printed Parts—A Critical Review. Polymers 2021, 13, 1587. [Google Scholar] [CrossRef]
- Ding, Y.C.; Gracego, A.X.; Wang, Y.R.; Dong, G.Y.; Dunn, M.L.; Yu, K. Embedded 3D printing of UV-curable thermosetting composites with continuous fiber. Mater. Horiz. 2024. online first. [Google Scholar] [CrossRef]
- Yao, X.H.; Luan, C.C.; Zhang, D.M.; Lan, L.J.; Fu, J.Z. Evaluation of carbon fiber-embedded 3D printed structures for strengthening and structural-health monitoring. Mater. Des. 2017, 114, 424–432. [Google Scholar] [CrossRef]
- Heidari-Rarani, M.; Rafiee-Afarani, M.; Zahedi, A.M. Mechanical characterization of FDM 3D printing of continuous carbon fiber reinforced PLA composites. Compos. Part B Eng. 2019, 175, 107147. [Google Scholar] [CrossRef]
- Kocevar, T.N. 3D Printing on Textiles—Overview of Research on Adhesion to Woven Fabrics. Tekstilec 2023, 66, 164–177. [Google Scholar] [CrossRef]
- Loh, G.H.; Sotayo, A.; Pei, E.J. Development and testing of material extrusion additive manufactured polymer-textile composites. Fash. Text. 2021, 8, 2. [Google Scholar] [CrossRef]
- Cuk, M.; Bizjak, M.; Kocevar, T.N. Influence of Simple and Double-Weave Structures on the Adhesive Properties of 3D Printed Fabrics. Polymers 2022, 14, 755. [Google Scholar] [CrossRef] [PubMed]
- Pei, E.J.; Shen, J.S.; Watling, J. Direct 3D printing of polymers onto textiles: Experimental studies and applications. Rapid Prototyp. J. 2015, 21, 556–571. [Google Scholar] [CrossRef]
- Sanatgar, R.H.; Campagne, C.; Nierstrasz, V. Investigation of the adhesion properties of direct 3D printing of polymers and nanocomposites on textiles: Effect of FDM printing process parameters. Appl. Surf. Sci. 2017, 403, 551–563. [Google Scholar] [CrossRef]
- Grimmelsmann, N.; Kreuziger, M.; Korger, M.; Meissner, H.; Ehrmann, A. Adhesion of 3D printed material on textile substrates. Rapid Prototyp. J. 2018, 24, 166–170. [Google Scholar] [CrossRef]
- Demir, M.; Seki, Y. Interfacial adhesion strength between FDM-printed PLA parts and surface-treated cellulosic-woven fabrics. Rapid Prototyp. J. 2023, 29, 1166–1174. [Google Scholar] [CrossRef]
- Eutionnat-Diffo, P.A.; Chen, Y.; Guan, J.P.; Cayla, A.; Campagne, C.; Zeng, X.Y.; Nierstraz, V. Stress, strain and deformation of poly-lactic acid filament deposited onto polyethylene terephthalate woven fabric through 3D printing process. Sci. Rep. 2019, 9, 14333. [Google Scholar] [CrossRef]
- Goncu-Berk, G.; Karacan, B.; Balkis, I. Embedding 3D printed filaments with knitted textiles: Investigation of bonding parameters. Cloth. Text. Res. J. 2022, 40, 171–186. [Google Scholar] [CrossRef]
- Korger, M.; Bergschneider, J.; Lutz, M.; Mahltig, B.; Finsterbusch, K.; Rabe, M. Possible applications of 3D printing technology on textile substrates. IOP Conf. Ser. Mater. Sci. Eng. 2016, 141, 012011. [Google Scholar] [CrossRef]
- Mpofu, N.S.; Mwasiagi, J.I.; Nkiwane, L.C.; Githinji, D.N. The use of statistical techniques to study the machine parameters affecting the properties of 3D printed cotton/polylactic acid fabrics. J. Eng. Fibers Fabr. 2020, 15, 1558925020928531. [Google Scholar] [CrossRef]
- Korger, M.; Glogowsky, A.; Sanduloff, S.; Steinem, C.; Huysman, S.; Horn, B.; Ernst, M.; Rabe, M. Testing thermoplastic elastomers selected as flexible three-dimensional printing materials for functional garment and technical textile applications. J. Eng. Fibers Fabr. 2020, 15, 1558925020924599. [Google Scholar] [CrossRef]
- Alexander, A.E.; Wake, N.; Chepelev, L.; Brantner, P.; Ryan, J.; Wang, K.C. A guideline for 3D printing terminology in biomedical research utilizing ISO/ASTM standards. 3D Print. Med. 2021, 7, 8. [Google Scholar] [CrossRef] [PubMed]
- ASTM ISO/ASTM52900-21; Additive Manufacturing—General Principles—Fundamentals and Vocabulary. ASTM International: West Conshohocken, PA, USA, 2021.
- Grothe, T.; Brockhagen, B.; Storck, J.L. Three-dimensional printing resin on different textile substrates using stereolithography: A proof of concept. J. Eng. Fibers Fabr. 2020, 15, 1558925020933440. [Google Scholar] [CrossRef]
- Chua, C.K.; Leong, K.F.; Lim, C.S. Liquid-based rapid prototyping systems. In Rapid Prototyping: Principles and Applications, 2nd ed.; World Scientific Publishing Company: Singapore, 2003; pp. 35–109. [Google Scholar]
- Borrello, J.; Backeris, P. Rapid prototyping technologies. In Rapid Prototyping in Cardiac Disease: 3D Printing the Heart; Farooqi, K.M., Ed.; Springer International Publishing: Basle, Switzerland, 2017; pp. 41–49. [Google Scholar]
- Borrello, J.; Nasser, P.; Iatridis, J.C.; Costa, K.D. 3D printing a mechanically-tunable acrylate resin on a commercial DLP-SLA printer. Addit. Manuf. 2018, 23, 374–380. [Google Scholar] [CrossRef] [PubMed]
- Kozior, T.; Ehrmann, A. First Proof-of-Principle of PolyJet 3D Printing on Textile Fabrics. Polymers 2023, 15, 3536. [Google Scholar] [CrossRef]
- Kozior, T.; Mpofu, N.S.; Fiedler, J.; Ehrmann, A. Influence of Textile Substrates on the Adhesion of PJM-Printed MED610 and Surface Morphology. Tekstilec 2024, 67. online first. [Google Scholar] [CrossRef]
- DIN EN ISO 178:2019-08; Plastics—Determination of Flexural Properties (ISO 178:2019). German Version EN ISO 178:2019. ISO: Geneva, Switzerland, 2019. Available online: https://www.dinmedia.de/de/norm/din-en-iso-178/300171601 (accessed on 1 September 2024).





Disclaimer/Publisher’s Note: The statements, opinions and data contained in all publications are solely those of the individual author(s) and contributor(s) and not of MDPI and/or the editor(s). MDPI and/or the editor(s) disclaim responsibility for any injury to people or property resulting from any ideas, methods, instructions or products referred to in the content. |
© 2024 by the authors. Licensee MDPI, Basel, Switzerland. This article is an open access article distributed under the terms and conditions of the Creative Commons Attribution (CC BY) license (https://creativecommons.org/licenses/by/4.0/).
Share and Cite
Gruhn, P.; Koske, D.; Storck, J.L.; Ehrmann, A. Three-Dimensional Printing by Vat Photopolymerization on Textile Fabrics: Method and Mechanical Properties of the Textile/Polymer Composites. Textiles 2024, 4, 417-425. https://doi.org/10.3390/textiles4030024
Gruhn P, Koske D, Storck JL, Ehrmann A. Three-Dimensional Printing by Vat Photopolymerization on Textile Fabrics: Method and Mechanical Properties of the Textile/Polymer Composites. Textiles. 2024; 4(3):417-425. https://doi.org/10.3390/textiles4030024
Chicago/Turabian StyleGruhn, Philipp, Daniel Koske, Jan Lukas Storck, and Andrea Ehrmann. 2024. "Three-Dimensional Printing by Vat Photopolymerization on Textile Fabrics: Method and Mechanical Properties of the Textile/Polymer Composites" Textiles 4, no. 3: 417-425. https://doi.org/10.3390/textiles4030024
APA StyleGruhn, P., Koske, D., Storck, J. L., & Ehrmann, A. (2024). Three-Dimensional Printing by Vat Photopolymerization on Textile Fabrics: Method and Mechanical Properties of the Textile/Polymer Composites. Textiles, 4(3), 417-425. https://doi.org/10.3390/textiles4030024

