Abstract
Natural fibers are increasingly being used to make nonwoven fabrics, substituting synthetic materials for environmental and economic reasons. In this study, a series of needle-punched nonwoven fabrics were made by extracting fibers from coffee husks and blending them with a proportion of spinning waste consisting of cotton fibers and another five different natural fibers. This work investigates the coefficient of sound absorption, thermal conductivity, areal density, thickness, and air permeability. Overall, the sound absorption properties of the produced nonwoven fabric depend on the blend proportion and the number of layers. The results from the fabric containing nettle and banana fibers demonstrate a much-improved sound absorption coefficient. These results have been compared with those of commercially available nonwoven fabrics that are manufactured from polyester and polyurethane foam. The thermal conductivities of the fabrics made with nettle and coir were the highest and lowest, respectively. This is because of the fiber linear density, but all in all, fibers extracted from coffee husks show significantly promising potential for scaling up to replace existing synthetic fibers.
Keywords:
natural fibers; coffee husk fibers; cotton; banana; sisal; nettle; coir; acoustic; nonwoven; sound absorption 1. Introduction
The human way of life was altered as a result of industrialization and urbanization, which led to the development of more complex societies. The price we pay for these lifestyles is expensive, and they have several negative effects on the surrounding environment, including pollution of the environment, pollution of the air, and noise pollution. Since 1980, industrialization, the development of infrastructure, transportation, increased air traffic, and social events have all contributed to an increase in noise pollution, which is currently an emerging environmental and health concern. According to the world health organization (WHO), noise pollution is one of the major environmental contributors to public health concerns []. According to recent research, certain Indian towns have noise levels higher than 75 decibels (dB), and the dreadful sound of horns blowing may approach 100–120 dB during peak traffic congestion []. It has been found by scientists that noises louder than 85 dB are dangerous to human health []. Exposure to such loud noises for extended periods of time has been linked to hypertension [], insomnia [], an elevated heart rate [], a narrowing of the blood vessels [], and changes in brain chemistry []. The use of sound absorption materials is one method for reducing ambient noise. Synthetic materials like polyurethane foams, glass fiber, and mineral wool are widely used as sound absorbers. Sustainable Development Goals (SDGs)-6, SDGs-13, SDGs-14, and SDGs-15 are negatively impacted by using hydrocarbon-based polymeric materials due to their high-risk profile, low resource availability, and negative environmental impact [,,,].
The increasing population led to a surge in agricultural production, which in turn led to an increase in the amount of waste that was generated [,]. The improper management of this waste is linked to environmental pollution. To achieve cleaner production [] this agro-waste could be turned into valuable products. Most of these materials end up in landfills, where they can do serious damage to the ecosystem. In accordance with the Kyoto Protocol [] and the Paris Agreement [] on global climate change, the conversion of agricultural waste into sound-absorbing material could possibly result in a reduction in the consumption of existing synthetic materials, which would then lead to a reduction in the emissions of greenhouse gases (GHG). In addition, these materials are used in a wide range of industries, including aeronautics, construction, and road transportation, as noise must be reduced with the least amount of insulation possible to keep the costs to a minimum [].
The extraction of fibers from agricultural waste would provide an alternative to the use of petroleum-based polymers [] in existing use. The extracted fibers have environmental benefits such as biodegradation, and a reduction in carbon dioxide emissions, which are the main contributors to global warming. After oil, coffee is the most traded commodity in the world [,]. The method of separating the coffee bean results in a substantial amount of biowaste (i.e., coffee husk), the vast majority of which is simply thrown in landfills [,,]. Thus, the coffee husk is a suitable biomass source for cellulosic fiber components. The extracted husk presents exciting opportunities to produce a variety of value-added products, including short textile fibers, fillers in composite materials, micro- and nano-scale materials such as micro and nanocrystalline cellulose, micro and nano fibrillar cellulose, the paper industry, and sorbent materials to remove hazardous substances [].
In recent decades, there has been a rise in interest in the utilization of natural fibers for acoustic applications []. In recent years, several natural fibers have been utilized for acoustic purposes, for instance, hemp [], coir [], date palm [], bamboo [], jute [], and barkcloth []. The research focused on the advancement of bio-based materials because of their eco-friendliness and the attention paid to their degradability, renewability, abundance of sources, sustainability, and reduced environmental pollution when compared to hydrocarbon-based materials [,].
The novel aspect of this research is that the acoustic and thermal conductivity of the fibers that are extracted from coffee husk has not previously been investigated. The main goal of this work is to turn waste into a valuable (W2V) product. As a result, agro-waste materials such as extracted coffee husk fibers were combined with a variety of other natural fibers including cotton, jute, sisal, coir, banana, and nettle to create a nonwoven web that was used to develop acoustic and thermal insulation materials. Furthermore, it can be compared with commercially available acoustic materials, which demonstrates that the produced nonwoven coffee husk has promising results for acoustic properties. Additionally, it ensures the material’s sustainability and the possibility of scaling it up to the pilot level.
2. Materials and Methods
2.1. Materials
To extract the coffee husk fibers, the coffee cherry was procured from the agricultural fields in Yercaud, Tamilnadu, India. The cotton (i.e., as a comber waste) was collected from the local spinning mills (Coimbatore, India). Other fibers like nettle, jute, sisal, coir, and banana were purchased from a local store and an agricultural farm in Pollachi, India. NaOH and other chemicals were purchased from Sigma-Aldrich, India. All chemicals were of analytical grade and used without further purification. Some of the physical properties of fibers used in this work have been described in Table 1.

Table 1.
Physical properties of used fibers.
2.2. Extraction of Coffee Husk Fibers
Using the wet processing method, the husk of the coffee cherry is removed using the de-pulping procedure after the necessary quantity of coffee cherries has been gathered. After being separated from the coffee bean, the coffee husk was left to sun-dry in the open air, after which it underwent a process that led to its delignification. NaOH- 5 g/L, 90 °C, 120 min. The detailed extraction process has been well explained in our previous work []. After that, it was allowed to dry naturally in the air, and then it was used as a raw material in the production of nonwoven web fibers.
2.3. Nonwoven Fabric Production
Due to a combination of its shorter fiber range and lower cohesion compared to cotton, the utilization of 100% coffee husk fiber alone is not feasible to produce nonwoven fabric. Thus, a blend of various natural fibers such as coir, sisal, jute, and nettle fiber with cotton is necessary to form the web. The amalgamation procedure for the diverse utilized fibers is executed based on weight, as indicated by the weight proportion specified in Table 2. Initially, the fibers were subjected to a process of opening and cleaning through the utilization of a laboratory-scale opener and cleaner. Following this, the fibers were blended in accordance with the prescribed blend ratio by weight, prior to being introduced into the carding machine, which facilitated the creation of the web. Needle punching is performed on a Dilo needle loom, which receives the produced web at a feed rate of 0.20 m/min and, using 200 strokes per minute, punches the fabric with 25 punches/cm2 at a depth of penetration of 12 mm. Table 3 displays some of the physical characteristics of nonwoven fabric. The produced nonwoven web is shown in Figure 1.

Table 2.
Blend proportion for the development of nonwoven fabrics.

Table 3.
Physical properties of produced nonwoven fabric.

Figure 1.
Photos of different nonwoven fabric produced from the needle punching machine.
2.4. Testing and Characterization
2.4.1. Scanning Electron Microscope (SEM)
A Zeiss SEM was used to examine the morphological characteristics of the various fibrous materials used in this study. The fibrous material’s surface was sputter-coated with gold to make it conductive before the measurement.
2.4.2. Testing of Other Properties of Nonwoven Fabric
To conduct the tests, nonwoven samples were preconditioned for 24 h at a temperature of 23 °C and a relative humidity of 65%. The physical properties such as thickness (Shirley Developments Ltd., Manchester, UK) can be assessed according to the ASTM D 1777-96 standard with various points on the samples []. The air permeability was measured according to ASTM D737 standards. The volume of air in cm3/cm2/sec, which is passed in one second through 100 mm2 of the fabric at a pressure difference of 10 mm head of water or 100 Pa pressure [,]. An Alambeta device (Sensora s.r.o, Liberec, Czech Republic) was used to test the thermal conductivities of produced nonwoven fibrous materials according to the ISO 5085-1 standard [,]. A copper block inside the Alambeta’s measuring head has been electrically heated to a temperature of about 32 °C to mimic that of human skin. The fabric is kept between the hot and cold plates (i.e., 200 Pa) in this device. At a pressure of 200 Pa, the hot plate contacts the cloth sample []. Heat flux sensors measure the quantity of heat flow from the hot surface to the cold surface via the fabric. To determine the averages and plot the graphs, five measurements were taken for each sample across all measurements.
where Q is the heat flow, A is the surface area, t is the thickness of the web and ΔT is the temperature difference.
2.4.3. Acoustical Characterization
The sound absorption coefficient of the produced nonwoven fabrics was measured using an impedance tube kit (50 Hz–6.3 kHz; testing condition: 25 °C) Type 4206 (Bruel & Kjaer, Copenhagen, Denmark) in accordance with ASTM E1050-12 []. The usual set-up of the instrument is depicted in Figure 2. The impedance tube kit had a diameter of 29 mm, hence the testing was done on circular samples, thus five different measurements were taken, and the average value was the one that was utilized to plot the graphs [,,]. As shown in Figure 2, a loudspeaker hooked up to an amplifier is used to generate a sound wave at one end of the tube, which is then used to conduct the test. A plane wave is possible if the frequency of the generated sound wave is lower than the threshold determined by the tube’s diameter. A pair of microphones mounted at opposite ends of the measuring tube capture the entire acoustic environment inside the tube. The sound absorption coefficient of a sample in a frequency band is calculated by processing the incident and reflected sound pressure data collected by the microphones. The graphs were constructed by using the average of the data obtained from the five different acoustic measurements that were taken for each blend proportion.

Figure 2.
Experimental setup for acoustical characterization.
2.4.4. Empirical Models to Determine the Acoustic Properties
Several empirical models were constructed in this work to evaluate the sound wave behavior while it travels through porous materials. The acoustical characteristics of porous media are typically estimated using empirical models.
Delany–Bazley Model
The first empirical model for calculating the bulk acoustic characteristics of porous materials was developed by Delany and Bazley (DB) [], although it is possible that this model is only accurate for frequencies higher than 250 Hz [],
where and stand for the air density and sound speed in the air, respectively. The propagation constant is k, Zc is the characteristic impedance, f is the frequency, ω is the angular frequency, R is the sound pressure reflection coefficient, σ is the airflow resistivity, and , Zs is the surface impedance; the thickness is d. For fibers with a diameter of 1 to 10 μm, the DB model was developed.
Garai and Pompoli (GP) Model
In spite of this, the DB model has recently undergone changes that have made it possible for it to be utilized with a variety of fibers that have larger diameters []. When Garai and Pompoli (GP) were able to mimic polyester fibers with a diameter of 20 to 50 μm by using the model after revising it []
Other researchers, like Miki, Mechel, and Pompoli, have developed a variety of coefficients for the DB model [,,].
Miki Model
In 1990, Miki presented improved coefficients for porous materials as an alternative to those given by the DB model [], and the model is provided in Equations (10) and (11).
Allard and Champoux Model
Furthermore, Allard and Champoux (AC) is predicated on the idea that thermal effects are frequency-dependent [] and the equations are given bellow.
3. Results and Discussion
3.1. Surface Morphology
The surface morphology of the nonwoven fabric was characterized by the scanning electron microscope (SEM) as shown in the coffee husk (Figure 3a), cotton (Figure 3b), coir (Figure 3c), banana (Figure 3d), sisal (Figure 3e), jute (Figure 3f), and nettle (Figure 3g). The serrated surface of coffee husk fibers, coir fibers, and banana fibers gives the resulting nonwoven fabric its distinctively rough surface. Fibers extracted from coffee husks have a high roughness, coils, and voids, all of which greatly improve the material’s ability to absorb sound and retain heat. The surface roughness promotes sound absorption properties by increasing the friction between the sound waves. Additionally, the surface area of rough fibers is high which is another reason for the sound absorption property. Overall, the fibers extracted from coffee husk contain bundles of fibrils that cause fibrillation. Generally, fibrillation creates a porous structure that increases the sound absorption property. Surface roughness maximizes the likelihood of the incident acoustic wave being dampened, resulting in increased sound absorption. Microscopic pockets of air are formed by the helix and rough surfaces of the fibers and develop on the fiber surface, resulting in excellent thermal insulation as can be seen in Section 3.4. The thermal and acoustic characteristics of the samples will be addressed in more depth in the following sections. In the case of cotton, nettle and jute proportion in the nonwoven fabric and its fiber fineness, the increase in the quantity of fiber per unit area resulted in an increase in sound absorption (i.e., as compared to the coffee husk). The findings showed that increasing the amount of cotton in nonwoven web improves sound absorption capabilities.

Figure 3.
Microscopic images of coffee husk fibers (a), cotton (b), coir (c), banana (d), sisal (e), jute (f), and nettle (g).
3.2. Results for Sound Absorption Coefficient
The study utilized the impedance tube technique to determine the sound absorption coefficient of nonwoven fabrics with varying proportions of their blend components. The sound absorption coefficient is a significant metric for evaluating the acoustic characteristics of materials. It is commonly employed to assess the sound-absorbing capabilities of materials and is expressed in decibels (dB). The results of tests conducted on nonwoven samples with a variety of layer configurations (1, 2, 3, and 5) to evaluate their ability to absorb sound are presented in Figure 4. When it comes to the effectiveness of the sound-absorbing material, the thickness of the material is one of the most important variables []. This is because the number of layers is directly proportional to the thickness of the acoustic materials []. Furthermore, the determination of web thickness is associated with other variables, including the density and porosity of the nonwoven material. Research has revealed that there exists a noteworthy correlation between the thickness of materials and the sound absorption coefficient across high and low frequencies. For a material to function as an effective sound absorber, it is necessary for its thickness to be equivalent to one-fourth of the wavelength of the sound wave []. It is clear from the data collected from the generated nonwoven thickness measurements that the nonwoven fabrics have varying thicknesses across them, with the coefficient of variance indicating large differences. The difference in fiber diameters causes more diversity in coir and banana-based nonwovens. This is true for all measurements that use the impedance tube method and have a solid backing. In general, better sound absorption coefficients were achieved by increasing the number of nonwoven layers, which is equivalent to increasing thickness. The aforementioned observation aligns with a previous investigation conducted by Prahsarn et.al [], which demonstrated that the sound absorption effectiveness exhibited an upward trend with an increase in the number of nonwoven layers.

Figure 4.
The sound absorption coefficient of the CH40:NE40:CN20 nonwoven fabric and the influence of the number of layers.
Figure 4 shows a plot of the sound absorption coefficient observed in CH40:NE40:CN20 nonwovens at varying frequencies. The absorption coefficient for one layer progressively grew as the frequency increased, and it reached the maximum plateau (αmax = 0.48) at a frequency of around 4000 Hz. The two, three and five layer arrangements each saw a significant increase in their absorption coefficients, which ultimately reached their maximum values of 0.615, 0.78, and 0.82 (i.e., αmax) at frequencies of about 6.0 kHz, respectively. Other nonwoven samples exhibited the same tendencies, which was noted. It was discovered that the sound absorption coefficients of two and three layer nonwoven samples declined slightly within a certain frequency range (specifically, between 3.5 kHz and 4.5 kHz), resulting in wavy curves. It is possible that the air spaces in between the layers of the nonwoven material are responsible for such a distinctive finding. When the rate of rise was reduced, the sound absorption increased more quickly from 50 to 1000 Hz when compared to the single layer and the five layer configurations. In addition, the frequency range that each sample’s sound absorption predominantly spans is the range from 50 to 4.0 kHz.
Figure 5 illustrates the influence of the blend proportion as well as the number of layers on the values of the sound absorption coefficient. According to the findings, the overall sound absorption coefficient of the produced nonwoven fabrics is dependent on the proportion of their mix, and this is something that can also be noticed in different numbers of layers. It is possible that frequency has a substantial impact on the sound absorption coefficient as higher frequencies lead to higher levels of sound absorption [,]. Due to the higher proportion of coffee husk along with nettle and jute fibers responsible for sound absorption in both cases, respectively, this pattern was observed in different numbers of layers as well. The nonwoven web with (CH40:NE40:CN20 and CH40:JT40:CN20) has the highest sound absorption coefficient throughout the entire frequency range. A higher fraction of nettle fibers in the blend may yield promising sound absorption coefficient results due to the higher fineness of the nettle fibers when compared to the fineness of the other fibers employed in this investigation. The increased sound absorption coefficient may have three possible explanations, which are as follows:

Figure 5.
Influence of blend proportion and the number of layers on the SAC values.
- A greater number of fine fibers as opposed to coarser fibers in the same weight of nonwoven, which results in a more convoluted path in the fibrous structure.
- Because the finer fibers had a larger surface area, there was a greater likelihood that they would interact with the sound waves. This resulted in a higher airflow resistance, which was caused by frictional viscosity brought about by the vibrating of the air.
- The ability of finer fibers to vibrate more easily than coarser fibers can result in the loss of acoustic energy, which can then be converted into heat.
On the other hand, the coffee husk fibers also influenced the sound absorption since these fibers contain a helix and are arranged in an orderly fashion (Figure 3a). The presence of bundles of fibrils is what causes the fibrillation that can be seen in coffee husk fibers. The fibrillation process results in the production of a porous structure that has enhanced acoustic properties. There is also a peak of approximately 1.0–3.0 kHz (i.e., for all blend proportions), which may be connected to the inherent quality of the fibers and their morphological structure, particularly regarding the coffee husk fibers. Coffee husk blended nonwoven fabric is a good absorber of low-frequency noise together with all fibers and their various blend proportions. Low-frequency noise is more dangerous to human health than high-frequency noise [].
The bulk density of the nonwoven fabrics was an additional essential factor in the sound absorption performance of these materials. The nonwoven fabric used in this study was produced using the exact identical process parameters, with the exception of the blend proportion. As a consequence of this, the proportion of the blend that is used has an effect on the final structure of the nonwoven materials that are created. The fibers in nonwoven web materials are arranged less regularly than they are in woven materials due to the nonwoven material’s construction. Therefore, the effect that fiber structure has on the ability to absorb sound needs to be taken into consideration. The results of an experiment showed that increasing the areal density (Table 3) of a sample led to a considerable increase in the amount of sound absorption in the medium and high frequencies (up to 4.0 kHz). A positive correlation exists between the apparent density of a given region and the total count of fibers present within that same area. An increase in surface friction results in a corresponding increase in the sound absorption coefficient, thereby causing a rise in the dissipation of energy. Structures that are less thick and open tend to absorb low-frequency sound waves more efficiently. A positive correlation exists between the apparent density of a given region and the total count of fibers present within that same area. With an increase in surface friction, there is a corresponding increase in the sound absorption coefficient, resulting in a greater dissipation of energy. Structures that are less thick and open tend to absorb low-frequency sound waves more effectively, specifically those with a frequency of 500 Hz. It has been demonstrated that dense structures, such as CH40:NE40:CN20 and CH40:JT40:CN20, are the most effective at serving frequencies higher than 2000 Hz.
Nonwoven fabrics made from a blend of coffee husk and other fibers have their sound absorption coefficients theoretically predicted using one of four widely used mathematical prediction models (DB, GP, Miki, and AC). After that, comparisons were conducted between the sound absorption coefficient values that were measured empirically and the values that were anticipated theoretically, and the results of these comparisons are displayed in Figure 6. It is made abundantly evident by the figure that the empirical models of DB, GP, and Miki have a low level of computational correctness throughout the full measured frequency. In the frequency range of 50 Hz –6.3 kHz, AC models can precisely reflect the trend of the experimental data for each sample. According to Mamtaz et al. [] and Samson et al. [], the findings of theoretical and experimental research show a good level of agreement for low and mid-range frequencies or frequencies lower than 3000 Hz. In comparison to the results obtained from the DB, GP, and Miki empirical models, the results obtained from the AC models are the closest to the sound absorption coefficient values that were determined through experiments. This is due to the fact that the produced nonwoven materials have a larger tortuosity and greater porosity than the other versions of the fabrics. When estimating the absorption coefficient, the models take into consideration some extra parameters in addition to the flow resistivity, but the empirical models only take into account the flow resistivity.

Figure 6.
Predicted and experimental sound absorption coefficient values of the produced nonwoven fabrics with different blend proportions.
3.3. Comparison with some Commercial Products
In order to gain a more comprehensive understanding of the commercial viability of the produced nonwoven material, it is essential to conduct a comparative analysis of its sound absorption properties with those of commonly utilized acoustic materials in the commercial sector. Figure 7 presents a comparison of the sound absorption characteristics of produced nonwoven textiles with those of nonwoven fabrics that are commercially available. Prior to conducting a comparative analysis with nonwoven products available in the market, the thickness of the samples was standardized to achieve uniformity. In the comparative analysis of the samples with commercially available sound-absorbing nonwoven materials, the quantity of layers present in the samples is a crucial factor under consideration. On this occasion, needled felted coir nonwoven fibrous materials were supplied by the Central Institute of coir technology (CICT-India) [], the wood wool board was supplied by Jayswal Agency (India), and Dynamic Nonwovens was responsible for supplying PU foam and PET nonwoven fibrous materials (India) []. The CH40:NE40:CN20 nonwoven exhibits potential when contrasted with other nonwoven fabrics available in the market, specifically those produced from coir and PET fibers. This assertion holds particularly true when considered in its entirety. Meanwhile, the outcomes obtained for the nonwoven made of PU foam exhibit a negligible difference in comparison to the outcomes obtained for the diverse quantities of layers. The study yielded a nonwoven material (specifically, CH40:NE40:CN20) that exhibits comparable or superior properties to those of commercially available nonwoven materials. When compared to nonwoven products made from PET or PU foams, the nonwoven product made from this work is biodegradable and does not contribute in any way to the degradation of the natural environment. This is an important fact to keep in mind and therefore, the fibers that can be extracted from coffee husk have the potential to be scaled up for the development of environmentally friendly nonwoven fibrous materials that can be used for sound-absorbing materials.

Figure 7.
Results of the sound absorption coefficient on the CH40:NE40:CN20 nonwoven fabrics with commercially available sound absorption materials like coir nonwoven [], PET nonwoven and PU foam [].
3.4. Thermal and Acoustic Properties
The thermal conductivity coefficient was determined by calculating the amount of heat that could be transferred across a given area of the material (k) (Figure 8). There is a connection between the ability of a material to transfer heat and the degree to which it can absorb sound. When sound waves travel through a porous fiber network (i.e., coffee husk and other natural fiber’s structures), the sound waves cause the pores of the fiber network to vibrate. Because of the friction, the fibers experience a buildup of thermal and viscous heat as a result of the vibration. Further, the sound wave’s thermal energy is taken up by an excellent absorber, resulting in a reduction in the amount of heat produced. When sound is produced at low frequencies, the heat loss is minimal and isothermal; however, when sound is produced at high frequencies, the heat loss is adiabatic and considerable []. The tendency of a substance to enable the flow of heat throughout its inner structure is referred to as the property of thermal conductivity []. There is a relationship between the capacity of a substance to absorb sound and the degree to which it conducts heat. When sound waves travel through porous fiber networks, such as those composed of coffee husk and other natural fiber nonwoven fabrics, vibrations are produced in the structure of the porous fiber networks. Because of the friction, the vibration of the fibrous structures produces heat, which is then absorbed by the fibers, resulting in viscous behavior. This process is caused by the viscosity of the material. As a consequence of this, the thermal energy carried by sound waves is taken up by an excellent absorbent material, which results in the production of less heat.

Figure 8.
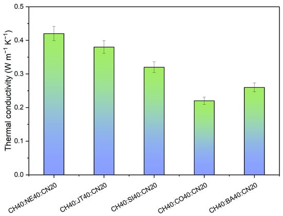
Influence of blend proportion on thermal conductivity.
The thermal conductivities of nonwoven fibrous materials have been measured, and the results are given in Figure 8. The thermal conductivities of the fabrics made with CH40:NE40:CN20 and CH40:CO40:CN20 were the highest and lowest, respectively, and the standard deviations displayed by each fabric were satisfactory. It is not always the case that nonwoven fibrous materials maintain the same level of thermal conductivity over time. The nonwoven fibrous material’s density, the amount of moisture that they contain, and the temperature of the surrounding environment are the primary factors that determine its thermal conductivity []. Additional scattering mechanisms, such as voids and cell boundaries of natural fibers such as coffee husk, coir, banana, and sisal, might have an effect on the thermal conductivity of materials that are dense and have a high percentage of porosity. The increase in density, moisture, and temperature of the surroundings all contribute to an increase in thermal conductivity. The helix structure of the coffee husk, banana, and sisal fibers, which were placed in an orderly manner in the framework, helped with both the absorption of sound and the conduction of heat. As a consequence of this finding, it was determined that the predominant route of heat transmission across the coffee husk blended nonwoven fibrous materials is that of conduction. This conduction occurs via the voids and the helical structure. When it comes to the transmission of heat through fabrics, density is, in most cases, the single most essential factor.
3.5. Air Permeability
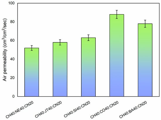
The air permeability of a material is an important attribute that can be used to determine how well it insulates against temperature []. The air permeability of produced non-woven fabric was observed in this work, and the values were found to rely on the mix proportions. For nonwovens like CH40:CO40:CN20 and CH40:BA40:CN20, higher air permeability is shown because both of these materials have thicker fibers, which provides more significant air gaps between fibers in the structure. These gaps enable most of the air to pass through them, leading to higher overall air permeability (Figure 9). The air permeability of the samples CH40:NE40:CN20 and CH40:JT40:CN20 is obviously the lowest. This is because the airflow happens between the pores that make up the structure of the nonwoven fabric. This can be explained as when more pores are present between the fibers that create the structure of the fabric, more open spaces are made available for airflow. This is especially true for fabrics made with coir and banana fibers. On the other hand, the nonwoven fabric that has fewer open spaces between the fibers produces a stronger air drag resistance to airflow than, for instance, the fabric that is formed by employing nettle and jute. The porosity ratio of the nonwoven fabric is determined by a number of distinct characteristics, the most important of which are the fiber qualities, the processing circumstances, the fabric weight, and the fiber density. It is possible to say that the weight of the fabric and the parameters of the production process influenced the porosity property of the samples. This is because the fiber composition of all of the samples is the same. On the other hand, the thickness of the fabric also has an effect on the performance of the air permeability of the fabric. The higher the thickness of the nonwoven fabric (i.e., CH40:CO40:CN20), the longer the path for air passage, which results in a drop in the airflow velocity and vice versa. Therefore, an inverse relationship between thickness and air permeability is postulated to exist. However, in light of the findings of this investigation, it appears that there is a robust and positive correlation.

Figure 9.
Influence of blend proportion on air permeability of nonwoven fabrics.
4. Conclusions
The present study reports the successful development of needle-punched nonwoven fabrics for acoustic and thermal insulation purposes. The fibers utilized in this work were extracted from the coffee husk and blended with other natural fibers, including cotton. A range of sound wave frequencies, spanning from 50 Hz to 6.3 kHz, were utilized to examine the sound absorption coefficient of nonwoven fabrics that were manufactured. The study’s results indicate that the sound absorption coefficient of the nonwoven fabrics produced is contingent upon the ratio of their composition. The number of layers in which this phenomenon can be observed varies depending on the proportion of the mix, as the sound absorption coefficient is dependent on it. The present study provides a breakdown of the sound absorption coefficients for different materials characterized by high thickness and many layers, at a high-frequency level of 700 Hz. The ratios of CH40:NE40:CN20, CH40:JT40:CN20, CH40:SI40:CN20, CH40:BA40:CN20, and CH40:CO40:CN20 were determined to be 0.88, 0.84, 0.77, 0.61, and 0.53, respectively. The aforementioned phenomenon was observed across varying layers, owing to the escalated ratio of coffee husk amalgamated with nettle and jute fibers, which were accountable for the acoustic absorption in both scenarios, respectively. The nonwoven web comprising (CH40:NE40:CN20 and CH40:JT40:CN20) exhibits the maximum sound absorption coefficient across all frequencies. The experiment suggests that a higher proportion of nettle fibers in the blend may yield promising results in terms of the sound absorption coefficient, owing to the relatively increased fineness of the nettle fibers as compared to the other fibers used. The fabrics composed of CH40:NE40:CN20 and CH40:CO40:CN20 exhibited the highest and lowest thermal conductivities, respectively. The thermal conductivity of materials with high porosity and density may be influenced by scattering mechanisms, including voids and cell boundaries, present in natural fibers such as coffee husk, coir, banana, and sisal. This investigation focused on the air permeability of the non-woven material produced, revealing that the values obtained depend upon the mixed proportions utilized. Nonwoven fabrics, specifically those composed of CH40:CO40:CN20 and CH40:BA40:CN20, exhibited greater air permeability. The reason for this phenomenon is attributed to the presence of thicker fibers in both materials, leading to the formation of considerably larger inter-fiber spaces within the structure.
The orderly arrangement of coffee husk, banana, and sisal fibers within the framework facilitated sound absorption and heat conduction due to their helical structure. To achieve higher comprehension, it has been observed that nonwoven fabric exhibits potential implications in commercial applications, particularly in the production of acoustic and thermal insulation materials at both domestic and industrial levels. In summary, this approach offers two benefits: firstly, it utilizes agro and industrial waste to produce valuable products, and secondly, these fibers are environmentally friendly and contribute to the attainment of the UN sustainable development objectives.
Funding
This research received no external funding.
Data Availability Statement
Data will be available on request.
Acknowledgments
I would like to thank the Department of Materials Engineering, Technical University of Liberec, Czech Republic for providing the facilities to carry out some of the measurements for this work.
Conflicts of Interest
The author declares no conflict of interest.
References
- Moszynski, P. WHO Warns Noise Pollution Is a Growing Hazard to Health in Europe. BMJ 2011, 342, d2114. [Google Scholar] [CrossRef] [PubMed]
- ShSuneel, D. Status of Ambient Noise Level in India 2017; National Ambient Noise Monitoring Network: New Delhi, India, 2018. [Google Scholar]
- Chepesiuk, R. Decibel Hell: The Effects of Living in a Noisy World. Environ. Health Perspect. 2005, 113, A34–A41. [Google Scholar] [CrossRef]
- Münzel, T.; Sørensen, M. Noise Pollution and Arterial Hypertension. Eur. Cardiol. Rev. 2017, 12, 26. [Google Scholar] [CrossRef]
- Halperin, D. Environmental Noise and Sleep Disturbances: A Threat to Health? Sleep Sci. 2014, 7, 209–212. [Google Scholar] [CrossRef] [PubMed]
- Munzel, T.; Gori, T.; Babisch, W.; Basner, M. Cardiovascular Effects of Environmental Noise Exposure. Eur. Heart J. 2014, 35, 829–836. [Google Scholar] [CrossRef]
- Münzel, T.; Sørensen, M.; Daiber, A. Transportation Noise Pollution and Cardiovascular Disease. Nat. Rev. Cardiol. 2021, 18, 619–636. [Google Scholar] [CrossRef] [PubMed]
- Frenzilli, G.; Ryskalin, L.; Ferrucci, M.; Cantafora, E.; Chelazzi, S.; Giorgi, F.S.; Lenzi, P.; Scarcelli, V.; Frati, A.; Biagioni, F.; et al. Loud Noise Exposure Produces DNA, Neurotransmitter and Morphological Damage within Specific Brain Areas. Front. Neuroanat. 2017, 11, 49. [Google Scholar] [CrossRef] [PubMed]
- Dos Reis, J.M.L. Effect of Textile Waste on the Mechanical Properties of Polymer Concrete. Mater. Res. 2009, 12, 63–67. [Google Scholar] [CrossRef]
- Periyasamy, A.P.; Militky, J. Sustainability in Regenerated Textile Fibers. In Sustainability in the Textile and Apparel Industries; Springer: Cham, Switzerland, 2020; pp. 63–95. [Google Scholar]
- Periyasamy, A.P. Natural Dyeing of Cellulose Fibers Using Syzygium Cumini Fruit Extracts and a Bio-Mordant: A Step toward Sustainable Dyeing. Sustain. Mater. Technol. 2022, 33, e00472. [Google Scholar] [CrossRef]
- Periyasamy, A.P.; Tehrani-Bagha, A. A Review on Microplastic Emission from Textile Materials and Its Reduction Techniques. Polym. Degrad. Stab. 2022, 199, 109901. [Google Scholar] [CrossRef]
- Arenas, J.P.; Asdrubali, F. Eco-Materials with Noise Reduction Properties. In Handbook of Ecomaterials; Springer International Publishing: Cham, Switzerland, 2018; pp. 1–26. [Google Scholar]
- Asdrubali, F.; Schiavoni, S.; Horoshenkov, K.V. A Review of Sustainable Materials for Acoustic Applications. Build. Acoust. 2012, 19, 283–311. [Google Scholar] [CrossRef]
- Mohammadhosseini, H.; Yatim, J.M.; Sam, A.R.M.; Awal, A.S.M.A. Durability Performance of Green Concrete Composites Containing Waste Carpet Fibers and Palm Oil Fuel Ash. J. Clean. Prod. 2017, 144, 448–458. [Google Scholar] [CrossRef]
- Rao, S.; Riahi, K. The Role of Non-CO₃ Greenhouse Gases in Climate Change Mitigation: Long-Term Scenarios for the 21st Century. Energy J. 2006, 27, 177–200. [Google Scholar]
- Leahy, S.; Clark, H.; Reisinger, A. Challenges and Prospects for Agricultural Greenhouse Gas Mitigation Pathways Consistent with the Paris Agreement. Front. Sustain. Food Syst. 2020, 4, 1–8. [Google Scholar] [CrossRef]
- da Silva, A.R.; Mareze, P.; Brandão, E. Prediction of Sound Absorption in Rigid Porous Media with the Lattice Boltzmann Method. J. Phys. A Math. Theor. 2016, 49, 065501. [Google Scholar] [CrossRef]
- Debnath, B.; Haldar, D.; Purkait, M.K. A Critical Review on the Techniques Used for the Synthesis and Applications of Crystalline Cellulose Derived from Agricultural Wastes and Forest Residues. Carbohydr. Polym. 2021, 273, 118537. [Google Scholar] [CrossRef]
- Coffee Second Only to Oil? Available online: https://www.thefreelibrary.com/Coffee+second+only+to+oil%3F+Is+coffee+really+the+second+largest...-a0198849799 (accessed on 13 July 2022).
- Karunakaran, G.; Periyasamy, A.P.; Tehrani, A. Extraction of Micro, Nanocrystalline Cellulose and Textile Fibers from Coffee Waste. J. Test. Eval. 2023, 51, 20220487. [Google Scholar] [CrossRef]
- Chawalitsakunchai, W.; Dittanet, P.; Loykulnant, S.; Sae-oui, P.; Tanpichai, S.; Seubsai, A.; Prapainainar, P. Properties of Natural Rubber Reinforced with Nano Cellulose from Pineapple Leaf Agricultural Waste. Mater. Today Commun. 2021, 28, 102594. [Google Scholar] [CrossRef]
- Ventura-Cruz, S.; Tecante, A. Nanocellulose and Microcrystalline Cellulose from Agricultural Waste: Review on Isolation and Application as Reinforcement in Polymeric Matrices. Food Hydrocoll. 2021, 118, 106771. [Google Scholar] [CrossRef]
- Vincent, S.; Kandasubramanian, B. Cellulose Nanocrystals from Agricultural Resources: Extraction and Functionalisation. Eur. Polym. J. 2021, 160, 110789. [Google Scholar] [CrossRef]
- Fatima, S.; Mohanty, A.R. Acoustical and Fire-Retardant Properties of Jute Composite Materials. Appl. Acoust. 2011, 72, 108–114. [Google Scholar] [CrossRef]
- Yilmaz, N.D.; Powell, N.B.; Banks-Lee, P.; Michielsen, S. Hemp-Fiber Based Nonwoven Composites: Effects of Alkalization on Sound Absorption Performance. Fibers Polym. 2012, 13, 915–922. [Google Scholar] [CrossRef]
- Hosseini Fouladi, M.; Ayub, M.; Jailani Mohd Nor, M. Analysis of Coir Fiber Acoustical Characteristics. Appl. Acoust. 2011, 72, 35–42. [Google Scholar] [CrossRef]
- Khidir, E.A.; Ali, M.O.M.; Ali, M.M.; Tahir, M.F.B.M.; Zulkifli, R. Analysis of Sound Absorption of Date Palm Fibers Based on Flow Resistivity. Appl. Mech. Mater. 2013, 471, 285–290. [Google Scholar] [CrossRef]
- Thilagavathi, G.; Pradeep, E.; Kannaian, T.; Sasikala, L. Development of Natural Fiber Nonwovens for Application as Car Interiors for Noise Control. J. Ind. Text. 2010, 39, 267–278. [Google Scholar] [CrossRef]
- Rwawiire, S.; Tomkova, B.; Militky, J.; Hes, L.; Kale, B.M. Acoustic and Thermal Properties of a Cellulose Nonwoven Natural Fabric (Barkcloth). Appl. Acoust. 2017, 116, 177–183. [Google Scholar] [CrossRef]
- Asdrubali, F. Green and Sustainable Materials for Noise Control in Buildings. In Proceedings of the 19th International Congress on Acoustics, Madrid, Spain, 2–7 September 2007. [Google Scholar]
- Venkatesan, H.; Periyasamy, A.P. Eco-Fibers in the Textile Industry. In Handbook of Ecomaterials; Springer International Publishing: Cham, Switzerland, 2019; Volume 3, pp. 1413–1433. ISBN 9783319682556. [Google Scholar]
- ASTM D5729-97; Standard Test Method for Thickness of Nonwoven Fabrics. ASTM: West Conshohocken, PA, USA, 2017. Available online: https://www.astm.org/d5729-97.html (accessed on 13 March 2023).
- Liu, Y.; Lyu, L.; Guo, J.; Wang, Y. Sound Absorption Performance of the Poplar Seed Fiber/PCL Composite Materials. Materials 2020, 13, 1465. [Google Scholar] [CrossRef] [PubMed]
- ASTM D737-18; Standard Test Method for Air Permeability of Textile Fabrics. ASTM: West Conshohocken, PA, USA, 2018. Available online: https://www.astm.org/standards/d737 (accessed on 13 March 2023).
- Hes, L.; Dolezal, I. New Method and Equipment for Measuring Thermal Properties of Textiles. Sen’i Kikai Gakkaishi J. Text. Mach. Soc. Jpn. 1989, 42, T124–T128. [Google Scholar] [CrossRef]
- Mangat, M.M.; Hes, L. Comfort Aspects of Denim Garments. In Denim: Manufacture, Finishing and Applications; Woodhead Publishing: Sawston, UK, 2015; pp. 461–479. ISBN 9780857098498. [Google Scholar]
- Hes, L.; Dolezal, I. Indirect Measurement of Moisture Absorptivity of Functional Textile Fabrics. J. Phys. Conf. Ser. 2018, 1065, 122026. [Google Scholar] [CrossRef]
- ASTM E1050-12; Standard Test Method for Impedance and Absorption of Acoustical Materials Using a Tube, Two Microphones and a Digital Frequency Analysis System. ASTM: West Conshohocken, PA, USA, 2019. Available online: https://www.astm.org/e1050-12.html (accessed on 11 March 2023).
- Jayamani, E.; Hamdan, S.; Rahman, M.R.; Bin Bakri, M.K.; Kakar, A. An Investigation of Sound Absorption Coefficient on Sisal Fiber Poly Lactic Acid Bio-Composites. J. Appl. Polym. Sci. 2015, 132, 42470. [Google Scholar] [CrossRef]
- Jayamani, E.; Hamdan, S.; Kok Heng, S.; Rahman, M.R.; Bin Bakri, M.K. Acoustical, Thermal, and Morphological Properties of Zein Reinforced Oil Palm Empty Fruit Bunch Fiber Bio-Composites. J. Appl. Polym. Sci. 2016, 133, 44164. [Google Scholar] [CrossRef]
- Bakri, M.K.B. Investigation of Acoustical and Mechanical Properties of Epoxy Based Natural Fibre Composites. Master’s Thesis, Swinburne University of Technology, Melbourne, Australia, 2015. [Google Scholar]
- Delany, M.E.; Bazley, E.N. Acoustical Properties of Fibrous Absorbent Materials. Appl. Acoust. 1970, 3, 105–116. [Google Scholar] [CrossRef]
- Egab, L.; Wang, X.; Fard, M. Acoustical Characterisation of Porous Sound Absorbing Materials: A Review. Int. J. Veh. Noise Vib. 2014, 10, 129. [Google Scholar] [CrossRef]
- Samaei, S.E.; Berardi, U.; Soltani, P.; Taban, E. Experimental and Modeling Investigation of the Acoustic Behavior of Sustainable Kenaf/Yucca Composites. Appl. Acoust. 2021, 183, 108332. [Google Scholar] [CrossRef]
- Garai, M.; Pompoli, F. A Simple Empirical Model of Polyester Fibre Materials for Acoustical Applications. Appl. Acoust. 2005, 66, 1383–1398. [Google Scholar] [CrossRef]
- Kirby, R. On the Modification of Delany and Bazley Fomulae. Appl. Acoust. 2014, 86, 47–49. [Google Scholar] [CrossRef]
- Crocker, M.J. (Ed.) Handbook of Noise and Vibration Control; John Wiley & Sons, Inc.: Hoboken, NJ, USA, 2007; ISBN 9780470209707. [Google Scholar]
- Bonfiglio, P.; Pompoli, F. Inversion Problems for Determining Physical Parameters of Porous Materials: Overview and Comparison Between Different Methods. Acta Acust. United Acust. 2013, 99, 341–351. [Google Scholar] [CrossRef]
- Miki, Y. Acoustical Properties of Porous Materials. Modifications of Delany-Bazley Models. J. Acoust. Soc. Jpn. 1990, 11, 19–24. [Google Scholar] [CrossRef]
- Champoux, Y.; Allard, J. Dynamic Tortuosity and Bulk Modulus in Air-saturated Porous Media. J. Appl. Phys. 1991, 70, 1975–1979. [Google Scholar] [CrossRef]
- Berardi, U.; Iannace, G.; di Gabriele, M. Characterization of Sheep Wool Panels for Room Acoustic Applications. In Proceedings of the Meetings on Acoustics, Buenos Aires, Argentina, 5–9 September 2016; p. 015001. [Google Scholar]
- Qui, H.; Enhui, Y. Effect of Thickness, Density and Cavity Depth on the Sound Absorption Properties of Wool Boards. Autex Res. J. 2018, 18, 203–208. [Google Scholar] [CrossRef]
- Li, H.; Zhang, N.; Fan, X.; Gong, J.; Zhang, J.; Zhao, X. Investigation of Effective Factors of Woven Structure Fabrics for Acoustic Absorption. Appl. Acoust. 2020, 161, 107081. [Google Scholar] [CrossRef]
- Prahsarn, C.; Klinsukhon, W.; Suwannamek, N.; Wannid, P.; Padee, S. Sound Absorption Performance of Needle-Punched Nonwovens and Their Composites with Perforated Rubber. SN Appl. Sci. 2020, 2, 559. [Google Scholar] [CrossRef]
- Oliveira, T.A. Noise Control Treatments Modeling Using Statistical Energy Analysis and the Transfer Matrix Method. In Multiphysics Simulations in Automotive and Aerospace Applications; Elsevier: Amsterdam, The Netherlands, 2021; pp. 91–131. [Google Scholar]
- Liu, P.S.; Chen, G.F. Characterization Methods. In Porous Materials; Elsevier: Amsterdam, The Netherlands, 2014; pp. 493–532. [Google Scholar]
- Koruk, H.; Genc, G.; Yuce, H. Jute and Luffa Fibers: Physical, Acoustical, and Mechanical Properties. In Cellulose Fibre Reinforced Composites; Elsevier: Amsterdam, The Netherlands, 2023; pp. 357–378. [Google Scholar]
- Mamtaz, H.; Hosseini Fouladi, M.; Nuawi, M.Z.; Narayana Namasivayam, S.; Ghassem, M.; Al-Atabi, M. Acoustic Absorption of Fibro-Granular Composite with Cylindrical Grains. Appl. Acoust. 2017, 126, 58–67. [Google Scholar] [CrossRef]
- Jitendra Kumar Shukla Coir Products. Available online: http://www.ccriindia.org/cict_bangalore.html (accessed on 22 April 2023).
- Saurabh Bakliwal Thermoplastic Nonwovens and PU Foams. Available online: https://www.dynamicnonwovens.com/profile.html (accessed on 22 April 2023).
- Militky, J.; Kremenakova, D. A Simple Methods for Prediction of Textile Fabrics Thermal Conductivity. In Proceedings of the 5th International Conference on Heat Transfer, Fluid Mechanics and Thermodynamics, South Africa, 1–4 July 2017; Meyer, J.P., Ed.; University of Pretoria: Sun City, South Africa, 2007; pp. 1–5. [Google Scholar]
- Xiao, X.; hu, J.; Hua, T.; Zeng, X.; Long, A. Through-Thickness Air Permeability of Woven Fabric under Low Pressure Compression. Text. Res. J. 2015, 85, 1732–1742. [Google Scholar] [CrossRef]
Disclaimer/Publisher’s Note: The statements, opinions and data contained in all publications are solely those of the individual author(s) and contributor(s) and not of MDPI and/or the editor(s). MDPI and/or the editor(s) disclaim responsibility for any injury to people or property resulting from any ideas, methods, instructions or products referred to in the content. |
© 2023 by the author. Licensee MDPI, Basel, Switzerland. This article is an open access article distributed under the terms and conditions of the Creative Commons Attribution (CC BY) license (https://creativecommons.org/licenses/by/4.0/).