Parametric Optimization of a Cross-Beam Glulam Floor System Using Response Surface Methodology
Abstract
1. Introduction
2. Methodology
2.1. Parametric Modeling and Strength Verification
- −
- x1—ratio of the secondary beam spacing (b) to the total structure span;
- −
- x2—ratio of the beam height (hb) to the span;
- −
- x3—ratio of the beam width () to its height hb;
- −
- Compressive stress σc,0,d = −0.430 N/mm2;
- −
- Bending stress σm,y,d = −10.277 N/mm2;
- −
- Bending stress σm,z,d = −0.322 N/mm2.
- −
- Compressive strength fc,0,d = 12.923 N/mm2;
- −
- Bending strength fm,y,d = 14.769 N/mm2;
- −
- Bending strength fm,z,d = 14.769 N/mm2.
2.2. Finite Element Model (FEM) Assumptions
3. Design of Multifactorial Experiment and Predictive Modeling
3.1. Input Parameters
- -
- Products of factor pairs: x1x2, x1x3, x2x3;
- -
- Squares of individual factors: x12, x22, x32.
- 1.
- Forming a table of input variables.
- 2.
- Creating additional columns for non-linear terms.
- 3.
- Applying the Regression function.
- 4.
- Estimating the model coefficients and assessing their statistical significance.
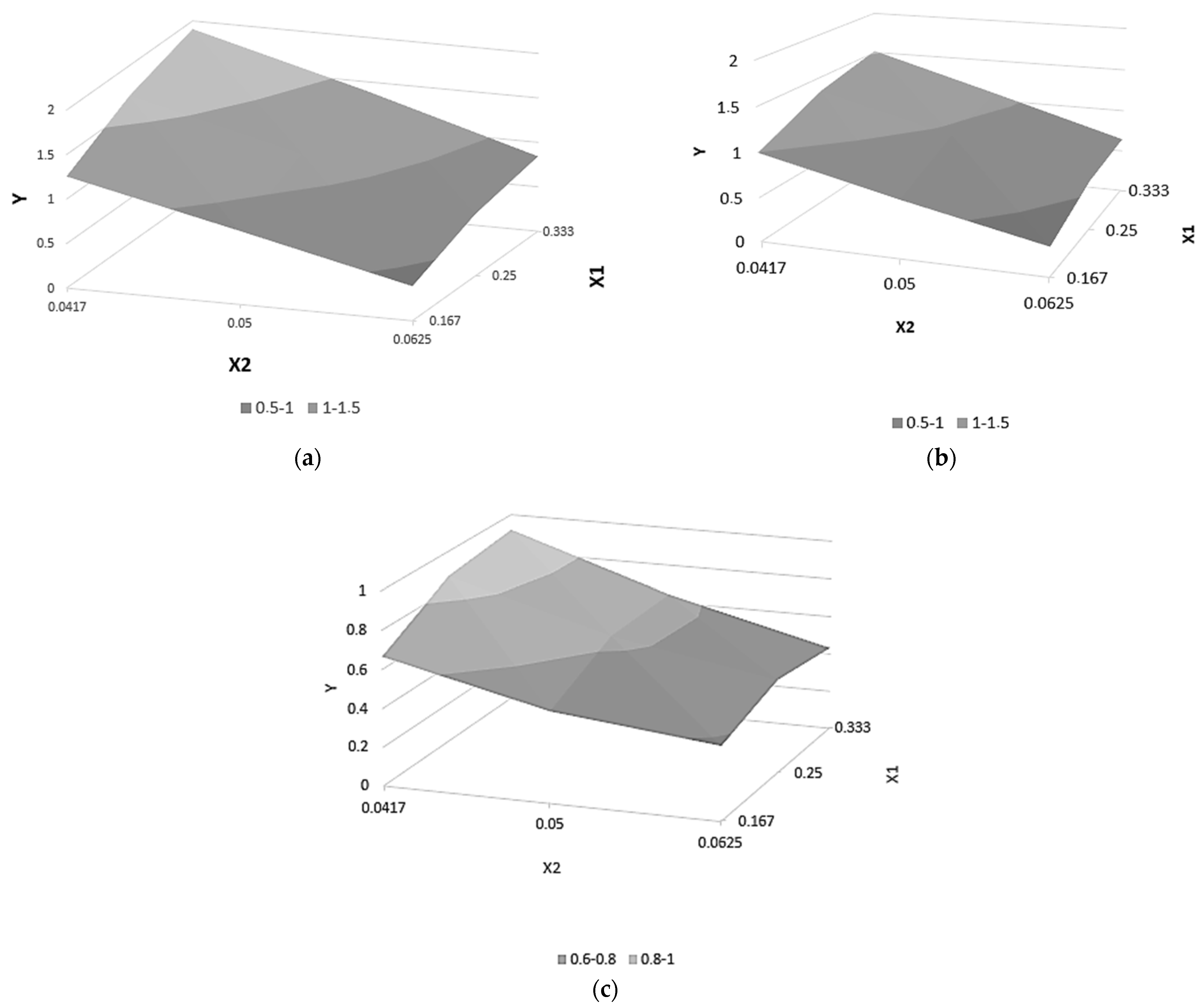
3.2. Predictive Model and Interpretation
- −
- Y > 1.0—the element fails to satisfy the strength requirements (loss of load-bearing capacity). This design region is structurally unsafe and therefore unacceptable.
- −
- Y = 1.0—the element’s strength is fully (100%) utilized; this represents the theoretical optimum.
- −
- Y < 1.0—the element remains safe, but its full capacity is not exploited. A value significantly less than 1.0 (e.g., Y = 0.3) indicates an excessive, uneconomical safety margin, leading to inefficient material usage.
- −
- Figure 2a (x3 = 0.25): The surface is a notable “steep” surface, and Y-values easily exceed 1.0, indicating high structural sensitivity and a substantial unsafe region.
- −
- Figure 2b (x3 = 0.33): The surface becomes more moderate, but the area where Y > 1.0 remains significant.
- −
- Figure 2c (x3 = 0.50): The entire surface lies within the “safe” region (Y < 1.0), demonstrating that these wider beams provide a robust structure but may also lead to over-design (Y << 1.0).
3.3. Optimization and Practical Configuration Assessment
4. Discussion of Results
4.1. Comparison of Efficient Structural Configurations
4.2. Pareto Analysis
4.3. Model Validation
4.4. Material Efficiency
5. Limitations and Future Work
- −
- FEM Assumptions: The FEM model assumed perfectly rigid connections at beam intersections. In practice, glulam joints exhibit semi-rigid behavior, which can influence both load distribution and deflection. Future work should incorporate non-linear springs or ‘joint’ elements to model these more realistically.
- −
- Material Properties: The study used deterministic material properties for GL24h glulam and did not account for the natural variability of timber properties (e.g., modulus of elasticity, strength). A probabilistic analysis—such as Monte Carlo simulation—could be implemented in future research to evaluate the reliability of the optimal design.
- −
- Scope of Parameters: The optimization was performed for a specific span (L = 6.0 m) and load case (2.5 kN/m2). While the methodology is applicable to other spans and loads, the particular optimal ratios (x1, x2, x3) identified in this study are valid only under these conditions.
- −
- Slab and System Scope: The study focused exclusively on the timber volume of the cross-beam grid. It did not include the volume or structural contribution of the floor slab (e.g., CLT or timber-concrete composite) that the grid would support. A holistic optimization including the slab volume and stiffness as variables would represent a valuable extension of this work.
- −
- Optimization Objectives: The present study focused on volume minimizing under ultimate limit state (ULS) conditions. However, it is important to recognize that for timber floor systems, Serviceability Limit States (SLS)—specifically deflection and vibration—often govern the design [17,18,19], particularly for longer spans or residential applications where user comfort is critical. Consequently, the ULS-optimal configurations identified here may carry a risk of insufficient stiffness. The presented results are therefore most applicable as a baseline for structural efficiency or for scenarios with high imposed loads where strength is the dominant constraint. Future research should explicitly integrate SLS criteria to refine these optima.
6. General Conclusions
Author Contributions
Funding
Institutional Review Board Statement
Informed Consent Statement
Data Availability Statement
Acknowledgments
Conflicts of Interest
References
- Sandberg, D.; Fragiacomo, M.; Loss, C.; Buchanan, A.H. Timber engineering principles for sustainable construction. Constr. Build. Mater. 2021, 301, 124082. [Google Scholar] [CrossRef]
- Fragiacomo, M.; Lukaszewska, E. Advances in timber structures. Eng. Struct. 2019, 183, 1–3. [Google Scholar] [CrossRef]
- Svatoš-Ražnjević, H.; Orozco, L.; Menges, A. Advanced timber construction industry: Review of 350 projects. Buildings 2022, 12, 404. [Google Scholar] [CrossRef]
- Churkina, G.; Organschi, A.; Reyer, C.P.O.; Ruff, A.; Vinke, K.; Liu, Z.; Reck, B.K.; Graedel, T.E.; Schellnhuber, H.J. Buildings as a global carbon sink. Nat. Sustain. 2020, 3, 269–276. [Google Scholar] [CrossRef]
- Kaufmann, H.; Krotsch, S.; Winter, S. Manual of Multistorey Timber Construction; DETAIL: Munich, Germany, 2018. [Google Scholar] [CrossRef]
- Karacabeyli, E.; Lum, C. CLT Handbook: US Edition; FPInnovations: Pointe-Claire, QC, Canada, 2023. [Google Scholar]
- Gimanov, O.M. Analysis of Development Paths and Use of Timber and Glulam Floor Systems; Research Bulletin; Odesa State Academy of Civil Engineering and Architecture: Odesa, Ukraine, 2025. [Google Scholar]
- Belz, J.; Kromoser, B. Structural optimization of wooden building components: A systematic review of established practices. Wood Mater. Sci. Eng. 2025, 1–22. [Google Scholar] [CrossRef]
- Wdowiak-Postulak, A.; Bahleda, F.; Prokop, J. An Experimental and Numerical Analysis of Glued Laminated Beams Strengthened by Pre-Stressed Basalt Fibre-Reinforced Polymer Bars. Materials 2023, 16, 2776. [Google Scholar] [CrossRef] [PubMed]
- Montgomery, D.C. Design and Analysis of Experiments, 9th ed.; Wiley: Hoboken, NJ, USA, 2017. [Google Scholar]
- Box, G.E.P.; Hunter, W.G.; Hunter, J.S. Statistics for Experimenters: Design, Innovation, and Discovery, 2nd ed.; Wiley: Hoboken, NJ, USA, 2005. [Google Scholar]
- EN 1995-1-1; Eurocode 5: Design of Timber Structures—Part 1-1. European Committee for Standardization: Brussels, Belgium, 2014.
- Simón-Portela, M.; Villar-García, J.R.; Rodríguez-Robles, D.; Vidal-López, P. Optimization of Glulam Regular Double-Tapered Beams for Agroforestry Constructions. Appl. Sci. 2023, 13, 5731. [Google Scholar] [CrossRef]
- EN 1990; Eurocode: Basis of Structural Design. European Committee for Standardization: Brussels, Belgium, 2002.
- EN 1991-1-1; Eurocode 1: Actions on structures—Part 1-1: General actions—Densities, Self-Weight, Imposed Loads for Buildings. European Committee for Standardization: Brussels, Belgium, 2002.
- Lee, H.; Lee, S.; Ha, Y.; Kim, K. CLT floor slab impact sound and reduction performance. In Proceedings of the INTER-NOISE 2023 Conference Proceedings, Chiba, Japan, 20–23 August 2023. [Google Scholar] [CrossRef]
- Brandner, R.; Flatscher, G.; Ringhofer, A.; Schickhofer, G.; Thiel, A. Cross-laminated timber roofs: Structural performance. J. Struct. Eng. 2020, 146, 04020049. [Google Scholar] [CrossRef]
- Marini, A.; Sandu, I.C.; Modena, C. Retrofit of wooden floors in historical buildings: Criteria and case studies. Constr. Build. Mater. 2018, 158, 801–813. [Google Scholar] [CrossRef]
- Won, D.; Kim, Y. Literature review of floor impact noise in CLT apartments. In Proceedings of the INTER-NOISE 2023 Conference Proceedings, Chiba, Japan, 20–23 August 2023. [Google Scholar] [CrossRef]
- Carrigan, C.; McKenna, S.; Mohammed, S. Green cement and concrete technology. Int. J. Sust. Built Environ. 2013, 1, 9–15. [Google Scholar] [CrossRef]
- ARUP Rethinking Timber Buildings. ARUP Research Report. 2019. Available online: https://www.arup.com/perspectives/publications/research/section/rethinking-timber-buildings (accessed on 22 August 2025).
- Jalali, S.; Borges, C.; da Silva, L.F.M. Sustainable adhesive joints in timber construction. Polymers 2022, 15, 89. [Google Scholar] [CrossRef]
- Buchanan, A.; Palermo, A.; Pampanin, S. Post-tensioned timber buildings: Seismic performance and design. Struct. Eng. 2011, 89, 24–30. [Google Scholar]
- Fursov, V.; Puryazdanhah, M. Full-scale GLT beam testing. Ukr. Inst. Steel Constr. J. 2013, 12, 71–77. [Google Scholar]



| Factor | Notation | Levels |
|---|---|---|
| Ratio of secondary beam spacing to span | x1 | 0.167/0.25/0.333 |
| Ratio of secondary beam height to span | x2 | 0.0417/0.05/0.0625 |
| Ratio of beam width to height | x3 | 0.25/0.333/0.5 |
| № | x1 | x2 | x3 | Y | V, m3 |
|---|---|---|---|---|---|
| 1 | 0.167 | 0.0417 | 0.250 | 0.683 | 0.709 |
| 2 | 0.167 | 0.0417 | 0.333 | 0.801 | 0.946 |
| 3 | 0.167 | 0.0417 | 0.500 | 0.883 | 1.419 |
| 4 | 0.167 | 0.0500 | 0.250 | 0.830 | 1.020 |
| 5 | 0.167 | 0.0500 | 0.333 | 0.926 | 1.358 |
| 6 | 0.167 | 0.0500 | 0.500 | 1.011 | 2.042 |
| 7 | 0.167 | 0.0625 | 0.250 | 0.468 | 1.593 |
| 8 | 0.167 | 0.0625 | 0.333 | 0.355 | 2.121 |
| 9 | 0.167 | 0.0625 | 0.500 | 0.300 | 3.183 |
| 10 | 0.250 | 0.0417 | 0.250 | 0.917 | 0.564 |
| 11 | 0.250 | 0.0417 | 0.333 | 1.020 | 0.751 |
| 12 | 0.250 | 0.0417 | 0.500 | 0.974 | 1.127 |
| 13 | 0.250 | 0.0500 | 0.250 | 1.150 | 0.800 |
| 14 | 0.250 | 0.0500 | 0.333 | 0.914 | 1.080 |
| 15 | 0.250 | 0.0500 | 0.500 | 0.646 | 1.620 |
| 16 | 0.250 | 0.0625 | 0.250 | 0.683 | 1.125 |
| 17 | 0.250 | 0.0625 | 0.333 | 0.526 | 1.501 |
| 18 | 0.250 | 0.0625 | 0.500 | 0.510 | 2.252 |
| 19 | 0.333 | 0.0417 | 0.250 | 0.957 | 0.423 |
| 20 | 0.333 | 0.0417 | 0.333 | 1.003 | 0.564 |
| 21 | 0.333 | 0.0417 | 0.500 | 0.702 | 0.846 |
| 22 | 0.333 | 0.0500 | 0.250 | 1.056 | 0.600 |
| 23 | 0.333 | 0.0500 | 0.333 | 1.077 | 0.800 |
| 24 | 0.333 | 0.0500 | 0.500 | 0.769 | 1.200 |
| 25 | 0.333 | 0.0625 | 0.250 | 0.822 | 0.844 |
| 26 | 0.333 | 0.0625 | 0.333 | 0.642 | 1.125 |
| 27 | 0.333 | 0.0625 | 0.500 | 0.451 | 1.688 |
| Predictor | Coefficients | Standard Error | t Stat | p-Value |
|---|---|---|---|---|
| Intercept (b0) | 5.257 | 0.812 | 6.47 | <0.001 |
| x1 | 14.561 | 2.502 | 5.82 | <0.001 |
| x2 | −142.500 | 18.067 | −7.89 | <0.001 |
| x3 | −8.729 | 1.107 | −7.88 | <0.001 |
| x1x2 | −58.174 | 20.932 | −2.78 | 0.012 |
| x1x3 | 9.680 | 3.511 | 2.76 | 0.012 |
| x2x3 | 111.750 | 16.582 | 6.74 | <0.001 |
| x12 | −11.540 | 5.093 | −2.27 | 0.035 |
| x22 | 792.860 | 169.544 | 4.68 | <0.001 |
| x32 | 4.440 | 1.341 | 3.31 | 0.003 |
| Model Summary | R Square | 0.982 | ||
| F-statistic | 102.1 | p (Significance F) | <0.001 |
| Point № | x1 | x2 | x3 | Y | δ = 1 − Y | V (m3) |
|---|---|---|---|---|---|---|
| 2 | 0.167 | 0.042 | 0.33 | 0.981 | 0.019 | 1.247753 |
| 10 | 0.250 | 0.042 | 0.50 | 0.974 | 0.026 | 1.126801 |
| 14 | 0.250 | 0.050 | 0.33 | 0.914 | 0.086 | 1.07892 |
Disclaimer/Publisher’s Note: The statements, opinions and data contained in all publications are solely those of the individual author(s) and contributor(s) and not of MDPI and/or the editor(s). MDPI and/or the editor(s) disclaim responsibility for any injury to people or property resulting from any ideas, methods, instructions or products referred to in the content. |
© 2025 by the authors. Licensee MDPI, Basel, Switzerland. This article is an open access article distributed under the terms and conditions of the Creative Commons Attribution (CC BY) license (https://creativecommons.org/licenses/by/4.0/).
Share and Cite
Gilodo, O.; Arsirii, A.; Kroviakov, S.; Gimanov, O. Parametric Optimization of a Cross-Beam Glulam Floor System Using Response Surface Methodology. Constr. Mater. 2025, 5, 85. https://doi.org/10.3390/constrmater5040085
Gilodo O, Arsirii A, Kroviakov S, Gimanov O. Parametric Optimization of a Cross-Beam Glulam Floor System Using Response Surface Methodology. Construction Materials. 2025; 5(4):85. https://doi.org/10.3390/constrmater5040085
Chicago/Turabian StyleGilodo, Oleksandr, Andrii Arsirii, Sergii Kroviakov, and Oleksandr Gimanov. 2025. "Parametric Optimization of a Cross-Beam Glulam Floor System Using Response Surface Methodology" Construction Materials 5, no. 4: 85. https://doi.org/10.3390/constrmater5040085
APA StyleGilodo, O., Arsirii, A., Kroviakov, S., & Gimanov, O. (2025). Parametric Optimization of a Cross-Beam Glulam Floor System Using Response Surface Methodology. Construction Materials, 5(4), 85. https://doi.org/10.3390/constrmater5040085

