Determination of Constrained Modulus of Granular Soil from In Situ Tests—Part 2 Application
Abstract
1. Introduction
2. Field Investigations
3. Geotechnical Conditions
4. Cone Penetration Test
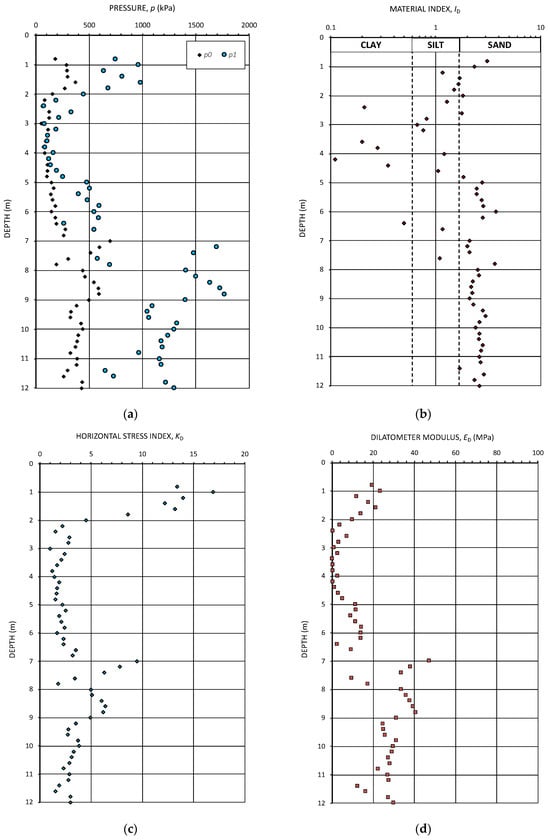
5. Dilatometer Test
6. Seismic Tests
7. Discussion
8. Summary and Conclusions
- The CPTU and the DMT results are in good agreement and provide detailed information regarding soil type and layering.
- In sandy soil, values of the modulus number, m, and the constrained modulus, Mt, derived from CPTU were in good agreement with data published in the literature. However, in soft soils (silt and clay), the constrained modulus should be determined from laboratory compression tests instead.
- DMT pressure measurements (p0 and p1) varied widely and sometimes gave unreasonable values. In some cases, ED values were very low in fine-grained soils and very high in denser, granular layers.
- The derived modulus numbers, m, and constrained modulus, Mt, were in some cases in poor agreement with published data. The high stiffness values could possibly be attributed to a pre-loading effect.
- The SCPT and SDMT measurements are in good agreement. However, neither of the two seismic methods could detect softer layers embedded in the dense sand. Thus, seismic tests should be combined with other in situ tests to detect soft layers.
Funding
Data Availability Statement
Acknowledgments
Conflicts of Interest
Nomenclature
| a | Empirical modulus factor |
| CPTU | Cone penetration test with pore water pressure measurement |
| Cs | Shear wave speed |
| DMT | Flat dilatometer test |
| e | Void ratio |
| E | Young’s modulus |
| ED | Dilatometer modulus |
| G0 | Shear modulus at small strains |
| Gs | Secant shear modulus |
| Gt | Tangent shear modulus |
| Ic | SBT Index (CPT) |
| ID | Material index (DMT) |
| j | Stress exponent |
| k | Empirical constant, which depends on PI |
| KD | Horizontal stress index |
| m | Modulus number |
| m′ | Grain size parameter |
| mu | Modulus number—unloading |
| M | Constrained modulus |
| mr | Re-loading modulus number |
| Mt | Tangent constrained modulus |
| MDMT | Constrained modulus (DMT) |
| N | Blow counts (SPT) |
| OCR | Overconsolidation ratio |
| PI | Plasticity index |
| p | Pressure |
| p0 | Dilatometer pressure (start of the expansion) |
| p1 | Dilatometer pressure (end of the expansion) |
| qc | Cone resistance |
| qt | Stress-corrected cone resistance |
| qcM | Stress-adjusted cone resistance |
| RM | Empirical parameter (DMT) |
| SDMT | Seismic down-hole dilatometer test |
| SCPT | Seismic down-hole cone penetration test |
| SPT | Standard penetration test |
| v | Poisson’s ratio |
| εv | Vertical strain |
| γ | Shear strain |
| ν | Poisson’s ratio |
| σ′0 | Mean effective stress |
| σv | Vertical total stress |
| σ′p | Preloading stress |
| σ′v | Vertical effective stress |
| σr | Reference stress (equal to 100 kPa) |
References
- Ladd, C.C.; Foott, R.; Ishihara, K.; Schlosser, F.; Poulos, H.G. Stress-deformation and strength characteristics. In Proceedings of the 9th International Conference on Soil Mechanics and Foundation Engineering, ICSMFE 9, Tokyo, Japan, 10–15 July 1977; Volume 2, pp. 421–494. [Google Scholar]
- Lambe, T.W.; Whitman, R.V. Soil Mechanics; John Wiley & Sons: New York, NY, USA, 1969. [Google Scholar]
- Canadian Foundation Engineering Manual (CFEM). Canadian Geotechnical 3rd Edition Canadian Geotechnical Society; BiTech Publishers Ltd.: Richmond, BC, Canada, 1992; 512p. [Google Scholar]
- Davis, E.H.; Poulos, H.G. The Use of elastic theory for settlement prediction under three-dimensional conditions. Geotechnique 1968, 18, 67–91. [Google Scholar] [CrossRef]
- Fellenius, B.H. Basics of Foundation Design. Electronic Edition. 2023. 346p. Available online: www.Fellenius.net (accessed on 1 December 2023).
- Mayne, P.; Christopher, B.; Berg, R.; DeJong, J. Subsurface Investigations—Geotechnical Site Characterization; National Highway Institute, FHWA: Washington, DC, USA, 2002; Publication No. FHWA-NHI-01-031; 301p. [Google Scholar]
- Sabatini, P.J.; Bachus, R.C.; Mayne, P.W.; Schneider, J.A.; Zettler, T.E. Evaluation of Soil and Rock Properties. In Geotechnical Engineering Circular No. 5. Publication, FHWA-IF-02-034; Federal Highway Administration: Washington, DC, USA, 2002. [Google Scholar]
- Baldi, G.; Belloti, R.; Ghionna, V.; Jamiolkowski, M.; Pasqualini, E. Cone resistance in dry N.C. and O.C. sands. In Proceedings of the Cone Penetration Testing and Experience, St. Louis, MO, USA, 26–30 October 1981; pp. 145–177. [Google Scholar]
- Baldi, G.; Bellotti, I.R.; Ghionna, N.; Jamiolkowski, M. Stiffness of sands from CPT, SPT and DMT—A critical review. Penetration testing in the UK. In Proceedings of the Proceedings Geotechnology Conference, Birmingham, UK, 6–8 July 1988; pp. 299–305. [Google Scholar]
- Baldi, G.; Bellotti, R.; Ghionna, V.N.; Jamiolkowski, M.; Lo Presti, D.C.F. Modulus of sands from CPT’s and DMT’s. In Proceedings of the International Conference on Soil Mechanics and Foundation Engineering, Rio de Janeiro, Brazil, 13–18 August 1989; Volume 1, pp. 165–170. [Google Scholar]
- Jamiolkowski, M.; Lo Presti, D.C.F.; Garizio, G.M. Correlation between relative density and cone resistance for silica sands. Vienna Technical University. In Reports on Geotechnical Engineering, Soil Mechanics and Rock Engineering; Technische Universität Wien: Vienna, Austria, 2001; Mitteilungen für Grundbau, Bodenmechanik und Felsbau. Heft 5, 2000/2001; Volume 5, pp. 55–63. [Google Scholar]
- Jamiolkowski, M.; Lo Presti, D.C.F.; Manassero, M. Evaluation of Relative Density and Shear Strength of Sands from CPT and DMT; American Society of Civil Engineers, ASCE: Reston, VA, USA, 2003; Geotechnical Special Publication; Volume 119, pp. 201–238. [Google Scholar]
- Janbu, N. Soil compressibility as determined by oedometer and triaxial tests. In Proceedings of the European Conference on Soil Mechanics and Foundation Engineering ECSMFE, Wiesbaden, Germany, 15–18 October 1963; Volume 1, pp. 19–25. [Google Scholar]
- Janbu, N. Soil models in offshore engineering. Rankine Lecture. Géotechnique 1985, 35, 241–281. [Google Scholar] [CrossRef]
- Andréasson, L. Kompressibilitet hos Friktionsjord: Laboratoriestudium (Compressibility of Friction Soil: Laboratory Study). Ph.D. Thesis, Chalmers Tekniska Högskola (CTH), Gothenburg, Sweden, 1973; 144p. [Google Scholar]
- Poulos, H.G. Estimation of Geotechnical Deformation Parameters from Small-Strain Shear Modulus. In Proceedings of the IFCEE 2018, Orlando, FL, USA, 6 June 2018; Innovations in Geotechnical Engineering GSP 299 87. pp. 87–100. [Google Scholar]
- Mayne, P.W. Stress-strain-strength-flow parameters from enhanced in-situ tests. In Proceedings of the International Conference on In-Situ Measurement of Soil Properties & Case Histories, Bali, Indonesia, 21–24 May 2001; Rahardjo, P.P., Lunne, T., Eds.; pp. 27–48. [Google Scholar]
- Massarsch, K.R. Determination of Constrained Modulus of Granular Soil from In Situ Tests—Part 1 Analyses. Geotechnics 2024, 4, 18–40. [Google Scholar] [CrossRef]
- Massarsch, K.R.; Fellenius, B.H. In situ tests for settlement design of compacted sand. Proc. Inst. Civ. Eng.—Geotech. Eng. 2019, 172, 207–217. [Google Scholar] [CrossRef]
- Hardin, B.O.; Drnevich, V.P. Shear modulus and damping in soils: Design equations and curves. J. Soil Mech. Found. Div. (ASCE) 1972, 98, 667–691. [Google Scholar] [CrossRef]
- Marchetti, S. Some 2015 Updates to the TC16 DMT Report. In Proceedings of the 3rd International Conference on the Flat Dilatometer, DMT’15, Rome, Italy, 14–16 June 2015; pp. 43–65. [Google Scholar]
- Fahey, M. Deformation and in situ stress measurement. In Proceedings of the International Conference on Site Characterization, ICS ‘98, Atlanta, GA, USA, 19–22 April 1998; Volume 1, pp. 49–68. [Google Scholar]
- Poulos, H.G. Use of Shear Wave Velocity for Foundation Design. Geotech. Geol. Eng. 2021, 40, 1921–1938. [Google Scholar] [CrossRef]
- Seed, H.B.; Idriss, I.M. Soil Moduli and Damping Factors for Dynamic Response Analysis; Report No. EERC 70-10; Earthquake Engineering Research Centre College of Engineering, University of California: Berkeley, CA, USA, 1970. [Google Scholar]
- Fahey, M.; Carter, J.P. Finite element study of the pressuremeter test in sand using a nonlinear elastic plastic model. Can. Geotech. J. 1993, 30, 348–362. [Google Scholar] [CrossRef]
- Vucetic, M. Cyclic threshold shear strains in soils. J. Geotech. Eng. (ASCE) 1994, 120, 2208–2228. [Google Scholar] [CrossRef]
- Massarsch, K.R. Deformation properties of fine-grained soils from seismic tests. In Proceedings of the Keynote Lecture, International Conference on Site Characterization, ISC’2, Porto, Portugal, 19–22 September 2004; pp. 133–146. [Google Scholar]
- Hardin, B.O. The Nature of Stress-Strain Behavior for Soils. In Proceedings of the Earthquake Engineering and Soil Dynamics, ASCE, Pasadena, CA, USA, 19–21 June 1978; pp. 3–89. [Google Scholar]
- Massarsch, K.R.; Perez, N.; Terceros, M.A.; Terceros, H.M. Interpretation of Seismic Tests. In Proceedings of the 3rd Bolivian International Conference on Deep Foundations, Santa Cruz de la Sierra, Bolivia, 27–29 April 2017; Volume 2, pp. 47–67. [Google Scholar]
- Massarsch, K.R.; Fellenius, B.H.; Terceros, M. Compressibility of granular soils from CPTU and DMT. In Proceedings of the 6th International Conference on Geotechnical and Geophysical Site Characterization (ISC’6), Budapest, Hungary, 26–30 September 2021; 11p. [Google Scholar]
- Fellenius, B.H.; Terceros, H.M.; Massarsch, K.R. Bolivian Experimental Site for Testing. In Proceedings of the 3rd Bolivian International Conference on Deep Foundations, Santa Cruz de la Sierra, Bolivia, 27–29 April 2017; Volume 2, pp. 3–31. [Google Scholar]
- Lunne, T.; Robertson, P.K.; Powell, J.J.M. Cone Penetration Testing in Geotechnical Practice; Blackie Academic & Professional: London, UK, 1997; 352p. [Google Scholar]
- Baldi, G.; O’Neill, D.A. Developments in penetration technology for geotechnical and environmental applications. In Proceedings of the International Symposium on Cone Penetration Testing, CPT’95, Linköping, Sweden, 4–5 October 1995; Swedish Geotechnical Society: Linköping, Sweden, 1995. SGF Report 3:95. Volume 3, pp. 19–33. [Google Scholar]
- Battaglio, M.; Bruzzi, D.; Jamiolkowski, M.; Lancellotta, R.; Baldi, G.; Bellotti, R.; Ghionna, N. Interpretation of CPT’s and CPTU’s. In Proceedings of the International Geotechnical Seminar on Field Instrumentation and In-Situ Measurements, Singapore, 25–27 November 1986; Proceedings, Part 1–2. pp. 129–156. [Google Scholar]
- Bellotti, R.; Crippa, V.; Morabito, P.; Pedroni, S.; Baldi, G. Laboratory validation of in-situ tests. In Geotechnical Engineering in Italy. An Overview; Associazione Geotecnica Italiana: Roma, Italy, 1985; Published on the occasion of the ISSMFE Golden Jubilee; pp. 251–270. [Google Scholar]
- Robertson, P.K. Soil behavior type from the CPT: An update. In Proceedings of the International Symposium on Cone Penetration Testing, 2, CPT’10, Huntington Beach, CA, USA, 9–11 May 2010; Volume 2, pp. 575–582. [Google Scholar]
- Mayne, P.W.; Coop, M.R.; Springman, S.M.; Huang, A.-B. Geomaterial behavior and testing. In Theme Lecture, 17th International Conference on Soil Mechanics and Geotechnical Engineering; IOS Press: Amsterdam, the Netherlands, 2009; Volume 4, pp. 2777–2872. [Google Scholar]
- Butcher, A.P.; Campanella, R.G.; Kaynia, A.M.; Massarsch, K.R. Seismic cone downhole procedure to measure shear wave velocity—A guideline prepared by ISSMGE TC10: Geophysical Testing in Geotechnical Engineering. In Proceedings of the XVIth International Conference on Soil Mechanics and Geotechnical Engineering, Osaka, Japan, 12–16 September 2005; pp. 17–25. [Google Scholar]












| Soil | SBT | SBT Index Ic | Empirical Modulus Factor, a | ||
|---|---|---|---|---|---|
| Classification | Zone | Loose/Soft | Compact | Dense | |
| Gravelly sand | 7 | Ic < 1.31 | 35 | 40 | 45 |
| Sands—clean to silty | 6 | 1.31 < Ic < 2.05 | 22 | 28 | 35 |
| Silty sand/sandy silt | 5 | 2.05 < Ic < 2.60 | 20 | 22 | 28 |
| Clayey silt/silty clay | 4 | 2.60 < Ic < 2.95 | 12 | 15 | 20 |
| Clay | 3 | 2.95 < Ic < 3.6 | NA | NA | NA |
Disclaimer/Publisher’s Note: The statements, opinions and data contained in all publications are solely those of the individual author(s) and contributor(s) and not of MDPI and/or the editor(s). MDPI and/or the editor(s) disclaim responsibility for any injury to people or property resulting from any ideas, methods, instructions or products referred to in the content. |
© 2024 by the author. Licensee MDPI, Basel, Switzerland. This article is an open access article distributed under the terms and conditions of the Creative Commons Attribution (CC BY) license (https://creativecommons.org/licenses/by/4.0/).
Share and Cite
Massarsch, K.R. Determination of Constrained Modulus of Granular Soil from In Situ Tests—Part 2 Application. Geotechnics 2024, 4, 636-654. https://doi.org/10.3390/geotechnics4020034
Massarsch KR. Determination of Constrained Modulus of Granular Soil from In Situ Tests—Part 2 Application. Geotechnics. 2024; 4(2):636-654. https://doi.org/10.3390/geotechnics4020034
Chicago/Turabian StyleMassarsch, K. Rainer. 2024. "Determination of Constrained Modulus of Granular Soil from In Situ Tests—Part 2 Application" Geotechnics 4, no. 2: 636-654. https://doi.org/10.3390/geotechnics4020034
APA StyleMassarsch, K. R. (2024). Determination of Constrained Modulus of Granular Soil from In Situ Tests—Part 2 Application. Geotechnics, 4(2), 636-654. https://doi.org/10.3390/geotechnics4020034

