Management Evaluation of a Semi-Urban Beach in Northwestern Mexico
Abstract
1. Introduction
2. Materials and Methods
2.1. Study Area
2.2. Beach Quality Index
2.3. User Perception
3. Results
3.1. Beach Quality Index
3.1.1. Recreational Function Subindex (RF)
3.1.2. Natural Function Subindex (NF)
3.1.3. Protection Function Subindex (PF)
- Integration of Recreational, Natural, and Beach Protection Functions
3.2. User Perception
3.2.1. User Profile
3.2.2. Recreational Habits
3.2.3. Facilities and Services, Environmental Health, and Beach Condition
4. Discussion
4.1. Beach Quality Index
4.2. User Perception
5. Conclusions
Author Contributions
Funding
Informed Consent Statement
Data Availability Statement
Acknowledgments
Conflicts of Interest
References
- McLachlan, A.; Defeo, O. Human Impacts. In The Ecology of Sandy Shores; McLachlan, A., Defeo, O., Eds.; Elsevier Academic Press: London, UK, 2018; pp. 375–420. [Google Scholar]
- Cabioch, B.; Robert, S. Integrated beach management in large coastal cities. A review. Ocean Coast. Manag. 2022, 217, 106019. [Google Scholar] [CrossRef]
- Li, H.; Wang, J.; Zhu, C. Assessment and application of beach quality based on analytic hierarchy process in Yangkou Beach, Qingdao. J. Ocean Univ. China 2023, 22, 151–160. [Google Scholar] [CrossRef]
- Nel, R.; Campbell, E.; Harris, L.; Hauser, L.; Schoeman, D.S.; McLachlan, A.; du Preez, D.R.; Bezuidenhout, K.; Schlacher, T.A. The status of sandy beach science: Past trends, progress, and possible futures. Estuar. Coast. Shelf Sci. 2014, 150, 1–10. [Google Scholar] [CrossRef]
- García-Morales, G.; Arreola-Lizárraga, J.A.; Mendoza-Salgado, R.A.; García-Hernández, J.; Rosales-Grano, P.; Ortega-Rubio, A. Evaluation of the recreational aptitude of beaches as perceived by users. J. Environ. Plan. Manag. 2017, 61, 161–175. Available online: https://www.tandfonline.com/doi/full/10.1080/09640568.2017.1295924 (accessed on 26 January 2026). [CrossRef]
- Defeo, O.; McLachlan, A.; Schoeman, D.; Schlacher, T.; Dugan, J.; Jones, A.; Lastra, M.; Scapini, F. Threats to sandy beach ecosystems: A review. Estuar. Coast. Shelf Sci. 2009, 81, 1–12. [Google Scholar] [CrossRef]
- Arreola-Lizárraga, J.A.; García-Morales, G.; León-López, C.E.; Ortega-Rubio, A. Playas recreativas de México: Vulnerabilidad y gestión. In Gobernanza y Manejo de las Costas y Mares ante la Incertidumbre: Una Guía para Tomadores de Decisiones; Azuz-Adeath, E., Cervantes-Rosas, O., Espinoza-Tenorio, A., Silva-Casarín, A., Ortega-Rubio, A., Botello, A., Vega-Serratos, B., Eds.; Rivera-Arriaga, Universidad Autónoma de Campeche—RICOMAR: Campeche, Mexico, 2020; pp. 193–220. [Google Scholar]
- Harris, L.; Nel, R.; Holness, S.; Schoeman, D. Quantifying cumulative threats to sandy beach ecosystems: A tool to guide ecosystem-based management beyond coastal reserves. Ocean Coast. Manag. 2015, 110, 12–24. [Google Scholar] [CrossRef]
- Sardá, R.; Valls, J.F.; Pintó, J.; Ariza, E.; Lozoya, J.P.; Fraguell, R.M.; Marti, C.; Rucabado, J.; Ramis, J.; Jiménez, J.A. Towards a new integrated beach management system: The ecosystem-based management system for beaches. Ocean Coast. Manag. 2015, 118, 167–177. [Google Scholar] [CrossRef]
- Espejel, I.; Espinoza-Tenorio, A.; Cervantes, O.; Popoca, I.; Mejía, A.; Delhumeaux, S. Proposal for an integrated risk index for the planning of recreational beaches: Use at seven Mexican arid sites. J. Coast. Res. 2007, 50, 47–51. [Google Scholar] [CrossRef]
- Botero, C.; Pereira, C.; Anfuso, G.; Cervantes, O.; Williams, A.T.; Pranzini, E.; Silva, C.P. Recreational parameters as an assessment tool of beach quality. J. Coast. Res. 2014, 70, 556–562. [Google Scholar] [CrossRef]
- Semeoshenkova, V.; Newton, A.; Contin, A.; Greggio, N. Development and application of an Integrated Beach Quality Index (BQI). Ocean Coast. Manag. 2016, 143, 74–96. [Google Scholar] [CrossRef]
- Ocaña, F.; Cuevas, E.; Sauma-Castillo, L.; López-Castro, M.; Guerra-Castro, E. A quantitative three-step approach for guiding sandy beach management. Ocean Coast. Manag. 2022, 229, 106337. [Google Scholar] [CrossRef]
- Cervantes, O.; Espejel, I. Design of an integrated evaluation index for recreational beaches. Ocean Coast. Manag. 2008, 51, 410–419. [Google Scholar] [CrossRef]
- Vaz, B.; Williams, A.T.; Pereira, C.; Phillips, M. The importance of user’s perception for beach management. J. Coast. Res. 2009, 56, 1164–1168. [Google Scholar]
- Navarro, R.C.; Espejel, I.; Calderón de la Barca, G.; Cervantes, O.; Leyva, A. Incorporación de la percepción de los usuarios en la certificación de playas limpias. SSRN Electron. J. 2012, 1, 140–146. [Google Scholar] [CrossRef]
- Dadon, J.R. Beach Management, Beyond the Double Standard for Client Demands and Environmental Sustainability. In Beach Management Tools: Concepts, Methodologies and Case Studies; Botero, C.M., Cervantes, O.D., Finkl, C.W., Eds.; Springer Coastal Research Library: Berlin/Heidelberg, Germany, 2018; pp. 619–634. [Google Scholar]
- Micallef, A.; Williams, A.T.; Radic, M.; Ergin, A. Application of a novel bathing area evaluation technique—A case study of Croatian Island beaches. World Leis. J. 2004, 46, 4–21. [Google Scholar] [CrossRef]
- De Serio, F.; Armenio, E.; Mossa, M.; Petrillo, A. How to Define Priorities in Coastal Vulnerability Assessment. Geosciences 2018, 8, 415. [Google Scholar] [CrossRef]
- Lithgow, D.; Martínez, M.L.; Gallego-Fernández, J.B.; Silva, R.; Ramírez-Vargas, D.L. Exploring the co-occurrence between coastal squeeze and coastal tourism in a changing climate and its consequences. Tour. Manag. 2019, 74, 43–54. [Google Scholar] [CrossRef]
- Duvat, V. Public Perception of Beach Quality: Lessons Learnt from a French Case Study; Universidad de Magdalena: Santa Marta, Colombia, March 2012; Available online: https://hal.science/hal-00821861v1 (accessed on 4 November 2025).
- Rippy, M.A.; Franks, J.P.S.; Feddersen, F.; Guza, R.T.; Warrick, J.A. Beach nourishment impacts on bacteriological water quality and phytoplankton Bloom dynamics. Environ. Sci. Technol. 2013, 47, 6146–6154. [Google Scholar] [CrossRef] [PubMed]
- Quilliam, R.S.; Kinzelman, J.; Brunner, J.; Oliver, D.M. Resolving conflicts in public health protection and ecosystem service provision at designated bathing waters. J. Coast. Res. 2015, 161, 237–242. [Google Scholar] [CrossRef] [PubMed]
- León-López, C.E.; García-Morales, G.; Chávez-Villalba, J.E.; Mendoza-Salgado, R.A.; García-Hernández, J.; Méndez-Rodríguez, L.C.; Arreola-Lizárraga, J.A. Carrying capacity and the effect of bathers on the sanitary quality of water at a rural recreational beach. FEB-Fresenius Environ. Bull. 2021, 7, 8549–8558. [Google Scholar]
- Kaviarasan, T.; Dhineka, K.; Sambandam, M.; Sivadas, S. Impact of multiple beach activities on litter and microplastic composition, distribution, and characterization along the southeast coast of India. Ocean Coast. Manag. 2022, 223, 106–177. [Google Scholar] [CrossRef]
- Botero, C.; Anfuso, G.; Williams, A.T.; Zielisnky, S.; Da Silva, C.P.; Cervantes, O.; Silva, L.; Cabrera, J.A. Reasons for Beach Choice: European and Caribbean Perspectives. J. Coast. Res. 2013, 65, 880–885. [Google Scholar] [CrossRef]
- Merlotto, A.; Verón, E.M. Evaluación de los servicios culturales de recreación y turismo del ecosistema playa en la ciudad de Mar del Plata, Argentina. Rev. Univ. Geogr. 2019, 28, 35–56. [Google Scholar]
- Cruz-Estrada, I.; Miranda-Zavala, A.; Ramírez-Torres, M. Gestión inteligente de playas desde la percepción del visitante: Caso Rosarito, Baja California, México. Rev. Cienc. Soc. 2021, 27, 504–520. [Google Scholar]
- González, S.; Holtmman, G. Quality of tourist beaches of northern Chile: A first approach for ecosystem-based management. Ocean Coast. Manag. 2017, 137, 154–164. [Google Scholar] [CrossRef]
- Merlotto, A.; Verón, E.; Bértola, G. Servicios ecosistémicos de regulación en playas del partido de General Alvarado, Buenos Aires, Argentina. Rev. Geogr. Norte Gd. 2019, 73, 113–131. [Google Scholar] [CrossRef]
- Shi, Q.; Chen, H.; Liu, D.; Geng, T.; Zhang, H. Identifying the Spatial Imbalance in the Supply and Demand of Cultural Ecosystem Services. Int. J. Environ. Res. Public Health 2022, 19, 6661. [Google Scholar] [CrossRef] [PubMed]
- García-Morales, G.; Arreola-Lizárraga, J.A.; Rosales-Grano, P. Integrated Assessment of Recreational Quality and Carrying Capacity of an Urban Beach. Coast. Manag. 2018, 46, 316–333. [Google Scholar] [CrossRef]
- Murillo, N.; Pérez-Cayeiro, M.L.; Del Río, L. Ecosystem carrying and occupancy capacity on a beach in southwestern Spain. Ocean Coast. Manag. 2023, 231, 106400. [Google Scholar] [CrossRef]
- Prisco, I.; Acosta, A.; Stanisci, A. A bridge between tourism and nature conservation: Boardwalks effects on coastal dune vegetation. J. Coast. Conserv. 2021, 25, 14. [Google Scholar] [CrossRef]
- PMDU_Guaymas. Programa Municipal de Desarrollo Urbano de Guaymas, Sonora. 2024. Available online: https://smt.guaymas.gob.mx/archivo/2025/03/ID27944-AG71-FG1-IGA-DCU-FE03-2025-PLAN-MUNICIPAL.DE.DESARROLLO.URBANO.CONTROL.URBANO.2025.PDF (accessed on 24 October 2025).
- SECTUR. Secretaría de Turismo Sistema Nacional de la Información Estadística del Sector Turismo de México (Datatur): Compendio Estadístico del Turismo en México. 2023. Available online: https://datatur.sectur.gob.mx/SitePages/CompendioEstadistico.aspx (accessed on 1 December 2025).
- Dodds, R.; Holmes, M.R. Preferences at City and Rural Beaches Are the Tourists Different? J. Coast. Res. 2020, 36, 393–402. [Google Scholar] [CrossRef]
- García-Medina, G.; Ruiz-Corral, J.A.; Martínez-Parra, R.A. Los Climas de México: Una estratificación Ambiental Basada en el Componente Climático; Centro de Investigación Regional del Pacífico Centro, INIFAP, SAGAR: Guadalajara, Mexico, 1998. [Google Scholar]
- Douglas, M.W.; Maddox, R.A.; Howard, K.; Reyes, S. The Mexican Monsoon. J. Clim. 1993, 6, 1665–1677. [Google Scholar] [CrossRef]
- Ariza, E.; Jiménez, J.A.; Sarda, R.; Villares, M.; Pinto, J.; Fraguell, R.; Roca, E.; Marti, C.; Valdemoro, H.; Ballester, R.; et al. Proposal for an integral quality index for urban and urbanized beaches. Environ. Manag. 2010, 45, 998–1013. [Google Scholar] [CrossRef]
- Casanova-Matera, L. Topografía Plana (Flat Topography); Taller de Publicaciones de Ingeniería, Universidad de Los Andes: Mérida, Venezuela, 2002; ISBN 980-11-0672-7. [Google Scholar]
- Folk, R.L.; Ward, W.C. Brazos River Bar: A study on the significance of grain size parameters. J. Sediment. Res. 1957, 27, 3–26. [Google Scholar] [CrossRef]
- Wentworth, C.K. A Scale of Grade and Class Terms for Clastic Sediments. J. Geol. 1922, 30, 377–392. [Google Scholar] [CrossRef]
- Popoca, E.; Espejel, I. Propuesta de una metodología para evaluar playas recreativas con destino turístico. Rev. Medio Ambiente Tur. Sustentabilidad 2009, 2, 119–130. [Google Scholar]
- Micallef, A.; Williams, A.T. Application of a Novel Approach to Beach Classification in the Maltese Islands. Ocean Coast. Manag. 2004, 47, 225–242. [Google Scholar] [CrossRef]
- Cendrero, A.; Fisher, D.W. A Procedure for Assessing the Environmental Quality of Coastal Areas for Planning and Management. J. Coast. Res. 1997, 13, 732–744. [Google Scholar]
- Diario Oficial de la Federación. Norma Mexicana, que Establece los Requisitos y Especificaciones de Sustentabilidad de Calidad de Playas. NMX-AA 120-SCFI-2016. Diario Oficial de la Federación 7 Diciembre 2016. Available online: http://legismex.mty.itesm.mx/normas/aa/aa120-06.pdf (accessed on 25 May 2023).
- Comisión Federal Contra la Protección y Riesgos Sanitarios (COFEPRIS). Resultados de Calidad de Agua de Mar 2023. Available online: https://gisviewer.semarnat.gob.mx/aplicaciones/Playasv22/destino.html?destino=26_2&anio=2023&periodo=2 (accessed on 23 October 2024).
- León-López, C.E.; Arreola-Lizárraga, J.A.; Padilla-Arredondo, G.; Chávez-Villalba, J.E.; Mendoza-Salgado, R.A.; Méndez-Rodríguez, L.C.; García-Hernández, J. Temporal variability of enterococci and associated sources at three subtropical recreational beaches. Oceanol. Hydrobiol. Stud. 2018, 47, 327–336. [Google Scholar] [CrossRef]
- Navarro-Jurado, E.; Mihaela, I.D.; Fernández-Morales, A. Carrying capacity model applied in coastal destinations. Ann. Tours. Res. 2013, 43, 1–19. [Google Scholar] [CrossRef]
- Pérez-Maqueo, O.; Martínez, M.L.; Sánchez-Barradas, F.; Kolg, M. Testing nature-based coastal protection against disasters derived from extreme hydrometeorological events in Mexico. Sustainability 2018, 10, 1317. [Google Scholar] [CrossRef]
- Oh, C.O.; Draper, J.; Dixon, A.W. Comparing resident and tourist preferences for public beach access and related amenities. Ocean Coast. Manag. 2010, 53, 245–251. [Google Scholar] [CrossRef]
- De Ruyk, M.; Soares, C.; Mclachlan, A. Social carrying capacity as a management tool for sandy beaches. J. Coast. Res. 1997, 13, 822–830. [Google Scholar]
- Petrosillo, I.; Zurlini, G.; Corlianò, M.E.; Zaccarelli, N.; Dadamo, M. Tourist perception of recreational environment and management in a marine protected area. Landsc. Urban Plann. 2007, 79, 29–37. [Google Scholar] [CrossRef]
- De Oliveira, E.B.; Newton, A.; Botero, C. Development of a management-based ranking of beaches. Anthr. Coasts 2024, 7, 6. [Google Scholar] [CrossRef]
- Díaz-Cuevas, M.D.; Ojeda-Zújar, J.; Álvarez-Francoso, J.I. Sensibilidad de las playas en función de la accesibilidad de los potenciales usuarios turísticos (plazas regladas) en la costa andaluza y los procesos de erosión. In Tecnologías de la Información para Nuevas Formas de ver el Territorio, Proceedings of the XVI Congreso Nacional de Tecnologías de la Información Geográfica, Alicante, Spain, 25–27 June 2014; Zaragozí Zaragozí, B., Ramón Morte, A., Eds.; Universidad de Alicante: Alicante, Spain, 2014; pp. 954–966. [Google Scholar]
- Carranza-Edwards, A.; Rosales-Hoz, L. Mexican Beach Sands: Composition and Vulnerability. In Beach Management Tools: Concepts, Methodologies and Case Studies; Botero, C.M., Cervantes, O.D., Finkl, C.W., Eds.; Coastal Research Library 24; Springer: Berlin/Heidelberg, Germany, 2018; Volume 24, pp. 273–292. [Google Scholar]
- Rodrigues da Silva, I.; Carneiro, L.; Nascimento, T.; Magalhães, A.; Marinho da Costa, R. Natural and anthropogenic processes on the recreational activities in urban Amazon beaches. Ocean Coast. Manag. 2013, 76, 75–84. [Google Scholar] [CrossRef]
- Comisión Federal contra la Protección y Riesgos Sanitarios (COFEPRIS). Manual Operativo: Vigilancia de Agua de Contacto Primario en Playas y Cuerpos de Agua Dulce; Secretaría de Salud, Comisión Federal contra la Protección y Riesgos Sanitarios: Ciudad De México, Mexico, 2015. Available online: https://apps1.semarnat.gob.mx:8443/dgeia/gob-mx/playas/pdf/lineamientos.pdf (accessed on 26 January 2026).
- Leatherman, S.P. Beach Rating: A Methodological Approach. J. Coast. Res. 1997, 13, 253–258. [Google Scholar]
- Pereira, C.C.; Jiménez, J.A.; Medeiros, C.; Costa, R.M. The influence of the environmental status of Casa Caiada and Rio Doce beaches (NE-Brazil) on beaches users. Ocean Coast. Manag. 2003, 46, 1011–1030. [Google Scholar] [CrossRef]
- Roig I- Munar, F.X. Análisis de la relación entre capacidad de carga física y capacidad de carga perceptual en playas naturales de la Isla de Menorca. Investig. Geogr. 2003, 31, 107–118. [Google Scholar] [CrossRef]
- National Healthy Beaches Campaign (NHBC). Dr. Beach’s 50 Criteria. 2023. Available online: https://www.drbeach.org/fiftycriteria (accessed on 26 January 2026).
- Schoeman, D.S.; Schlacher, T.A.; Defeo, O. Climate-change impacts on sandy-beach biota: Crossing a line in the sand. Glob. Change Biol. 2014, 20, 2383–2392. [Google Scholar] [CrossRef]
- Bosom, E.; Jiménez, J.A. Probabilistic coastal vulnerability assessment to storms at regional scale—Application to Catalan beaches (NW Mediterranean). Nat. Hazards Earth Syst. Sci. 2011, 11, 475–484. [Google Scholar] [CrossRef]
- Programa de las Naciones Unidas para el Medio Ambiente. Sustainable Coastal Tourism: An Integrated Planning and Management Approach; United Nations Environment Programme: Paris, France, 2009; Available online: https://www.researchgate.net/publication/305636718_Sustainable_Coastal_Tourism_an_integrated_planning_and_management_approach (accessed on 26 January 2026).
- Martínez, M.L.; Intralawan, A.; Vázquez, G.; Pérez-Maqueo, O.; Sutton, P.; Landgrave, R. The coasts of our world: Ecological, economic and social importance. Ecol. Econ. 2007, 63, 254–272. [Google Scholar] [CrossRef]
- Perez-Verdin, G.; Sanjurjo-Rivera, E.; Galicia, L.; Hernández-Diaz, J.C.; Hernández-Trejo, V.; Marquez-Linares, M.A. Economic valuation of ecosystem services in Mexico: Current status and trends. Ecosyst. Serv. 2016, 21, 6–19. [Google Scholar] [CrossRef]
- Arcos-Aguilar, R.; Favoretto, F.; Kumagai, J.A.; Jiménez-Esquivel, V.; Martínez-Cruz, A.L.; Aburto-Oropeza, O. Diving tourism in Mexico-Economic and conservation importance. Mar. Policy 2021, 126, 1044010. [Google Scholar] [CrossRef]
- Molina-López, M.; García-Ruiz, E.; Espigares-Rodríguez, E.; Espigares-García, M.; Fernández-Crehuet, M.; Moreno-Roldán, E. Valoración del riesgo de contaminación de aguas recreativas. Vigil. Sanit. Play. España Hig. Sanid. Ambient. 2014, 14, 1191–1195. [Google Scholar]
- Li-Ming, L.; Zhen-Li, H. Water quality prediction of marine recreational beaches receiving watershed baseflow and stormwater runoff in southern California, USA. Water Res. 2008, 42, 2563–2573. [Google Scholar] [CrossRef] [PubMed]
- Cervantes, O.; Verduzco-Zapata, G.; Botero, C.; Olivos, O.; Ortiz, J.C.; Chávez, C.; Galicia-Pérez, M. Determination of risk to users by the spatial and temporal variation of rip currents on the beach of Santiago Bay, Manzanillo, Mexico: Beach hazards and safety strategy as tool for coastal zone management. Ocean Coast. Manag. 2015, 118, 205–214. [Google Scholar] [CrossRef]
- Barrio-Ramos, M.; Castro-Castro, V. Aptitud y potencial recreativo de playas del municipio de Tapachula, Chiapas, México. Cienc. Agropecu. Biocienc. 2012, 1, 1–9. [Google Scholar]
- Mensah, M.; Fusu-Mensah, B.Y.; Yirenya-Tawiah, D. Assessing Public Perception of Beach Quality for Ecotourism Development: A Case Study in Kokrobite Beach in the Greater Accra Region, Ghana. J. Environ. Earth Sci. 2014, 4, 58–66. [Google Scholar]
- CRRIFS. Centro de Rescate, Rehabilitación e Investigacion de Fauna Silvestre. Available online: https://crrifs.org/anidacion/ (accessed on 16 December 2025).
- SIDUR-Sonora. Secretaría de Infraestructura y Desarrollo Urbano, Gobierno del Estado de Sonora. Acciones de Gobierno. Available online: https://sidur.sonora.gob.mx/acciones/noticias/gobernador-durazo-impulsa-economia-regional-con-inversion-de-800-millones-en-malecones-de-empalme-guaymas-y-san-carlos.html (accessed on 17 December 2025).






| p-Coefficients | Category |
|---|---|
| Semi-Urban Beach | |
| RF (recreational function) | p1(B) = 0.40 |
| NF (natural function) | p2(B) = 0.30 |
| FP (protection function) | p3(B) = 0.30 |
| t-coefficients | |
| α: microbiological water quality | |
| IC (crowding) | t1 = 0.12 |
| IEQ (environmental quality) | t2 = 0.20 |
| ISerF (services and facilities) | t3 = 0.06 |
| IAcT (activities) | t4 = 0.12 |
| IAcpPar (access and parking) | t5 = 0.08 |
| Icomf (comfort) | t6 = 0.12 |
| IS (surrounding quality) | t7 = 0.12 |
| IBS (beach safety) | t8 = 0.18 |
| u-coefficients | |
| IN (natural conditions) | u1 = 0.20 |
| IWSP (water and sand pollution) | u2 = 0.50 |
| IPQ (physical quality) | u3 = 0.30 |
| Perspectives on Environmental Health and Beach Conditions | |||
|---|---|---|---|
| Subject | Question | Answer | Score |
| Services and facilities | How do you dispose of your garbage? | Use of beach trash cans is adequate for this purpose. | 5 |
| Take it back home | 3 | ||
| Bury on the beach | 2 | ||
| Leave it lying on the beach | 1 | ||
| In your opinion, the access to the beach is: | Easy | 5 | |
| Regular | 3 | ||
| Hard to access | 1 | ||
| On-beach public services (e.g., restrooms, information, restaurants, etc.) are: | Excellent | 5 | |
| Adequate | 4 | ||
| Regular | 3 | ||
| Inadequate | 2 | ||
| Not available | 1 | ||
| Environment | Do you like the sand on this beach? | Yes | 5 |
| No | 1 | ||
| Regarding the natural environment (e.g., waves, dangerous animals, currents), do you consider the beach to be safe? | Yes | 5 | |
| No | 1 | ||
| In your opinion, the water temperature is: | Pleasant | 5 | |
| Warm | 3 | ||
| Cold | 1 | ||
| Are insects a nuisance? | No | 5 | |
| Occasionally | 3 | ||
| Yes | 1 | ||
| In your opinion, the water depth is: | Ideal | 5 | |
| Shallow | 3 | ||
| Deep | 1 | ||
| How would you rate the environmental quality of the beach? (How healthy do you think the natural environment of this beach is?) | Excellent | 5 | |
| Good | 4 | ||
| Regular | 3 | ||
| Poor | 1 | ||
| Cleanliness | Regarding the amount of garbage on the beach, sand cleanliness is: | Excellent | 5 |
| Good | 4 | ||
| Regular | 3 | ||
| Poor | 1 | ||
| In your opinion, the water quality on this beach is: | Excellent | 5 | |
| Good | 4 | ||
| Regular | 3 | ||
| Poor | 1 | ||
| Do you perceive bad odors? | No | 5 | |
| Yes | 1 | ||
| Are there domestic animals roaming the beach? | No | 5 | |
| Yes | 1 | ||
| Do you consider the presence of animals on the beach to be a nuisance? | No Yes | 5 1 | |
| Comfort Index | Condition | Score |
|---|---|---|
| Width (m) | 20 to 35 m | 1.00 (good) |
| Beach slope | 0°–4° | 1.00 (good) |
| Obstacles | No obstacles | 1.00 (good) |
| Abrasive materials | No | 1.00 (good) |
| Water temperature | 21–23 °C or 27–29 °C | 0.50 (regular) |
| % sunny days | 0.60 | |
| Overall score | 0.85 |
| Index | Subindices | Partial Indices | Scores |
|---|---|---|---|
| ICP: Beach Quality Index | RF: Recreational function | α: Microbiological water quality | 1 |
| IC: Saturation index | 1 | ||
| IEQ: Environmental quality | 0.94 | ||
| ISerF: Services and facilities | 0.033 | ||
| IAct: Activities | 0.80 | ||
| IActPar: Access and parking | 0.73 | ||
| IComf: Comfort index | 0.85 | ||
| IS: Surrounding quality | 0.33 | ||
| IBS: Beach safety | 0.08 | ||
| Overall RF | 0.638 | ||
| NF: Natural Function | IN: Natural conditions | 0.70 | |
| IWSP: Water and sand pollution | 0.75 | ||
| IPQ: Physical quality | 1 | ||
| Overall NF | 0.81 | ||
| PF: Protection Function | IPP: Protection | 0.154 | |
| Overall PF | 0.154 | ||
| Overall ICP | 0.544 |
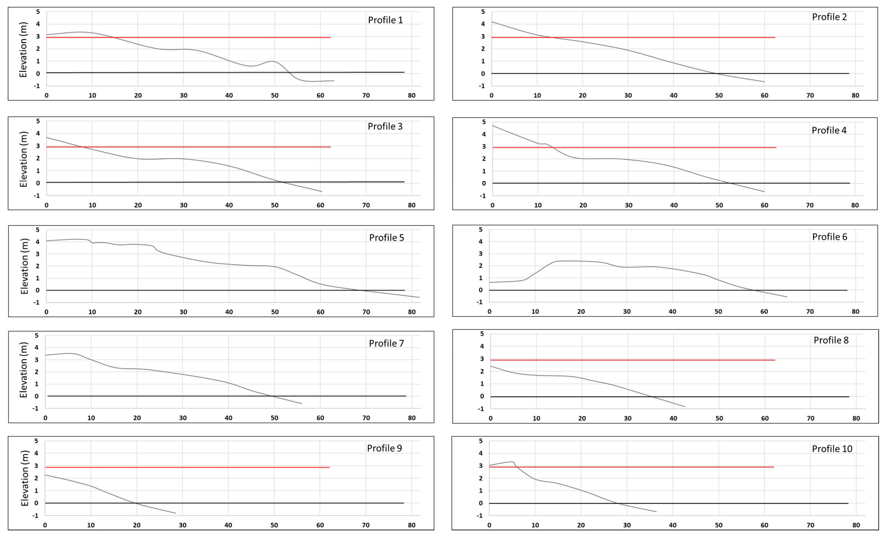
| Profile | Distance from the Starting Point of the Profile | Maximum Elevation Relative to the Mean Sea Level (m) | Location | Sediment Type |
|---|---|---|---|---|
| Sector 1 | ||||
| 1 | 0.00 | +3.281 | Dune top | Coarse sand (1.88 mm Ø) |
| 24.00 | +2.022 | Berm | Coarse sand (1.75 mm Ø) | |
| 44.00 | +0.623 | Intertidal zone | Very fine gravel (2.36 mm Ø) | |
| 63.00 | −0.584 | Breaking area | Medium sand (0.30 mm Ø) | |
| 2 | 0.00 | +4.187 | Dune top | Medium sand (0.45 mm Ø) |
| 20.00 | +2.574 | Berm | Coarse sand (1.53 mm Ø) | |
| 40.00 | +0.059 | Intertidal zone | Medium sand (0.52 mm Ø) | |
| 60.00 | −0.661 | Breaking area | Medium sand (0.26 mm Ø) | |
| 3 | 0.00 | +3.685 | Dune top | Medium sand (0.52 mm Ø) |
| 20.00 | +1.971 | Berm | Coarse sand (0.68 mm Ø) | |
| 40.00 | +1.391 | Intertidal zone | Coarse sand (1.34 mm Ø) | |
| 60.30 | −0.662 | Breaking area | Medium sand (0.30 mm Ø) | |
| Sector 2 | ||||
| 4 | 0.00 | +4.697 | Dune top | Medium sand (0.45 mm Ø) |
| 12.00 | +3.186 | Berm | Coarse sand (0.89 mm Ø) | |
| 38.00 | +1.508 | Intertidal zone | Coarse sand (0.68 mm Ø) | |
| 60.00 | −0.675 | Breaking area | Medium sand (0.34 mm Ø) | |
| 5 | 0.00 | +4.220 | Dune top | Medium sand (0.45 mm Ø) |
| 26.00 | +3.053 | Berm | Medium sand (0.34 mm Ø) | |
| 54.85 | +1.289 | Intertidal zone | Medium sand (0.45 mm Ø) | |
| 81.60 | −0.579 | Breaking area | Medium sand (0.45 mm Ø) | |
| 6 | 15.20 | +2.389 | Dune top | Medium sand (0.45 mm Ø) |
| 29.08 | +1.891 | Berm | Medium sand (0.45 mm Ø) | |
| 46.30 | +1.314 | Intertidal zone | Medium sand (0.45 mm Ø) | |
| 65.00 | −0.568 | Breaking area | Medium sand (0.52 mm Ø) | |
| Sector 3 | ||||
| 7 | 6.00 | +3.508 | Dune top | Medium sand (0.39 mm Ø) |
| 15.50 | +2.335 | Berm | Medium sand (0.52 mm Ø) | |
| 38.00 | +1.274 | Intertidal zone | Medium sand (0.45 mm Ø) | |
| 56.00 | −0.615 | Breaking area | Medium sand (0.52 mm Ø) | |
| 8 | 0.00 | +2.414 | Dune top | Medium sand (0.39 mm Ø) |
| 10.00 | +1.680 | Berm | Medium sand (0.45 mm Ø) | |
| 22.50 | +1.234 | Intertidal zone | Medium sand (0.30 mm Ø) | |
| 42.50 | −0.828 | Breaking area | Medium sand (0.45 mm Ø) | |
| 9 | 0.00 | +2.264 | Dune top | Medium sand (0.52 mm Ø) |
| 10.00 | +1.369 | Berm | Medium sand (0.34 mm Ø) | |
| 20.00 | −0.036 | Intertidal zone | Medium sand (0.30 mm Ø) | |
| 28.45 | −0.803 | Breaking area | Medium sand (0.39 mm Ø) | |
Disclaimer/Publisher’s Note: The statements, opinions and data contained in all publications are solely those of the individual author(s) and contributor(s) and not of MDPI and/or the editor(s). MDPI and/or the editor(s) disclaim responsibility for any injury to people or property resulting from any ideas, methods, instructions or products referred to in the content. |
© 2026 by the authors. Licensee MDPI, Basel, Switzerland. This article is an open access article distributed under the terms and conditions of the Creative Commons Attribution (CC BY) license.
Share and Cite
García-Morales, G.; Burrola-Sánchez, M.S.; Urías-Laborín, D.; Arreola-Lizárraga, J.A. Management Evaluation of a Semi-Urban Beach in Northwestern Mexico. Geographies 2026, 6, 15. https://doi.org/10.3390/geographies6010015
García-Morales G, Burrola-Sánchez MS, Urías-Laborín D, Arreola-Lizárraga JA. Management Evaluation of a Semi-Urban Beach in Northwestern Mexico. Geographies. 2026; 6(1):15. https://doi.org/10.3390/geographies6010015
Chicago/Turabian StyleGarcía-Morales, Gisela, María Sara Burrola-Sánchez, David Urías-Laborín, and José Alfredo Arreola-Lizárraga. 2026. "Management Evaluation of a Semi-Urban Beach in Northwestern Mexico" Geographies 6, no. 1: 15. https://doi.org/10.3390/geographies6010015
APA StyleGarcía-Morales, G., Burrola-Sánchez, M. S., Urías-Laborín, D., & Arreola-Lizárraga, J. A. (2026). Management Evaluation of a Semi-Urban Beach in Northwestern Mexico. Geographies, 6(1), 15. https://doi.org/10.3390/geographies6010015

