Next Article in Journal
Management Evaluation of a Semi-Urban Beach in Northwestern Mexico
Previous Article in Journal
Modeling and Factor Assessment of Pond Silting in Forest-Steppe Agrolandscapes of the Central Russian Upland
 
 
Font Type:
Arial Georgia Verdana
Font Size:
Aa Aa Aa
Line Spacing:
Column Width:
Background:
Article

Land Use Change and Hydrological Transformation in a Cold Semi-Arid Catchment: A SUWMBA-Based Case Study of the Selbe River, Ulaanbaatar

1
The United Graduate School of Agricultural Science, Gifu University, 1-1 Yanagido, Gifu 501-1193, Japan
2
Center for Environmental and Societal Sustainability, Gifu University, 1-1 Yanagido, Gifu 501-1193, Japan
*
Author to whom correspondence should be addressed.
Geographies 2026, 6(1), 14; https://doi.org/10.3390/geographies6010014
Submission received: 9 December 2025 / Revised: 15 January 2026 / Accepted: 15 January 2026 / Published: 2 February 2026

Abstract

Land use change driven by accelerated urbanization in Mongolia has precipitated significant degradation of urban riverine ecosystems over the past two decades. This study investigates hydrological transformations in the Selbe River Catchment of Ulaanbaatar, a cold semi-arid urban system undergoing intensive densification. Using the Site-scale Urban Water Mass Balance Assessment (SUWMBA) framework, we quantified water cycle dynamics across four temporal intervals (2008, 2010, 2018, and 2023), capturing shifts in surface runoff, infiltration, and evapotranspiration associated with land use transitions. Calibration and validation employed discharge records from the Selbe-Dambadarjaa gauging station. Results show that total inflows increased from 223 to 312 mm between 2008 and 2023, driven by a more than twentyfold rise in imported water (from 1 to 22 mm). Evapotranspiration declined by roughly one-third, while infiltration displayed a threshold-type non-linear response—rising sharply between 2010 and 2018 before decreasing again in 2023 as imperviousness intensified. Model performance weakened after 2018, underscoring the limitations of conventional hydrological frameworks in rapidly urbanizing contexts. A redevelopment scenario for the Selbe Sub-Center, aligned with the Ulaanbaatar City Master Plan 2040, projected substantially reduced evapotranspiration (132 mm) and markedly increased stormwater runoff (270 mm), reflecting expanded impervious cover and diminished vegetation. Imported water and wastewater flows (each 386 mm) also increased due to full connection to centralized supply and sewerage infrastructure, indicating a shift toward engineered water pathways and reduced hydrological connectivity to the Selbe River. These findings highlight the urgency of water-sensitive urban design and provide evidence directly informing Mongolia’s 2040 Urban Master Plan and decentralization strategy. The study establishes methodological precedent for applying SUWMBA to cold, semi-arid catchments and contributes quantitative insights for integrated land–water management policies.

1. Introduction

1.1. Background and Literature Review

Land use change driven by accelerated urbanization offers a critical opportunity to accommodate rapid population growth while addressing water-related challenges such as flooding, drought, and reduced water security. Yet in many developing countries, business-as-usual urbanization continues to degrade urban hydrology and ecosystems. Mongolia exemplifies this problem: nearly half of the nation’s population is concentrated in Ulaanbaatar, where inadequate planning and infrastructure have placed severe pressure on water resources and riverine systems [1].
International initiatives including Water Sensitive Urban Design in Australia, Sponge City program in China, Nature-Based Solutions in EUR, and Low Impact Development in USA [2] promote the principle that urban hydrological systems should mimic pre-urbanized natural flow regimes. Despite these advances, evidence on how such principles can be implemented and evaluated in developing-country contexts remains limited, largely due to the absence of quantitative methods tailored to local hydrological and infrastructural conditions. Complementary approaches that integrate traditional water knowledge into urban planning have also been proposed, but considerable challenges remain in adapting such practices to modern governance and technical frameworks [3]. Experiences from water-scarce cities such as Cairo further demonstrate the need for developing integrated urban water management policies to address infrastructure gaps [4].
This study applies the site-scale Urban Water Mass Balance Assessment (SUWMBA) framework to quantify hydrological responses to land use change in the Selbe River Catchment, Ulaanbaatar. In this context, “water performance” refers to the biophysical attributes that sustain hydrological naturalness and water resource management. It encompasses the interaction of architectural design (e.g., dwelling density, building footprint), water servicing technologies (supply, drainage, sanitation), and environmental context (climate, soil). Sustainable outcomes can only be achieved when these dimensions are considered systematically [5,6].
Existing evaluation methods often emphasize selected flows such as runoff or supply while neglecting infiltration, evapotranspiration, and informal wastewater pathways [7]. Recent reviews of site-scale Water Sensitive Urban Design (WSUD) applications confirm their potential to reshape urban water cycles; however, robust quantitative validation remains limited [8]. Although comprehensive mass balance approaches have been developed and applied in various urban contexts, they have rarely been tested in developing-country contexts with incomplete infrastructure. Moreover, many widely used tools fail to integrate design variables with water servicing technologies. Drainage models such as SWMM, MUSIC, and MIKE URBAN are technically demanding and often overlook factors like dwelling density. In contrast, sustainability while rating systems such as BREEAM and LEED incorporate urban design but lack sufficient hydrological rigor [9]. These limitations reflect broader challenges in representing complex human–natural systems within traditional land surface and hydrological models [10].
Recent, flood modeling reviews indicate that impervious surface thresholds and infiltration parameters are among the most sensitive variables in urban hydrological simulations [11]. This is consistent with recent advances in sensitivity analysis, including global sensitivity assessments of urban drainage model parameters using the Morris method [12] and studies showing how calibration parameters and the number of observations influence model performance and uncertainty [13]. Coupling dynamic system modeling with life cycle assessment has also been proposed as a holistic way to evaluate urban water use and reuse options [14]. Global reviews of groundwater depletion highlight the risks of infrastructure-dependent water systems [15], while hydrological modeling literature stresses the importance of explicitly representing human–water interfaces to improve predictive accuracy [16]. SUWMBA addresses these gaps by combining natural and anthropogenic water flows with design and technology variables, thereby providing a robust and flexible tool for site-scale applications in contexts like Ulaanbaatar.

1.2. Research Question and Methodological Innovation

The primary objective of this study was to quantify the impacts of infill redevelopment on site-scale urban water performance in Ulaanbaatar using the SUWMBA model. In line with objective, this study asks: How can the water performance of urban developments at site-scale be quantified, with joint consideration of architectural design, water servicing technologies, and environmental context? SUWMBA, originally developed in Australia [5], offers a promising foundation, yet its applicability to developing-country contexts, particularly cold semi-arid regions with incomplete centralized infrastructure and informal water systems, remains largely unvalidated. Strategic planning studies in Indonesia demonstrate how rapid urbanization requires proactive water supply management to avoid infrastructure lag [17], while governance frameworks from South Africa highlight the importance of aligning redevelopment projects with integrated water infrastructure planning [18]. This research represents the first application of SUWMBA in Mongolia and among the earliest in a developing-country urban context.
A key innovation of SUWMBA is its ability to systematically evaluate how design and servicing technologies influence water cycle outcomes, using quantitative indicators grounded in the urban water mass balance [5]. Comparable applications in African cities highlight the potential of water mass balance methods for advancing water-sensitive interventions [19]. The framework has three strengths:
  • System boundary—focused on the physical entity of urban development rather than infrastructure, enabling site-scale analysis of design–technology interactions.
  • Comprehensive accounting—includes all urban water flows, both natural (precipitation, infiltration, evapotranspiration) and anthropogenic (imported water, wastewater exports).
  • Integration of variables—captures interactions among natural systems, built environment, and socio-technological systems.
SUWMBA has demonstrated adaptability across diverse international contexts, underscoring its potential for application in rapidly urbanizing, infrastructure-limited settings [5]. Evidence from semi-arid contexts shows that WSUD measures can significantly reduce runoff, underscoring their relevance for redevelopment [20].

1.3. Research Context: Ulaanbaatar and the Selbe River Catchment

Ulaanbaatar illustrates the challenges of rapid urbanization in water-scarce regions. Nearly half of Mongolia’s population resides in the capital, which occupies only 0.3% of national territory, resulting in a population density about 150 times the national average [21]. Approximately 49% of residents live in ger areas—low-density residential districts composed of fenced household plots (khashaas) with traditional gers or self-built houses that lack centralized water and wastewater infrastructure—which comprise 66.2% of the city’s residential footprint. Following land ownership reforms in 2002, nearly 80% of in-migrants settled in these areas, accelerating informal urban expansion beyond the pace of infrastructure provision. In the Selbe River Catchment, ger areas expanded by 1832.65 hectares and the population grew by 150,685, but centralized water supply and wastewater treatment were not extended. Residents therefore rely primarily on pit latrines, contributing to contamination of the Selbe River and groundwater. Land-cover change studies in African cities demonstrate how urban heat dynamics and hydrological stress are closely linked, offering a parallel for understanding the environment dynamics of Ulaanbaatar’s ger districts [22].
The Selbe River Catchment was selected for study due to its strategic role in Ulaanbaatar’s development framework and its vulnerability to water-related stressors. The Selbe Sub-Center is one of eight planned sub-centers in the Ulaanbaatar City Master Plan 2040, designed to decentralize population and economic activity. It is slated for intensive infill redevelopment, making it an ideal case to examine how densification influences urban water cycles. According to the Ulaanbaatar 2040 Master Plan, ger areas are categorized into central, middle, and peripheral zones with different infrastructure pathways. Central ger areas are planned for full connection to centralized water and sewerage networks, while middle-zone areas are expected to receive partial or semi-centralized systems. The Selbe Sub-Center spans these central–middle zones, meaning that redevelopment aims to increase density but the timing and extent of centralized infrastructure upgrades remain uncertain. However, its location within a low-density ger zone lacking centralized infrastructure raises a critical question: how can redevelopment be managed to enhance both urban density and water cycle outcomes, rather than perpetuating the negative impacts of conventional urbanization? Critiques of existing flood risk simulation approaches suggest that current models often fail to capture future urbanization trends, highlighting the need for site-scale tools like SUWMBA [23]. Sponge city research suggests that ecological compensation frameworks can balance hydrological performance with urban growth, offering lessons for Ulaanbaatar’s redevelopment [24].

2. Study Area

The study site is a 6.08-hectare area located within the Selbe River Catchment in Ulaanbaatar, Mongolia. The catchment lies in a cold semi-arid climatic zone, characterized by long, cold winters and short summers, with the majority of annual precipitation concentrating in summer months. High potential evapotranspiration further exacerbates seasonal water scarcity. The Selbe River, a tributary of the Tuul River, plays a critical role in the local hydrological system but is increasingly stressed by rapid urban expansion and informal wastewater discharge [25,26]. The selected site is located in a ger residential zone characterized by low-density housing, pit latrine sanitation, and limited connection to centralized water infrastructure. Based on Ulaanbaatar’s urban structure, residential areas are classified into three types: Seasonal Residential Areas (SRA), Ger Residential Areas (GRA), and High-Rise Residential Areas (HRA) (Figure 1). The study site falls entirely within the GRA zone, which is defined by fenced plots, mixed pervious–impervious surfaces, and informal water and sanitation systems. Rapid densification and planned redevelopment make the area representative of broader inner urban transformation processes in Ulaanbaatar. Its proximity to the Selbe–Dambadarjaa gauging station also enables the use of observed hydrological data for model calibration and validation, supporting site-scale water balance assessment [27].
Several factors guided the selection of the study site. First, the Selbe Sub-Center is part of Ulaanbaatar’s decentralization strategy, as outlined in the 2040 General Plan and the 2050 National Development Concept [28]. Second, although the total planned redevelopment area covers 158 hectares, this study focused on the initial phase of the housing project to ensure methodological feasibility. According to SUWMBA guidelines, the framework is designed for urban units up to 4 hectares but can be applied to sites as large as 50 hectares when they consist of low-rise buildings and lack specialized rainwater harvesting systems [29]. Based on these criteria, a 6.08-hectare site represents an appropriate balance between spatial representativeness and model applicability. Finally, the site’s socio-economic characteristics including informal settlement patterns, incomplete infrastructure, and ongoing redevelopment process make it an ideal case for examining how infill densification alters hydrological performance in cold semi-arid urban environments [21,26].

3. Materials and Methods

The site-scale Urban Water Mass Balance Assessment (SUWMBA) framework [5] was selected to evaluate the urban water cycle at a 6.08 ha redevelopment site in the Selbe River Catchment, Ulaanbaatar. SUWMBA provides a comprehensive view of inflows, outflows, and storage dynamics by quantifying precipitation, imported water, evapotranspiration, stormwater runoff, wastewater, infiltration, and soil moisture change. All calculations were performed using Microsoft Excel 2021 (Microsoft Corporation, Redmond, WA, USA).

3.1. Site-Scale Hydrological Modeling: SUWMBA Framework

The SUWMBA framework [5] expresses the urban water cycle using the following mass balance equation:
P + W = E T + S W + W W + I + S
where P is precipitation, W is imported water, ET is evapotranspiration, SW is stormwater runoff, WW is wastewater, I is infiltration, and ΔS is the change in soil moisture storage [5]. These components are conceptually illustrated in Figure 2, which shows their interactions across residential units and land cover types.
Figure 2 presents the conceptual SUWMBA framework applied to the Selbe Sub-Center site. The schematic diagram illustrates how precipitation (P) and imported water (W) enter the system and are distributed across housing areas and land cover types. Housing areas consume potable water, generating wastewater (WW) and roof runoff that contribute to stormwater (SW). Rainfall on impervious surfaces produces direct runoff, while pervious soil and green space allow infiltration (I) and evapotranspiration (ET). Infiltration contributes to changes in soil moisture storage (ΔS), which in turn supports evapotranspiration. Together, these pathways represent the balance of inflows, outflows, and storage changes expressed in Equation (1).

3.2. Data Inputs and Quantification Method Used in the SUWMBA Framework

3.2.1. Data Inputs

Data inputs for the SUWMBA framework were derived from multiple sources to quantify inflows, outflows, and storage dynamics at the Selbe Sub-Center site. Meteorological records were obtained from the National Agency for Meteorology, Hydrology and Environment Monitoring (NAMHEM), with daily precipitation data serving as drivers for runoff and evapotranspiration calculations within the MUSIC model, which is a rainfall–runoff tool embedded in the SUWMBA framework to simulate the urban water cycle. Imported water was estimated using household demand models, applying a consumption rate of 7 L/person/day for ger-area households, based on values reported for Ulaanbaatar ger districts in recent assessments [30,31]. Although the official design norm for ger districts supplied from water distribution facilities is 30 L/person/day [32], the lower observed value was used to represent present-day conditions at the Selbe Sub-Center site. In the model calculations, a fixed consumption value was applied for each year: 7 L/person/day for 2008 and 2010, and 8 L/person/day for 2018 and 2023. For the redevelopment scenario, 80 L/person/day was used to represent increased water availability under piped supply.
With respect to consumptive leakage, we clarify that this component was assumed to be negligible due to the absence of continuous piped networks in most ger areas and the predominance of point-based water collection systems. While leakage may occur locally, it is expected to be small relative to total inflows and was therefore excluded; this assumption and its potential implications are now explicitly acknowledged as a source of uncertainty.
Evapotranspiration was calculated using the Ivanov–Blaney–Criddle method, a climate-based estimation approach that was indirectly validated through water balance closure. Direct evapotranspiration measurements (e.g., eddy-covariance or lysimeter data) are not available in Mongolia, and most meteorological stations do not record the radiation, humidity, and wind-speed variables required for physically based ET methods such as Penman–Monteith. For this reason, the Ivanov–Blaney–Criddle method is widely used in national hydrological practice, with the F-parameter calibrated for local climatic conditions. The resulting PET–temperature relationship (near-zero PET at sub-zero temperatures and up to 7–8 mm/day during hot summer days) was visually validated and found to be reasonable for cold semi-arid environments, supporting its suitability for use in SUWMBA. Stormwater runoff (SW) and infiltration (I) were simulated using the MUSIC rainfall–runoff module embedded in SUWMBA, which partitions rainfall according to land-cover-specific runoff coefficients, soil infiltration capacities, and the proportion of impervious and pervious surfaces.

3.2.2. Land Cover Classification for the Study Site

Land cover was digitized from cadastral and topographic maps in 2008, 2010, 2018, and 2023 by referring to a topographic map in 1970 by using ArcGIS 10.3 (Esri, Redlands, CA, USA). Site boundaries were delineated, and roof, vegetation, and barren areas were classified based on map attributes. The area of each category was calculated for each year to quantify land cover change. These GIS-derived areas were then used as inputs to SUWMBA, with default hydrological factors applied to each land cover type following MUSIC guidelines [5]. Specifically, grass and vegetation areas were assigned an evapotranspiration factor of 1.0 and imperviousness of 0%; bare soil was assigned an evapotranspiration factor of 0.3 and imperviousness of 20%; and impervious surfaces (roofs and paved areas) were assigned imperviousness of 100% [5]. This parameterization translated land cover fractions into effective imperviousness (the fraction of the site generating direct runoff) and evapotranspiration share (the fraction contributing to atmospheric water loss), forming the basis for water balance calculations.

3.3. Performance Assessment of the SUWMBA Framework by Comparing Rainfall-Runoff Calculated Using MUSIC Rainfall-Runoff Tool with the Measured Values

3.3.1. Simulation by Using the MUSIC Rainfall–Runoff Tool

Runoff, infiltration, and evapotranspiration were simulated using the MUSIC rainfall–runoff tool [33], embedded within the SUWMBA framework [5]. Input parameters were set to MUSIC default values for sandy loam soils, with the impervious fraction adjusted according to land cover analysis derived from ArcGIS (Table 1) analysis. For the predevelopment condition, the impervious fraction (1%) was derived from the 2008 ArcGIS land-cover classification, in which only roof surfaces were identified as impervious and all other surfaces were classified as pervious. Model outputs for stormwater runoff (SW) were validated against observed discharge at the Selbe–Dambadarjaa gauging station.
Default MUSIC parameters (e.g., the 0.4 mm impervious threshold, soil storage values, and infiltration characteristics) were selected following standard MUSIC guidelines and published parameter ranges commonly applied in cold semi-arid catchments. These defaults are widely applied in site-scale urban hydrological studies where detailed field measurements are limited, and their use in this study is explicitly justified based on local soil properties and catchment characteristics. Although a full sensitivity analysis was beyond the scope of this study, parameter plausibility was evaluated against local soil properties and previous hydrological modeling work in the Selbe–Dambadarjaa catchment. Parameters related to the impervious threshold, infiltration capacity, and soil moisture storage exert the strongest influence on peak flow generation; therefore, their potential contribution to model uncertainty particularly for the redevelopment scenario—is acknowledged. While these uncertainties may affect absolute runoff estimates, the relative differences between the baseline and redevelopment scenarios remain robust.

3.3.2. Evaluation of SW Values Derived from the MUSIC Rainfall-Runoff Tool

Stormwater runoff (SW) estimated from the MUSIC rainfall–runoff tool within the SUWMBA framework was validated against discharge observed at the Selbe–Dambadarjaa gauging station using multiple statistical indicators, including the Nash–Sutcliffe Efficiency (NSE), the coefficient of determination (R2), percent bias (PBIAS), root mean square error (RMSE), the ratio of RMSE to the standard deviation of observed data (RSR), and the Kling–Gupta Efficiency (KGE). NSE was employed as the primary measure of predictive accuracy, while the remaining indicators—including KGE—served as complementary metrics to evaluate correlation, bias, and variability. Together, these measures provide a comprehensive assessment of model fit, bias, and error magnitude, consistent with recommended hydrological modeling standards [34].

4. Results

4.1. Land Cover Change

Figure 3 illustrates the spatial distribution of land cover change, and Table 2 summarizes the quantitative shifts across categories. As shown in Figure 3 and Table 2, from 2008 to 2023, the study site experienced substantial shifts in land cover. Roof area expanded more than tenfold from 558 m2 in 2008 to 6681 m2 in 2023, reflecting the densification of dwellings. On the other hand, the vegetation declined sharply, and barren land fluctuated. These changes increased the effective imperviousness and reduced the evapotranspiration potential, forming the basis for altered site hydrology.

4.2. Performance Evaluation Results for the SUWMBA Framework

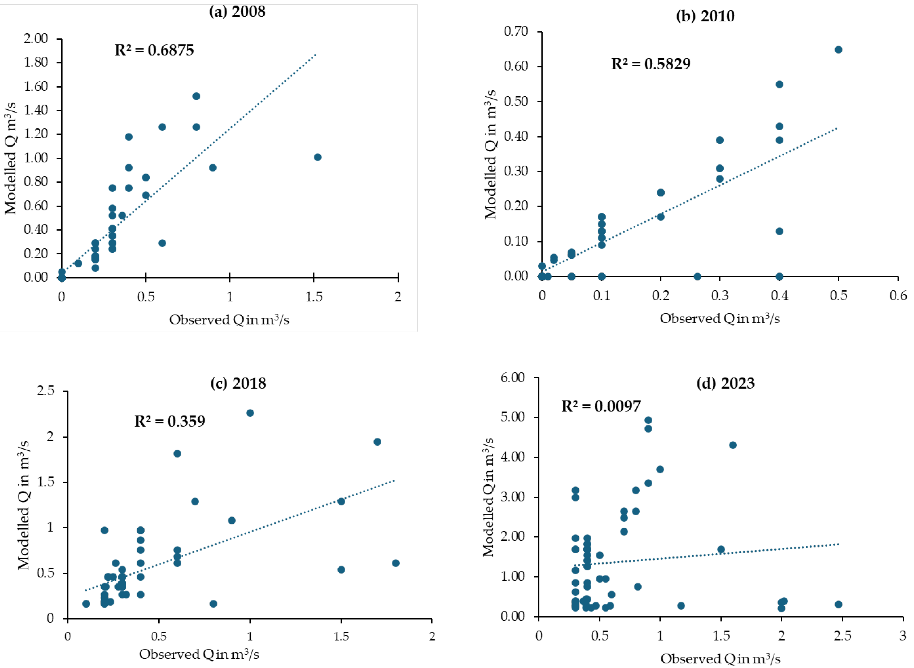
Performance evaluation for the SUWMBA framework was conducted by comparing rainfall–runoff calculated using the MUSIC rainfall–runoff tool with observed discharge data from the Selbe–Dambadarjaa gauging station, collected by the Water Supply Authority (WS) and the National Agency for Meteorology and Environmental Monitoring (NAMHEM) during July–August, the main rainy season in Ulaanbaatar [35]. The Selbe–Dambadarjaa station has continuous multi-year discharge records for 2008–2009, 2010–2011, 2018–2019, and 2023–2024, which were used for model validation. Daily meteorological data for the same periods were obtained from the Terelj meteorological station, located east of Ulaanbaatar in the Terelj–Terelj Gol area. The locations of both the Terelj rain gauge and the Selbe–Dambadarjaa discharge station are shown in Figure 1. As shown in Figure 4 and Table 3, the results in 2008 and 2010 achieved satisfactory performance, with NSE values of 0.61 and 0.55 and R2 values of 0.69 and 0.58, respectively. Percent bias indicated underestimation in 2008 (−25%) and slight overestimation in 2010 (+7%), while the RMSE values remained low (0.25 and 0.10 m3/s), confirming acceptable error magnitudes. KGE values for these years (0.56 and 0.74) further indicate good agreement in terms of correlation, bias, and variability.
However, correlation and predictive accuracy declined in later years. In 2018, NSE dropped to 0.23 and R2 to 0.35, with PBIAS showing a −22% underestimation and RMSE increasing to 0.38 m3/s. The corresponding KGE value (0.50) suggests that although peak flows were underestimated, overall hydrological variability and correlation remained moderately represented. Performance deteriorated further in 2023, where NSE was −1.52 and R2 ≈ 0.01, accompanied by a large negative bias (−55%) and high RMSE (1.45 m3/s). The strongly negative KGE (−0.22) confirms a substantial mismatch between model assumptions and observed hydrological behavior under recent densification. Negative NSE values indicate that the model performed worse than the mean of the observed data, reflecting the limits of SUWMBA under rapidly changing land use conditions.
Several factors explain the deterioration in model performance in 2018 and 2023. First, rapid densification introduced informal hydrological pathways—such as shallow roadside channels, greywater discharge trenches, and wastewater leakage from pit latrines—that are not represented in the MUSIC rainfall–runoff structure. These unmodeled pathways altered flow routing and likely contributed to the systematic underestimation of peak flows. Second, discharge monitoring at the Selbe–Dambadarjaa station has become less consistent in recent years, resulting in data gaps and potential measurement uncertainty. Third, rapid construction between 2018 and 2023 created transitional surfaces (compacted soil, temporary structures, mixed pervious–impervious areas) that reduce infiltration and are difficult to classify accurately, introducing uncertainty into the land-cover inputs used for runoff simulation.
In addition, part of the reduced performance can be attributed to the representativeness of the precipitation data. The meteorological station and the gauging station are located at different elevations (approximately 1320 m and 1532 m, respectively), which may result in discrepancies between the recorded rainfall and the actual catchment conditions, particularly during localized convective storms. These mismatches become more pronounced under recent urban densification, where small-scale hydrological changes strongly influence runoff generation. Furthermore, both 2018 and 2023 experienced unusually high-intensity rainfall events that produced short-duration flood peaks. Under these extreme events, rainfall intensities exceeded the model’s calibration range, producing short-duration flood peaks and contributing to the underestimation of peak flows, including the strongly negative NSE observed in 2023. Despite these limitations, the model remains suitable for comparative scenario analysis, as relative differences between the baseline and redevelopment conditions are less sensitive to these uncertainties. Because MUSIC is calibrated for typical rainfall patterns rather than extreme storm events, these peaks were not adequately reproduced, contributing to the decline in NSE and R2 values in the later years. The degraded model performance in 2023 (NSE = −1.52) also affects the reliability of the comparative analysis across years, because several interpretations in this study draw on the 2023 model outputs. Since the model did not reproduce the observed runoff conditions well for this year, the estimated differences in stormwater runoff should be interpreted with caution. This limitation introduces additional uncertainty into the assessment of hydrological changes over time. Nevertheless, the scenario analysis remains informative because it evaluates the relative differences between the baseline and redevelopment conditions, which were less sensitive to systematic model bias than the absolute runoff estimates for 2023.
Hydrograph comparisons (Figure 5) also illustrate these trends. While overall the simulations reproduced seasonal flow patterns and peak rainfall events reasonably well, simulations from 2018 onward underestimated peak flows and misrepresented baseflow. This decline likely reflects increasing complexity in urban hydrology due to densification, as well as limitations in monitoring data for newer developments.

4.3. SUWMBA Simulation Outputs

As shown in Table 4, SUWMBA simulations for the 6.08 ha Selbe Sub-Center site revealed substantial alterations in the urban water cycle from 2008 to 2023, with runoff, evapotranspiration, infiltration, and imported water demand all reflecting the effects of densification and evolving land cover.
Relative to 2008, the total inflows increased by approximately 36% in 2010, 69% in 2018, and 83% in 2023, while total outflows increased by 24%, 57%, and 77%, respectively. Storage change (ΔS) shifted from a slight deficit in 2008 to positive values in later years, with the largest increases in 2010 and 2018 and a smaller increase in 2023. These percentage-based trends highlight the progressive intensification of the urban water cycle under densification.
From 2008 to 2023, total inflows increased from 223 to 312 mm, driven by a more than twentyfold rise in imported water (from 1 to 22 mm). Evapotranspiration declined by roughly 30%, while infiltration exhibited nonlinear, threshold-type responses to densification. Runoff increased steadily with the expansion of impervious surfaces, and wastewater exports rose in parallel with population growth.
These water balance outcomes reflect the absence of centralized water, wastewater, and stormwater infrastructure in the study area. Household water is obtained from local water kiosks rather than a piped network, so imported water (W) represents only this small on-site demand. Wastewater (WW) equals this volume because it is discharged locally to the soil, and all stormwater runoff (SW) is generated and retained on-site due to the lack of drainage infrastructure.
These shifts reflect reduced hydrological naturalness and increasing dependence on external water sources under redevelopment conditions. Even modest increases in imported water highlight vulnerability in ger redevelopment areas lacking centralized infrastructure. Declining ET and fluctuating infiltration indicate diminished ecosystem function, while rising runoff signals heightened flood risk. Collectively, these outputs demonstrate that densification without water-sensitive interventions exacerbates hydrological stress in cold, semi-arid urban environments.

4.4. Application of SUWMBA Framework to a Planning Project: Selbe Sub-Center Redevelopment

So far, water balance estimates have been made for 2008, 2010, 2018, and 2023. Meanwhile, a scenario based on the Feasibility Study of the Selbe Sub-Center Ger Residential Area Redevelopment and Housing Project [36], which is one of the first initiatives under the Ulaanbaatar City Master Plan 2040 (Selbe Sub-Center redevelopment scenario) has been proposed [37]. Therefore, we applied the SUWMBA framework to this project area to estimate the water mass balance.
The Selbe Sub-Center redevelopment scenario involves transforming existing ger districts into higher density housing areas, accompanied by expanded water supply and sanitation infrastructure. Within the SUWMBA framework, this scenario was parameterized by adjusting land cover fractions, impervious area, and population density to reflect projected redevelopment conditions (Figure 6). In addition to land cover changes, the redevelopment scenario also incorporates the introduction of centralized water, wastewater, and stormwater infrastructure, which substantially alters the water balance outcomes even under the same degree of imperviousness. It provides a forward-looking assessment of how planned densification will alter the urban water cycle, complementing the past and current situation results for 2008, 2010, 2018, and 2023.
In the Selbe Sub-Center redevelopment, land cover and demographic characteristics of the Selbe Sub-Center project area were adjusted to reflect planned densification under the Ulaanbaatar City Master Plan 2040. As shown in Table 5, the total site area is 60,883 m2, of which 12,849 m2 is occupied by building footprints, 27,300 m2 by roads, and 20,734 m2 by green space. The scenario assumes a population of 804 residents accommodated within 8 multi-unit dwellings, representing a shift from low-density ger housing toward consolidated apartment blocks. These changes illustrate the transformation of land cover composition and settlement structure under the redevelopment plan.
For the redevelopment planning project, household water demand was set at 80 L/person/day in line with national norms for connected public housing. This represents a planning assumption reflecting the shift from ger households to fully serviced apartments. The imported water in Table 6 is supplied from the Tuul River Basin via the city’s centralized network, while wastewater is exported to treatment facilities outside the Selbe Catchment. Within SUWMBA, these flows are represented as external boundary inputs and outputs rather than internal Selbe hydrological processes.
Table 6 summarizes the projected urban water mass balance components for the Selbe Sub-Center redevelopment scenario under the Ulaanbaatar City Master Plan 2040. Total inflows amount to 773 mm, consisting of 387 mm of precipitation and 386 mm of imported water supplied through the centralized system. Outflows total 780 mm, distributed across evapotranspiration (132 mm), stormwater runoff (270 mm), infiltration (24 mm), and wastewater export (386 mm). The resulting storage change is −7 mm, indicating a slight net loss of soil moisture under the densified land-use configuration.
Compared to the results obtained in 2008–2023 for the Selbe Sub-Center site, the redevelopment planning project scenario reflects reduced evapotranspiration and increased stormwater runoff, consistent with expanded impervious cover and diminished vegetation. These projections highlight the hydrological consequences of densification at the project scale, providing quantitative evidence of how redevelopment alters the balance between inflows, outflows, and storage.
Taken together, the simulations for years of 2008–2023 and the redevelopment scenario provide a comprehensive picture of how densification transforms the urban water cycle in the Selbe River Catchment. While the site results from 2008–2023 reveal declining hydrological naturalness and increasing reliance on imported water, the redevelopment scenario highlights further shifts anticipated under Master Plan 2040. Together, these findings set the stage for a broader discussion of implications for water-sensitive urban design and integrated land–water management in Ulaanbaatar.

5. Discussion

This study demonstrates that land-use change in the densifying Selbe River Catchment has substantially altered the site-scale urban water cycle. Between 2008 and 2023, total inflows increased from 223 to 312 mm, driven largely by a more than twentyfold rise in imported water (from 1 to 22 mm). Evapotranspiration declined from 193 to 135 mm, while stormwater runoff rose from 29 to 77 mm in response to expanding impervious surfaces. Infiltration patterns were irregular, reflecting threshold-type soil–vegetation interactions that can temporarily buffer hydrological impacts. Collectively, these shifts indicate reduced hydrological naturalness and increasing dependence on external water sources. The decline in evapotranspiration further underscores the importance of urban greenery strategies, which are known to improve microclimates and support ecosystem function in cold, semi-arid urban environments [37].
Earlier hydrological experiments in the Selbe River Catchment [27] emphasized natural rainfall–runoff variability, with evapotranspiration losses reaching up to 90% in dry months. The present SUWMBA analysis extends this baseline by quantifying how redevelopment intensifies stress, shifting the balance from precipitation-dominated to infrastructure-dependent water systems. This trajectory mirrors findings from other rapidly urbanizing regions, where densification outpaces infrastructure expansion and forces reliance on distant water sources that are environmentally costly and economically unsustainable [38]. Comparable system dynamics modeling in Indonesia has similarly highlighted how integrated approaches are needed to manage clean water under rapid urbanization [39].
To situate these findings within broader research on Ulaanbaatar’s water security, Table 7 compares the Selbe SUWMBA case with recent catchment- and city-scale studies. While previous work has focused on water yield modeling, groundwater contamination, managed aquifer recharge, and governance diagnostics, this study provides the first site-scale quantification of hydrological transformation under planned redevelopment.
These comparisons highlight that while basin- and city-scale studies have advanced the understanding of water yield, groundwater contamination, recharge strategies, and governance, none have quantified site-scale hydrological performance under redevelopment. The Selbe SUWMBA case therefore fills a critical methodological gap, providing evidence that densification without water-sensitive interventions reduces hydrological naturalness and exacerbates stress on urban water systems. The nature-based solutions literature identifies indicators and barriers relevant to embedding ecological functions into redevelopment [43], while blue-green infrastructure reviews emphasize that design and planning choices strongly influence hydrological resilience in densifying cities [44].
Policy implications are clear: Ulaanbaatar’s Master Plan 2040 must embed Water Sensitive Urban Design measures—such as permeable pavements, green roofs, rainwater harvesting, and regenerative landscaping—to ensure that redevelopment enhances resilience rather than amplifying vulnerability. Regional climate studies highlight that semi-arid cities face increasing extremes, intensifying the urgency of water-sensitive planning [35].
Limitations of this study include the decline in model performance after 2018 and the reliance on available monitoring data, which may not fully capture informal water pathways. Model performance deteriorated markedly after 2018 due to rapid densification, increasing imperviousness, and the emergence of informal drainage routes that are not represented within SUWMBA’s fixed-parameter framework. During this period, the Nash–Sutcliffe Efficiency (NSE) became increasingly sensitive to peak-flow underestimation, whereas the Kling–Gupta Efficiency (KGE) provided a more balanced evaluation by integrating correlation, bias, and variability. The moderate KGE in 2018 (0.50) and the strongly negative value in 2023 (−0.22) indicate that hydrological behavior diverged progressively from the model assumptions as redevelopment intensified. These findings highlight the need for improved monitoring data and the adoption of dynamic or hybrid modeling approaches in future work to better represent evolving urban hydrological processes.
In adapting international WSUD approaches to Ulaanbaatar, it is essential to recognize Mongolia’s unique climatic and socio-economic constraints. Cold-climate conditions—including frozen soils for five to six months, limited infiltration during winter, delayed spring snowmelt, and short vegetation growth periods—restrict the year-round performance of green infrastructure and require modified design standards. At the same time, socio-economic realities in ger areas, such as low household income, informal land tenure, and limited capacity for operation and maintenance, influence the feasibility and long-term adoption of WSUD measures. These factors highlight that while global initiatives such as Sponge Cities and Low Impact Development offer valuable frameworks, their implementation in Ulaanbaatar must be tailored to local climatic and community conditions to ensure effectiveness and equity.
In addition to freeze–thaw-resilient WSUD measures, Ulaanbaatar’s hydrology offers opportunities for seasonal storage and managed aquifer recharge (MAR). Because infiltration is limited during winter but increases rapidly during spring thaw, the most feasible recharge window aligns with the short, high-flow snowmelt period. Potential strategies include shallow infiltration galleries, controlled recharge basins, and the use of green open spaces for temporary detention during meltwater pulses. These approaches allow excess spring runoff to be stored underground for later use, reducing pressure on centralized supply systems and enhancing resilience in a highly seasonal climate.
Cold semi-arid hydrological dynamics further shape the feasibility of WSUD in Ulaanbaatar. Prolonged soil freezing suppresses infiltration for much of the year, while rapid spring snowmelt generates short, intense runoff pulses that place additional pressure on drainage systems. These conditions require tailored WSUD solutions such as insulated rainwater harvesting tanks, frost-resistant infiltration trenches, permeable pavements designed for freeze–thaw cycles, and snow-compatible stormwater conveyance. Socio-economic considerations are equally important: many ger-area households face financial constraints, variable land tenure, and limited capacity for system upkeep, making the long-term sustainability of WSUD dependent on cost–benefit trade-offs, community engagement, and affordable maintenance pathways. Integrating these climatic and socio-economic realities is essential for designing WSUD interventions that are both technically viable and socially equitable in Mongolia’s redevelopment context.
By applying SUWMBA in a cold semi-arid, developing-country context, this study establishes methodological precedent and provides quantitative evidence for embedding water-sensitive design into Mongolia’s decentralization strategy. Planetary health frameworks stress that safeguarding water systems is central to resilience in the Anthropocene [45].

6. Conclusions

This study demonstrates the application of the site-scale Urban Water Mass Balance Assessment (SUWMBA) framework to quantify hydrological transformations under land use change in the Selbe River Catchment, Ulaanbaatar. Results revealed a sharp rise in imported water dependency, declining evapotranspiration, irregular infiltration responses, and steadily increasing stormwater runoff. These findings demonstrate how densification without water-sensitive interventions reduces hydrological naturalness and intensifies stress on urban water systems in cold semi-arid contexts.
By situating the Selbe case alongside catchment- and city-scale studies, this research fills a critical methodological gap: it provides the first site-scale quantification of hydrological performance under planned redevelopment in Mongolia. The evidence underscores the need to embed Water-Sensitive Urban Design measures—such as permeable pavements, green roofs, rainwater harvesting, and regenerative landscaping—into Ulaanbaatar’s Master Plan 2040 and National Development Concept 2050. Doing so will ensure that redevelopment enhances resilience rather than amplifying vulnerability.
Beyond its local relevance, this study establishes methodological precedent for applying SUWMBA in developing-country urban systems with incomplete infrastructure. Future work should integrate socio-economic variables, expand the monitoring of informal water pathways, and test WSUD interventions at site-scale. Together, these efforts will advance integrated land–water management strategies and support more sustainable urban transformation in Mongolia and comparable semi-arid cities worldwide.

Author Contributions

Conceptualization, Z.C. and Y.W.; methodology, Z.C. and Y.W.; software, Z.C.; formal analysis, Z.C.; investigation, Z.C.; resources, Y.W.; data curation, Z.C.; writing—original draft preparation, Z.C.; writing—review and editing, Z.C. and Y.W.; visualization, Z.C.; supervision, Y.W.; project administration, Y.W.; funding acquisition, Y.W. All authors have read and agreed to the published version of the manuscript.

Funding

This research received no external funding. The APC was funded by the authors.

Data Availability Statement

The data presented in this study are available on request from the corresponding author.

Acknowledgments

The authors are deeply grateful to Mojtaba Moravej for his invaluable guidance and support throughout this research and also thank Munkhtsetseg Zorigt, Sandelger Dorligjav, and Narantsogt Sanchir for their thoughtful contributions. Special thanks are due to Enkhtuya Nergui and Amarzaya Munkbat for their essential assistance with the field data collection. AI tools were used to assist with language refinement, formatting consistency, and clarity improvements during manuscript preparation. All scientific content was developed under the authors’ supervision and reviewed for accuracy and originality. No AI tools were used for data analysis, interpretation, or scientific conclusions.

Conflicts of Interest

The authors declare no conflicts of interest. The funders had no role in the design of the study; in the collection, analyses, or interpretation of data; in the writing of the manuscript; or in the decision to publish the results.

Abbreviations

The following abbreviations are used in this manuscript:
SUWMBASite-Scale Urban Water Mass Balance Assessment
MUSICModel for Urban Stormwater Improvement Conceptualization
NAMHEMNational Agency for Meteorology, Hydrology and Environment
WSWater Supply Authority (Ulaanbaatar)
WSUDWater Sensitive Urban Design

References

  1. Sochacka, B.; Kenway, S.; Bertram, N.; London, G.; Renouf, M.; Sainsbury, O.; Surendran, S.; Moravej, M.; Nice, K.; Todorovic, T.; et al. Water Sensitive Outcomes for Infill Development: Final Report; Queensland University of Technology: Brisbane, Australia, 2021. [Google Scholar]
  2. Fisher-Jeffes, L.; Carden, K.; Armitage, N. A Water Sensitive Urban Design Framework for South Africa; University of Pretoria: Pretoria, South Africa, 2017. [Google Scholar] [CrossRef][Green Version]
  3. Asad, R.; Vaughan, J.; Ahmed, I. Integrated Traditional Water Knowledge in Urban Design and Planning Practices for Sustainable Development: Challenges and Opportunities. Sustainability 2023, 15, 12434. [Google Scholar] [CrossRef]
  4. ElZein, Z.; Abdou, A.; Sumel, I. Lessons Learned from Water-Scarce Cities: Proposed Policies toward an Integrated Urban Water Management in Egypt. Front. Water 2022, 4, 981261. [Google Scholar] [CrossRef]
  5. Moravej, M.R. SUWMBA User Manual; Cooperative Research Centre for Water Sensitive Cities: Brisbane, Australia, 2020. [Google Scholar]
  6. Renouf, M.; Kenway, S.J.; Bertram, N.; London, G.; Sainsbury, O.; Todorovic, T.; Nice, K.A.; Surendran, S.; Moravej, M. Salisbury Case Study Final Report: Water Sensitive Outcomes for Infill Development; Queensland University of Technology: Brisbane, Australia, 2020. [Google Scholar]
  7. Zhang, L.; Nan, Z.; Xu, Y.; Li, S. Hydrological Impacts of Land Use Change and Climate Variability in the Headwater Region of the Heihe River Basin, Northwest China. PLoS ONE 2016, 11, e0158394. [Google Scholar] [CrossRef]
  8. Meng, X. Understanding the Effects of Site-Scale Water-Sensitive Urban Design (WSUD) in the Urban Water Cycle: A Review. Blue-Green Syst. 2022, 4, 26. [Google Scholar] [CrossRef]
  9. Boldrin, M.T.N.; Formiga, K. Measuring the Environmental Performance of Urban Water Systems: A Systematic Review. Water Sci. Technol. 2023, 23, 076. [Google Scholar] [CrossRef]
  10. Fisher, R.A.; Koven, C.D. Perspectives on the Future of Land Surface Models and the Challenges of Representing Complex Terrestrial Systems. J. Adv. Model. Earth Syst. 2020, 12, e2018MS001453. [Google Scholar] [CrossRef]
  11. Kumar, V.; Sharma, K.V.; Caloiero, T.; Mehta, D.; Singh, K. Comprehensive Overview of Flood Modeling Approaches: A Review of Recent Advances. Hydrology 2023, 10, 141. [Google Scholar] [CrossRef]
  12. Assaf, M.N.; Salis, N.; Manenti, S.; Tamellini, L.; Creaco, E.; Todeschini, S. Optimizing hydrological modelling on a real urban catchment: Impact of calibration data selection and objective function. J. Hydrol. 2025, 662A, 133821. [Google Scholar] [CrossRef]
  13. Her, Y.; Chaubey, I. Impact of the numbers of observations and calibration parameters on equifinality, model performance, and output and parameter uncertainty. Hydrol. Process. 2015, 29, 4220–4237. [Google Scholar] [CrossRef]
  14. Gilboa, Y.; Friedler, E.; Schütze, M. Assessing Water Use and Reuse Options—A Holistic Analysis of a Model City, Coupling Dynamic System Modelling with Life Cycle Assessment. Urban Water J. 2023, 20, 435–447. [Google Scholar] [CrossRef]
  15. Bierkens, M.F.P.; Wada, Y. Non-Renewable Groundwater Use and Groundwater Depletion: A Review. Environ. Res. Lett. 2019, 14, 043002. [Google Scholar] [CrossRef]
  16. Wada, Y.; Bierkens, M.F.P.; de Roo, A.; Dirmeyer, P.A.; Famiglietti, J.S.; Hanasaki, N.; Konar, M.; Liu, J.; Schmied, H.M.; Oki, T.; et al. Human–Water Interface in Hydrological Modelling: Current Status and Future Directions. Hydrol. Earth Syst. Sci. 2017, 21, 4169–4193. [Google Scholar] [CrossRef]
  17. Sari, D.M.; Ismail, M.R. Strategic Planning of Urban Water Supply Systems in Responses to Rapid Urbanization: A Case Study of Bandar Lampung, Indonesia. J. Environ. Infrastruct. Manag. Stud. 2025, 1, 4. [Google Scholar] [CrossRef]
  18. Maumela, K.G.; Mathaba, T.; Kao, M. An Integrated Framework for Urban Water Infrastructure Planning and Management: A Case Study for Gauteng Province, South Africa. Water 2025, 17, 2290. [Google Scholar] [CrossRef]
  19. Tesfay, A.; Assefa, T.; Gebremariam, E. Analyzing Urban Water Metabolism of Adama City Using Water Mass Balance Method for Advancing Water Sensitive Interventions. Front. Water 2024, 6, 1427788. [Google Scholar] [CrossRef]
  20. Sadima, M.M. Evaluating the Effectiveness of Water Sensitive Urban Design (WSUD) Measures in Reducing Runoff at the Water Institute in Dar es Salaam, Tanzania. J. Water Resour. Eng. Manag. Policy 2025, 2, 9. [Google Scholar] [CrossRef]
  21. Government of Mongolia. General Development Plan of Ulaanbaatar City Until 2040; State Great Khural (Parliament of Mongolia): Ulaanbaatar, Mongolia, 2024. Available online: https://ulaanbaatar2040.mn (accessed on 9 December 2025).
  22. Yusuf, Y.A.; Shafri, H.Z.B.M.; Roslan, S.N.A.B.; Gambo, J. Land-Cover Change and Predictive Modeling of Urban Heat Dynamics in Kano, Nigeria. J. Appl. Geospat. Sci. Technol. 2025, 5, 111. [Google Scholar] [CrossRef]
  23. Zwirglmaier, V.; Reimuth, A.; Garschagen, M. How Suitable Are Current Approaches to Simulate Flood Risk under Future Urbanization Trends? Environ. Res. Lett. 2024, 19, 064012. [Google Scholar] [CrossRef]
  24. Shi, C.; Li, Y.; Li, H.; Qiu, H.; Xu, T. Towards Sustainable Urban Water Management: An Ecological Compensation Framework for Sponge Cities. Environ. Res. Lett. 2024, 19, 115010. [Google Scholar] [CrossRef]
  25. Altansukh, O.; Davaa, G. Application of Index Analysis to Evaluate the Water Quality of the Tuul River in Mongolia. J. Water Resour. Prot. 2011, 2, 398–414. [Google Scholar] [CrossRef]
  26. Batsaikhan, N.; Lee, J.M.; Nemer, B.; Woo, N.C. Water Resources Sustainability of Ulaanbaatar City, Mongolia. Water 2018, 10, 750. [Google Scholar] [CrossRef]
  27. Oyunbaatar, D. Runoff and Rainfall Distribution in the Selbe River Basin; Institute of Meteorology and Hydrology: Ulaanbaatar, Mongolia, 2000. [Google Scholar]
  28. State Great Khural (Parliament of Mongolia). “VISION 2050” Long Term Development Policy of Mongolia; Annex 1 to Resolution No. 52; Government of Mongolia: Ulaanbaatar, Mongolia, 2020. [Google Scholar]
  29. Moravej, M.; Renouf, M.A.; Lam, K.L.; Kenway, S.J.; Urich, C. Site-scale Urban Water Mass Balance Assessment (SUWMBA) to quantify water performance of urban design-technology-environment configurations. Water Res. 2021, 188, 116477. [Google Scholar] [CrossRef]
  30. WaSH Action Mongolia. Current Situation Analysis and Recommendations on the Water, Sanitation and Hygiene Sector in Mongolia; WaSH Action Mongolia: Ulaanbaatar, Mongolia, 2018. [Google Scholar]
  31. World Bank. Urban Water Tariff Assessment: Integrating Social Equity, Financial Sustainability, Resource Conservation; World Bank: Washington, DC, USA, 2019. [Google Scholar]
  32. Ministry of Environment; Green Development and Tourism of Mongolia. Order No. A/301: Water Consumption Norms; MEGDT: Ulaanbaatar, Mongolia, 2015. [Google Scholar]
  33. Davis, G. MUSIC: Model for Urban Stormwater Improvement Conceptualisation (Version 1); Cooperative Research Centre for Catchment Hydrology: Melbourne, Australia, 2004; Available online: https://toolkit.ewater.org.au/tools/music (accessed on 9 December 2025).
  34. Moriasi, D.N.; Arnold, J.G.; Van Liew, M.W.; Bingner, R.L.; Harmel, R.D.; Veith, T.L. Model Evaluation Guidelines for Systematic Quantification of Accuracy in Watershed Simulations. Trans. ASABE 2007, 50, 885–900. [Google Scholar] [CrossRef]
  35. National Agency for Meteorology and Environmental Monitoring (NAMHEM). National Agency for Meteorology and Environmental Monitoring Website; NAMHEM: Ulaanbaatar, Mongolia, 2024. Available online: https://namem.gov.mn/en/home (accessed on 9 December 2025).
  36. Ulaanbaatar City Municipality. Feasibility Study of the Selbe Sub Center Ger Area Redevelopment and Housing Project; Approved Technical Report, General Development Plan of Ulaanbaatar City until 2040; Ulaanbaatar City Municipality: Ulaanbaatar, Mongolia, 2024. [Google Scholar]
  37. Brahimi, M.; Benabbas, M.; Altan, H.; Nocera, F.; Costanzo, V. Enhancing Urban Microclimates: Potential Benefits of Greenery Strategies in a Semi-Arid Environment. Sustainability 2023, 15, 16380. [Google Scholar] [CrossRef]
  38. Arbi, Y.; Ramadhianty, R.; Rahayu, S.; Putri, W. System Dynamics Modelling of Integrated Urban Clean Water Management: A Case Study in Padang City, Indonesia. J. Renew. Energy Environ. Law 2025, 4, 184. [Google Scholar] [CrossRef]
  39. Zittis, G.; Almazroui, M.; Alpert, P.; Ciais, P.; Cramer, W.; Dahdal, Y.; Fnais, M.; Francis, D.; Hadjinicolaou, P.; Howari, F.; et al. Climate Change and Weather Extremes in the Eastern Mediterranean and Middle East. Rev. Geophys. 2022, 60, e2021RG000762. [Google Scholar] [CrossRef]
  40. Munkhtur, P.; Tseveengerel, B. InVEST Model-Based Estimation of Water Yield in the Upper Tuul River Basin. Proc. Mong. Acad. Sci. 2022, 62, 19–29. [Google Scholar] [CrossRef]
  41. Narantsogt, N.; Mohrlok, U. Evaluation of Managed Aquifer Recharge (MAR) Methods for Semi-Arid, Cold Regions. Water 2019, 11, 2548. [Google Scholar] [CrossRef]
  42. Munkhsuld, E.; Ochir, A.; Koop, S.; van Leeuwen, K.; Batbold, T. Application of the City Blueprint Approach in Landlocked Asian Countries: A Case Study of Ulaanbaatar, Mongolia. Water 2020, 12, 199. [Google Scholar] [CrossRef]
  43. Kabisch, N.; Stadler, J.; Korn, H.; Bonn, A. Nature-Based Solutions to Climate Change Mitigation and Adaptation in Urban Areas: Perspectives on Indicators, Knowledge Gaps, Barriers, and Opportunities for Action. Ecol. Soc. 2016, 21, 39. [Google Scholar] [CrossRef]
  44. Kelkar, V.; Helm, B.; Krebs, P. A Semi-Systematic Global Review to Understand the Key Components Essential for Advancing the Actual Design, Planning, and Implementation of Blue-Green Infrastructure in Indian Cities. Land 2025, 14, 2287. [Google Scholar] [CrossRef]
  45. Whitmee, S.; Haines, A.; Beyrer, C.; Boltz, F.; Capon, A.G.; de Souza Dias, B.F.; Ezeh, A.; Frumkin, H.; Gong, P.; Head, P.; et al. Safeguarding Human Health in the Anthropocene Epoch: Report of The Rockefeller Foundation–Lancet Commission on Planetary Health. Lancet 2015, 386, 1973–2028. [Google Scholar] [CrossRef]
Figure 1. Location of the 6.08-hectare study site within the Selbe River Catchment and Ulaanbaatar City, Mongolia.
Figure 1. Location of the 6.08-hectare study site within the Selbe River Catchment and Ulaanbaatar City, Mongolia.
Geographies 06 00014 g001
Figure 2. Conceptual SUWMBA Framework for the Selbe Sub-Center Case Study. Note: P = precipitation; W = imported water; WW = wastewater; SW = stormwater runoff; ET = evapotranspiration; I = infiltration; ΔS = change in soil moisture storage. Population and dwelling units determine water demand and wastewater generation, while land cover types (impervious, pervious, and green space) control the distribution of precipitation into runoff, infiltration, evapotranspiration, and soil moisture storage.
Figure 2. Conceptual SUWMBA Framework for the Selbe Sub-Center Case Study. Note: P = precipitation; W = imported water; WW = wastewater; SW = stormwater runoff; ET = evapotranspiration; I = infiltration; ΔS = change in soil moisture storage. Population and dwelling units determine water demand and wastewater generation, while land cover types (impervious, pervious, and green space) control the distribution of precipitation into runoff, infiltration, evapotranspiration, and soil moisture storage.
Geographies 06 00014 g002
Figure 3. Land cover change in selected area at the Selbe Sub-Center Site.
Figure 3. Land cover change in selected area at the Selbe Sub-Center Site.
Geographies 06 00014 g003
Figure 4. Scatter Plots Comparing Observed and Simulated Discharge based on the MUSIC runoff tool (2008–2023).
Figure 4. Scatter Plots Comparing Observed and Simulated Discharge based on the MUSIC runoff tool (2008–2023).
Geographies 06 00014 g004
Figure 5. Hydrographs of Precipitation, Observed and Simulated Discharge based on the MUSIC runoff tool (2008–2023).
Figure 5. Hydrographs of Precipitation, Observed and Simulated Discharge based on the MUSIC runoff tool (2008–2023).
Geographies 06 00014 g005
Figure 6. Land cover types in the Selbe Sub-Center redevelopment project area (Selbe Sub-Center redevelopment).
Figure 6. Land cover types in the Selbe Sub-Center redevelopment project area (Selbe Sub-Center redevelopment).
Geographies 06 00014 g006
Table 1. Parameters used in MUSIC rainfall–runoff tool in the Selbe case study.
Table 1. Parameters used in MUSIC rainfall–runoff tool in the Selbe case study.
ParameterSymbolValueUnitRemarks
Soil moisture store capacitySMSC98mmSandy loam (MUSIC default)
Field capacityFC70mmSandy loam
Impervious thresholdIMPSC0.4mmMUSIC default; most sensitive parameter in validation
Initial soil storageISS30%MUSIC default
Infiltration capacityCOEFF250mmSandy loam
Infiltration exponentSQ1-MUSIC default
Daily recharge rateRFAC0%MUSIC default
Irrigation triggerIRRT0.4%MUSIC default, irrigation not applied
Impervious fraction (predevelopment state)-1%Calculated from ArcGIS land cover classification
Consumptive water usage and leakage-0%Assumed negligible
Note: Parameters: (1) SMSC—soil moisture store capacity, the maximum amount of water the soil can hold; (2) FC—field capacity, the water retained in soil after gravitational drainage; (3) IMPSC—impervious threshold, the minimum depth before runoff begins; (4) ISS—initial soil storage, the starting soil moisture content at the beginning of the simulation; (5) COEFF—infiltration capacity, the maximum infiltration rate for sandy loam soils; (6) SQ—infiltration exponent, which controls the shape of the infiltration curve; (7) RFAC—daily recharge rate, the fraction of soil water recharged each day; (8) IRRT—irrigation trigger, the threshold for irrigation (not applied in this study); (9) Impervious fraction—estimated through spatial analysis in ArcGIS based on land cover classification. For the predevelopment condition, only roof surfaces were classified as impervious in the 2008 dataset, while barren and low-vegetation areas were pervious, resulting in an impervious fraction of 1%; and (10) Consumptive water usage and leakage—assumed negligible for the site. The symbol “-” indicates that the parameter has no defined symbol or no unit (dimensionless).
Table 2. Basic information of study site (60,883 m2).
Table 2. Basic information of study site (60,883 m2).
Year2008201020182023
Total population3244101460
Number of dwellings per site81126115
Roof area of each dwelling (m2) (imperviousness = 1)55870515796681
Low vegetation area (m2) (imperviousness = 0)23,87511,63811,55311,555
Barren area (m2) (imperviousness = 0)36,449.2448,54047,75142,647
Table 3. Performance assessment for SUWMBA framework in the Selbe Sub-Center (2008–2023).
Table 3. Performance assessment for SUWMBA framework in the Selbe Sub-Center (2008–2023).
YearNSER2PBIAS (%)RMSE (m3/s)KGEPerformance Evaluation
2008 0.610.69−25.20.250.56Satisfactory
2010 0.550.586.90.100.74Satisfactory
2018 0.230.35−22.40.380.50Poor
2023 −1.520.01−54.81.45−0.22Poor
Note: NSE = Nash–Sutcliffe Efficiency; KGE = Kling–Gupta Efficiency; R2 = coefficient of determination; PBIAS = percent bias; RMSE = root mean square error. Calibration (2008, 2010) adjusted parameters; validation (2018, 2023) tested predictive skill. Negative PBIAS = underestimation, positive = overestimation. Performance ratings follow the thresholds in [34] (e.g., NSE > 0.5 and PBIAS ≤ 25% = satisfactory). KGE was added to provide a more balanced evaluation of correlation, bias, and variability, especially under densification conditions.
Table 4. Urban water mass balance results for the 6.08 ha Selbe Sub-Center site (2008–2023) (unit: mm/year).
Table 4. Urban water mass balance results for the 6.08 ha Selbe Sub-Center site (2008–2023) (unit: mm/year).
YearInflowsOutflowsUrban Water Mass Balance
PWETSWIWWTITO ΔS
200822211932901223224−1
201030122025842230327726
2018372514885139537735126
2023387221461101312240939613
Note: Average annual flows are measured in mm/year. P: Precipitation; W: Imported water; ET: Evapotranspiration; SW: Stormwater runoff; WW: Wastewater; I: Infiltration; TI: Total inflow; TO: Total outflow; ΔS: Change in soil moisture storage. Positive values indicate inflows; negative values indicate outflows. For ΔS, positive values indicate net storage gain and negative values indicate storage loss. The positive ΔS values likely reflect short-term moisture accumulation during the wettest period of the year (July–August), which is the period used for model calibration and validation. However, part of this residual term may also arise from model simplifications in representing deep percolation and slow subsurface drainage.
Table 5. Basic information of study site (60,883 m2)—Redevelopment planning project (Selbe Sub-Center redevelopment, estimated results).
Table 5. Basic information of study site (60,883 m2)—Redevelopment planning project (Selbe Sub-Center redevelopment, estimated results).
New Planning Project
Total Population804
Dwelling8
Roof, built up area (m2) (imperviousness = 1)12,848.8
Road (m2) (imperviousness = 1)27,300
Green area (m2) (imperviousness = 1)20,734.2
Table 6. Urban water mass balance simulated for the Selbe Sub-Center redevelopment scenario (unit: mm).
Table 6. Urban water mass balance simulated for the Selbe Sub-Center redevelopment scenario (unit: mm).
ScenarioInflowsOutflowsUrban Water Mass Balance
PWETSWIWWTITO ΔS
New Planning Project38738613227024386773780−7
Note: Average annual flows are measured in mm/year. P: Precipitation; W: Imported water; ET: Evapotranspiration; SW: Stormwater runoff; WW: Wastewater; I: Infiltration; TI: Total inflow; TO: Total outflow; ΔS: Change in soil moisture storage. Positive values indicate inflows; negative values indicate outflows.
Table 7. Comparative Overview of Land Use and Water Studies in Ulaanbaatar.
Table 7. Comparative Overview of Land Use and Water Studies in Ulaanbaatar.
ThemeTuul River Basin [40]Ulaanbaatar Water Security [26]Managed Aquifer Recharge [41]City Blueprint Approach [42]Selbe Basin Experimental Study [27]
ScaleBasin-wideCity-scaleCity-scaleCity-scaleCatchment-scale
MethodInVEST water yield modelingHydrochemistry + isotopesFEFLOW simulation; ice storage conceptGovernance diagnosticRainfall–runoff monitoring
Main findingsET ~827 mm/yr; yield 0.43 km3Ger districts: 64–305 mg/L NO3 contaminationProposed recharge optimizationUlaanbaatar scored “wasteful” (Blue Index 2.3)ET losses up to 90% in dry months
Unique contributionFirst spatial water yield mappingFirst integrated isotope analysis of groundwaterNovel ice-storage MAR conceptGovernance-focused assessmentFirst experimental water balance in the Selbe Basin
Planning RelevanceResource allocation for basin managementInfrastructure priorities in ger districtsWater supply strategy for rapid urbanizationIWRM restructuring recommendationsBaseline for urban hydrology comparison
Disclaimer/Publisher’s Note: The statements, opinions and data contained in all publications are solely those of the individual author(s) and contributor(s) and not of MDPI and/or the editor(s). MDPI and/or the editor(s) disclaim responsibility for any injury to people or property resulting from any ideas, methods, instructions or products referred to in the content.

Share and Cite

MDPI and ACS Style

Chinbat, Z.; Wei, Y. Land Use Change and Hydrological Transformation in a Cold Semi-Arid Catchment: A SUWMBA-Based Case Study of the Selbe River, Ulaanbaatar. Geographies 2026, 6, 14. https://doi.org/10.3390/geographies6010014

AMA Style

Chinbat Z, Wei Y. Land Use Change and Hydrological Transformation in a Cold Semi-Arid Catchment: A SUWMBA-Based Case Study of the Selbe River, Ulaanbaatar. Geographies. 2026; 6(1):14. https://doi.org/10.3390/geographies6010014

Chicago/Turabian Style

Chinbat, Zaya, and Yongfen Wei. 2026. "Land Use Change and Hydrological Transformation in a Cold Semi-Arid Catchment: A SUWMBA-Based Case Study of the Selbe River, Ulaanbaatar" Geographies 6, no. 1: 14. https://doi.org/10.3390/geographies6010014

APA Style

Chinbat, Z., & Wei, Y. (2026). Land Use Change and Hydrological Transformation in a Cold Semi-Arid Catchment: A SUWMBA-Based Case Study of the Selbe River, Ulaanbaatar. Geographies, 6(1), 14. https://doi.org/10.3390/geographies6010014

Article Metrics

Back to TopTop