Abstract
The prevailing environmental conditions before and during the 28 Large Forest Fires (LFFs) that have occurred in the Canary Islands since 1983 are analyzed. These conditions are often associated with episodes characterized by the advection of continental tropical air masses originating from the Sahara, which frequently result in intense heatwaves. During the onset of the LFFs, the base of the subsidence thermal inversion layer—separating a lower layer of cool, moist air from an upper layer of warm, dry air—is typically located at an altitude of around 350 m above sea level, approximately 600 m below the usual average. Understanding these Saharan air advection events is crucial, as they significantly alter the vertical thermal structure of the atmosphere and create highly conducive conditions for wildfire ignition and spread in the forested mid- and high-altitude zones of the archipelago. Analysis of meteorological records from various weather stations reveals that the average maximum temperature on the first day of fire ignition is 30.3 °C, with mean temperatures of 27.4 °C during the preceding week and 28.9 °C throughout the fire activity period. Relative humidity on the ignition days averages 24.3%, remaining at around 30% during the active phase of the fires. No significant correlation has been found between dry or wet years and the occurrence of LFFs, which have been recorded across years with widely varying precipitation levels.
1. Introduction
Forest fires are phenomena that impact human health and well-being on a global scale, as well as the integrity and functioning of ecosystems, infrastructure, material assets, and economic activities. The magnitude of these events is considerable, with an estimated 3.5 to 4.6 million km2 affected each year—representing approximately 2.3 to 3% of the Earth’s surface [1]. The number of direct fatalities resulting from such disasters is estimated at several hundred globally each year [2]. In addition, approximately 350,000 deaths occur annually due to exposure to smoke from biomass combustion, particularly in sub-Saharan Africa and Southeast Asia, according to Johnston et al. [3].
Forest fires occur in different climatic and geographic contexts around the world, although Mediterranean climates have characteristics that favor the spread of fire and, thus, the occurrence of severe and widespread fires [4]. These regions include large areas of the Mediterranean basin, California, central Chile, the South African province of the Western Cape, the Australian southwest, etc. In these areas—which barely cover 2% of the Earth, summers are dry and hot, precipitation is scarce—although occasionally intense—and, in general, these are areas suffering from significant climatic variability [5].
In Europe, Mediterranean countries account for 85% of the area affected by forest fires [6]. In these territories, episodes of complex management are frequent, such as those that occurred in August 2016 in Madeira [7] or in July 2023 on the Greek island of Rhodes, when more than 20,000 people had to be evacuated due to the virulence of a fire that was also unfolding simultaneously in other parts of the country [8]. The emergency resulted in one casualty, the destruction of homes, hotels and businesses, and the interruption of tourist activity, the island’s main source of income.
The ecosystems of these areas are populated by a variety of plant species adapted to fire as a consequence of an ancestral evolutionary association [9,10], and they are close to places of high population density. The Canary Islands, the region of analysis for this study, represent a unique case in this sense, as their ecosystems are characterized by a high degree of endemism and diverse climates resulting from complex topography and maritime influence. Many native plant communities, as will be mentioned later, have evolved under humid and stable climatic conditions and display limited adaptations to fire. Consequently, forest fires pose a serious threat not only to biodiversity but also to the ecological integrity and resilience of these fragile habitats.
This research has two main objectives: (1) to characterize the environmental conditions during the months and weeks preceding the onset of Large Forest Fires—LFFs—in the Canary Islands since 1983, with special emphasis on the altitude of the subsidence thermal inversion; and (2) to contextualize these conditions in relation to the typical climate of the archipelago.
The Canary Islands are located at subtropical latitudes—27.5° N–29.5° N, barely 100 km from the northwestern coast of Africa, as shown in Figure 1. Their climate is influenced by several factors, among which are its archipelagic condition, the proximity to the Sahara Desert—from which air masses of considerable dryness and temperature originate, exacerbating the risk of wildfire, how often the trade winds blow from the northeast, the cold marine current of the Canary Islands and its compartmentalized orography. All these factors determine the presence of notable climatic contrasts in a region of barely 7500 km2.
Figure 1.
Location, climates, and forest area of the Canary Islands. Sources: [11,12].
According to the Köppen–Geiger classification, the two climates with the greatest spatial representation in the archipelago are the hot desert—BWh—and the warm-summer Mediterranean—Csb. BWh appears in the easternmost islands and downwind of the prevailing trade winds, while Csb predominates in the westernmost and higher altitude islands, especially upwind and excluding the coasts [13]. At this point, it should be noted that the high frequency of trade winds—from the first quadrant—determines a clear climatic differentiation between slopes, so that the windward side corresponds to the areas open to the north and NE, while the leeward side corresponds to the southern slopes.
Thus, in the areas under the influence of the Csb climate, stable conditions prevail throughout most of the year, with mild temperatures—15–20 °C—and moderate precipitation—between 200 and 1500 mm/year—with a high degree of interannual irregularity [14]. The precipitation regime is purely Mediterranean, with a notable summer drought [15]. These climatic conditions foster the existence of two major forest formations: laurel forest and pine forest [16]. The first, made up of about twenty species—Laurus novocanariensis, Persea indica, Erica arborea or Morella faya, among others [17], develops upwind of the highest islands. Three types can be distinguished: dry forest—300–600 m.a.s.l., humid forest—600–1250 m.a.s.l.—and cold and dry summer forest—1250–1500 m.a.s.l. From this altitude on the northern slopes, and from about 900 m on the leeward facades, where the laurel forest is non-existent, there is pine forest, a relatively homogeneous formation, open and adapted to more arid conditions, where Pinus canariensis reigns [18].
The altitudinal configuration of these vegetation formations is closely conditioned by the presence of a subsidence thermal inversion, which separates, during most of the days of the year, a lower, cool and humid air layer from an upper, warm and very dry one [19,20]. Far from being at a fixed altitude, the base of this inversion—typical of subtropical regions under the influence of the trade winds—fluctuates considerably; in winter it exceeds 1250 m.a.s.l., while in summer, it drops to around 700–800 m, exposing most of the Canary Islands’ forest mass to more arid conditions than usual and, therefore, increasing the risk of forest fires.
This subsidence thermal inversion is particularly relevant for wildfire risk in the Canary Islands because it effectively traps a warm, dry air mass above the cooler, moist layer near the surface. This stratification inhibits vertical mixing, thereby limiting the dilution of heat and moisture near the ground. As a result, vegetation located within or just above the inversion base is exposed to prolonged periods of elevated temperatures and reduced humidity, which accelerates drying of fuels and enhances their flammability. Moreover, the seasonal lowering of the inversion base in summer coincides with the arrival of Saharan air masses—continental tropical air advected due to a thermal depression west of the Sahara—which further exacerbates these arid conditions. This leads to environmental conditions favoring forest fire development, characterized by very high temperatures—often above 35 °C, extremely low relative humidity—below 15%, sometimes even 10%, and gusty moderate winds downwind of the Saharan airflows [21].
Despite their impact, these warm advection events are a minority compared to other types of weather on the islands, being present for slightly more than 20% of the days of the year and more frequent in winter [22]. However, more than 90% of the area affected by fires in the Canary Islands occurs during days under these conditions [21], which shows the need to deepen the analysis of such conditions in order to adequately characterize the risk of forest fires and thus contribute to the improvement of early warning systems and prevention and response plans and strategies.
The Canary Islands is the Spanish autonomous community—with the exception of the cities of Ceuta and Melilla—with the smallest forested area, both in total—about 137,000 ha [23], and relative to its total surface area—18%, compared to the 37% averaged in the Balearic Islands, for example [24]. Furthermore, the number of incidents recorded in the Canary Islands, as well as the area affected by fires, is significantly lower than other Spanish areas [25,26]. Nevertheless, according to the same sources, the archipelago is the community with the highest probability that the fires will become Large Forest Fires—hereinafter, LFFs, which are defined as those that exceed 500 hectares. Approximately 95% of the area affected by fire on the islands corresponds to this type of large-scale events [25].
In the Canary Islands, a territory with high demographic pressure, forest fires represent a significant risk due to their proximity to urbanized areas, which are often located in the immediate vicinity—or even inside wooded areas. Thus, there is a very blurred delimitation between the different land uses and, in addition, the urban–forest interface is very difficult to delineate. In this context, in the last half century, several LFFs have occurred in the Canary Islands that have devastated most of its forest area, in most cases during the summer months [27,28,29,30]. The unique relationship between fires and climate in the islands has received scientific attention in recent years [31,32], and is also included in the Special Plan for Civil Protection and Emergency Response to Forest Fires of the Autonomous Community of the Canary Islands—INFOCA, for its initials in Spanish. In it, the period from 1 July to 30 September is established as a period of high risk “due to meteorological, environmental or other circumstances” [33]. Indeed, forest fires are among the environmental hazards that garner the greatest scientific and media concern in the archipelago, as demonstrated by the substantial number of publications addressing this issue [34,35,36,37]. This heightened attention reflects not only the ecological sensitivity of the Canary Islands—home to unique ecosystems and high biodiversity—but also the socio-economic repercussions of wildfires on densely populated areas and the vital tourism industry. Consequently, ongoing research and policy efforts emphasize the importance of integrating ecological, climatic, and human factors to develop effective prevention, monitoring, and mitigation strategies tailored to the particular vulnerabilities of the islands.
Conversely, the effects of climate change on the archipelago should not be ignored, particularly in relation to temperature increase and intensification of droughts [38], phenomena that are perceived with concern by the Canarian population [39]. According to Carrillo et al. [40], it is to be expected that, by the end of the century, the risk of forest fires on the islands will increase and the season in which they can easily happen will be brought forward, as well as the number of days with extreme risk will increase. The decrease in precipitation would be, together with the rise in temperatures, the main cause of this increased risk.
2. Materials and Methods
The LFFs analyzed come from two sources of official information. Those registered between 1983 and 2012 are listed in INFOCA, where the date and municipality of initiation are recorded [33]. The events since then have been consulted in the Information System for Climate Governance in the Canary Islands [41]. Information on the municipality where the latter were declared, as well as the duration of all events, has been gathered from local journalistic sources. For this purpose, the Maresía archive of Canarian press [42] was consulted, providing access to news articles published in various regional newspapers over several decades. Thus, 28 LFFs are identified between 1983 and 2023, as shown in Table 1.
Table 1.
LFFs in the Canary Islands (1983–2023) and reference meteorological observation stations.
Simultaneously, in order to meet the objectives of this work, the climatic series corresponding to various meteorological observation stations of the State Meteorological Agency—AEMET, for its initials in Spanish—in the Canary Islands have been collected. The criteria for selecting the various observation stations were based on their spatial proximity to the events intended for characterization, as well as the temporal length of the data series, and a prior quality control of the data. Additionally, the distribution of the stations is spatially representative of the different climatic regimes present in the Canary Islands—as illustrated in Figure 1—thus enabling the identification of potential differences in prevailing meteorological patterns during Large Forest Fires depending on the affected area. Accordingly, for the calculation of temperature and precipitation anomalies, the station closest to each fire was selected, provided that it had at least three decades of available records. Meanwhile, in order to determine the prevailing environmental conditions during the initial days and weeks prior to LFFs, data from other stations of shorter duration but closer geographical proximity to the events was also collected. Likewise, station C447A—Tenerife North Airport—has been included as a reference observatory to contrast the results from other points since it belongs to the main AEMET network, has more than eight decades of records and is located at 632 m.a.s.l. This altitude and its central location in the Canarian context are very useful, since they are similar to the conditions existing in a large part of the forest environment of the islands and, in addition, they capture the altitudinal fluctuations of the subsidence thermal inversion depending on the type of prevailing weather. In addition, it offers information on all climatic elements and is located in an orographic corridor where the wind direction is not conditioned by the foehn effect. Table 1 and Figure 2 show the observation points considered in each case.
Figure 2.
Municipalities where LFFs started in the Canary Islands (1983–2023), location of the reference meteorological observation stations, and the grid cell used for the analysis of the subsidence thermal inversion.
The variables of interest for the study are maximum temperature, average and minimum relative humidity, precipitation and maximum wind gust intensity. The information for each of these variables was obtained on a daily scale. Wind direction has also been analyzed at synoptic scale—850 hPa [43].
The Standardized Precipitation Evapotranspiration Index—SPEI—has also been calculated, a multiscale drought index that combines precipitation and potential evapotranspiration—PET—to assess climatic water balance anomalies over time. SPEI was chosen over other indices, such as SPI or PDSI, because it incorporates temperature-driven evapotranspiration, allowing for a more comprehensive assessment of drought severity under changing climatic conditions. In this sense, SPEI is particularly useful for detecting both short- and long-term drought conditions. In the absence of direct PET records, the Thornthwaite method [44] was applied, which estimates PET based on mean monthly temperature and the latitude of each meteorological station, as has been carried out in previous studies in the Canary Islands [45].
The analysis of the base altitude of the subsidence thermal inversion required a specific methodology, thoroughly described in the work of Dorta and Correa [20]. For this purpose, temperature data from the 137 vertical model levels of the European Centre for Medium-Range Weather Forecasts—ECMWF—reanalysis dataset were used. These levels span from near-surface layers to altitudes of approximately 80 km and are assigned geometric altitudes assuming a standard sea level pressure of 1013.25 hPa [46].
ECMWF reanalysis products integrate satellite observations, ground stations, radiosondes, and other sources through data assimilation techniques to provide continuous, spatially and temporally homogeneous atmospheric information. This approach overcomes the limitations of sparse direct observations, especially in regions such as the Canary Islands where observational coverage is limited. In addition, it is worth noting that this modeling reanalysis dataset has been used in recent years in several scientific studies to characterize the thermodynamic structure of the atmosphere [47,48,49].
Temperature data for the different altitudinal levels were obtained every six hours—00:00, 06:00, 12:00, and 18:00 UTC—between 1983 and 2023 and then averaged daily. The spatial resolution of the analyzed grid cell is 1° × 1°, bounded by coordinates 27°50′ N–28°50′ N and 15°50′ W–16°50′ W, as shown in Figure 2. This cell is representative of the subsidence thermal inversion in the Canary Archipelago due to its central geographical location and the inclusion of two land-based stations—Santa Cruz de Tenerife (60020) and Güímar (60018)—from which thermodynamic soundings have been conducted over recent decades. As most published studies on temperature inversions in the region have used data from these radiosondes as references [19,50], selecting this grid cell facilitates comparative analyses with previous research. Thus, the results obtained through this method have been validated by comparison with ground-based observations and previously published studies, which reinforces the utility of this tool as effective for the analysis of thermal inversions.
To identify the thermal inversion, the first temperature inversion layer was detected between the pressure levels of 1000 and 500 hPa—approximately 100 to 5700 m.a.s.l., which avoids confusion with the tropopause or minor surface inversions. If no inversion was identified on the day when a LFF began, the thermodynamic sounding recorded at 00:00 UTC on the same day was consulted to check for inversion presence [51].
It is important to note that, while reanalysis data provide valuable continuous atmospheric profiles, some limitations exist. These include uncertainties arising from model assumptions, resolution constraints, and possible biases due to the assimilation process, especially in complex topographic regions like the Canary Islands. One specific aspect to consider is that the altitudes of each vertical model level are calculated assuming a static sea level pressure of 1013.25 hPa. Although this is a simplification, it is a widely accepted approach used in previous studies and does not pose significant issues in the Canary Islands, where the atmosphere is generally stable and such an assumption is reasonable. Despite these potential uncertainties, ECMWF reanalysis remains one of the most reliable datasets available for large-scale climatic and meteorological studies in this region.
3. Results
3.1. Large Forest Fires in the Canary Islands (1983–2023)
According to the consulted sources, 28 LFFs have been identified in the Canary Islands between 1983 and 2023. Of these, 11 occurred in August, 9 in July, 5 in September, and 1 in April, May, and November, respectively. As shown in Figure 3, in recent decades there has been no significant increase in either the number of LFFs, the total number of disasters or the area affected. The lack of a clear trend is due to the high interannual variability of the series, which shows an increase at the beginning of the century followed by a decline to current levels. Additionally, LFFs tend to occur under very specific meteorological conditions and are predominantly caused by human activities, which together contribute to the observed irregularity.
The total area burned reached 132,189.1 hectares, equivalent to 17.8% of the total territory of the Canary Islands and almost all of its forested area [52]. A total of 83% of this area has been affected by a LFF in the period analyzed.
The islands most affected by LFFs were Tenerife—48,400 ha in 8 LFFs, Gran Canaria—31,100 ha in 4 LFFs, and La Palma—23,600 ha in 13 LFFs. On three occasions—August 1990, July 2007, and August 2012—two such events occurred simultaneously on different islands.
Figure 3.
Number of incidents, LFFs, and burned area in the Canary Islands (1983–2023). Source: [53].
Figure 3.
Number of incidents, LFFs, and burned area in the Canary Islands (1983–2023). Source: [53].

3.2. Subsidence Thermal Inversion
The implementation of the methodology has made it possible to identify the subsidence thermal inversion—STI—on 20 of the 26 different days on which the 28 LFFs started in the Canary Islands between 1983 and 2023—there are two days with two LFFs starting simultaneously, in 1990 and 2012. This implies that STI was present on 77% of LFF start days, a higher frequency than the average recorded for the 1983–2023 period as a whole, which stands at 74% of the days. Of the six days on which no inversion was identified, two lacked thermodynamic sounding records, while on the remaining four days, the inversion base altitude was extremely low and notably shallow—less than 125 m above sea level—explaining the difficulty in detecting it. Therefore, thermal inversions were observed on 92% of the fire ignition days in total.
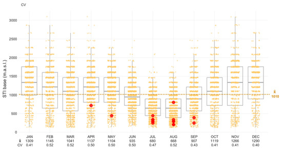
Excluding the four observations from radiosondes, the base of the STI during the LFF start days is at an average altitude of 369 m.a.s.l., which is well below the overall average recorded between 1983 and 2023—1010 m.a.s.l.—and below the average between June and September—792 m. In this sense, as can be seen in Figure 4 and Table A1 in the Appendix A, this variable presents a clear seasonal pattern, with a minimum during the summer and a maximum in winter, due to the strengthening of the lower layer associated with the trade winds as a result of the occasional advection of maritime polar air, as has been pointed out by other authors [19,20]. In any case, the lowering of the STI below 400 m implies that virtually the entire forest mass of the Canary Islands—as well as a significant portion of its inhabited areas—loses the coolness and humidity characteristic of the lower atmospheric layer, thereby increasing the risk.
Figure 4.
STI base altitude in the Canary Islands (1983–2023). The yellow points represent the daily STI base. In red, STI base during LFF start days. Below each month, the monthly mean and the coefficient of variation (CV) are shown. Note that during the summer months, the base of the STI lowers. Additionally, variability in the STI base is generally reduced in summer, indicating more stable atmospheric conditions during this period.
While it is consequently common for STI to be available at low altitudes during the summer months, it is at considerably shallower levels during the start days and weeks leading up to LFFs. As a sample of this, the altitude at which the base of the STI was inserted during the start day of fires, such as those of 1994 in La Palma or 2019 in Gran Canaria, is within the lowest 3.5% of levels of the entire series, being, therefore, extreme situations within the historical distribution, as shown in Figure 4.
As for the top of the inversion—the level at which the temperature drops again with altitude—this is at 984 m.a.s.l., that is, also significantly below the general average—1371 m—and below the average between June and September—1237 m.
3.3. Temperature
The maximum temperature averaged during the days of the start of LFFs in the Canary Islands amounted to 30.3 °C, reaching 27.4 °C during the previous week and 28.9 °C during the days of fire activity—Table A2 of Appendix A. It should be noted that all events start on days with maximum temperatures above 25 °C, except on one occasion—LP-04-1998, with 23.2 °C. Conversely, several times, the daily maximum temperature has exceeded 35 °C—LP-08-1990 (36 °C), LP-09-2005 (36.8 °C) and GC-07-2007 (35.5 °C). As Figure 5 shows, in many cases, the LFFs start in episodes with thermal anomalies, so that, during the start days, they average a deviation of +4.4 °C with respect to the usual conditions recorded in the series. Thus, in events such as LP-09-2005 and TF-07-2007, the thermal anomalies on the start days exceeded +10 °C with respect to normal values for those dates. These standardized thermal anomalies indicate significantly warmer-than-average conditions, which can lead to lower relative humidity and drier fuels, thereby substantially increasing the likelihood of fire ignition and rapid fire spread.
Figure 5.
Standardized thermal anomalies during the two months before and after LFFs in the Canary Islands. In orange, the period during which the fire was active.
Consequently, LFFs are usually triggered on very warm days, although they are not always preceded by months with positive anomalies. Therefore, nine times, the average daily thermal anomaly in the two months prior to the start is negative, with striking cases such as the two fires that occurred in summer 2007 in Gran Canaria and Tenerife, in which the anomaly in the previous months was −0.3 °C, or the 2019 fire in Gran Canaria, with almost −2 °C of anomaly with respect to the usual conditions. Hence, although on average the months prior to LFFs show a thermal anomaly of +0.6 °C, it is possible to state that, at least thermally, these events are essentially linked to extreme thermal conditions occurring in the days immediately preceding or on the same day as the start of LFFs.
In turn, during the days when LFFs are active, the thermal anomalies are significant, with an average of +3.5 °C. In many cases, fire control coincides with the end of exceptionally warm episodes with respect to usual conditions—TF-09-1983, LP-04-1998, TF-07-2022, among others. Noteworthy are events LP-04-1998 and LP-11-1998, recorded in non-summer months and coinciding with considerable thermal anomalies in the previous weeks—Figure 5.
3.4. Precipitation
In the Canary Islands, 90.4% of the rainfall, according to the series analyzed, is concentrated between the months of October and April, while only 4.3% corresponds to the period from May to August and 5.3% to the month of September. This situation leads to a first conclusion regarding rainfall in the Canary Islands and forest fires; when most of them occur, several months have elapsed since the last significant rainfall. As a consequence, the forest environment faces a distinct dryness in summer, after several months without significant rainfall, regardless of the hydrological year. It should also be noted that the average annual rainfall volume is generally low; none of the stations analyzed exceeded 600 mm, with several having annual averages below 200 and even 150 mm. Therefore, precipitation cannot be used as a reliable predictor of the occurrence or severity of forest fires in the Canary Islands, which are characterized by structural aridity and a high degree of rainfall irregularity that has long been a defining feature of their climatic conditions.
In any case, the analysis of the rainfall season is relevant to estimate if there is a pattern that recurs in LFF years. In 47.4% of the months belonging to the previous rainy season—October–April—negative SPEI values were recorded—Table A3 of Appendix A. In other words, in more than half of the months—October to April—prior to the development of LFF, there are no drought conditions compared to the usual situation. Additionally, moderate or severe drought conditions were recorded in 12.2% of the months from October to April.
Thus, most of the rainy seasons prior to LFFs averaged conditions very close to the usual rainfall in the area, even identifying in some cases—GC-09-1988, LP-09-2005 or GC-07-2007—at least two consecutive years that tended to be wet—Figure 6 and Table A3 of Appendix A.
Figure 6.
Monthly SPEI during the two years prior to LFFs in the Canary Islands. The rainy season (October–April) is shaded in gray, while the start month of LFFs is shown in orange.
3.5. Relative Humidity
The average minimum relative humidity during the start days of LFFs was 24.3%, with extreme cases in which it dropped below 10%, as occurred in events such as TF-05-2021—5%—or LG-08-2012—7%. In the weeks prior to the development of LFF, the average minimum humidity was 37.2%, while during the period when LFFs were active, it was 30.4%. In contrast, in the three days following LFFs control, relative humidity levels increase significantly; the daily mean rises to 65.4%, while the minimum averages 41.8%, as shown in Table A4 in Appendix A.
None of the LFFs with information on this variable in the reference series started with a minimum daily relative humidity above 35%. The only exception is the fire of August 2023 in Tenerife—TF-08-2023, which showed atypical thermo-hygrometric conditions. The fire, which devastated nearly 14,000 ha, started with a daily maximum temperature of 27.3 °C and a high minimum relative humidity—75%, but nevertheless, it occurred after five days in which the former averaged 35 °C and the latter 26.4%. Thus, according to the State Meteorological Agency, the heatwave ended the day before the start of the LFF [54]. Therefore, during the first three days of the fire there was a stabilization of temperature and humidity that changed in the following days—in fact, between the sixth and tenth day there was another heatwave. It should be noted that the reactivation of the same fire in October [30] coincided with another anomalously warm episode and a minimum relative humidity of 18% during the first day.
As shown in Figure 7, two types of LFFs can be identified according to the evolution of relative humidity. First, there are LFFs that, during their start day, experience a very pronounced decrease in minimum humidity with respect to previous days, in which the humidity percentage had been, in general, high—TF-07-2007, LP-08-2012, TF-07-2022, etc. Others, however, start after several previous days in which humidity levels were already modest or low, as occurred in LP-08-2016, GC-09-2017, TF-05-2021, among others. It should be noted that sudden drops in relative humidity are particularly critical, as they rapidly desiccate fine fuels such as grasses, shrubs, and leaf litter, reducing their moisture content and increasing their flammability. This abrupt transition from moist to dry conditions can create highly combustible environments in a matter of hours, significantly enhancing the likelihood of ignition and accelerating the spread of fire.
Figure 7.
Mean and minimum Relative Humidity before, during, and after LFFs in the Canary Islands. In orange, the period of fire activity.
3.6. Wind
In 15 of the 28 LFFs, the wind direction at the synoptic scale—850 hPa—on the ignition days was from the northeast, accounting for 54% of the total. This is lower than the typical percentage of days under the influence of the trade winds in the archipelago, estimated at approximately 65% [55]. In eight events—28.6%, the prevailing wind direction was easterly, while in two cases it was northerly. On two occasions, calm conditions prevailed, and in only one event—TF-09-1983, a southwesterly flow was observed.
Although, consequently, the northeast wind is the most frequent direction on the start days of LFFs, the fires associated with easterly winds have a larger average affected area: 5568 ha compared to 2594 ha in those with a northeasterly component. In the same way, on the whole, more area was burned during LFFs that started on days with easterly winds—40.6%—than on those whose start day was blowing from the northeast—35.5%. This greater destructiveness is likely due to the fact that easterly winds in the Canary Islands are often associated with Saharan air intrusions, which bring extremely dry and hot continental air masses that significantly increase fuel flammability and fire spread potential.
No significant differences are identified with respect to the intensity of the maximum gust recorded during the start day depending on the prevailing direction. Nevertheless, on the first day of three LFF, maximum gusts of over 70 km/h were identified, which, according to the Beaufort scale, can be considered a gale situation. Likewise, in another ten events, as shown in Table A5 in Appendix A, the intensity of the maximum gust is considerable—above 40 km/h—while, on the contrary, in five of them, the highest gust intensity was below 30 km/h. It should be taken into account that the average intensity of the maximum daily gust in the series considered is around 30 km/h. In any case, it is important to keep in mind that the complex orography of the islands can locally increase wind speed and change its direction.
Regarding the wind evolution during the days of LFFs activity, it is very variable. In some cases, the wind maintains a high speed during the whole event—TF-05-2021—, in others, it progressively moderates—LP-07-2023, in others, it increases with the passing of the days—TF-07-2007, in others, it has a high variability—LP-08-2016—and, finally, in others, it has a low intensity and fluctuates significantly—GC-08-2019, as shown in Figure 8.
Figure 8.
Maximum wind gust (km/h) before, during, and after LFFs, and wind direction in the start day. In orange, the period of fire activity.
4. Discussion
As mentioned in the Introduction section, the two objectives of this study pertain to the characterization of environmental conditions in the Canary Islands before and during LFFs events, as well as to the contextualization of these conditions in relation to the region’s typical climatic characteristics. Before proceeding with a scientific interpretation of the results already presented—beyond their mere description, it is essential to embed them within a broader conceptual framework of risk, uncertainty, and risk management. In the context of LFFs, risk can be understood as the probabilistic intersection of hazard—i.e., the likelihood and intensity of fire-conducive atmospheric and territorial conditions, exposure—the presence of vulnerable assets or ecosystems, and vulnerability—the degree to which these assets can be harmed [56]. Uncertainty arises from the complex interplay between natural variability—particularly the highly localized and transient meteorological fluctuations observed in the Canary Islands—and human factors such as land use changes or insufficient data on ignition causes. Integrating this risk framework enables a more critical understanding of fire dynamics by shifting the focus from isolated environmental triggers to the systemic interactions that shape risk emergence and propagation. From a management perspective, this means recognizing LFFs as socio-environmental phenomena whose prevention requires reducing both hazard and vulnerability, while also enhancing adaptive capacity through multi-scalar governance, public education, and dynamic response strategies tailored to localized conditions.
As already discussed throughout the paper, forest fires represent a significant risk in the Canary Islands, as in most of the territories with Mediterranean climatic characteristics. The main—and almost the only—trigger is usually the human being, either by negligence or intentionality. According to official statistics, over 90% of recorded wildfires in Spain with known causes are either intentional—60%—or the result of negligence and accidents—32% [25]. In the Canary Islands, studies conducted on this issue consistently identify human activity as the primary cause of wildfires, with natural causes—such as lightning—being comparatively rare [57]. It is also noteworthy that the Canary Islands represent the Spanish region with the highest percentage of wildfires with unknown causes—accounting for over 40% of the total. This circumstance highlights the critical importance of addressing human-related factors in wildfire prevention and mitigation strategies. It also underscores the need for comprehensive public awareness campaigns, stricter enforcement of environmental regulations, and the implementation of targeted policies aimed at reducing both deliberate and inadvertent fire ignition. Furthermore, it suggests that any effective wildfire management plan must be grounded in a deep understanding of socio-cultural behaviors, land use practices, and the specific vulnerabilities of fire-prone areas.
Notwithstanding that, in larger fires, environmental conditions become decisive in the uncontrolled spread of the fire, it is important to note—as will be discussed later—that other human and territorial factors also play a relevant role. These include agricultural abandonment, the proximity of built-up areas to forested zones, and the type of vegetation cover, among others.
Nevertheless, the results obtained in this study from the analysis of atmospheric conditions during LFFs reveal several points of interest, as well as a series of patterns that, in general, are consistently observed across most events of this kind.
First, analysis of the vertical structure of the troposphere reveals a close link between fires and the altitude of the subsidence thermal inversion. The results show that most disasters occur under thermal gradient breaks located at significantly lower altitudes than the climatological average—369 m.a.s.l., compared to approximately 1000 m that constitute the annual mean, which implies that virtually the entire forest mass of the islands lies above the temperature inversion layer—specifically, 96.7%, as shown in Figure 9. Under such circumstances, on the days of LFF ignition, the Canarian forests lose the humidifying and tempering influence of the surface trade winds and are instead exposed to a layer of warm and very dry air, highly conducive to the ignition and spread of fire.
Figure 9.
Forest area and cropland in the Canary Islands. Sources: [12,58,59].
It is worth noting that more than 75% of the forested area in the archipelago is located above 750 m.a.s.l., an altitude close to the average base level of the thermal inversion during the summer season. As a result, even minor descents of the inversion height—such as those occurring during Saharan air mass intrusions—can lead to highly hazardous atmospheric configurations that demand close monitoring to prevent the occurrence of LFFs.
The analysis of climatic variables associated with the spread of wildfires allows for a precise characterization of the environmental conditions linked to low-level inversions. In this regard, considering the averages calculated for the various parameters, LFFs in the Canary Islands tend to start on days when the thermal inversion drops below 400 m.a.s.l., with maximum temperatures above 30 °C, minimum relative humidity values under 25%, and maximum wind gusts around 45 km/h. This combination of factors creates an especially favorable environment for the rapid development and expansion of fire. As previously mentioned, the importance of the subsidence thermal inversion is critical in the Canary Islands, as it separates two air masses that differ markedly in terms of humidity and temperature: the lower layer is cool and moist, while the upper layer is dry and warm. The fluctuation of this inversion is, evidently, highly significant for the Canary Island forests and fire risk.
These findings carry significant ecological and management implications. From an ecological standpoint, the recurrence of LFFs under low-altitude inversion layers threatens the resilience of key ecosystems such as the laurel forests—laurisilva—and high-elevation Pinus canariensis stands, which are adapted to humid conditions maintained by the trade wind regime. The frequent decoupling of these forests from the humid increases physiological stress, reduces moisture availability, and elevates vegetation flammability, thereby promoting more severe fires and hindering natural regeneration processes. In the long term, this could result in biodiversity loss, soil degradation, and shifts in vegetation structure and composition.
From a fire management perspective, the consistent association between LFF events and specific meteorological thresholds—particularly the inversion height—offers a valuable opportunity for operational risk forecasting. Real-time monitoring of subsidence inversion levels, especially during Saharan dust episodes, could be incorporated into early warning systems. This would allow emergency services to deploy targeted preventive actions such as temporary forest access restrictions, strategic pre-positioning of firefighting resources above the inversion layer, and proactive public information campaigns.
Additionally, the spatial overlap between the most fire-prone zones and the typical vertical extent of inversion layers suggests the need for adaptive land use planning. Forest management strategies—including reforestation, the design of fuel breaks, and selective thinning—should consider the altitudinal vulnerability window identified in this study. Integrating atmospheric parameters into long-term planning could significantly improve the capacity to mitigate future fire risks under changing climatic and synoptic conditions.
All in all, the study of the synoptic situations in the 28 LFFs analyzed, together with the data on temperature, relative humidity, wind and, above all, the altitude of the temperature inversion, indicate that these events occur, for the most part, during heatwaves produced by advection of Saharan air. Adequate prediction of these is therefore crucial for prevention and risk reduction. The close relationship between the altitude of the inversions and the advection of air from the Sahara implies that for an adequate prediction it is important to estimate the characteristics of the vertical structure of the air, an issue already assessed for other situations such as extreme weather events [60]. It is also worth noting that the considerable mesoclimatic diversity of the archipelago results in highly contrasting temperature and humidity conditions occurring simultaneously on the same island and even within the same day; for example, the fire in Arico—Tenerife—in May 2020—TF-05-2021—starts with an average relative humidity of 12% according to station C423R—located in the same municipality—and 62% at C447A—Tenerife North Airport, less than 50 km away. In addition to this significant special variability, the temporal variability is also remarkable. Thus, for example, there are days when LFFs start where the percentage of relative humidity is at its highest and in a few hours it drops drastically; a clear example of this was 4 August 2012—when LP-08-2012 and LG-08-2012 started, when at station C447A the humidity reached 100% and on the same day it dropped to 9%.
All this causes additional complexity in risk management, since local meteorological conditions can vary radically over short distances and in short periods of time, making it difficult to apply models or warnings that are valid for the entire island area. This spatial variability requires detailed and localized monitoring as well as accurate interpretation of available meteorological data for effective operational response. This includes enhancing the network of monitoring stations in critical areas and integrating remote sensing tools and localized forecasts into early warning systems. Moreover, fire prevention and suppression strategies should be adapted to the specific risk profiles of different zones, which may require distinct thresholds for alert activation, personnel deployment, or fuel management practices. Ultimately, addressing this high variability demands a shift from generalized island-wide protocols to dynamic, site-specific decision-making frameworks capable of responding effectively to rapid and localized atmospheric changes.
Furthermore, the results of this research suggest that precipitation is not a determining factor in the occurrence of LFFs in the Canary Islands. The fact that rainfall occurs well outside the time of year when fires typically take place—often with several consecutive months of dry conditions leading up to July, when most events begin—suggests that precipitation plays a secondary role. Moreover, many of the archipelago’s forested areas receive very low annual rainfall, which has led to ecological adaptations to water stress. As a result, aridity constitutes a structural feature of the environment rather than an exceptional condition.
Thus, although a clear relationship between prolonged droughts and increased wildfire risk has been documented in many regions, no statistically consistent correlation has been identified in the Canary Islands between the pluviometric conditions of the cold months—when most precipitation occurs—and the occurrence of LFFs. The precipitation anomalies analyzed in this study using the Standardized Precipitation Evapotranspiration Index—SPEI—indicate that neither dry nor wet winters significantly affect the likelihood of LFF development. Consequently, it is the atmospheric conditions—and, more specifically, the thermo-hygrometric conditions in relation to the fluctuation of the temperature inversion—of the months in which the fires occur that will determine the occurrence of this type of event. Thus, it is heatwaves, in connection with the advection of Saharan air, that are the truly determining phenomena for the spread of fire. This circumstance contrasts with what occurs in other regions of the world with Mediterranean-type environmental characteristics, where droughts can be used as predictors of both the occurrence and severity of large wildfires [61,62].
No significant changes in LFFs have been observed in recent decades, neither their number nor the area affected has increased. However, if we take into account the projected trends for the different climatic elements in the Canary archipelago in the current context of climate change, it is possible to estimate how the risk of forest fires will evolve. In this regard, studies published in recent years indicate that temperatures are increasing considerably in the Canary Islands, especially in the high mountains, with increases of more than 0.25 °C/decade in the peaks and around 0.10 °C/decade on the coasts [63,64]. At the same time, and in consonance with this temperature increase in altitude, a greater warming has been detected above the subsidence thermal inversion and, in addition, there is a significant trend towards an altitudinal decrease in this inversion—of about one hundred meters in the last half century [20]. This implies that an increasing portion of the forest area lies within the warm, dry layer of subsiding air above the break in the vertical thermal gradient. Consequently, from a climatic perspective, the present and future increase in the risk of the spread of forest fires on the islands seems evident. Therefore, although no clear trends have been identified over the past forty years, climate change could drastically alter the current situation and increase the risk of forest fires. This underscores the need to continue advancing research and to strengthen public intervention in this field.
Besides climatic conditions, several anthropogenic factors also contribute significantly to the increased risk of forest fires in the Canary Islands. This is the case of the abandonment of agriculture in the mid-altitude sectors of the five westernmost islands of the archipelago, where almost all the forest masses are concentrated—Figure 9. This process came together with an intense population increase and, above all, with the construction of buildings and infrastructure in the space formerly occupied by the forest or in the area in contact with the tree masses. In fact, it is in this urban–forest interface space—increasingly anthropized—where most of the LFFs in the Canary Islands have started in recent decades and where experts recognize the greatest difficulties in controlling emergencies of this type [30]. This situation is not exclusive to the Canary Islands, and the expansion of the wildland–urban interface is currently one of the main challenges for fire risk management in Mediterranean environments [65]; in these places, the expansion of the urban–forest interface significantly increases fire risk, as it leads to greater ignition sources, complicates suppression efforts, and exposes more lives and properties to potential damage.
In summary, the combination of the temperature increase in the sectors occupied by forest formations and the aforementioned human processes, as well as, to a lesser extent, the decrease in rainfall reported by all climate change models [15], undoubtedly represent a situation of very high risk of forest fires that will certainly increase in the coming decades.
5. Conclusions
The work presented shows an exhaustive assessment of Large Forest Fires—LFFs—in the Canary Islands archipelago and their great impact on the environment and island territory. Simultaneously, the close relationship between environmental conditions and fire spread in these large disasters is evidenced, once the existing records of temperature, precipitation, humidity, wind, and subsidence thermal inversion have been analyzed, in accordance with the initially stated objectives. The vertical structure of the troposphere is one of the parameters that best reflects this connection, especially in relation to the altitude of the subsidence thermal inversion typical of this region. Generally, the arrangement of the base of such inversion at a low altitude—a phenomenon that occurs mainly in summer—significantly increases the chances of the development of a LFF. In addition, its altitudinal lowering is one of the clearest indicators of the arrival of a warm air mass from the Sahara, which generates heatwaves. Consequently, accurate meteorological forecasting of these situations is crucial for prevention.
Often, LFFs in the Canary Islands start at a base altitude of the subsidence temperature inversion of about 350 m.a.s.l.—more than 600 m below the annual average—, maximum temperatures above 30 °C, minimum relative humidity below 25%—in some cases dropping to less than 15%—and gusty winds reaching over 60–70 km/h. These conditions create a highly conducive environment for ignition and especially rapid fire spread. In such scenarios, emergency management becomes extremely complex, often requiring decisions focused solely on protecting human lives and homes, inevitably sacrificing large areas of forest mass.
Furthermore, these extreme events are not exclusive to dry years, as they have also occurred during years with normal or even above-average rainfall. This finding challenges conventional assumptions about drought as the main driver of wildfires in the Canary Islands, highlighting the decisive influence of other atmospheric and structural factors in the affected areas.
Beyond the meteorological drivers, which are expected to become more frequent and intense according to climate projections, land use policies must evolve to meet the growing fire risk. Both urban and rural planning should integrate fire risk as a core criterion, avoiding uncontrolled expansion in wildland–urban interface areas—as has occurred in recent decades—and promoting the development of defensible spaces and protective buffers around forests. Additionally, there is an urgent need for robust public awareness programs that encourage responsible behavior and a culture of self-protection. Equally, active prevention measures such as silvicultural treatments, firebreak maintenance and early detection systems must be strengthened. Emergency and civil protection plans should also serve as transformative instruments that are regularly updated and strictly implemented to remain effective in high-risk scenarios.
In addition, based on the findings presented, several concrete policy and management measures emerge as priorities. First, continuous and precise monitoring of the subsidence thermal inversion altitude should be institutionalized, as its lowering serves as a reliable early warning indicator for large forest fire risk. Integrating inversion altitude data into operational fire risk forecasting models would enhance preparedness and resource allocation. Second, targeted placement and maintenance of firebreaks in zones most vulnerable during low inversion events—particularly areas above 350 m where forest mass is extensive—could significantly limit fire spread. In addition, strengthening local meteorological observation networks and promoting rapid communication systems between meteorological agencies and firefighting services will improve the timing and effectiveness of interventions. These management actions, grounded in the atmospheric and spatial insights from this study, are essential for reducing the incidence and severity of Large Forest Fires in the Canary Islands under current and future climatic conditions.
It is important to acknowledge the contextual limitations of this study since its findings are closely linked to the unique climatic and geographic conditions of the Canary Islands—particularly the influence of Saharan air masses and the subtropical inversion layer—and may not be directly extrapolated to other regions without similar atmospheric dynamics.
Finally, in light of projected climate change scenarios, future fire management strategies must incorporate climate-adaptive planning that anticipates longer fire seasons, more frequent heatwaves, and increased fire weather days. Only through a comprehensive, forward-looking approach—anchored in prevention, preparedness, education, and shared responsibility—can the impacts of Large Forest Fires be mitigated in the Canary Islands and beyond.
Author Contributions
Conceptualization, J.C. and P.D.; methodology, P.D.; software, J.C.; validation, J.C. and P.D.; formal analysis, J.C.; investigation, P.D.; resources, P.D.; data curation, J.C.; writing—original draft preparation, J.C.; writing—review and editing, P.D.; visualization, J.C.; supervision, P.D.; project administration, P.D. All authors have read and agreed to the published version of the manuscript.
Funding
The first author of this paper has received funding from the Ministry of Science, Innovation and Universities of the Government of Spain for University Teacher Training (FPU22/02606). The work has been carried out within the framework of the MICROCLI-MAC project (1/MAC/2/2.4/0044).
Data Availability Statement
The original contributions presented in this study are included in the article. Further inquiries can be directed to the corresponding author.
Acknowledgments
During the preparation of this study, the authors used Rstudio (version 4.4.3) and ArcGIS Pro (version 3.2.0). The authors have reviewed and edited the output and take full responsibility for the content of this publication.
Conflicts of Interest
The authors declare no conflicts of interest.
Appendix A
Table A1.
Altitude of the STI base.
Table A1.
Altitude of the STI base.
| Fire Code | Start Date | Affected Area (ha) | Altitude of the STI Base (*) |
|---|---|---|---|
| TF-09-1983 | 24 September 1983 | 5895 | 637.76 |
| GC-09-1988 | 10 September 1988 | 1000 | 88 * |
| EH-08-1990 | 7 August 1990 | 1260 | 82 * |
| LP-08-1990 | 7 August 1990 | 1084 | 82 * |
| LP-07-1994 | 12 July 1994 | 562 | 287.52 |
| LP-08-1994 | 7 August 1994 | 539.6 | 205.44 |
| LP-08-1994 | 24 August 1994 | 562.3 | 287.52 |
| TF-07-1995 | 21 July 1995 | 931.2 | 334.24 |
| LP-04-1998 | 26 April 1998 | 1150 | 715.02 |
| TF-08-1998 | 23 August 1998 | 1101.58 | 334.24 |
| LP-11-1998 | 10 November 1998 | 575 | - |
| LP-07-2000 | 29 July 2000 | 2722.31 | 287.52 |
| LP-09-2005 | 6 September 2005 | 1351.4 | - |
| EH-09-2006 | 10 September 2006 | 1269.14 | 244.69 |
| GC-07-2007 | 27 July 2007 | 17,916.74 | 440.61 |
| TF-07-2007 | 30 July 2007 | 14364.1 | 114 * |
| LP-07-2009 | 31 July 2009 | 3037.53 | 121 * |
| TF-07-2012 | 15 July 2012 | 6277.8 | 334.24 |
| LP-08-2012 | 4 August 2012 | 2698.18 | 287.52 |
| LG-08-2012 | 4 August 2012 | 3961.92 | 287.52 |
| LP-08-2016 | 3 August 2016 | 4863.99 | 798.72 |
| GC-09-2017 | 20 September 2017 | 2446.87 | 385.16 |
| GC-08-2019 | 17 August 2019 | 9783.23 | 205.44 |
| LP-08-2020 | 21 August 2020 | 1177.99 | 287.52 |
| TF-05-2021 | 20 May 2021 | 3087.9 | 440.61 |
| TF-07-2022 | 21 July 2022 | 2752.9 | 244.69 |
| LP-07-2023 | 15 July 2023 | 3301.41 | 334.24 |
| TF-08-2023 | 15 August 2023 | 13,977.05 | 287.52 |
* Inversions detected by sounding. Colors graded according to altitude
Table A2.
Temperatures.
Table A2.
Temperatures.
| Fire Code | Start Date | Affected Area (ha) | Reference Station | Tmax-Prev | Tmax-Prev (C447A) | Tmax-Start | Tmax-Start (C447A) | Tmax-During | Tmax-During (C447A) |
|---|---|---|---|---|---|---|---|---|---|
| TF-09-1983 | 24 September 1983 | 5895 | C447A | 23.1 | 29 | 31 | |||
| GC-09-1988 | 10 September 1988 | 1000 | C649I | 27.7 | 26.2 | 34 | 36.4 | 30.4 | 31.5 |
| EH-08-1990 | 7 August 1990 | 1260 | C929I | 26.4 | 30.6 | 33.8 | 36.4 | 30.8 | 35.6 |
| LP-08-1990 | 7 August 1990 | 1084 | C126A | 31.1 | 30.6 | 36 | 36.4 | 34.7 | 34.6 |
| LP-07-1994 | 12 July 1994 | 562 | C117A | 34.4 | 34.1 | 25.6 | 31.4 | 25.2 | 24.3 |
| LP-08-1994-1 | 7 August 1994 | 539.6 | C139E | 25.5 | 25.9 | 25.8 | 35.2 | 25.3 | 30.4 |
| LP-08-1994-2 | 24 August 1994 | 562.3 | C117A | 24.5 | 25.1 | 32 | 30.5 | 27.9 | 26.5 |
| TF-07-1995 | 21 July 1995 | 931.2 | C429I | 28.2 | 24.5 | 29 | 33.4 | 28.7 | 28.9 |
| LP-04-1998 | 26 April 1998 | 1150 | C126A | 17.6 | 19.1 | 23.2 | 19 | 21.9 | 18.8 |
| TF-08-1998 | 23 August 1998 | 1101.58 | C429I | 28.4 | 26.2 | 27 | 26.2 | 27.5 | 25.2 |
| LP-11-1998 | 10 November 1998 | 575 | C139E | 25.6 | 25 | 29.1 | 27.8 | 26.8 | 26.2 |
| LP-07-2000 | 29 July 2000 | 2722.31 | C117A | 25.4 | 24.6 | 33.7 | 31.8 | 35.1 | 32.4 |
| LP-09-2005 | 6 September 2005 | 1351.4 | C117A | 32.2 | 30 | 36.8 | 34.2 | 27.8 | 27.1 |
| EH-09-2006 | 10 September 2006 | 1269.14 | C929I | 29.6 | 31 | 29.2 | 29.1 | 28.6 | 25.9 |
| GC-07-2007 | 27 July 2007 | 17,916.74 | C623I | 29 | 22.5 | 35.5 | 28.3 | 36.2 | 32.4 |
| TF-07-2007 | 30 July 2007 | 14,364.1 | C447A | 26.3 | 35 | 29.4 | |||
| LP-07-2009 | 31 July 2009 | 3037.53 | C139E | 29 | 37.2 | 31.4 | 41.4 | 29 | 31.7 |
| TF-07-2012 | 15 July 2012 | 6277.8 | C429I | 27.6 | 21.7 | 29.8 | 28.8 | 33.8 | 33.4 |
| LP-08-2012 | 4 August 2012 | 2698.18 | C139E | 26.1 | 24.5 | 25.7 | 33.3 | 26.1 | 24.7 |
| LG-08-2012 | 4 August 2012 | 3961.92 | C314Z | 29.3 | 24.5 | 29.5 | 33.3 | 24.9 | 27.7 |
| LP-08-2016 | 3 August 2016 | 4863.99 | C126A | 31.6 | 24.2 | 25.4 | 21.4 | 33.5 | 31.6 |
| GC-09-2017 | 20 September 2017 | 2446.87 | C614H | 31.3 | 24.7 | 29.7 | 24.4 | 22.8 | 21.9 |
| GC-08-2019 | 17 August 2019 | 9783.23 | C656V | 26 | 26.9 | 34.6 | 35.1 | 31.6 | 30.2 |
| LP-08-2020 | 21 August 2020 | 1177.99 | C117A | 26.6 | 27.3 | 29.9 | 31.2 | 33.2 | 31.2 |
| TF-05-2021 | 20 May 2021 | 3087.9 | C423R | 21.5 | 20.9 | 34.2 | 24.4 | 24.6 | 21.1 |
| TF-07-2022 | 21 July 2022 | 2752.9 | C458U | 20.5 | 24.9 | 23.1 | 29.1 | 26.2 | 33.2 |
| LP-07-2023 | 15 July 2023 | 3301.41 | C117A | 30.6 | 30.5 | 33.4 | 25.1 | 25.6 | 23.4 |
| TF-08-2023 | 15 August 2023 | 13,977.05 | C436I | 33.2 | 34.2 | 27.3 | 32.1 | 30.5 | 31.7 |
| MEAN | 27.4 | 26.7 | 30.3 | 30.7 | 28.9 | 28.6 | |||
| PEARSON | 0.62 | 0.38 | 0.79 | ||||||
Tmax-prev: Average daily maximum temperature during the previous week. Tmax-start: Daily maximum temperature on the start day. Tmax-during: Average daily maximum temperature during the fire. Colors graded according to temperature.
Table A3.
Precipitation.
Table A3.
Precipitation.
| Fire Code | Start Date | Affected Area (ha) | Reference Station | SPI-Prev | SPI-Prev (C447A) | SPEI-Prev | SPEI-Prev (C447A) | Dry-Months | Dry-Months (C447A) |
|---|---|---|---|---|---|---|---|---|---|
| TF-09-1983 | 24 September 1983 | 5895 | C447A | −0.63 | −0.55 | 6 (0) | |||
| GC-09-1988 | 10 September 1988 | 1000 | C649I | 0.62 | 0.47 | 0.78 | 0.42 | 2 (0) | 2 (1) |
| EH-08-1990 | 7 August 1990 | 1260 | C929I | 0.22 | 0.05 | 0.21 | 0.33 | 2 (1) | 3 (1) |
| LP-08-1990 | 7 August 1990 | 1084 | C126A | 0.82 | 0.05 | 0.57 | 0.33 | 2 (2) | 3 (1) |
| LP-07-1994 | 12 July 1994 | 562 | C117A | 0.31 | 0 | 0.59 | 0.03 | 1 (0) | 4 (1) |
| LP-08-1994-1 | 7 August 1994 | 539.6 | C139E | −0.03 | 0 | 0.36 | 0.03 | 2 (0) | 4 (1) |
| LP-08-1994-2 | 24 August 1994 | 562.3 | C117A | 0.31 | 0 | 0.59 | 0.03 | 1 (0) | 4 (1) |
| TF-07-1995 | 21 July 1995 | 931.2 | C429I | −0.67 | −0.75 | −0.64 | −0.71 | 5 (3) | 5 (4) |
| LP-04-1998 | 26 April 1998 | 1150 | C126A | −0.94 | −0.15 | −0.44 | −0.47 | 6 (0) | 6 (1) |
| TF-08-1998 | 23 August 1998 | 1101.58 | C429I | 0.1 | −0.15 | −0.26 | −0.47 | 5 (1) | 6 (1) |
| LP-11-1998 | 10 November 1998 | 575 | C139E | 0.32 | −0.15 | 0.03 | −0.47 | 3 (1) | 6 (1) |
| LP-07-2000 | 29 July 2000 | 2722.31 | C117A | 0.29 | −0.14 | 0.39 | −0.13 | 2 (0) | 3 (1) |
| LP-09-2005 | 6 September 2005 | 1351.4 | C117A | 0.29 | −0.18 | 0.63 | −0.27 | 1 (0) | 6 (1) |
| EH-09-2006 | 10 September 2006 | 1269.14 | C929I | 0.34 | 0.18 | 0.14 | 0.14 | 1 (1) | 4 (0) |
| GC-07-2007 | 27 July 2007 | 17,916.74 | C629Q | 0.99 | 0.04 | 0.95 | 0.18 | 1 (1) | 4 (1) |
| TF-07-2007 | 30 July 2007 | 14364.1 | C447A | 0.04 | 0.18 | 4 (1) | |||
| LP-07-2009 | 31 July 2009 | 3037.53 | C139E | 0.22 | 0.51 | 0.14 | 0.56 | 3 (0) | 2 (0) |
| TF-07-2012 | 15 July 2012 | 6277.8 | C429I | −0.56 | −1.43 | 0.01 | −0.91 | 4 (0) | 6 (4) |
| LP-08-2012 | 4 August 2012 | 2698.18 | C139E | −0.47 | −1.43 | −0.39 | −0.91 | 5 (2) | 6 (4) |
| LG-08-2012 | 4 August 2012 | 3961.92 | C317B | 0.12 | −1.43 | 0.14 | −0.91 | 4 (0) | 6 (4) |
| LP-08-2016 | 3 August 2016 | 4863.99 | C126A | −0.02 | −0.1 | 0.23 | −0.03 | 5 (2) | 3 (3) |
| GC-09-2017 | 20 September 2017 | 2446.87 | C656V | 0.19 | −0.1 | −0.09 | −0.21 | 4 (1) | 4 (1) |
| GC-08-2019 | 17 August 2019 | 9783.23 | C656V | 0.16 | −0.3 | 0.3 | −0.24 | 3 (1) | 5 (1) |
| LP-08-2020 | 21 August 2020 | 1177.99 | C117A | 1.11 | −0.49 | 0.5 | −0.49 | 3 (0) | 5 (2) |
| TF-05-2021 | 20 May 2021 | 3087.9 | C429I | 0.16 | 0.33 | 0.01 | 0.2 | 4 (1) | 2 (0) |
| TF-07-2022 | 21 July 2022 | 2752.9 | C447A | −0.13 | −0.29 | 5 (1) | |||
| LP-07-2023 | 15 July 2023 | 3301.41 | C117A | 0.86 | −0.73 | 0.24 | −0.93 | 3 (2) | 6 (3) |
| TF-08-2023 | 15 August 2023 | 13,977.05 | C447A | −0.73 | −0.93 | 6 (3) | |||
| MEAN | 0.12 | −0.26 | 0.12 | −0.23 | 3 (1) | 5 (2) | |||
| PEARSON | 0.41 | 0.58 | 0.42 (0.44) | ||||||
SPI-prev: Average monthly SPI during previous precipitation station (OCT-APR). SPEI-prev: Average monthly SPEI during previous precipitation station (OCT-APR). Dry-months: Previous dry months (OCT-APR) (SPEI < 0) out of 7. In parenthesis, moderately or severely dry months. Colors graded according to SPI data
Table A4.
Average relative humidity. In parentheses, minimum relative humidity, when available.
Table A4.
Average relative humidity. In parentheses, minimum relative humidity, when available.
| Fire Code | Start Date | Affected Area (ha) | Reference Station | RH-Prev | RH-Prev (C447A) | RH-Start | RH-Start (C447A) | RH-During | RH-During (C447A) | RH-After | RH-After (C447A) |
|---|---|---|---|---|---|---|---|---|---|---|---|
| TF-09-1983 | 24 September 1983 | 5895 | C447A | 76.1 (−) | 65 (−) | 41.6 (−) | 81 (−) | ||||
| GC-09-1988 | 10 September 1988 | 1000 | C649I | 72.7 (−) | 64.9 (−) | 57 (−) | 22 (−) | 60 (−) | 42.3 (−) | 80 (−) | 77 (−) |
| EH-08-1990 | 7 August 1990 | 1260 | C929I | 82.3 (−) | 52.6 (−) | 53 (−) | 19 (−) | 60 (−) | 19 (−) | 77.3 (−) | 43.7 (−) |
| LP-08-1990 | 7 August 1990 | 1084 | C126A | - | 52.6 (−) | - | 19 (−) | - | 19 (−) | - | 43.7 (−) |
| LP-07-1994 | 12 July 1994 | 562 | C117A | - | 35.4 (−) | - | 40 (−) | - | 67 (−) | - | 74.7 (−) |
| LP-08-1994-1 | 7 August 1994 | 539.6 | C139E | 76.1 (−) | 70.9 (−) | 85 (−) | 27 (−) | 80.8 (−) | 56.6 (−) | 76.7 (−) | 76.7 (−) |
| LP-08-1994-2 | 24 August 1994 | 562.3 | C117A | - | 70.9 (−) | - | 65 (−) | - | 73.4 (−) | - | 70 (−) |
| TF-07-1995 | 21 July 1995 | 931.2 | C429I | 72.3 (−) | 77.9 (−) | 79 (−) | 68 (−) | 75 (−) | 70 (−) | 55 (−) | 41.7 (−) |
| LP-04-1998 | 26 April 1998 | 1150 | C126A | - | 77 (−) | - | 82 (−) | - | 81.3 (−) | - | 74.7 (−) |
| TF-08-1998 | 23 August 1998 | 1101.58 | C429I | 78.3 (−) | 68 (−) | 85 (−) | 72 (−) | 80.7 (−) | 74 (−) | 69.3 (−) | 40 (−) |
| LP-11-1998 | 10 November 1998 | 575 | C139E | 71.9 (−) | 59.1 (−) | 40 (−) | 29 (−) | 59 (−) | 47.5 (−) | 77 (−) | 66.3 (−) |
| LP-07-2000 | 29 July 2000 | 2722.31 | C117A | - | 70.9 (−) | - | 68 (−) | - | 38.3 (−) | - | 53.3 (−) |
| LP-09-2005 | 6 September 2005 | 1351.4 | C117A | - | 54.3 (−) | - | 28 (−) | - | 65.8 (−) | - | 74.7 (−) |
| EH-09-2006 | 10 September 2006 | 1269.14 | C929I | 69.9 (−) | 34.4 (−) | 69 (−) | 31 (−) | 71.5 (−) | 53.5 (−) | 73.3 (−) | 74.7 (−) |
| GC-07-2007 | 27 July 2007 | 17,916.74 | C629Q | - | 73.8 (53.6) | - | 58.5 (17) | - | 34.5 (11.4) | - | 76.2 (54.7) |
| TF-07-2007 | 30 July 2007 | 14,364.1 | C447A | 58.6 (39.9) | 14 (-) | 38.8 (26.7) | 76.3 (54.3) | ||||
| LP-07-2009 | 31 July 2009 | 3037.53 | C139E | 63.9 (36.7) | 49.4 (13.6) | 56 (19) | 24.5 (8) | −(32) | 47 (26.4) | −(57.7) | 69.7 (43.7) |
| TF-07-2012 | 15 July 2012 | 6277.8 | C429I | 58.4 (45.7) | 81 (65.7) | 38 (25) | 57 (20) | 40.3 (20.7) | 36.4 (12.2) | 47 (18.3) | 44.5 (14) |
| LP-08-2012 | 4 August 2012 | 2698.18 | C139E | 70 (56.1) | 78.6 (57.3) | 79 (30) | 54.5 (9) | 68.2 (49.2) | 67.0 (40.9) | 65.3 (38.3) | 83.3 (68.7) |
| LG-08-2012 | 4 August 2012 | 3961.92 | C314Z | 39.6 (25.9) | 78.6 (57.3) | 8 (7) | 54.5 (9) | 39.6 (22.8) | 67.0 (40.9) | 62.3 (49.3) | 83.3 (68.7) |
| LP-08-2016 | 3 August 2016 | 4863.99 | C126A | 26.1 (11.3) | 79.6 (61.1) | 46 (13) | 81 (67) | 29.6 (16.5) | 52.1 (25.3) | 41.7 (26) | 79.8 (63) |
| GC-09-2017 | 20 September 2017 | 2446.87 | C614H | 40.6 (29.3) | 73.8 (50.9) | 49 (27) | 61 (24) | 60.5 (44.3) | 78.4 (59.3) | 56.2 (44.3) | 70 (41.7) |
| GC-08-2019 | 17 August 2019 | 9783.23 | C656V | 74 (45.1) | 77.1 (56) | 26 (20) | 32.5 (24) | 47 (20) | 58.2 (36.1) | 83 (48.3) | 76.8 (55.7) |
| LP-08-2020 | 21 August 2020 | 1177.99 | C117A | 50.7 (29.6) | 62.3 (35.7) | 30 (13) | 46 (13) | 27.8 (15.4) | 52.8 (18.8) | 26.7 (16.3) | 47.8 (16.3) |
| TF-05-2021 | 20 May 2021 | 3087.9 | C423R | 21.8 (6.3) | 78.6 (59.4) | 12 (5) | 62 (27) | 22 (3.2) | 70.9 (47.4) | 42.5 (5.7) | 79.8 (63) |
| TF-07-2022 | 21 July 2022 | 2752.9 | C458U | 93.1 (86.1) | 67 (34) | 73.5 (52.2) | 96.2 (92.3) | ||||
| LP-07-2023 | 15 July 2023 | 3301.41 | C117A | 49.4 (35.1) | 55.2 (33.7) | 61 (23) | 60.5 (21) | 69.3 (47.9) | 77.8 (58) | 77 (59.7) | 77.7 (59.7) |
| TF-08-2023 | 15 August 2023 | 13,977.05 | C436I | 63.6 (35.9) | 59.6 (28.6) | 84.5 (75) | 69.5 (39) | 64.9 (44.7) | 55.4 (34.9) | 52.3 (33.3) | 63.3 (43.5) |
| MEAN | 62.4 (37.2) | 66.6(49.9) | 52.5 (24.3) | 49.1 (24) | 55.5 (30.4) | 55.7 (35) | 65.8 (41.8) | 68.5 (52.8) | |||
| PEARSON | −0.10 (0.35) | 0.23(0.21) | 0.29 (0.52) | 0.41 (0.59) | |||||||
RH-prev: Average relative humidity (minimum in parentheses) during the previous week (%). RH-start: Average relative humidity (minimum in parentheses) on the start day (%). RH-during: Average relative humidity (minimum in parentheses) during the fire (%). RH-after: Average relative humidity (minimum in parentheses) during the three days after the fire (%). Colors graded according to relative humidity.
Table A5.
Wind.
Table A5.
Wind.
| Fire Code | Start Date | Affected Area (ha) | Reference Meteorological Station | Max-Gust-Start | Max-Gust-Start (C447A) | Max-Gust-During | Max-Gust-During (C447A) | Wind-Direction |
|---|---|---|---|---|---|---|---|---|
| TF-09-1983 | 24 September 1983 | 5895 | C447A | 22 | 32.4 | SW | ||
| GC-09-1988 | 10 September 1988 | 1000 | C649I | 47.2 | - | 56.4 | - | NE |
| EH-08-1990 | 7 August 1990 | 1260 | C929I | 61.9 | 34.9 | 52.3 | 35 | NE |
| LP-08-1990 | 7 August 1990 | 1084 | C447A | - | 34.9 | - | 37.8 | NE |
| LP-07-1994 | 12 July 1994 | 562 | C117A | - | 34.9 | - | 43.2 | NE |
| LP-08-1994-1 | 7 August 1994 | 539.6 | C139E | 47.9 | 24.1 | 43.9 | 38.7 | E |
| LP-08-1994-2 | 24 August 1994 | 562.3 | C117A | - | 32 | - | 41.5 | NE |
| TF-07-1995 | 21 July 1995 | 931.2 | C429I | 46.1 | 46.1 | 44.8 | 43.4 | NE |
| LP-04-1998 | 26 April 1998 | 1150 | C126A | - | 38.9 | - | 41.9 | NE |
| TF-08-1998 | 23 August 1998 | 1101.58 | C429I | 33.1 | 42.8 | 40 | 43.3 | NE |
| LP-11-1998 | 10 November 1998 | 575 | C139E | 29.2 | 22 | 31.1 | 22 | Cal |
| LP-07-2000 | 29 July 2000 | 2722.31 | C447A | - | 37.1 | - | 42 | E |
| LP-09-2005 | 6 September 2005 | 1351.4 | C447A | - | 28.1 | - | 34 | NE |
| EH-09-2006 | 10 September 2006 | 1269.14 | C929I | 47.9 | 28.1 | 52.6 | 46.8 | NE |
| GC-07-2007 | 27 July 2007 | 17,916.74 | C629Q | - | 36 | - | 39.7 | E |
| TF-07-2007 | 30 July 2007 | 14364.1 | C447A | 37.1 | 47 | NE | ||
| LP-07-2009 | 31 July 2009 | 3037.53 | C139E | 42.1 | 38.9 | 40.8 | 43.6 | E |
| TF-07-2012 | 15 July 2012 | 6277.8 | C429I | 79.9 | 25.9 | 33.5 | 38.7 | E |
| LP-08-2012 | 4 August 2012 | 2698.18 | C139E | 45 | 51.8 | 41 | 52.3 | NE |
| LG-08-2012 | 4 August 2012 | 3961.92 | C314Z | 79.9 | 51.8 | 24.9 | 38.7 | NE |
| LP-08-2016 | 3 August 2016 | 4863.99 | C126A | 52.9 | 55.1 | 58.5 | 45.4 | NE |
| GC-09-2017 | 20 September 2017 | 2446.87 | C656V | 28.1 | 55.1 | 30.1 | 61.7 | N |
| GC-08-2019 | 17 August 2019 | 9783.23 | C656V | 20.9 | 32 | 20 | 38.8 | E |
| LP-08-2020 | 21 August 2020 | 1177.99 | C117A | 20.2 | 33.1 | 21.7 | 38.4 | E |
| TF-05-2021 | 20 May 2021 | 3087.9 | C429I | 70.9 | 54 | 78.8 | 55.2 | E |
| TF-07-2022 | 21 July 2022 | 2752.9 | C447A | 42.1 | 43.6 | NE | ||
| LP-07-2023 | 15 July 2023 | 3301.41 | C117A | 45 | 60.8 | 29.8 | 58.1 | N |
| TF-08-2023 | 15 August 2023 | 13,977.05 | C447A | 54 | 39.6 | Cal | ||
| MEAN | 45.4 | 39.0 | 41.1 | 42.3 | - | |||
| PEARSON | 0.27 | 0.29 | - | |||||
Max-gust-start: Maximum gust on the start day (km/h). Max-gust-during: Daily maximum gust (average during the fire) (km/h). Wind-direction: Wind direction at synoptic scale (850 hPa). Colors graded according to wind intensity.
References
- Guo, Z.; Li, W.; Ciais, P.; Sitch, S.; van der Werf, G.R.; Bowring, S.P.K.; Bastos, A.; Mouillot, F.; He, J.; Sun, M.; et al. Reconstructed global monthly burned area maps from 1901 to 2020. Earth Syst. Sci. Data Discuss. 2025. [Google Scholar] [CrossRef]
- Xu, R.; Ye, T.; Huang, W.; Yue, X.; Morawska, L.; Abramson, M.J.; Chen, G.; Yu, P.; Liu, Y.; Yang, Z.; et al. Global, regional, and national mortality burden attributable to air pollution from landscape fires: A health impact assessment study. Lancet 2024, 404, 2447–2459. [Google Scholar] [CrossRef]
- Johnston, F.H.; Henderson, S.B.; Chen, Y.; Randerson, J.T.; Marlier, M.; DeFries, R.S.; Kinney, P.; Bowman, D.M.J.S.; Brauer, M. Estimated global mortality attributable to smoke from landscape fires. Environ. Health Perspect. 2012, 120, 695–701. [Google Scholar] [CrossRef]
- Keeley, J.E.; Bond, W.J.; Bradstock, R.A.; Pausas, J.G.; Rundel, P.W. Fire in Mediterranean Ecosystems: Ecology, Evolution and Management; Cambridge University Press: Cambridge, UK, 2011. [Google Scholar] [CrossRef]
- Turco, M.; Llasat, M.C.; von Hardenberg, J.; Provenzale, A. Climate change impacts on wildfires in a Mediterranean environment. Clim. Change 2014, 125, 369–380. [Google Scholar] [CrossRef]
- San-Miguel-Ayanz, J.; Durrant, T.; Boca, R.; Libertà, G.; Branco, A.; De Rigo, D.; Ferrari, D.; Maianti, P.; Artés Vivancos, T.; Oom, D.; et al. Forest Fires in Europe, Middle East and North Africa 2019; Publications Office of the European Union: Luxembourg, 2020; Available online: https://data.europa.eu/doi/10.2760/468688 (accessed on 23 June 2025).
- Navarro, G.; Caballero, I.; Silva, G.; Parra, P.-C.; Vázquez, Á.; Caldeira, R. Evaluation of forest fire on Madeira Island using Sentinel-2A MSI imagery. Int. J. Appl. Earth Obs. Geoinf. 2017, 58, 97–106. [Google Scholar] [CrossRef]
- Synolakis, C.E.; Karagiannis, G.M. Wildfire risk management in the era of climate change. PNAS Nexus 2024, 3, pgae151. [Google Scholar] [CrossRef] [PubMed]
- Plana, E.; Font, M.; Serra, M.; Borràs, M.; Vilalta, O. El Fuego y los Incendios Forestales en el Mediterráneo: La Historia de Una Relación Entre Bosques y Sociedad. Cinco Mitos y Realidades Para Saber Más; Ediciones del Centro Tecnológico Forestal de Cataluña: Barcelona, Spain, 2016; 36p, Available online: https://efirecom.ctfc.cat/docs/revistaefirecom_es.pdf (accessed on 23 June 2025).
- Pausas, J.G.; Keeley, J.E. A burning story: The role of fire in the history of life. BioScience 2009, 59, 593–601. [Google Scholar] [CrossRef]
- Beck, H.E.; McVicar, T.R.; Vergopolan, N.; Berg, A.; Lutsko, N.J.; Dufour, A.; Zeng, Z.; Jiang, X.; van Dijk, A.I.J.M.; Miralles, D.G. High-resolution (1 km) Köppen-Geiger maps for 1901–2099 based on constrained CMIP6 projections. Sci. Data 2023, 10, 724. [Google Scholar] [CrossRef]
- Ministerio para la Transición Ecológica y el Reto Demográfico del Gobierno de España. Mapa Forestal de España (MFE50). 2021. Available online: https://datos.gob.es/es/catalogo/e05068001-mapa-forestal-de-espana-escala-1-50-000 (accessed on 23 June 2025).
- Agencia Estatal de Meteorología; Instituto de Meteorologia de Portugal. Atlas Climático de los Archipiélagos de Canarias, Madeira y Azores: Temperatura del Aire y Precipitación (1971–2000). 2012. Available online: https://www.aemet.es/es/conocermas/recursos_en_linea/publicaciones_y_estudios/publicaciones/detalles/segundo_Atlas_climatologic (accessed on 23 June 2025).
- Marzol, M.V.; Máyer, P. Algunas reflexiones acerca del clima de las islas Canarias. Nimbus Rev. Climatol. Meteorol. Paisaje 2022, 29–30, 399–416. Available online: https://accedacris.ulpgc.es/handle/10553/58655 (accessed on 23 June 2025).
- Carrillo, J.; Hernández-Barrera, S.; Expósito, F.J.; Díaz, J.P.; González, A.; Pérez, J.C. The uneven impact of climate change on drought with elevation in the Canary Islands. npj Clim. Atmos. Sci. 2023, 6, 31. [Google Scholar] [CrossRef]
- Del Arco Aguilar, M.J.; Rodríguez Delgado, O. Vegetation of the Canary Islands. In Vegetation of the Canary Islands; Springer: Cham, Switzerland, 2018; Volume 16, pp. 117–131. [Google Scholar] [CrossRef]
- Fernández-Palacios, J.M.; Arévalo, J.R.; Balguerías, E.; Barone, R.; de Nascimento, L.; Delgado, J.D.; Elias, R.B.; Fernández-Lugo, S.; Méndez, J.; Menezes de Sequeira, M.; et al. La Laurisilva: Canarias, Madeira y Azores; Macaronesia Editorial: La Laguna, Spain, 2017; ISBN 978-84-697-5454-2. Available online: https://dialnet.unirioja.es/servlet/libro?codigo=828513 (accessed on 23 June 2025).
- Climent, J.; López, R.; González, S.; Gil, L. El pino canario (Pinus canariensis), una especie singular. Ecosistemas 2007, 16, 80–89. Available online: https://www.revistaecosistemas.net/index.php/ecosistemas/article/view/447/430 (accessed on 23 June 2025).
- Dorta, P. Las inversiones térmicas en Canarias. Investig. Geogr. 1996, 15, 109–124. [Google Scholar] [CrossRef]
- Dorta, P.; Correa, M. Methodological approach for the characterisation and trend analysis of subsidence thermal inversions: The case of the Canary Islands. Int. J. Clim. 2025. [Google Scholar] [CrossRef]
- Dorta, P. Aproximación a la influencia de las advecciones de aire sahariano en la propagación de los incendios forestales en la provincia de Santa Cruz de Tenerife. In Actas del XVII Congreso de Geógrafos Españoles; Rodríguez Gutiérrez, F., Menéndez Fernández, R., Montes Vigón, S., Poncelas Nieto, M., Eds.; Universidad de Oviedo: Oviedo, Spain, 2001; pp. 158–162. ISBN 84-9704-037-6. Available online: https://dialnet.unirioja.es/servlet/articulo?codigo=7564844 (accessed on 23 June 2025).
- Dorta, P.; Gelado Caballero, M.D.; Hernández Brito, J.J.; Cardona Castellano, P.J.; Collado Sánchez, C.; Mendoza Rodríguez, S.; Rodríguez, M.J.; Siruela Matos, V.F.; Torres Padrón, M.E. Frecuencia, estacionalidad y tendencias de las advecciones de aire sahariano en Canarias (1976–2003). Investig. Geogr. 2005, 38, 23–45. [Google Scholar] [CrossRef]
- Ministerio para la Transición Ecológica y el Reto Demográfico del Gobierno de España. Anuario de Estadística Forestal 2019; Ministerio para la Transición Ecológica y el Reto Demográfico: Madrid, Spain, 2021. Available online: https://www.miteco.gob.es/content/dam/miteco/es/biodiversidad/estadisticas/aef2019_completo_estandar_tcm30-534526.pdf (accessed on 23 June 2025).
- Instituto Nacional de Estadística. Superficie Forestal Como Porcentaje de la Superficie Total, Por Comunidades Autónomas. 2021. Available online: https://ine.es/jaxi/Datos.htm?tpx=68563#_tabs-tabla (accessed on 23 June 2025).
- Ministerio de Agricultura, Pesca y Alimentación del Gobierno de España. Los Incendios Forestales en España. Decenio 2006–2015; Ministerio de Agricultura, Pesca y Alimentación: Madrid, Spain, 2019. Available online: https://www.miteco.gob.es/content/dam/miteco/es/biodiversidad/temas/incendios-forestales/incendios-decenio-2006-2015_tcm30-521617.pdf (accessed on 23 June 2025).
- Ministerio para la Transición Ecológica y el Reto Demográfico (MITECO). XII Estudio de Inversión y Empleo en el Sector Forestal. Años 2019 y 2020; Enciso, E., López de Sancho, A., Eds.; Ministerio para la Transición Ecológica y el Reto Demográfico: Madrid, Spain, 2020. Available online: https://www.miteco.gob.es/content/dam/miteco/es/biodiversidad/estadisticas/12estudioxiinversionyempleo2019-2020_tcm30-552773.pdf (accessed on 23 June 2025).
- Huesca, M.; González-Alonso, F.; Cuevas, J.M.; Merino-de-Miguel, S. Estimación de la superficie quemada en los incendios forestales de Canarias en 2007 utilizando sinérgicamente imágenes MODIS y anomalías térmicas. Investig. Agrar. Sist. Recur. For. 2008, 17, 308–316. Available online: https://ris.utwente.nl/ws/portalfiles/portal/267317106/INVE_MEM_2008_54258.pdf (accessed on 23 June 2025).
- Guillén-Climent, M.L.; Marino, E.; Ranz, P.; Tomé, J.L. Spatial variability of vegetation recovery at La Gomera wildfire using high spatial resolution imagery. Rev. FLAMMA 2016, 7, 29–34. Available online: https://www.researchgate.net/publication/309458002_Spatial_variability_of_vegetation_recovery_at_La_Gomera_wildfire_using_high_spatial_resolution_imagery (accessed on 23 June 2025).
- Zamarreño-Aramendia, G.; Cristòfol, F.J.; de-San-Eugenio-Vela, J.; Ginesta, X. Social-media analysis for disaster prevention: Forest fire in Artenara and Valleseco, Canary Islands. J. Open Innov. Technol. Mark. Complex. 2020, 6, 169. [Google Scholar] [CrossRef]
- Correa, J.; Boulat, L.; Dorta, P. Forest Fires, Vulnerability, and Exposure: The Evaluation of What Was Salvaged in the 2023 Fire in Tenerife (Spain). Fire 2025, 8, 186. [Google Scholar] [CrossRef]
- Santana, L.M. Análisis Climático del Incendio Forestal de Tenerife. Comarcas de Abona e Isora: 15 a 21 de Julio de 2012; Cabildo Insular de Tenerife: Tenerife, Spain, 2012. Available online: https://www.agrocabildo.org/publica/analisisclimatico/IncendiosISORAjulio2012.pdf (accessed on 23 June 2025).
- Rasilla Álvarez, D.F.; Carracedo Martín, V.; Cuero, A. Tiempo, clima y grandes incendios forestales en las Islas Canarias. In El Clima: Aire, Agua, Tierra y Fuego; Montávez Gómez, J.P., Gómez Navarro, J.J., López Romero, J.M., Palacios Peña, L., Turco, M., Jerez Rodríguez, S., Lorente, R., Jiménez Guerrero, P., Eds.; Publicaciones de la Asociación Española de Climatología (AEC): Murcia, Spain, 2018; Serie A; pp. 849–859. Available online: https://aeclim.org/wp-content/uploads/2019/07/849-RASILLA.pdf (accessed on 23 June 2025).
- Gobierno de Canarias. Decreto 60/2014, de 29 de Mayo, por el que se Aprueba el Plan Especial de Protección Civil y Atención de Emergencias por Incendios Forestales de la Comunidad Autónoma de Canarias (INFOCA). Boletín Oficial de Canarias, N° 113, 13 June 2014. Available online: https://www.gobiernodecanarias.org/boc/2014/113/007.html (accessed on 25 June 2025).
- Molina-Terrén, D.M.; Fry, D.L.; Grillo, F.F.; Cardil, A.; Stephens, S.L. Fire History and Management of Pinus canariensis Forests on the Western Canary Islands Archipelago, Spain. For. Ecol. Manag. 2016, 382, 184–192. [Google Scholar] [CrossRef]
- Guindos-Rojas, F.; Arbelo, M.; García-Lázaro, J.R.; Moreno-Ruiz, J.A.; Hernández-Leal, P.A. Evaluation of a Bayesian Algorithm to Detect Burned Areas in the Canary Islands’ Dry Woodlands and Forests Ecoregion Using MODIS Data. Remote Sens. 2018, 10, 789. [Google Scholar] [CrossRef]
- Bello-Rodríguez, V.; Gómez, L.A.; Fernández López, Á.; Del-Arco-Aguilar, M.J.; Hernández-Hernández, R.; Emerson, B.; González-Mancebo, J.M. Short- and Long-Term Effects of Fire in Subtropical Cloud Forests on an Oceanic Island. Land Degrad. Dev. 2018, 29, 4434–4446. [Google Scholar] [CrossRef]
- García-Lázaro, J.R.; Moreno-Ruiz, J.A.; Arbelo, M.; del Águila Cano, I.M. Evaluación de un Algoritmo para Detección de Áreas Quemadas en Bosques de Canarias. In Teledetección: Humedales y Espacios Protegidos. XVI Congreso de la Asociación Española de Teledetección; Bustamante, J., Díaz-Delgado, R., Aragonés, D., Afán, I., García, D., Eds.; Spanish Remote Sensing Association: Sevilla, Spain, 2015; pp. 149–152. Available online: http://hdl.handle.net/10835/4845 (accessed on 15 July 2025).
- Dorta, P.; López Díez, A.; Díaz Pacheco, J.S. El calentamiento global en el Atlántico Norte Suroriental. El caso de Canarias. Estado de la cuestión y perspectivas de futuro. Cuad. Geogr. 2018, 57, 27–52. [Google Scholar] [CrossRef]
- Correa, J.; López Díez, A.; Dorta Antequera, P.; Martín Raya, N. The perception of climate change in island areas: The case of Tenerife. Boletín Asoc. Geógrafos Españoles 2023, 12, 8093. [Google Scholar] [CrossRef]
- Carrillo, J.; Pérez, J.C.; Expósito, F.J.; Díaz, J.P.; González, A. Projections of wildfire weather danger in the Canary Islands. Sci. Rep. 2022, 12, 8093. [Google Scholar] [CrossRef]
- Gobierno de Canarias. Sistema de Información para la Gobernanza Climática en Canarias. 2025. Available online: https://gobernanzaclimatica.sitcan.es (accessed on 23 June 2025).
- Biblioteca de la Universidad de La Laguna. Maresía: Prensa Digitalizada y Patrimonio Documental. Available online: https://www.ull.es/servicios/biblioteca/servicios/maresia/ (accessed on 15 July 2025).
- Wetterzentrale. CFSR: 850 hPa Temp. 2025. Available online: https://www.wetterzentrale.de/es/reanalysis.php?model=cfsr (accessed on 23 June 2025).
- Thornthwaite, C.W. An Approach toward a Rational Classification of Climate. Geogr. Rev. 1948, 38, 55–94. [Google Scholar] [CrossRef]
- Amador-González, A.; Marzol, M.V. Frequency and Intensity of Droughts on the Southern Slopes of the Canary Islands (1970–2018). Investig. Geográficas 2021, 61, 78–86. [Google Scholar] [CrossRef]
- ECMWF. L137 Model Level Definitions. 2024. Available online: https://confluence.ecmwf.int/display/UDOC/L137+model+level+definitions (accessed on 23 June 2025).
- Muñoz-Sabater, J.; Dutra, E.; Agustí-Panareda, A.; Albergel, C.; Arduini, G.; Balsamo, G.; Boussetta, S.; Choulga, M.; Harrigan, S.; Hersbach, H.; et al. ERA5-Land: A state-of-the-art global reanalysis dataset for land applications. Earth Syst. Sci. Data 2021, 13, 4349–4383. [Google Scholar] [CrossRef]
- Krüger, K.; Schäfler, A.; Wirth, M.; Weissmann, M.; Craig, G.C. Vertical structure of the lower-stratospheric moist bias in the ERA5 reanalysis and its connection to mixing processes. Atmos. Chem. Phys. 2022, 22, 15559–15574. [Google Scholar] [CrossRef]
- Gomis-Cebolla, J.; Rattayova, V.; Salazar-Galán, S.; Francés, F. Evaluation of ERA5 and ERA5-Land reanalysis precipitation datasets over Spain (1951–2020). Atmos. Res. 2023, 284, 106606. [Google Scholar] [CrossRef]
- Carrillo, J.; Guerra, J.C.; Cuevas, E.; Barrancos, J. Characterization of the Marine Boundary Layer and the Trade-Wind Inversion over the Sub-tropical North Atlantic. Bound.-Layer Meteorol. 2016, 158, 311–330. [Google Scholar] [CrossRef]
- University of Wyoming, Department of Atmospheric Science. Sounding. 2025. Available online: https://weather.uwyo.edu/upperair/sounding_legacy.html (accessed on 23 June 2025).
- Anuario de Estadística Forestal 2022; Ministerio para la Transición Ecológica y el Reto Demográfico del Gobierno de España: Madrid, Spain, 2024. Available online: https://www.miteco.gob.es/content/dam/miteco/es/biodiversidad/estadisticas/aef2022/Anuario%20Estadistica%20Forestal%202022.pdf (accessed on 23 June 2025).
- Instituto Canario de Estadística. Número de Siniestros y Superficie Afectada. Canarias by Years. 2024. Available online: https://www3.gobiernodecanarias.org/istac/statistical-visualizer/visualizer/data.html?resourceType=dataset&agencyId=ISTAC&resourceId=E04002B_000001&version=~latest#visualization/table (accessed on 23 June 2025).
- Agencia Estatal de Meteorología. Área de Climatología y Aplicaciones Operativas. In Olas de Calor en España Desde 1975 (Diciembre de 2024); Agencia Estatal de Meteorología: Madrid, España, 2024. Available online: https://www.aemet.es/documentos/es/conocermas/recursos_en_linea/publicaciones_y_estudios/estudios/Olas_calor/olas_calor_actualizacion_dic24.pdf (accessed on 24 June 2025).
- Dorta, P.; Marzol, M.V.; Valladares, P. Localisation et fréquence des cellules de pression dans l’Atlantique Nord, l’Europe Occidentale et le Nord de l’Afrique (1983–1992). In La Sécheresse en Méditerranée et dans les Pays Environnants; Maheras, P., Ed.; Publications de l’Association Internationale de Climatologie: Thessalonique, Grèce, 1993; Volume 6. [Google Scholar]
- Oom, D.; De Rigo, D.; Pfeiffer, H.; Branco, A.; Ferrari, D.; Grecchi, R.; Artés Vivancos, T.; Houston Durrant, T.; Boca, R.; Maianti, P.; et al. Pan-European Wildfire Risk Assessment; Publications Office of the European Union: Luxembourg, 2022; Available online: https://data.europa.eu/doi/10.2760/9429 (accessed on 15 July 2025).
- Canarias7. Las Imprudencias, Origen del 70% de los Incendios Forestales en Gran Canaria Desde 2013 Hasta Hoy. 27 July 2024. Available online: https://www.canarias7.es/canarias/gran-canaria/imprudencias-origen-incendios-forestales-gran-canaria-2013-20240727132444-nt.html (accessed on 14 July 2025).
- Consejería de Agricultura, Ganadería, Pesca y Soberanía Alimentaria del Gobierno de Canarias. Mapa de Cultivos de Canarias. 2022. Available online: https://opendata.sitcan.es/dataset/mapa-de-cultivos-de-canarias (accessed on 25 June 2025).
- GRAFCAN: Cartográfica de Canarias. Modelo Digital de Terreno (MDT) de 25x25 Metros. 2021. Available online: https://opendata.sitcan.es/dataset/modelo-digital-de-terreno-mdt-de-25x25-metros (accessed on 25 June 2025).
- Suárez-Molina, D.; Fernández-González, S.; Suárez González, J.C.; Oliver, A. Analysis of Sounding Derived Parameters and Application to Severe Weather Events in the Canary Islands. Atmos. Res. 2020, 237, 104865. [Google Scholar] [CrossRef]
- Westerling, A.L.; Gershunov, A.; Brown, T.J.; Cayan, D.R.; Dettinger, M.D. Climate and Wildfire in the Western United States. Bull. Am. Meteorol. Soc. 2003, 84, 595–604. [Google Scholar] [CrossRef]
- Turco, M.; von Hardenberg, J.; AghaKouchak, A.; Llasat, M.C.; Provenzale, A.; Trigo, R.M. On the Key Role of Droughts in the Dynamics of Summer Fires in Mediterranean Europe. Sci. Rep. 2017, 7, 81. [Google Scholar] [CrossRef]
- Martín, J.L.; Bethencourt, J.; Cuevas-Agulló, E. Assessment of Global Warming on the Island of Tenerife, Canary Islands (Spain). Trends in Minimum, Maximum and Mean Temperatures since 1944. Clim. Change 2012, 114, 343–355. [Google Scholar] [CrossRef]
- Correa, J.; López-Díez, A.; Dorta, P.; Díaz-Pacheco, J. Evolution of Warm Nights in the Canary Islands (1950–2023): Evidence for Climate Change in the Southeastern North Atlantic. Theor. Appl. Clim. 2025, 156, 87. [Google Scholar] [CrossRef]
- Lampin-Maillet, C.; Mantzavelas, A.; Galiana, L.; Jappiot, M.; Long, M.; Herrero, G.; Karlsson, O.; Iossifina, A.; Thalia, L.; Thanassis, P. Wildland Urban Interfaces, Fire Behaviour and Vulnerability: Characterization, Mapping and Assessment. In Towards Integrated Fire Management—Outcomes of the European Project Fire Paradox; Sande Silva, J., Rego, F., Fernandes, P., Rigolot, E., Eds.; European Forest Institute: Joensuu, Finland, 2010; Available online: https://hal.science/hal-00593577v1/document (accessed on 24 June 2025).
Disclaimer/Publisher’s Note: The statements, opinions and data contained in all publications are solely those of the individual author(s) and contributor(s) and not of MDPI and/or the editor(s). MDPI and/or the editor(s) disclaim responsibility for any injury to people or property resulting from any ideas, methods, instructions or products referred to in the content. |
© 2025 by the authors. Licensee MDPI, Basel, Switzerland. This article is an open access article distributed under the terms and conditions of the Creative Commons Attribution (CC BY) license (https://creativecommons.org/licenses/by/4.0/).







